Structural Investigation and Energy Transfer of Eu3+/Mn4+ Co-Doped Mg3Ga2SnO8 Phosphors for Multifunctional Applications
Abstract
1. Introduction
2. Results and Discussion
2.1. Crystal Structure
2.2. Optical Properties
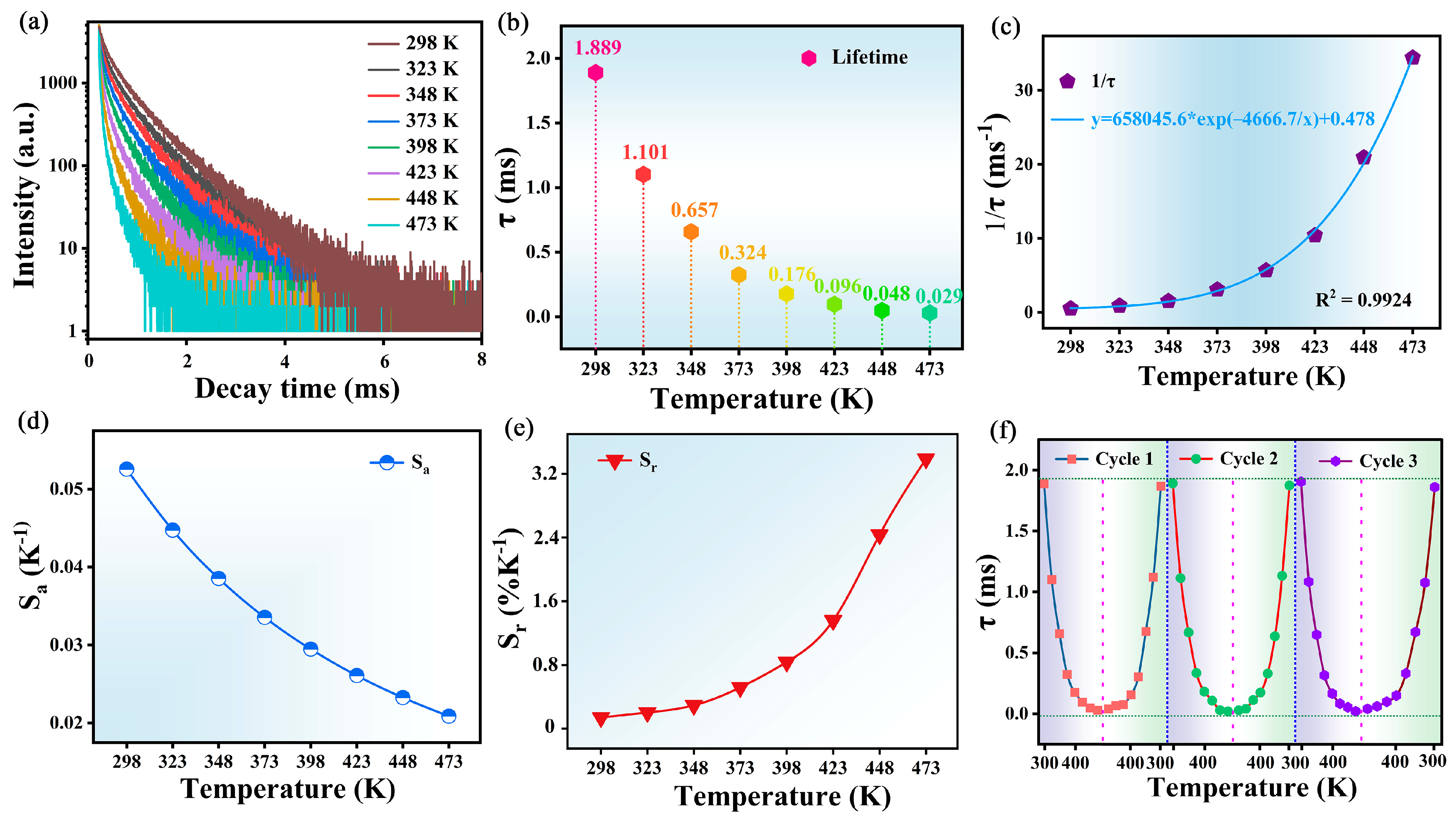
2.3. Optical Temperature Sensing
| Sample | Temperature Range (K) | Sr-Max (% K−1) | Mode | Ref. |
|---|---|---|---|---|
| Ca2YZr2Al3O12:Bi3+,Eu3+ | 297–573 | 0.664 | FIR | [22] |
| Sr3TaGa3Si2O14:Tb3+,Eu3+ | 298–498 | 0.760 | FIR | [26] |
| La2LiSbO6:Eu3+,Mn4+ | 303–523 | 0.89 | FIR | [11] |
| Ca2LaNbO6:Eu3+,Mn4+ | 298–498 | 1.51 | FIR | [47] |
| BaLaMgNbO6:Dy3+,Mn4+ | 230–470 | 1.82 | FIR | [48] |
| MGS:0.12Sm3+,0.004Mn4+ | 298–473 | 2.53 | FIR | This work |
| SrGdLiTeO6:Sm3+, Mn4+ | 298–573 | 1.30 | FL | [8] |
| Ca2GdSbO6:Mn4+,Eu3+ | 303–523 | 1.47 | FL | [13] |
| Ba2GdNbO6:Eu3+, Mn4+ | 303–483 | 1.73 | FL | [49] |
| La2MgTiO6:Dy3+,Mn4+ | 303–503 | 2.31 | FL | [50] |
| MGS:0.12Sm3+,0.004Mn4+ | 298–473 | 3.38 | FL | This work |
2.4. Applications in LEDs
3. Materials and Methods
3.1. Preparation of Materials
3.2. Characterization of Materials
3.3. Preparation of LEDs
4. Conclusions
Funding
Institutional Review Board Statement
Informed Consent Statement
Data Availability Statement
Acknowledgments
Conflicts of Interest
References
- Xia, Z.G.; Liu, Q.L. Progress in discovery and structural design of color conversion phosphors for LEDs. Prog. Mater. Sci. 2016, 84, 59–117. [Google Scholar] [CrossRef]
- Yadav, S.; Kumar, D.; Yadav, R.S.; Singh, A.K. Recent progress on optical properties of double perovskite phosphors. Prog. Solid State Chem. 2023, 69, 100391. [Google Scholar] [CrossRef]
- Lü, W.; Lv, W.; Zhao, Q.; Jiao, M.; Shao, B.; You, H. A Novel Efficient Mn4+ Activated Ca14Al10Zn6O35 Phosphor: Application in Red-Emitting and White LEDs. Inorg. Chem. 2014, 53, 11985–11990. [Google Scholar] [CrossRef] [PubMed]
- Du, Y.; Jin, Y.; Yan, K.; Li, Y.; Wang, Y.; Liu, S.; Liu, G.; Wang, J.; Yu, W.; Dong, X. Tunable luminescence in Eu3+/Sm3+ doped Na2YMg2V3O12 for WLEDs and optical thermometry. Spectrochimica Acta A 2025, 330, 125759. [Google Scholar] [CrossRef]
- Zhou, J.J.; Rosal, D.B.; Jaque, D.; Uchiyama, S.; Jin, D.Y. Advances and challenges for fluorescence nanothermometry. Nat. Methods 2020, 17, 967–980. [Google Scholar] [CrossRef] [PubMed]
- Jin, Y.; Mei, L.F.; Su, K.; Guo, Q.F.; Liao, L.B. Color tunable warm white emitting whitlockite-type phosphor applied in optical thermometry. J. Lumin. 2023, 254, 119532. [Google Scholar] [CrossRef]
