A Multi-Sensor for Direct and Simultaneous Monitoring of Changes in the Contents of Four Ionic Components
Abstract
1. Introduction
2. Results and Discussion
2.1. Electrical Parameters of Multi-Sensor
2.2. Potentiometric Signal Response
2.3. Reversibility Test
2.4. Light Sensitivity
2.5. pH Sensitivity
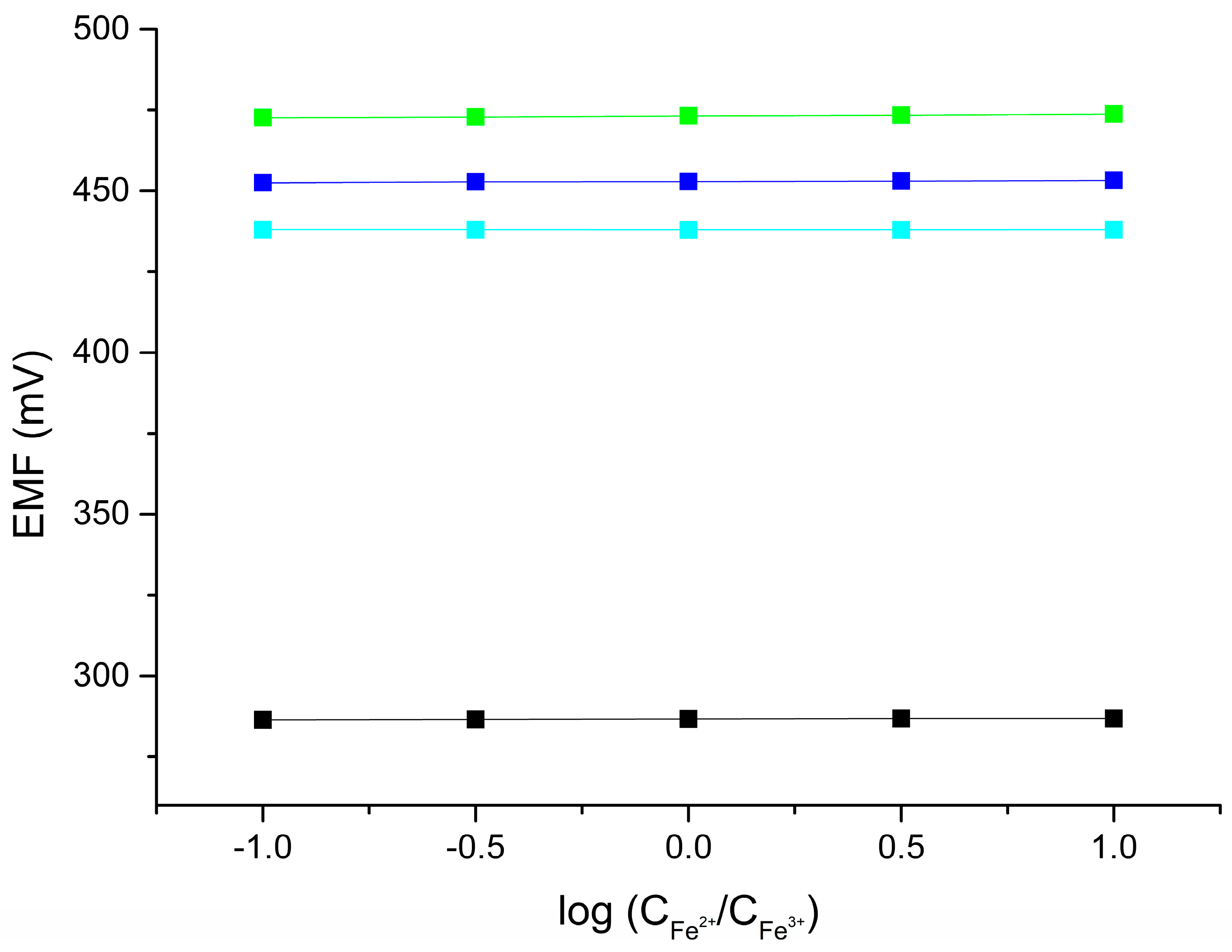
2.6. Redox Sensitivity
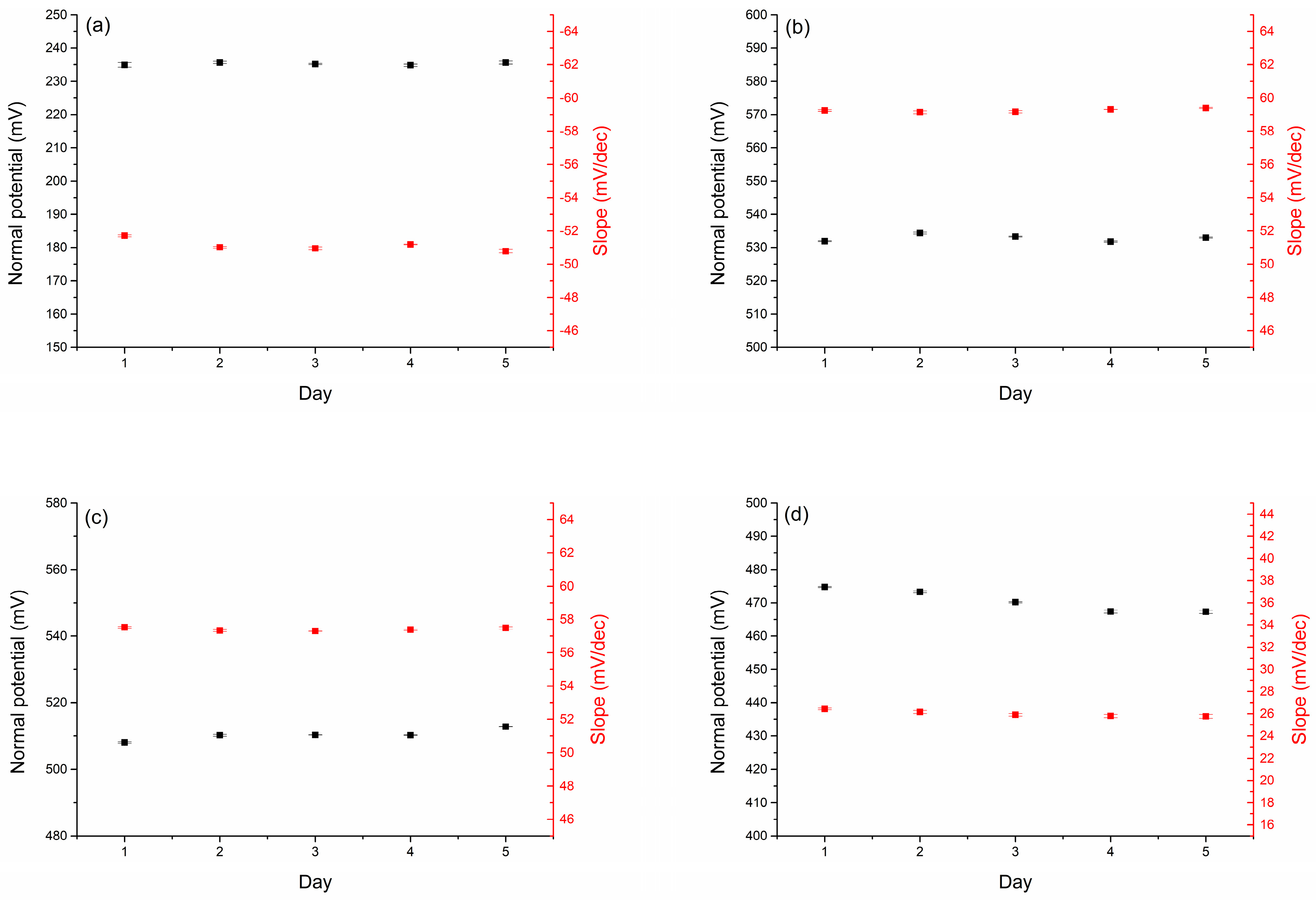
2.7. Water Layer Test and Stability of Potential
2.8. Analytical Application
3. Materials and Methods
3.1. Chemicals
3.2. Electrode Preparation
3.3. Methods
4. Conclusions
Author Contributions
Funding
Institutional Review Board Statement
Informed Consent Statement
Data Availability Statement
Conflicts of Interest
References
- Adams, R.N. Carbon Paste Electrodes. Anal. Chem. 1958, 30, 1576. [Google Scholar] [CrossRef]
- Mesarić, S.; Dahmen, E.A.M.F. Ion-Selective Carbon-Paste Electrodes for Halides and Silver(I) Ions. Anal. Chim. Acta 1973, 64, 431–438. [Google Scholar] [CrossRef]
- El-Kosasy, A.M.; Abdel Rahman, M.H.; Abdelaal, S.H. Graphene Nanoplatelets in Potentiometry: A Nanocomposite Carbon Paste and PVC Based Membrane Sensors for Analysis of Vilazodone HCl in Plasma and Milk Samples. Talanta 2019, 193, 9–14. [Google Scholar] [CrossRef] [PubMed]
- Paczosa-Bator, B. All-Solid-State Selective Electrodes Using Carbon Black. Talanta 2012, 93, 424–427. [Google Scholar] [CrossRef]
- Lenar, N.; Paczosa-Bator, B.; Piech, R. Optimization of Ruthenium Dioxide Solid Contact in Ion-Selective Electrodes. Membranes 2020, 10, 182. [Google Scholar] [CrossRef] [PubMed]
- Lenar, N.; Paczosa-Bator, B.; Piech, R. Ruthenium Dioxide as High-Capacitance Solid-Contact Layer in K + -Selective Electrodes Based on Polymer Membrane. J. Electrochem. Soc. 2019, 166, B1470–B1476. [Google Scholar] [CrossRef]
- Lenar, N.; Paczosa-Bator, B.; Piech, R. Ruthenium Dioxide Nanoparticles as a High-Capacity Transducer in Solid-Contact Polymer Membrane-Based pH-Selective Electrodes. Microchim. Acta 2019, 186, 777. [Google Scholar] [CrossRef]
