Type II ZnO-MoS2 Heterostructure-Based Self-Powered UV-MIR Ultra-Broadband p-n Photodetectors
Abstract
1. Introduction
| Active Material | Wavelength λ (μm) | Bias Voltage (V) | Responsivity (mA/W) | Response Time 1 (ms) | Ref. |
|---|---|---|---|---|---|
| MoS2 | 0.4–1.1 | 1.4 × 107 (@700 nm) | 2.5 | [10] | |
| MoS2 | 0.445–2.717 | 50.7 | [11] | ||
| MoS2 + Si | 0.405–0.98 | 1 V | 74.6 | tr = 0.178, td = 0.198 | [12] |
| MoS2 2D/0D | 0.365–0.78 | 12.8 (@554 nm) | [13] | ||
| MoS2 + ZnS | 0.365–0.78 | 0.0179 (@554 nm) | [14] | ||
| MoS2 + CuInSe2-QDs | 0.355–1.064 | 5 V | 74.8 × 103 (@1064 nm) | [15] | |
| MoS2 + PDPP3T | 0.38–0.98 | 12.4 (@380 nm) | [16] | ||
| MoS2 + Ga2O3 | 0.254–1.2 | 5 V | 171 × 103 (@900 nm) | tr = 0.097, td = 0.114 | [17] |
| MoS2 + P(VDF-TrFE) | 0.375–10 | 5 V | 140 (@2.76–10 μm) | 5.5 (@2.76–10 μm) | [18] |
| MoS2 + V2O5 | 0.365–0.78 | −1 V | 65.1 (@554 nm) | ~40,000 (@554 nm) | [19] |
| MoS2 + SnS2-QD | 0.365–0.78 | 1 V | 435 × 103 (@554 nm) | tr = ~100 | [20] |
| MoS2 + CdS | 0.365–0.7 | 1 V | 5.5 × 103 (@700 nm) | tr = 100 (@610 nm) | [21] |
| Graphene + MoS2 + graphene | 0.405–2 | −1 V | 414 × 103 (@532 nm) 376 × 103 (@2 μm) | 692.5 (@532 nm) | [22] |
| ZnO + MoS2 | 0.365–10 | 0 V 0.5 V | 0.17 (@940 nm) 1.46 (@940 nm) | tr = 140, td = 100 | This work |
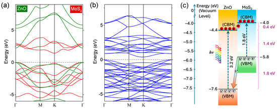
2. Properties of ZnO and MoS2 Heterostructures
3. Discussion
4. Materials and Methods
4.1. Photodetector Fabrication
4.2. The Computation Method
5. Conclusions
Author Contributions
Funding
Institutional Review Board Statement
Informed Consent Statement
Data Availability Statement
Acknowledgments
Conflicts of Interest
References
- Si, W.; Zhou, W.; Liu, X.; Wang, K.; Liao, Y.; Yan, F.; Ji, X. Recent Advances in Broadband Photodetectors from Infrared to Terahertz. Micromachines 2022, 13, 427. [Google Scholar] [CrossRef] [PubMed]
- Das, P.; Ganguly, S.; Rosenkranz, A.; Wang, B.; Yu, J.; Srinivasan, S.; Rajabzadeh, A.R. MXene/0D nanocomposite architectures: Design, properties and emerging applications. Mater. Today Nano 2023, 24, 100428. [Google Scholar] [CrossRef]
- Dutta, A.; Sengupta, R.; Krishnan, A.; Islam, S.; Dhar, N. Broadband Detector for Optical Communication. In Active and Passive Optical Components for Communications VII; SPIE: Bellingham, WA, USA, 2007; Volume 6775, pp. 123–133. [Google Scholar]
- Dutta, J.K.; Oduor, P.; Dutta, A.K.; Dhar, N.K. Analytical Model for Design-Optimization and Performances of Fabri-cated Broadband (VIS-SWIR) Photodetector for Image Sensor and Optical Communication Applications. In Image Sensing Technologies: Materials, Devices, Systems, and Applications V; SPIE: Bellingham, WA, USA, 2018; Volume 10656, pp. 127–135. [Google Scholar]
- Khalid, A.; Naeem, M.; Atrooz, O.; Mozafari, M.R.; Anari, F.; Taghavi, E.; Rashid, U.; Aziz, B. State of the Art Synthesis of Ag-ZnO-Based Nanomaterials by Atmospheric Pressure Microplasma Techniques. Surfaces 2024, 7, 680–697. [Google Scholar] [CrossRef]
- Zhou, A.F.; Flores, S.Y.; Pacheco, E.; Peng, X.; Zhang, S.G.; Feng, P.X. Ternary TiO2/MoS2/ZnO heteronano-structure based multifunctional sensing devices. Discov. Nano 2024, 19, 157. [Google Scholar] [CrossRef] [PubMed]
