Next Article in Journal
Synthesis of (3Z)-Dodecenyl-(E)-2-butenoate, the Pheromone of Sweet Potato Weevil
Previous Article in Journal
IBC Conferences: Developing Effective Assays for High Throughput ADME/Toxicology Studies. The Café Royal, London. 9 July 1999. Effective Assay Development: Optimising Technologies & Methodologies to Accelerate & Enhance Drug Discovery. The Café Royal, London. 7-8 July 1999
 
 
Font Type:
Arial Georgia Verdana
Font Size:
Aa Aa Aa
Line Spacing:
Column Width:
Background:
Article

Synthesis of N-Phenylpyrrole Carboximides

by
Dieter Hubmann
1,
Christoph Liechti
1,
Uwe Trinks
2,
Peter Traxler
2 and
Urs Séquin
1,*
1
Institut für Organische Chemie der Universität Basel, St. Johanns-Ring 19. CH-4056 Basel, Switzerland
2
Novartis Pharma AG, CH-4002 Basel, Switzerland
*
Author to whom correspondence should be addressed.
Molecules 1999, 4(6), 151-158; https://doi.org/10.3390/40600151
Submission received: 1 January 1999 / Accepted: 10 May 1999 / Published: 16 May 1999

Abstract

:
Several N-phenylpyrrole carboximides were synthesised using acyl isocyanates as intermediates.

Introduction

During a certain stage of our synthetic approach towards potential protein tyrosine kinases inhibitors (see e. g. [1], [2]), compounds of the general structure 1 were required (Figure 1). Acyl isocyanates were used as intermediates for the synthesis of the imides of type 1. One route to this type of compounds consisted in the addition of a C-nucleophile to the isocyanate of a pyrrolecarboxylic acid, whereas in a different approach, an acyl isocyanate was used as the electrophile in a Friedel-Crafts type substitution of a suitable pyrrole derivative.
Figure 1. General structure of target compounds.
Figure 1. General structure of target compounds.
Molecules 04 00151 g001