- Okubo, S.; Ozeki, Y.; Yamada, T.; Saito, K.; Ishihara, N.; Yanagida, Y.; Mayanagi, G.; Washio, J.; Takahashi, N. Facile Fabrication of All-Solid-State Ion-Selective Electrodes by Laminating and Drop-Casting for Multi-Sensing. Electrochemistry 2022, 90, 077001. [Google Scholar] [CrossRef]
- Cho, W.J.; Kim, H.J.; Jung, D.H.; Kang, C.I.; Choi, G.L.; Son, J.E. An Embedded System for Automated Hydroponic Nutrient Solution Management. Trans. ASABE 2017, 60, 1083–1096. [Google Scholar] [CrossRef]
- Urbanowicz, M.; Pijanowska, D.G.; Jasiński, A.; Ekman, M.; Bocheńska, M.K. A Miniaturized Solid-Contact Potentiometric Multisensor Platform for Determination of Ionic Profiles in Human Saliva. J. Solid State Electrochem. 2019, 23, 3299–3308. [Google Scholar] [CrossRef]
- Teekayupak, K.; Lomae, A.; Agir, I.; Chuaypen, N.; Dissayabutra, T.; Henry, C.S.; Chailapakul, O.; Ozer, T.; Ruecha, N. Large-Scale Fabrication of Ion-Selective Electrodes for Simultaneous Detection of Na+, K+, and Ca2+ in Biofluids Using a Smartphone-Based Potentiometric Sensing Platform. Microchim. Acta 2023, 190, 237. [Google Scholar] [CrossRef]
- Vitousek, P.M.; Howarth, R.W. Nitrogen Limitation on Land and in the Sea: How Can It Occur? Biogeochemistry 1991, 13, 87–115. [Google Scholar] [CrossRef]
- Fenn, M.E.; Bytnerowicz, A.; Schilling, S.L.; Vallano, D.M.; Zavaleta, E.S.; Weiss, S.B.; Morozumi, C.; Geiser, L.H.; Hanks, K. On-Road Emissions of Ammonia: An Underappreciated Source of Atmospheric Nitrogen Deposition. Sci. Total Environ. 2018, 625, 909–919. [Google Scholar] [CrossRef] [PubMed]
- Hosker, R.P.; Lindberg, S.E. Review: Atmospheric Deposition and Plant Assimilation of Gases and Particles. Atmos. Environ. (1967) 1982, 16, 889–910. [Google Scholar] [CrossRef]
- Maathuis, F.J.M. Sodium in Plants: Perception, Signalling, and Regulation of Sodium Fluxes. J. Exp. Bot. 2014, 65, 849–858. [Google Scholar] [CrossRef] [PubMed]