- Wang, X.; Zhang, H.; Yu, W. The study of electronic and optical properties of ZnO/MoS2 and its vacancy hetero-structures by first principles. Int. J. Quantum Chem. 2024, 124, e27329. [Google Scholar] [CrossRef]
- Ma, S.; Liu, N.; Li, Z.; Qin, C.; Jiao, Z. Defect-regulated charge carrier dynamics in two-dimensional ZnO/MoS2 heterostructure. Results Phys. 2023, 53, 106948. [Google Scholar] [CrossRef]
- Cao, F.; Liu, L.; Li, L. Short-wave infrared photodetector. Mater. Today 2023, 62, 327–349. [Google Scholar] [CrossRef]
- Saenz, G.A.; Karapetrov, G.; Curtis, J.; Kaul, A.B. Ultra-high photoresponsivity in suspended metal-semicon-ductor-metal mesoscopic multilayer MoS2 broadband detector from UV-to-IR with low Schottky barrier contacts. Sci. Rep. 2018, 8, 1276. [Google Scholar] [CrossRef] [PubMed]
- Xie, Y.; Zhang, B.; Wang, S.; Wang, D.; Wang, A.; Wang, Z.; Yu, H.; Zhang, H.; Chen, Y.; Zhao, M.; et al. Ultrabroadband MoS2 photodetector with spectral response from 445 to 2717 nm. Adv. Mater. 2017, 29, 1605972. [Google Scholar] [CrossRef]
- Guo, J.; Li, S.; Ke, Y.; Lei, Z.; Liu, Y.; Mao, L.; Gong, T.; Cheng, T.; Huang, W.; Zhang, X. Broadband photodetector based on vertically stage-liked MoS2/Si heterostructure with ultra-high sensitivity and fast response speed. Scr. Mater. 2020, 176, 1–6. [Google Scholar] [CrossRef]
- Selamneni, V.; Ganeshan, S.K.; Sahatiya, P. All MoS 2 based 2D/0D localized unipolar heterojunctions as flexible broadband (UV-vis-NIR) photodetectors. J. Mater. Chem. C 2020, 8, 11593–11602. [Google Scholar] [CrossRef]
- Gomathi, P.T.; Sahatiya, P.; Badhulika, S. Large-area, flexible broadband photodetector based on ZnS–MoS2 hybrid on paper substrate. Adv. Funct. Mater. 2017, 27, 1701611. [Google Scholar] [CrossRef]
- Shen, T.; Li, F.; Zhang, Z.; Xu, L.; Qi, J. High-performance broadband photodetector based on monolayer MoS2 hybridized with environment-friendly CuInSe2 quantum dots. ACS Appl. Mater. Interfaces 2020, 12, 54927–54935. [Google Scholar] [CrossRef]
- Tang, D.; Du, Z.; Xie, Y.; Zhao, F.; Yang, X.; Gu, C.; Shen, X. UV to NIR Broadband Flexible Photodetector Based on Solution-Processed MoS2/PDPP3T Inorganic–Organic Hybrid Heterostructures. Adv. Mater. Interfaces 2024, 11, 2301065. [Google Scholar] [CrossRef]
- Wadhwa, R.; Kaur, D.; Zhang, Y.; Alexender, A.; Kumar, D.; Kumar, P.; Namboothiry, M.A.; Qiao, Q.; Kumar, M. Fast response and high-performance UV-C to NIR broadband photodetector based on MoS2/a-Ga2O3 heterostructures and impact of band-alignment and charge carrier dynamics. Appl. Surf. Sci. 2023, 632, 157597. [Google Scholar] [CrossRef]
- Wang, X.; Shen, H.; Chen, Y.; Wu, G.; Wang, P.; Xia, H.; Lin, T.; Zhou, P.; Hu, W.; Meng, X.; et al. Multimechanism synergistic photodetectors with ultrabroad spectrum response from 375 nm to 10 µm. Adv. Sci. 2019, 6, 1901050. [Google Scholar] [CrossRef]
- Sahatiya, P.; Badhulika, S. Discretely distributed 1D V2O5 nanowires over 2D MoS2 nanoflakes for an enhanced broadband flexible photodetector covering the ultraviolet to near infrared region. J. Mater. Chem. C 2017, 5, 12728–12736. [Google Scholar] [CrossRef]