Results and Discussion

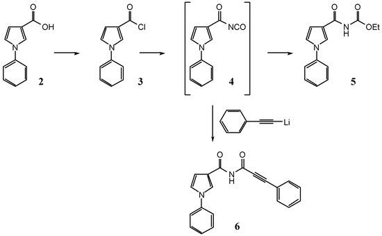
Reaction of N-phenylpyrrole-3-carboxylic acid (2) with thionyl chloride (Scheme 1) gave the acid chloride 3, which was treated with tetrabutylammonium isocyanate in tetrahydrofuran to yield the corresponding acyl isocyanate 4. This sensitive compound could not be isolated, but its formation was easily demonstrated by quenching the reaction with ethanol, whereupon the acylated carbamate 5 was obtained. Reaction of 4 with lithium phenylacetylide gave the imide 6.
Scheme 1. Synthesis of imide 6.
Scheme 1. Synthesis of imide 6.
Molecules 04 00151 sch001
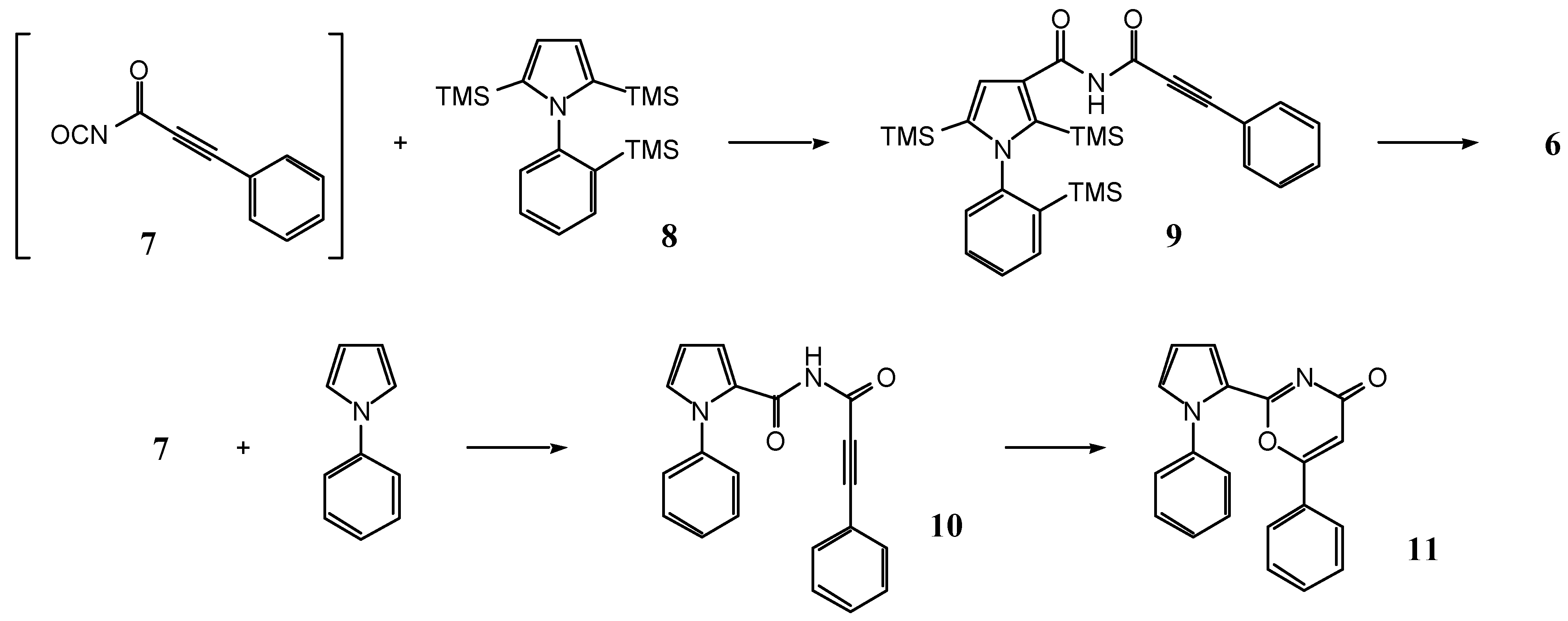
Using the second approach mentioned, the isocyanate 7, which had been obtained from phenylpropiolamide and oxalyl chloride in dichloromethane, was reacted (Scheme 2) with the suitably protected N-phenylpyrrole 8. Imide 9 was obtained in good yield; deprotection to 6, however, was difficult and could be achieved in only 23%. When unprotected N-phenylpyrrole was treated with the isocyanate 7, substitution took place predominantly in the 2-position of the pyrrole ring, yielding 10. This latter compound cyclised to the oxazinone 11 upon heating. The structure of 11 was obtained from X-ray diffraction [3].
Scheme 2. Alternate synthesis of imide 6 and formation of oxazinone 11.
Scheme 2. Alternate synthesis of imide 6 and formation of oxazinone 11.
Molecules 04 00151 sch002

Experimental

General

Chemicals were purchased from Fluka AG, Aldrich Chemical Company, Inc., Merck GmbH, or Lancaster Synthesis Ltd. Solvents used in reactions were distilled and dried or purchased in absolute quality. Tetrahydrofuran was freshly distilled from Na/K. TLC: Merck silica gel 60 F254 precoated glass plates. Column chromatography: flash-chromatography procedure of Still et al. [4]; columns with water cooling; Merck Kieselgel 60, 40-63 μm.
M.p.: Kofler hot stage, corrected. IR: Perkin-Elmer FT-IR 1600; KBr pellet or liquid film between NaCl plates. NMR: Varian Gemini 300 (1H: 300 MHz, 13C: 75 MHz); chemical shifts δ in ppm relative to TMS (0 ppm); coupling constants J in Hz; multiplicities of 13C resonances from APT and/or 1H,13C COSY experiments; * means that similar assignments may be interchanged within the same spectrum. MS: VG 70-250 (Dr. H. Nadig); FAB MS: VG ZAB HF (courtesy Ciba-Geigy AG, Basel).

1-Phenyl-1H-pyrrole-3-carbonyl chloride (3)

A solution of 1-phenyl-1H-pyrrole-3-carboxylic acid [5] (2, 104 mg, 556 μmol) and thionyl chloride (700 μL, 9.62 mmol) in hexane (2 mL) was stirred under Ar for 5 h. The solvent was removed to give 126 mg of 3 as a brownish oil (containing 10-20% of the carboxylic acid), which was used without further purification [6].