- Venturini, F.; Bürgi, R.; Borisov, S.M.; Klimant, I. Optical temperature sensing using a new thermographic phosphor. Sensor Actuat. A-Phys. 2015, 233, 324–329. [Google Scholar] [CrossRef]
- Chi, F.; Wei, X.; Qin, Y.; Li, F.; Chen, Y.; Duan, C.; Yin, M. Investigation on the site occupation of rare-earth ions in CaIn2O4 with the fluorescence probe of Eu3+. Phys. Chem. Chem. Phys. 2017, 19, 12473–12479. [Google Scholar] [CrossRef]
- Yang, Z.F.; Yang, L.L.; Ji, C.J.; Xu, D.H.; Zhang, C.Q.; Bu, H.X.; Tan, X.; Yun, X.Y.; Sun, J.Y. Studies on luminescence properties of double perovskite deep red phosphor La2ZnTiO6:Mn4+ for indoor plant growth LED applications. J. Alloys Compd. 2019, 802, 628–635. [Google Scholar] [CrossRef]
- Cao, R.; Jiao, Y.; Wang, X.; Ouyang, X.; Wan, H.; Chen, T.; Zheng, G.; Xie, S. Far-red emitting Mg2La3NbO9:Mn4+ powder phosphor: Synthesis and luminescence properties. Adv. Powder Technol. 2020, 31, 4045–4052. [Google Scholar] [CrossRef]
- Song, Y.Y.; Guo, N.; Li, J.; Ouyang, R.Z.; Miao, Y.Q.; Shao, B.Q. Photoluminescence and temperature sensing of lanthanide Eu3+ and transition metal Mn4+ dual-doped antimoniate phosphor through site-beneficial occupation. Ceram. Int. 2020, 46, 22164–22170. [Google Scholar] [CrossRef]
- Niu, Y.; Wu, F.; Zhang, Q.; Teng, Y.; Huang, Y.; Yang, Z.; Mu, Z. Luminescence and thermometry sensing of Sr2InTaO6:Eu3+, Mn4+ phosphors in a wide temperature range. J. Lumin. 2024, 275, 120748. [Google Scholar] [CrossRef]
- Li, G.; Xue, Y.; Mao, Q.; Pei, L.; He, H.; Liu, M.; Chu, L.; Zhong, J. Synergistic luminescent thermometer of Co-doped Ca2GdSbO6:Mn4+/(Eu3+ Or Sm3+ phosphors. Dalton Trans. 2022, 51, 4685–4694. [Google Scholar] [CrossRef]
- Ma, L.; Tian, G.; Xiao, H.; Jiang, L.; Du, Q.; Li, H.; Yang, B. A novel spinel-type Mg3Ga2SnO8 microwave dielectric ceramic with low εr and low loss. J. Eur. Ceram. Soc. 2024, 44, 5731–5737. [Google Scholar] [CrossRef]
- Zhu, Q.; Huo, J.; Lin, Y.; Li, M.; Liu, W.; Gao, J.; Wang, Q. A New Co-Substitution Strategy as a Model to Study a Rare-Earth-Free Spinel-Type Phosphor with Red Emissions and Its Application in Light-Emitting Diodes. Inorg. Chem. 2020, 59, 433–442. [Google Scholar] [CrossRef]
- Kuttiat, T.K.; Abraham, M.; Kunti, A.K.; Amador-Mendez, N.; Tchernycheva, M.; Das, S. Enriching the Deep-Red Emission in (Mg, Ba)3M2GeO8:Mn4+ (M = Al, Ga) Compositions for Light-Emitting Diodes. ACS Appl. Mater. Interfaces 2023, 15, 7083–7101. [Google Scholar] [CrossRef]
- Geng, X.; Xie, Y.; Ma, Y.; Liu, Y.; Luo, J.; Wang, J.; Yu, R.; Deng, B.; Zhou, W. Abnormal thermal quenching and application for w-LEDs: Double perovskite Ca2InSbO6:Eu3+ red-emitting phosphor. J. Alloys Compd. 2020, 847, 156249. [Google Scholar] [CrossRef]