- Yamaguchi, T.; Hamamoto, S.; Uozumi, N. Sodium Transport System in Plant Cells. Front. Plant Sci. 2013, 4, 410. [Google Scholar] [CrossRef]
- Marschner, H. (Ed.) Marschner’s Mineral Nutrition of Higher Plants, 3rd ed.; Academic Press: London, UK, 2011. [Google Scholar]
- Bobacka, J. Potential Stability of All-Solid-State Ion-Selective Electrodes Using Conducting Polymers as Ion-to-Electron Transducers. Anal. Chem. 1999, 71, 4932–4937. [Google Scholar] [CrossRef]
- Ghauri, M.S.; Thomas, J.D.R. Evaluation of an Ammonium Ionophore for Use in Poly(Vinyl Chloride) Membrane Ion-Selective Electrodes: Solvent Mediator Effects. Analyst 1994, 119, 2323–2326. [Google Scholar] [CrossRef] [PubMed]
- Novell, M.; Parrilla, M.; Crespo, G.A.; Rius, F.X.; Andrade, F.J. Paper-Based Ion-Selective Potentiometric Sensors. Anal. Chem. 2012, 84, 4695–4702. [Google Scholar] [CrossRef] [PubMed]
- Garland, N.T.; McLamore, E.S.; Cavallaro, N.D.; Mendivelso-Perez, D.; Smith, E.A.; Jing, D.; Claussen, J.C. Flexible Laser-Induced Graphene for Nitrogen Sensing in Soil. ACS Appl. Mater. Interfaces 2018, 10, 39124–39133. [Google Scholar] [CrossRef] [PubMed]
- Tang, W.; Ping, J.; Fan, K.; Wang, Y.; Luo, X.; Ying, Y.; Wu, J.; Zhou, Q. All-Solid-State Nitrate-Selective Electrode and Its Application in Drinking Water. Electrochim. Acta 2012, 81, 186–190. [Google Scholar] [CrossRef]
- Buck, R.P.; Lindner, E. Recommendations for Nomenclature of Ionselective Electrodes (IUPAC Recommendations 1994). Pure Appl. Chem. 1994, 66, 2527–2536. [Google Scholar] [CrossRef]
- Fibbioli, M.; Morf, W.E.; Badertscher, M.; de Rooij, N.F.; Pretsch, E. Potential Drifts of Solid-Contacted Ion-Selective Electrodes Due to Zero-Current Ion Fluxes Through the Sensor Membrane. Electroanalysis 2000, 12, 1286–1292. [Google Scholar] [CrossRef]
- Watts, A.; Gavalas, V.; Cammers, A.; Andrada, P.; Alajarin, M.; Bachas, L. Nitrate-Selective Electrode Based on a Cyclic Bis-Thiourea Ionophore. Sens. Actuators B Chem. 2007, 121, 200–207. [Google Scholar] [CrossRef]