Ethyl N-(1-phenyl-1H-pyrrole-3-carbonyl)carbamate (5)

Tetrabutylammonium isocyanate (279 mg, 981 μmol) was dried in vacuo at 65° for 1 h, dissolved under Ar in tetrahydrofuran (1.7 mL), and the solution cooled to –78°. Ethanol (abs, 50 μL), and then a precooled solution of 3 (110 mg, 535 μmol) were added under Ar. The mixture was stirred for 3 h and then the solvent removed in vacuo. The residue was chromatographed on SiO2 (27 g, dichloromethane/ethyl acetate 8:1) to give 26 mg (19%) of 5 as a colorless solid, 20 mg (20%) of 1-phenyl-1H-pyrrole-3-carboxamide, and 37 mg of unidentified by-products.
Colorless solid, m.p. 44-46°.
IR (KBr): 3279; 3132; 2980; 2930; 1750; 1676; 1599; 1511; 1269; 1201; 1057; 1033; 901; 758; 692.
1H NMR (300 MHz, CDCl3): 8.01 (s, 1H, NH); 7.78 (t, J = 2.0, 1H, H-C(2)); 7.5-7.3 (m, 5H, phenyl-H); 7.05 (dd, J = 2.3, 3.1, 1H, H-C(5)); 6.67 (dd, J = 3.0, 1.7, 1H, H-C(4)); 4.30 (q, J = 7.1, 2H, CH2); 1.33 (t, J = 6.9, 3H, CH3).
13C NMR (75 MHz, CDCl3): 161.1 (C=O); 151.4 (O-C=O); 139.5 (phenyl C(1)); 129.8 (phenyl C(3), C(5)); 127.2 (phenyl C(4)); 124.0 (C(2)); 121.1 (C(5)); 121.0 (phenyl C(2), C(6)); 120.2 (C(3)); 109.5 (C(4)); 62.1 (CH2); 14.3 (CH3).
EI MS: 259 (3); 258 (20, M+); 212 (13); 171 (13); 170 (100, [M–NH-COOC2H5]+); 115 (13); 77 (17); 51 (12).
Anal. Calcd for C14H14N2O3 (258.28): C, 65.11; H, 5.46; N, 10.85; O, 18.58. Found: C, 64.91; H, 5.67; N, 10.04; O, 17.11.

N-(3-Phenyl-2-propynoyl)-1-phenyl-1H-pyrrole-3-carboxamide (6) from 1-phenyl-1H-pyrrole-3-carbonyl chloride (3)

To a solution of tetrabutylammonium cyanate (909 mg, 3.20 mmol) in tetrahydrofuran (12 mL), 1-phenyl-1H-pyrrole-3-carbonyl chloride (3, 465 mg, 2.26 mmol) was added under Ar. After stirring the mixture for 90 min at 0°, lithium phenylacetylide (2.26 ml, 1.0 M in tetrahydrofuran, 2.26 mmol) was added and the mixture stirred for additional 3 h at 0°. The solvent was removed in vacuo and the residue chromatographed on SiO2 (100 g, dichloromethane) to give 104 mg (15%) of 6 as a colorless solid.
Colorless needles (dichloromethane/pentane), m.p. 149-151°.
IR (KBr): 3251; 3151; 2230; 2196; 1709, 1637; 1336; 1250; 754; 747.
1H NMR (300 MHz, CDCl3): 9.79 (s br, 1H, NH); 8.03 (t, J = 2.0, 1H, H-C(2)); 7.67 (dd, J = 6.8, 1.5, 2H, H-C(2), C≡C-phenyl H-C(6)); 7.45-7.35 (m, 8H, phenyl-H); 7.10 (t, J = 3.1, 1H, H-C(5)); 6.89 (dd, J = 3.1, 1.8, 1H, H-C(4)).
13C NMR (75 MHz, CDCl3): 161.2, 153.8 (2 × C=O); 139.5 (N-phenyl C(1)); 133.1 (C≡C-phenyl C(2), C(6)); 130.7 (C≡C-phenyl C(4)); 129.8, 128.5 (N-phenyl C(3), C(5), and C≡C-phenyl C(3), C(5)); 127.1 (N-phenyl C(4)); 124.4 (C(2)*); 121.3 (C(5)*); 120.8 (N-phenyl C(2), C(6)); 120.1 (C≡C-phenyl C(1)*); 119.6 (C(3)*); 110.5 (C(4)); 93.5 (C≡C-CO); 83.3 (C≡C-CO).
EI MS (70 eV): 314 (7, M+); 168 (100); 140 (5); 118 (24); 105 (10); 90 (7); 77 (15, [C6H5]+); 51 (7).
CI MS (NH3): 315 (100, [M+H]+); 186 (11, [C6H5-C4H3N-CONH2]+); 164 (5).
EI HRMS (70 eV): Calcd for C20H14N2O2: 314.1055. Found: 314.1049.