- Kolli, C.S.R.; Selamneni, V.A.; Muñiz Martínez, B.; Fest Carreno, A.; Emanuel Sanchez, D.; Terrones, M.; Strupiechonski, E.; De Luna Bugallo, A.; Sahatiya, P. Broadband, ultra-high-responsive monolayer MoS2/SnS2 quantum-dot-based mixed-dimensional photodetector. ACS Appl. Mater. Interfaces 2022, 14, 15415–15425. [Google Scholar] [CrossRef] [PubMed]
- Zheng, W.; Feng, W.; Zhang, X.; Chen, X.; Liu, G.; Qiu, Y.; Hasan, T.; Tan, P.; Hu, P.A. Anisotropic growth of nonlayered CdS on MoS2 monolayer for functional vertical heterostructures. Adv. Funct. Mater. 2016, 26, 2648–2654. [Google Scholar] [CrossRef]
- Gao, S.; Wang, Z.; Wang, H.; Meng, F.; Wang, P.; Chen, S.; Zeng, Y.; Zhao, J.; Hu, H.; Cao, R.; et al. Graphene/MoS2/graphene vertical heterostructure-based broadband photodetector with high performance. Adv. Mater. Interfaces 2021, 8, 2001730. [Google Scholar] [CrossRef]
- Ali, G.M. Performance analysis of planar Schottky photodiode based on nanostructured ZnO thin film grown by three different techniques. J. Alloys Compd. 2020, 831, 154859. [Google Scholar] [CrossRef]
- Yang, B.; Kumar, A.; Feng, P.; Katiyar, R.S. Structural degradation and optical property of nanocrystalline ZnO films grown on Si (100). Applied Physics Letters 2008, 92, 233112. [Google Scholar] [CrossRef]
- Peng, X.; Chen, J.; Wang, S.; Wang, L.; Duan, S.; Feng, P.; Chu, J. High-temperature operation of v-MoS2 nanowalls/TiO2 photodetectors with excellent performances. Appl. Surf. Sci. 2022, 599, 153904. [Google Scholar] [CrossRef]
- Lee, C.; Yan, H.; Brus, L.E.; Heinz, T.F.; Hone, J.; Ryu, S. Anomalous lattice vibrations of single-and few-layer MoS2. ACS Nano 2010, 4, 2695–2700. [Google Scholar] [CrossRef]
- Mak, K.F.; Lee, C.; Hone, J.; Shan, J.; Heinz, T.F. Atomically Thin MoS2: A New Direct-Gap Semiconductor. Phys. Rev. Lett. 2010, 105, 136805. [Google Scholar] [CrossRef]
- Liu, H.Q.; Yao, C.B.; Liu, X.J.; Jiang, C.H. Heterointerface-enhanced ultrafast carrier dynamics and nonlinear optical response via constructing electronic structure-induced type-I ZnO-MoS2 nn heterojunction. Appl. Surf. Sci. 2022, 580, 152222. [Google Scholar] [CrossRef]
- Trajić, J.; Kostić, R.; Romčević, N.; Romčević, M.; Mitrić, M.; Lazović, V.; Balaž, P.; Stojanović, D. Raman Spectroscopy of ZnS Quantum Dots. J. Alloys Compd. 2015, 637, 401–406. [Google Scholar] [CrossRef]
- Itoh, N. Verification of Si wafer first-order phonon peaks for reliable calibration of Raman microscopes. J. Raman Spectrosc. 2024, 55, 377–385. [Google Scholar] [CrossRef]
- Yang, B.; Feng, P.; Kumar, A.; Katiyar, R.S.; Achermann, M. Structural and optical properties of N-doped ZnO nanorod arrays. J. Phys. D Appl. Phys. 2009, 42, 195402. [Google Scholar] [CrossRef]
- Gurylev, V.; Perng, T.P. Defect Engineering of ZnO: Review on Oxygen and Zinc Vacancies. J. Eur. Ceram. Soc. 2021, 41, 4977–4996. [Google Scholar] [CrossRef]
- Liu, C.; Ma, J.; Zhang, F.J.; Wang, Y.R.; Kong, C. Facile formation of Mo-vacancy defective MoS2/CdS nanoparticles enhanced efficient hydrogen production. Colloids Surf. A Physicochem. Eng. Asp. 2022, 643, 128743. [Google Scholar] [CrossRef]
- Srivastava, S.; Mohapatra, Y.N. MoS2|ZnO isotype heterostructure diode: Carrier transport and band alignment. J. Appl. Phys. 2021, 129, 205702. [Google Scholar] [CrossRef]