- Thanei-Wyss, U.; Morf, W.E.; Lienemann, P.; Stefanac, Z.; Mostert, I.; Dörig, R.; Dohner, R.E.; Simon, W. Determination of Urea in 10-μl Blood Serum Samples with a Urease Reactor / Ion-Selective Electrode Cell. Mikrochim. Acta 1983, 81, 135–147. [Google Scholar] [CrossRef]
- Suzuki, K.; Sato, K.; Hisamoto, H.; Siswanta, D.; Hayashi, K.; Kasahara, N.; Watanabe, K.; Yamamoto, N.; Sasakura, H. Design and Synthesis of Sodium Ion-Selective Ionophores Based on 16-Crown-5 Derivatives for an Ion-Selective Electrode. Anal. Chem. 1996, 68, 208–215. [Google Scholar] [CrossRef] [PubMed]
- Anker, P.; Wieland, E.; Ammann, D.; Dohner, R.E.; Asper, R.; Simon, W. Neutral Carrier Based Ion-Selective Electrode for the Determination of Total Calcium in Blood Serum. Anal. Chem. 1981, 53, 1970–1974. [Google Scholar] [CrossRef] [PubMed]
- Ammann, D.; Anker, P.; Metzger, E.; Oesch, U.; Simon, W. Continuous Potentiometric Measurement of Different Ion Concentrations in Whole Blood of the Extracorporeal Circulation. In Ion Measurements in Physiology and Medicine; Kessler, M., Harrison, D.K., Höper, J., Eds.; Springer: Berlin/Heidelberg, Germany, 1985; pp. 102–110. [Google Scholar]











| Carbon Black Paste Sensor CBP-RuO2·xH2O/: | Rtotal ± SD (kΩ) | ∆Edc/∆t ± SD (µVs−1) | C ± SD (µF) |
|---|---|---|---|
| NO3−-ISM | 1079 ± 1 | 39.0 ± 0.6 | 257 ± 4 |
| NH4+-ISM | 12,142 ± 4 | 113 ± 5 | 89 ± 4 |
| Na+-ISM | 13,624 ± 8 | 125 ± 7 | 80 ± 5 |
| Ca2+-ISM | 3427± 5 | 42.2 ± 0.1 | 237 ± 4 |
| Carbon Black Paste Sensor CBP-RuO2·xH2O/: | R1 (kΩ) | R2 (MΩ) | CPE (pS) (N) |
|---|---|---|---|
| NO3−-ISM | −39.5 | 0.964 | 9.68 (0.953) |
| NH4+-ISM | −26.7 | 11.5 | 8.86 (0.976) |
| Na+-ISM | 2.86 | 15.9 | 8.21 (0.979) |
| Ca2+-ISM | −54.3 | 3.48 | 9.97 (0.964) |
| Carbon Black Paste Sensor CBP-RuO2·xH2O/: | Slope ± SD (mV/dec) | Normal Potential ± SD (mV) | Linear Range (M) | LoD ± SD (M) |