2,5-Bis(trimethylsilyl)-1-[2-(trimethylsilyl)phenyl]-1H-pyrrole (8)

Butyllithium (100 mL, 1.6 m in hexane, 160.0 mmol) was added under Ar to 1-phenyl-1H-pyrrole (5.09 g, 36.0 mmol) and N,N,N',N'-tetramethylethylenediamine (22.5 mL, 160.0 mmol). The mixture was refluxed for 23 h and then cooled to –78°. Trimethylchlorosilane (20.0 mL, 160.0 mmol) was added and the mixture stirred for 6 h at 0° and for 90 min at room temperature. After washing twice with sat. NH4Cl solution and then with water, the organic layer was dried (Na2SO4), filtered, and the solvent evaporated. The crude product (12.4 g of a yellowish oil) was purified in ten portions by chromatography on SiO2 (150 g, pentane/dichloromethane 12:1) to give 4.85 g (37%) of 8 as a yellowish oil. An analytically pure sample was obtained by kugelrohr distillation (175°/0.13 mbar).
IR (NaCl): 3060; 2956; 2897; 1479; 1247; 1166; 1120; 931; 837; 757.
1H NMR (300 MHz, CDCl3): 7.54 (dd, J = 7.3, 1.8, 1H, phenyl H-C(3)); 7.38 (td, J = 7.4, 1.5, 1H, phenyl H-C(4)*); 7.31 (td, J = 7.4, 1.7, 1H, phenyl H-C(5)*); 7.15 (dd, J = 7.7, 1.2, 1H, phenyl H-C(6)); 6.48 (s, 2H, H-C(3), H-C(4)); –0.01 (s, 9H, (CH3)3Si-phenyl); –0.09 (s, 18H, (CH3)3Si-pyrrole).
13C NMR (75 MHz, CDCl3): 147.9 (s, phenyl C(1)); 140.2 (s, phenyl C(2)); 140.0 (s, C(2), C(5)); 135.2 (d, phenyl C(3); 130.0, 128.4, 127.8 (3d, phenyl C(4), C(5), C(6)); 119.1 (d, C(3), C(4)); 0.3 (q, (CH3)3Si-pyrrole); –0.5 (q, (CH3)3Si-phenyl).
EI MS (70 eV): 359 (10, M+); 286 (24, [M–Si(CH3)3]+); 256 (23); 240 (5); 212 (9); 198 (14); 73 (100, [Si(CH3)3]+).
CI MS (NH3): 360 (100, [M+H]+); 288 (21, [M–Si(CH3)3+2H]+); 214 (7); 90 (30); 73 (6, [Si(CH3)3]+).

N-(3-Phenyl-2-propynoyl)-2,5-bis(trimethylsilyl)-1-[2-(trimethylsilyl)phenyl]-1H-pyrrole-3-carboxamide (9)