- Fu, Y.; Xiong, P.; Liu, X.; Wang, X.; Wu, S.; Liu, Q.; Peng, M.; Chen, Y. A promising blue-emitting phosphor CaYGaO4: Bi3+ for nearultraviolet (NUV) pumped white LED application and the emission improvement by Li+ ions. J. Mater. Chem. C 2021, 9, 303–312. [Google Scholar] [CrossRef]
- Shannon, R.D. Revised effective ionic radii and systematic studies of interatomie distances in halides and chaleogenides. Acta Cryst. 1976, 32, 751–767. [Google Scholar] [CrossRef]
- Yang, Z.F.; Ye, M.J.; Yang, S.Y.; Wang, R.X.; Sun, C.H.; Li, Y.F.; Wang, J.H. Efficient and abnormal thermal quenching Sm3+ activated perovskites-type niobate phosphor for plant growth lamp and WLEDs. Ceram. Int. 2024, 50, 21745–21754. [Google Scholar] [CrossRef]
- Wang, S.; Seto, T.; Liu, B.; Wang, Y.; Li, C.; Liu, Z.; Dong, H. Tremendous acceleration of plant growth by applying a new sunlight converter Sr4Al14−xGaxO25:Mn4+ breaking parity forbidden transition. Adv. Sci. 2022, 10, 2204418. [Google Scholar] [CrossRef]
- Zheng, Z.; Zhang, J.; Liu, X.; Wei, R.; Hu, F.; Guo, H. Luminescence and self-referenced optical temperature sensing performance in Ca2YZr2Al3O12:Bi3+,Eu3+ phosphors. Ceram. Int. 2020, 46, 6154–6159. [Google Scholar] [CrossRef]
- Zhou, X.; Zhang, J.; Chen, L.; Li, Y.; Xiang, G.; Jiang, S.; Li, L.; Tang, X.; Cao, Z.; Xie, G. Sr3Lu(VO4)3: Eu3+ red-emitting phosphors for warm white LEDs. J. Am. Ceram. Soc. 2021, 104, 2721–2729. [Google Scholar] [CrossRef]
- Ma, L.; Du, Q.; Tian, G.; Xiao, H.; Jiang, L.; Li, H. Microwave dielectric properties of novel Mg3Ga2TiO8 ceramic. Ceram. Int. 2024, 50, 50774–50779. [Google Scholar] [CrossRef]
- Dang, P.P.; Li, G.G.; Yun, X.H.; Zhang, Q.Q.; Liu, D.J.; Lian, H.Z.; Shang, M.M.; Lin, J. Thermally stable and highly efficient red-emitting Eu3+-doped Cs3GdGe3O9 phosphors for WLEDs: Non-concentration quenching and negative thermal expansion. Light Sci. Appl. 2021, 10, 29. [Google Scholar] [CrossRef] [PubMed]
- Lig, S.; Muji, H.; Zhang, Y.; Zhou, X.; Wang, K.; Wang, Z.; Tian, Q.; Chao, K. Design and synthesis of Sr3TaGa3Si2O14:Tb3+,Eu3+ phosphors for enhanced optical thermometry and multicolor anti-counterfeiting applications. Ceram. Int. 2024, 50, 53264–53271. [Google Scholar] [CrossRef]
- Abbas, M.T.; Khan, N.Z.; Muhammad, N.; Mehmood, I.; Mao, J.; Khan, S.A. Temperature sensing performance of ScVO4:Eu3+ phosphors by employing ground state thermal coupling approach. J. Alloys Compd. 2022, 906, 164340. [Google Scholar] [CrossRef]