|---|---|---|---|---|
| NO3−-ISM | −51.1 ± 0.1 | 235.2 ± 0.5 | 10−5–10−1 | 10−5.19±0.06 |
| NH4+-ISM | 59.3 ± 0.1 | 532.8 ± 0.9 | 10−5–10−1 | 10−5.09±0.08 |
| Na+-ISM | 57.0 ± 0.1 | 509.6 ± 1.5 | 10−4–10−1 | 10−4.79±0.02 |
| Ca2+-ISM | 26.0 ± 0.3 | 471 ± 3 | 10−4–10−1 | 10−4.92±0.04 |
| Carbon Black Paste Sensor CBP-RuO2·xH2O/: | Slope ± SD (mV/dec) | Normal Potential ± SD (mV) | Linear Range (M) | LoD ± SD (M) |
|---|---|---|---|---|
| NO3−-ISM | −50.5 ± 0.1 | 245.3 ± 0.9 | 10−5–10−1 | 10−5.10±0.06 |
| NH4+-ISM | 60.0 ± 0.1 | 561 ± 3 | 10−5–10−1 | 10−4.98±0.03 |
| Na+-ISM | 56.6 ± 0.2 | 509 ± 3 | 10−4–10−1 | 10−4.75±0.02 |
| Ca2+-ISM | 26.0 ± 0.4 | 525 ± 2 | 10−4–10−1 | 10−5.14±0.03 |
| Work | Ion | Linear Range (M) | Limit of Detection (M) | Sensitivity (mV/dec) |
|---|---|---|---|---|
| [20] | NH4+ | 10−5–10−1 | 4.1 × 10−6 | 58.1 |
| [21] | NH4+ | 10−5–10−1 | 2.82 × 10−5 | 51.7 |
| NO3− | 10−5–10−1 | 2.06 × 10−5 | −54.8 | |
| [22] | NO3− | 10−4.3–10−1 | 3 × 10−5 | −57.9 |
| [4] | Na+ | 10−4–10−1 | 10−5 | 42.7 ± 0.2 |
| Ca2+ | 10−4–10−1 | 10−5 | 28.7 ± 0.2 | |
| [3] | Na+ | 10−7–10−1 | - | 56 ± 1 |
| Ca2+ | 10−8–10−1 | - | 29 ± 1 |
| Sample | Nitrate Found by NO3−-ISE, mgL−1 | Ammonium Found by NH4+-ISE, mgL−1 | Sodium Found by Na+-ISE, mgL−1 | Calcium Found by Ca2+-ISE, mgL−1 |
|---|---|---|---|---|
| Rudawa river water | 15.15 ± 0.11 | 0.73 ± 0.03 | 15.5 ± 0.4 | 82.75 ± 1.7 |
| Dunajec river water | 4.78 ± 0.03 | 0.56 ± 0.02 | 9.41 ± 0.09 | 34.1 ± 0.8 |
| Biała river water | 5.74 ± 0.09 | 0.83 ± 0.03 | 18.5 ± 0.5 | 64.5 ± 1.3 |
| Sample | Nitrate Found by NO3−-ISE, mgL−1 | Ammonium Found by NH4+-ISE, mgL−1 | Sodium Found by Na+-ISE, mgL−1 | Calcium Found by Ca2+-ISE, mgL−1 |
|---|---|---|---|---|
| Substrate for green plants | 850 ± 30 | 20.0 ± 0.6 | 41.5 ± 0.5 | 267 ± 4 |
| Substrate for flowering plants | 1020 ± 20 | 9.1 ± 0.2 | 30.3 ± 0.6 | 268 ± 2 |
| Soil | <LoD | 0.72 ± 0.07 | 2.6 ± 0.2 | 34.3 ± 0.4 |