To a solution of 3-phenyl-2-propynamide [7] (741 mg, 5.10 mmol, prepared from 3-phenyl-2-propynoyl chloride [8]) in dichloromethane (12 mL), oxalyl chloride (482 μL, 5.62 mmol) was added under Ar at room temperature. The mixture was refluxed for 135 min and then cooled to 0°. 2,5-Bis(trimethylsilyl)-1-[2-(trimethylsilyl)phenyl]-1H-pyrrole (8, 820 μL, 2.10 mmol) in dichloromethane (5 mL) was added under Ar, followed by AlCl3 (1.472 g, 11.04 mmol). The mixture was stirred for 22 h at 0° and then poured into ice/water (100 mL). After stirring for 2.5 h, the organic phase was separated, dried (Na2SO4), filtered, and the solvent evaporated in vacuo. The residue was chromatographed on SiO2 (95g, gradient dichloromethane → dichloromethane/methanol 99:1) to give 852 mg (76%) of 9 as a colorless solid.
Colorless prisms (tert-butyl methyl ether/pentane), m.p. 175-177°.
IR (KBr): 3272; 3059; 2954; 2896; 2234; 2199; 1703; 1634; 1336; 1215; 838; 760.
1H NMR (300 MHz, CDCl3): 8.87 (s br, 1H, NH); 7.66 (dt, J = 6.7, 1.6, 2H, C≡C-phenyl H-C(2), H-C(6)); 7.57 (dd, J = 7.4, 1.5, 1H, N-phenyl H-C(3)); 7.47-7.33 (m, 5H, phenyl-H); 7.12 (dd, J = 7.6, 1.5, 1H, N-phenyl H-C(6)); 6.78 (s, 1H, H-C(4)); 0.02, –0.01, –0.07 (3s, 3 × 9H, 3 × (CH3)3Si).
13C NMR (75 MHz, CDCl3): 161.7s, 152.8s (2 × C=O); 147.0s; 146.9s; 141.5s; 139.9s; 135.4d; 133.2d; 130.6d; 129.7d; 128.8d; 128.6d; 128.5d; 126.3s; 120.4s; 118.8d; 91.8s (C≡C-CO); 83.2s (C≡C-CO); 0.1q, –0.1q –0.7q (3 × (CH3)3Si).
EI MS (70 eV): 530 (6, M+); 515 (9, [M–CH3]+); 457 (7, [M–Si(CH3)3]+); 384 (28, [M–2×Si(CH3)]+); 311 (23, [M–3×Si(CH3)3]+); 129 (17); 118 (9); 89 (5); 77 (5, [C6H5]+); 73 (100, [Si(CH3)3]+ ); 45 (15).
Anal. Calcd for C29H38N2O2Si3 (530.89): C, 65.61; H, 7.22; N, 5.28. Found: C, 65.72; H, 7.30; N, 5.10.

N-(3-Phenyl-2-propynoyl)-1-phenyl-1H-pyrrole-3-carboxamide (6) from (9)

N-(3-Phenyl-2-propynoyl)-2,5-bis(trimethylsilyl)-1-[2-(trimethylsilyl)phenyl]-1H-pyrrole-3-carboxamide (9, 87 mg, 164 μmol) and tetrabutylammonium fluoride trihydrate (218 mg, 691 μmol) were stirred in tetrahydrofuran for 50 min at 60°. The mixture was then taken up with dichloromethane and washed with water. The organic phase was separated, dried over Na2SO4, filtered, and the solvent removed in vacuo. The residue was chromatographed on SiO2 (15 g, dichloromethane/methanol 99:1) to give 12 mg (23%) of 6 as a colorless solid.

N-(3-Phenyl-2-propynoyl)-1-phenyl-1H-pyrrole-2-carboxamide (10) and 1,2-bis-(1-phenyl-1H-pyrrol-2-yl)-ethane-1,2-dione (12)