- Duong, L.; Quang, N.; Nguyen, D. Far-red emission of CaYAlO4: Mn4+ synthesized by co-precipitation method. J. Mater. Sci. Technol. 2020, 58, 168–175. [Google Scholar]
- Cao, R.; Shi, Z.; Quan, G.; Chen, T.; Guo, S.; Hu, Z.; Liu, P. Preparation and luminescence properties of Li2MgZrO4:Mn4+ red phosphor for plant growth. J. Lumin. 2017, 188, 577–581. [Google Scholar] [CrossRef]
- Zhou, J.; Xia, Z.G. Multi-color emission evolution and energy transfer behavior of La3GaGe5O16:Tb3+, Eu3+ phosphors. J. Mater. Chem. C 2014, 2, 6978–6984. [Google Scholar] [CrossRef]
- Pasinski, D.; Sokolnicki, J. Nitridated Ca2NaMg2V3O12:Eu3+ vanadate garnet phosphor-in-glass. Materials 2020, 13, 2996. [Google Scholar] [CrossRef]
- Duan, F.F.; Wang, L.; Shi, Q.F.; Guo, H.J.; Qiao, J.W.; Cui, C.E.; Huang, P. Suitable selection of high-energy state excitation to enhance the thermal stability of Eu3+ and the sensitivity of La2CaSnO6:Eu3+,Mn4+ temperature measuring materials. J. Mater. Chem. C 2023, 11, 14705–14713. [Google Scholar] [CrossRef]
- Du, P.P.; Meng, Q.H.; Wang, X.J.; Zhu, Q.; Li, X.D.; Sun, X.D.; Li, J.G. Sol-gel processing of Eu3+ doped Li6CaLa2Nb2O12 garnet for efficient and thermally stable red luminescence under near-ultraviolet/blue light excitation. Chem. Eng. J. 2019, 375, 121937. [Google Scholar] [CrossRef]
- Zhang, X.; Xu, Y.; Wu, X.; Yin, S.; Zhong, C.; Wang, C.; Zhou, L.; You, H. Optical thermometry and multi-mode anti-counterfeiting based on Bi3+/Ln3+ and Ln3+ doped Ca2ScSbO6 phosphors. Chem. Eng. J. 2024, 481, 148717. [Google Scholar] [CrossRef]
- Song, Y.Y.; Guo, N.; Li, J.; Xin, Y.M.; Lü, W.; Miao, Y.Q. Dual-emissive Ln3+/Mn4+ co-doped double perovskite phosphor via site-beneficial occupation. Mater. Adv. 2021, 2, 1402–1412. [Google Scholar] [CrossRef]
- Xue, J.; Noh, H.; Choi, B.; Park, S.; Kim, J.; Jeong, J.; Du, P. Dual-functional of noncontact thermometry and field emission displays via efficient Bi3+/Eu3+ energy transfer in emitting-color tunable GdNbO4 phosphors. Chem. Eng. J. 2020, 382, 122861. [Google Scholar] [CrossRef]
- Li, L.; Tang, X.; Wu, Z.; Zheng, Y.; Jiang, S.; Tang, X.; Xiang, G.; Zhou, X. Simultaneously tuning emission color and realizing optical thermometry via efficient Tb3+→Eu3+ energy transfer in whitlockite-type phosphate multifunctional phosphors. J. Alloys Compd. 2019, 780, 266–275. [Google Scholar] [CrossRef]
- Hua, Y.B.; Ran, W.G.; Yu, J.S. Excellent photoluminescence and cathodoluminescence properties in Eu3+-activated Sr2LaNbO6 materials for multifunctional applications. Chem. Eng. J. 2021, 406, 127154. [Google Scholar] [CrossRef]