- Zhou, J.; Zhang, N.; Liu, J.; Gao, Q.; Zhang, Y.; Gao, F.; Hu, P.; Feng, W. The Rise of 2D Materials-Based Photoelectrochemical Photodetectors: Progress and Prospect. Adv. Opt. Mater. 2024, 12, 2400706. [Google Scholar] [CrossRef]
- Lee, S.H.; Bae, J.; Lee, S.W.; Jang, J.W. Improvement of Polypyrrole Nanowire Devices by Plasmonic Space Charge Generation: High Photocurrent and Wide Spectral Response by Ag Nanoparticle Decoration. Nanoscale 2015, 7, 17328–17337. [Google Scholar] [CrossRef]
- Zhao, K.; Ouyang, B.; Yang, Y. Enhancing Photocurrent of Radially Polarized Ferroelectric BaTiO3 Materials by Ferro-Pyro-Phototronic Effect. iScience 2018, 3, 208–216. [Google Scholar] [CrossRef] [PubMed]
- Xiao, K.; Schmidt, O.G. Light-Driven Ion Transport in Nanofluidic Devices: Photochemical, Photoelectric, and Photothermal Effects. CCS Chem. 2022, 4, 54–65. [Google Scholar] [CrossRef]
- Xue, F.; Chen, L.; Chen, J.; Liu, J.; Wang, L.; Chen, M.; Pang, Y.; Yang, X.; Gao, G.; Zhai, J.; et al. p-Type MoS2 and n-Type ZnO Diode and Its Performance Enhancement by the Piezophototronic Effect. Adv. Mater. 2016, 28, 3391–3398. [Google Scholar] [CrossRef] [PubMed]
- He, K.; Poole, C.; Mak, K.F.; Shan, J. Experimental Demonstration of Continuous Electronic Structure Tuning via Strain in Atomically Thin MoS2. Nano Lett. 2013, 13, 2931–2936. [Google Scholar] [CrossRef] [PubMed]
- Castellanos-Gomez, A.; Roldán, R.; Cappelluti, E.; Buscema, M.; Guinea, F.; Van Der Zant, H.S.; Steele, G.A. Local Strain Engineering in Atomically Thin MoS2. Nano Lett. 2013, 13, 5361–5366. [Google Scholar] [CrossRef]
- Manzeli, S.; Allain, A.; Ghadimi, A.; Kis, A. Piezoresistivity and Strain-Induced Band Gap Tuning in Atomically Thin MoS2. Nano Lett. 2015, 15, 5330–5335. [Google Scholar] [CrossRef]
- Peng, X.; Han, Y.; Zhang, Q.; Feng, P.; Jia, P.; Cui, H.; Wang, L.; Duan, S. Transactions on Electron Devices: Performance Improvement of MoS2 Gas Sensor at Room Temperature. IEEE Trans. Electron Devices 2021, 68, 4644–4650. [Google Scholar] [CrossRef]
- Tongay, S.; Zhou, J.; Ataca, C.; Lo, K.; Matthews, T.S.; Li, J.; Grossman, J.C.; Wu, J. Thermally driven crossover from indirect toward direct bandgap in 2D semiconductors: MoSe2 versus MoS2. Nano Lett. 2012, 12, 5576–5580. [Google Scholar] [CrossRef]
- Wang, G.; Yuan, H.; Chang, J.; Wang, B.; Kuang, A.; Chen, H. ZnO/MoX2 (X = S, Se) composites used for visible light photocatalysis. RSC Adv. 2018, 8, 10828–10835. [Google Scholar] [CrossRef]
- Nayak, D.; Thangavel, R. Insight into enhanced photocatalytic properties of a type-II MoS2/ZnO heterostructure and tuning its properties and interfacial charge transfer by strain. New J. Chem. 2023, 47, 3328–3340. [Google Scholar] [CrossRef]
- Wang, S.; Ren, C.; Tian, H.; Yu, J.; Sun, M. MoS2/ZnO van der Waals heterostructure as a high-efficiency water splitting photocatalyst: A first-principles study. Phys. Chem. Chem. Phys. 2018, 20, 13394–13399. [Google Scholar] [CrossRef]
- Yang, K.; Liu, T.; Zhang, X.D. Bandgap engineering and near-infrared-II optical properties of monolayer MoS2: A first-principle study. Front. Chem. 2021, 9, 700250. [Google Scholar] [CrossRef] [PubMed]