To a solution of 3-phenyl-2-propynamide [7] (812 mg, 5.59 mmol) in dichloromethane (12 mL), oxalyl chloride (527 μL, 6.15 mmol) was added under Ar at room temperature. The mixture was refluxed for 150 min. 1-Phenyl-1H-pyrrole (820 mg, 5.73 mmol) in dichloromethane (3 mL) was added and the mixture refluxed for 45 h. The solvent was removed and the residue chromatographed on SiO2 (100 g, gradient dichloromethane → dichloromethane/methanol 99:1 → dichloromethane/methanol 98:2) to give 813 mg (46%) of 10.
Colorless needles (dichloromethane/pentane), mp. 125-127°.
IR (KBr): 3215; 3125; 2211; 1702; 1654; 1598; 1498; 1261; 1187; 1170; 754; 744; 694.
1H NMR (300 MHz, CDCl3): 8.74 (s br, 1H, NH); 7.55 (dd, J = 6.9, 1.5, 2H, C≡C-phenyl H-C(2), H-C(6)); 7.47-7.30 (m, 8H, phenyl-H); 7.06 (dd, J = 4.0, 1.7, 1H, H-C(3)); 7.04 (dd, J = 2.7, 1.7, 1H, H-C(5)); 6.35 (dd, J = 4.0, 2.7, 1H, H-C(4)).
13C NMR (75 MHz, CDCl3): 157.0s, 152.9s (2 × C=O); 139.8s (N-phenyl C(1)); 132.9d (C≡C-phenyl C(2), C(6)); 131.4d (C(5)); 130.5d (C≡C-phenyl C(4)); 128.8d (C≡C-phenyl C(3), C(5)); 128.3d (N-phenyl C(3), C(5)); 127.8d (N-phenyl C(4)); 125.8d (N-phenyl C(2), C(6)); 124.4s ( C(2)); 119.8s (C≡C-phenyl C(1)); 118.3d (C(3)); 109.7d (C(4)); 92.4s (C≡C-CO); 82.9s (C≡C-CO); assignments from 1H,13C COSY.
EI MS (70 eV): 314 (25, M+); 291 (13); 168 (100); 140 (12); 118 (55); 105 (28); 90 (16); 77 (36, [C6H5]+); 51 (22).
Anal. Calcd for C20H14N2O2 (314.34): C, 76.42; H, 4.49; N, 8.91; O, 10.18. Found: C, 76.33; H, 4.48; N, 8.85; O, 10.23.
As a by-product, 1,2-bis-(1-phenyl-1H-pyrrol-2-yl)-ethane-1,2-dione (12, 168 mg, 9%) was isolated.
Figure 2.
Figure 2.
Molecules 04 00151 g002
Yellow leaflets (dichloromethane/pentane), m.p. 127.5-130.5°.
IR (KBr): 3127, 3064; 1644; 1629; 1495; 1407; 1351; 777; 753; 733; 698.
1H NMR (300 MHz, CDCl3): 7.41-7.27 (m, 10H, phenyl-H); 7.10 (dd, J = 4.1, 1.7, 2H, pyrrole H-C(3)); 7.03 (dd, J = 2.5, 1.7, 2H, pyrrole H-C(5)); 6.28 (dd, J = 4.1, 2.5, 2H, pyrrole H-C(4)).
13C NMR (75 MHz, CDCl3): 181.2 (C=O); 139.8 (phenyl C(1)); 132.9 (pyrrole C(3)*); 128.6 (phenyl C(3'), C(5)); 128.2 (pyrrole C(2)); 127.8 (phenyl C(4')); 125.7 (phenyl C(2), C(6)); 124.9 (pyrrole C(5)*); 110.4 (pyrrole C(4')).
EI MS (70 eV): 340 (7, M+); 170 (100, [C6H5C4H3NCO]+); 115 (31); 77 (5, C6H5]+).
Anal. Calcd for C20H16N2O2 (340.38): C, 77.63; H, 4.74; N, 8.23. Found: C, 77.15; H, 4.73; N, 8.19.

6-Phenyl-2-(1-phenyl-1H-pyrrol-2-yl)-[1,3]oxazin-4-one (11)

N-(3-phenyl-2-propynoyl)-1-phenyl-1H-pyrrole-2-carboxamide (10, 33 mg, 105 mmol) was heated under Ar to 160° for 25 min. After cooling, the brownish oil was chromatographed on SiO2 (24 g, dichloromethane/methanol 99:1) to give 22 mg (67%) of 11 as a brownish solid.
Yellowish prisms (hexane/dichloromethane), m.p. 174-176°.
IR (KBr): 3075; 2922; 1671, 1640; 1553; 1495; 1448; 1348; 948; 767; 734; 698.
1H NMR (300 MHz, CDCl3): 7.56 (dd, J = 4.0, 1.8, 1H, pyrrole H-C(3)); 7.49-7.39 (m, 6H, N-phenyl-H and C=C-phenyl H-C(4)); 7.26 (t, J = 8, 2H, C=C-phenyl H-C(3), H-C(5)); 7.09 (dd, J = 2.6, 1.8, 1H, pyrrole H-C(5)); 6.94-6.90 (m, 2H, C=C-phenyl H-C(2), H-C(6)); 6.48 (s, 1H, H-C(5)); 6.45 (dd, J = 4.0, 2.6, 1H, pyrrole H-C(4)).
13C NMR (75 MHz, CDCl3): 168.1s (C(4)); 162.2s, 158.8s (C(2), C(6)); 140.7s (N-phenyl C(1)); 132.2d (pyrrole C(5)); 131.7d (C=C-phenyl C(4)); 129.2s (C=C-phenyl C(1)); 128.2d (N-phenyl C(4)); 129.5d, 128.8d, 126.0d, 125.3d (C=C-phenyl and N-phenyl C(3), C(5), C(2), C(6)); 123.1s (pyrrole C(2)); 122.3d (pyrrole C(3)); 111.0d (pyrrole C(4)); 103.8d (C(5)); assignments from 1H,13C COSY.
EI MS (70 eV): 314 (22, M+); 168 (100); 140 (7); 115 (10); 77 (19, [C6H5]+).
Anal. Calcd for C20H14N2O2 (314.34): C, 76.42; H, 4.49; N, 8.91; O, 10.18. Found: C, 76.42; H, 4.62; N, 8.64; O, 10.22.
Crystals obtained from ethanol/water were subjected to X-ray structure determination [3].