| Sample | Nitrate Found by NO3−-ISE, mg/g | Ammonium Found by NH4+-ISE, mg/g | Sodium Found by Na+-ISE, mg/g | Calcium Found by Ca2+-ISE, mg/g |
|---|---|---|---|---|
| Substrate for green plants | 4.2 ± 0.1 | 0.099 ± 0.002 | 0.206 ± 0.002 | 1.33 ± 0.02 |
| Substrate for flowering plants | 6.7 ± 0.2 | 0.059 ± 0.001 | 0.197 ± 0.004 | 2.39 ± 0.02 |
| Soil | <LoD | 0.0019 ± 0.0002 | 0.0067 ± 0.0006 | 0.088 ± 0.001 |
Disclaimer/Publisher’s Note: The statements, opinions and data contained in all publications are solely those of the individual author(s) and contributor(s) and not of MDPI and/or the editor(s). MDPI and/or the editor(s) disclaim responsibility for any injury to people or property resulting from any ideas, methods, instructions or products referred to in the content. |
© 2025 by the authors. Licensee MDPI, Basel, Switzerland. This article is an open access article distributed under the terms and conditions of the Creative Commons Attribution (CC BY) license (https://creativecommons.org/licenses/by/4.0/).
Share and Cite
Niemiec, B.; Piech, R.; Paczosa-Bator, B. A Multi-Sensor for Direct and Simultaneous Monitoring of Changes in the Contents of Four Ionic Components. Molecules 2025, 30, 1118. https://doi.org/10.3390/molecules30051118
Niemiec B, Piech R, Paczosa-Bator B. A Multi-Sensor for Direct and Simultaneous Monitoring of Changes in the Contents of Four Ionic Components. Molecules. 2025; 30(5):1118. https://doi.org/10.3390/molecules30051118
Chicago/Turabian StyleNiemiec, Barbara, Robert Piech, and Beata Paczosa-Bator. 2025. "A Multi-Sensor for Direct and Simultaneous Monitoring of Changes in the Contents of Four Ionic Components" Molecules 30, no. 5: 1118. https://doi.org/10.3390/molecules30051118
APA StyleNiemiec, B., Piech, R., & Paczosa-Bator, B. (2025). A Multi-Sensor for Direct and Simultaneous Monitoring of Changes in the Contents of Four Ionic Components. Molecules, 30(5), 1118. https://doi.org/10.3390/molecules30051118