- Hua, Y.; Ran, W.; Yu, J.S. Strong red emission with excellent thermal stability in double-perovskite type Ba2GdSbO6:Eu3+ phosphors for potential field-emission displays. J. Alloy. Compd. 2020, 853, 155389. [Google Scholar] [CrossRef]
- Yang, Z.F.; Ye, M.J.; Sun, C.H.; Yang, S.Y.; Zheng, Y.; Xu, D.H.; Sun, J.Y. Structural and luminescence characterization of red-emitting Li6SrLa2Nb2O12:Eu3+ phosphors with excellent thermal stability. J. Mol. Struct. 2023, 1292, 136071. [Google Scholar] [CrossRef]
- Bhelave, S.R.; Kadam, A.R.; Yerpude, A.N.; Dhoble, S.J. Intensity enhancement of photoluminescence in Tb3+/Eu3+ co-doped Ca14Zn6Al10O35 phosphor for WLEDs. Luminescence 2023, 38, 379–388. [Google Scholar] [CrossRef] [PubMed]
- Cui, R.R.; Guo, X.; Gong, X.Y.; Deng, C.Y. Photoluminescence properties and energy transfer of novel orange–red emitting phosphors: Ba3Bi2(PO4)4:Sm3+, Eu3+ for white light-emitting diodes. Rare Met. 2021, 40, 2882–2891. [Google Scholar] [CrossRef]
- Zheng, Z.; Song, Y.; Zheng, B.; Zhao, Y.; Wang, Q.; Zhang, A.; Zou, B.; Zou, H. Eu2+ and Mn2+ co-doped Lu2Mg2Al2Si2O12 phosphors for high sensitivity and multi-mode optical pressure sensing. Inorg. Chem. Front. 2023, 10, 2788–2798. [Google Scholar] [CrossRef]
- Ding, Y.; Guo, N.; Lü, X.; Zhou, H.; Wang, L.; Ouyang, R.; Miao, Y.; Shao, B. None-rare-earth activated Ca14Al10Zn6O35:Bi3+,Mn4+ phosphor involving dual luminescent centers for temperature sensing. J. Am. Ceram. Soc. 2019, 102, 7436–7447. [Google Scholar] [CrossRef]
- Hu, F.; Ren, S.; Wu, Y.; Sun, C.; Zhu, B.; Wang, Q.; Li, S.; Zhang, D. Dual-mode optical thermometer based on fluorescence intensity ratio of Eu3+/Mn4+ co-doping zinc titanate phosphors. Spectrochim. Acta 2023, 288, 122127. [Google Scholar] [CrossRef] [PubMed]
- Li, L.; Tian, G.; Deng, Y.; Wang, Y.; Cao, Z.; Ling, F.; Li, Y.; Jiang, S.; Xiang, G.; Zhou, X. Constructing ultra-sensitive dual-mode optical thermometers: Utilizing FIR of Mn4+/Eu3+ and lifetime of Mn4+ based on double perovskite tellurite phosphor. Opt. Express 2020, 28, 33747–33757. [Google Scholar] [CrossRef]
- Wang, P.; Mao, J.S.; Zhao, L.; Jiang, B.; Xie, C.Y.; Lin, Y.; Chi, F.F.; Yin, M.; Chen, Y.H. Double perovskite A2LaNbO6:Mn4+,Eu3+ (A=Ba,Ca) phosphors: Potential applications in optical temperature sensing. Dalton Trans. 2019, 48, 10062–10069. [Google Scholar] [CrossRef]
- Lin, Y.; Zhao, L.; Jiang, B.; Mao, J.; Chi, F.; Wang, P.; Xie, C.; Wei, X.; Chen, Y.; Yin, M. Temperature-dependent luminescence of BaLaMgNbO6:Mn4+,Dy3+ phosphor for dual-mode optical thermometry. Opt. Mater. 2019, 95, 109199. [Google Scholar] [CrossRef]