Acknowledgements 

Financial support by the Schweizerischer Nationalfonds zur Förderung der wissenschaftlichen Forschung (project no. 20-41857.94) is gratefully acknowledged.

References and Notes

  1. Traxler, P.; Lydon, N. Recent advances in protein tyrosine kinase inhibitors. Drugs Fut. 1995, 20, 1261–1274. [Google Scholar] [CrossRef]
  2. Traxler, P.; Green, J.; Mett, H.; Séquin, U.; Furet, P. Use of a Pharmacophore Model for the Design of EGFR Tyrosine Kinase Inhibitors: Isoflavones and 3-Phenyl-4(1H)-qionolones. J. Med. Chem. 1999, 42, 1018–1026. [Google Scholar] [CrossRef] [PubMed]
  3. Hubmann, D. Zur Synthese von 2,8-Diphenylpyrrolo[3,4-c]azepin-4,6-dion, einem potentiellen Inhibitor der Epidermal Growth Factor Receptor Protein-Tyrosin-Kinase. Dissertation, Universität Basel, 1997. [Google Scholar]
  4. Still, W. C.; Kahn, M.; Mitra, A. Rapid Chromatographic Technique for Preparative Separations with Moderate Resolution. J. Org. Chem. 1978, 43, 2923–2925. [Google Scholar] [CrossRef]
  5. Fabis, F.; Dallemagne, P.; Rault, S.; Robba, M. A new efficient synthesis of 3-amino-1-phenylpyrrole. Org. Prep. Proced. Int. 1995, 27, 236–239. [Google Scholar] [CrossRef]
  6. Liechti, Ch. Synthese von Epidermal Growth Factor-Rezeptor-Protein-Tyrosin-Kinase-Inhibitoren. Diplomarbeit, Universität Basel, Olten, 1994. [Google Scholar]
  7. Rinkes, I.J. De l'action de l'hypochlorite de sodium sur les amides d'acides. Recl. Trav. Chim. Pays-Bas 1920, 39, 704–710. [Google Scholar] [CrossRef]
  8. Bergmann, F.; Haskelberg, L. Synthesis of Lipophilic Chemotherapeuticals. V. N4-Acylsulfanilamides. J. Am. Chem. Soc. 1941, 63, 2243–2245. [Google Scholar] [CrossRef]
  • Sample Availability: Available from the authors.

Share and Cite

MDPI and ACS Style

Hubmann, D.; Liechti, C.; Trinks, U.; Traxler, P.; Séquin, U. Synthesis of N-Phenylpyrrole Carboximides. Molecules 1999, 4, 151-158. https://doi.org/10.3390/40600151

AMA Style

Hubmann D, Liechti C, Trinks U, Traxler P, Séquin U. Synthesis of N-Phenylpyrrole Carboximides. Molecules. 1999; 4(6):151-158. https://doi.org/10.3390/40600151

Chicago/Turabian Style

Hubmann, Dieter, Christoph Liechti, Uwe Trinks, Peter Traxler, and Urs Séquin. 1999. "Synthesis of N-Phenylpyrrole Carboximides" Molecules 4, no. 6: 151-158. https://doi.org/10.3390/40600151

APA Style

Hubmann, D., Liechti, C., Trinks, U., Traxler, P., & Séquin, U. (1999). Synthesis of N-Phenylpyrrole Carboximides. Molecules, 4(6), 151-158. https://doi.org/10.3390/40600151

Article Metrics

Back to TopTop