- Feng, P.X.; Aldalbahi, A. A compact design of a characterization station for far UV photodetectors. Rev. Sci. Instrum. 2018, 89, 015001. [Google Scholar] [CrossRef] [PubMed]
- Giannozzi, P.; Baroni, S.; Bonini, N.; Calandra, M.; Car, R.; Cavazzoni, C.; Ceresoli, D.; Chiarotti, G.L.; Cococcioni, M.; Dabo, I.; et al. QUANTUM ESPRESSO: A modular and open-source software project for quantum simulations of materials. J. Phys. Condens. Matter 2009, 21, 395502. [Google Scholar] [CrossRef]
- Kresse, G.; Joubert, D. From ultrasoft pseudopotentials to the projector augmented-wave method. Phys. Rev. B 1999, 59, 1758–1775. [Google Scholar] [CrossRef]
- Perdew, J.P.; Burke, K.; Ernzerhof, M. Generalized gradient approximation made simple. Phys. Rev. Lett. 1996, 77, 3865–3868. [Google Scholar] [CrossRef]
- Grimme, S.; Antony, J.; Ehrlich, S.; Krieg, H. A consistent and accurate ab initio parametrization of density functional dispersion correction (DFT-D) for the 94 elements H-Pu. J. Chem. Phys. 2010, 132, 154104. [Google Scholar] [CrossRef] [PubMed]
- Perdew, J.P.; Levy, M. Physical content of the exact Kohn-Sham orbital energies: Band gaps and derivative discontinuities. Phys. Rev. Lett. 1983, 51, 1884. [Google Scholar] [CrossRef]
- Sham, L.J.; Schlüter, M. Density-functional theory of the energy gap. Phys. Rev. Lett. 1983, 51, 1888. [Google Scholar] [CrossRef]
- Heyd, J.; Scuseria, G.E.; Ernzerhof, M. Erratum: Hybrid functionals based on a screened Coulomb potential. J. Chem. Phys. 2006, 124, 219906. [Google Scholar] [CrossRef]





Disclaimer/Publisher’s Note: The statements, opinions and data contained in all publications are solely those of the individual author(s) and contributor(s) and not of MDPI and/or the editor(s). MDPI and/or the editor(s) disclaim responsibility for any injury to people or property resulting from any ideas, methods, instructions or products referred to in the content. |
© 2025 by the authors. Licensee MDPI, Basel, Switzerland. This article is an open access article distributed under the terms and conditions of the Creative Commons Attribution (CC BY) license (https://creativecommons.org/licenses/by/4.0/).
Share and Cite
Zhou, B.; Peng, X.; Chu, J.; Malca, C.; Diaz, L.; Zhou, A.F.; Feng, P.X. Type II ZnO-MoS2 Heterostructure-Based Self-Powered UV-MIR Ultra-Broadband p-n Photodetectors. Molecules 2025, 30, 1063. https://doi.org/10.3390/molecules30051063
Zhou B, Peng X, Chu J, Malca C, Diaz L, Zhou AF, Feng PX. Type II ZnO-MoS2 Heterostructure-Based Self-Powered UV-MIR Ultra-Broadband p-n Photodetectors. Molecules. 2025; 30(5):1063. https://doi.org/10.3390/molecules30051063
Chicago/Turabian StyleZhou, Badi, Xiaoyan Peng, Jin Chu, Carlos Malca, Liz Diaz, Andrew F. Zhou, and Peter X. Feng. 2025. "Type II ZnO-MoS2 Heterostructure-Based Self-Powered UV-MIR Ultra-Broadband p-n Photodetectors" Molecules 30, no. 5: 1063. https://doi.org/10.3390/molecules30051063
APA StyleZhou, B., Peng, X., Chu, J., Malca, C., Diaz, L., Zhou, A. F., & Feng, P. X. (2025). Type II ZnO-MoS2 Heterostructure-Based Self-Powered UV-MIR Ultra-Broadband p-n Photodetectors. Molecules, 30(5), 1063. https://doi.org/10.3390/molecules30051063