- Luo, Y.X.; Chen, Y.; Li, L.J.; Chen, J.Y.; Pang, T.; Chen, L.P.; Guo, H. Three-mode fluorescence thermometers based on double perovskite Ba2GdNbO6:Eu3+,Mn4+ phosphors. Ceram. Int. 2023, 49, 38007–38014. [Google Scholar] [CrossRef]
- Qiang, K.; Ye, Y.; Mao, Q.; Chen, F.; Chu, L.; Liu, M.; Zhong, J. Dy3+, Mn4+ co-doped phosphors for synergistic luminescent dual-mode thermometer and high-resolution imaging. Mater. Design 2024, 241, 112906. [Google Scholar] [CrossRef]
- Agarwal, A.; Gupta, S.D. Impact of light-emitting diodes (LEDs) and its potential on plant growth and development in controlled-environment plant production system. Curr. Biotechnol. 2016, 5, 28–43. [Google Scholar] [CrossRef]












| Sample | MGS | MGS:0.009Mn4+ | MGS:0.12Eu3+ | MGS:0.12Eu3+,0.006Mn4+ |
|---|---|---|---|---|
| Space group | Fd-3m | Fd-3m | Fd-3m | Fd-3m |
| Symmetry | cubic | cubic | cubic | cubic |
| a/b/c, Å | 8.4570 | 8.4552 | 8.4585 | 8.4530 |
| V, Å3 | 604.85 | 604.46 | 605.17 | 603.99 |
| Z | 8 | 8 | 8 | 8 |
| α = β = γ ° | 90 | 90 | 90 | 90 |
| Rwp | 8.5 | 9.6 | 8.8 | 7.5 |
| Rp | 6.7 | 7.5 | 6.6 | 5.2 |
| χ2 | 2.25 | 2.83 | 2.45 | 2.38 |
Disclaimer/Publisher’s Note: The statements, opinions and data contained in all publications are solely those of the individual author(s) and contributor(s) and not of MDPI and/or the editor(s). MDPI and/or the editor(s) disclaim responsibility for any injury to people or property resulting from any ideas, methods, instructions or products referred to in the content. |
© 2025 by the author. Licensee MDPI, Basel, Switzerland. This article is an open access article distributed under the terms and conditions of the Creative Commons Attribution (CC BY) license (https://creativecommons.org/licenses/by/4.0/).
Share and Cite
Yang, Z. Structural Investigation and Energy Transfer of Eu3+/Mn4+ Co-Doped Mg3Ga2SnO8 Phosphors for Multifunctional Applications. Molecules 2025, 30, 1945. https://doi.org/10.3390/molecules30091945
Yang Z. Structural Investigation and Energy Transfer of Eu3+/Mn4+ Co-Doped Mg3Ga2SnO8 Phosphors for Multifunctional Applications. Molecules. 2025; 30(9):1945. https://doi.org/10.3390/molecules30091945
Chicago/Turabian StyleYang, Zaifa. 2025. "Structural Investigation and Energy Transfer of Eu3+/Mn4+ Co-Doped Mg3Ga2SnO8 Phosphors for Multifunctional Applications" Molecules 30, no. 9: 1945. https://doi.org/10.3390/molecules30091945
APA StyleYang, Z. (2025). Structural Investigation and Energy Transfer of Eu3+/Mn4+ Co-Doped Mg3Ga2SnO8 Phosphors for Multifunctional Applications. Molecules, 30(9), 1945. https://doi.org/10.3390/molecules30091945
