Next Article in Journal
Ultrasound-Assisted Extraction of Polysaccharides from Lyophyllum decastes: Structural Analysis and Bioactivity Assessment
Previous Article in Journal
Bioconversion of Liquid and Solid Lipid Waste by Yarrowia lipolytica Yeast: A Study of Extracellular Lipase Biosynthesis and Microbial Lipid Production
 
 
Font Type:
Arial Georgia Verdana
Font Size:
Aa Aa Aa
Line Spacing:
Column Width:
Background:
Review

Anticancer Activity of Ether Derivatives of Chrysin

by
Arkadiusz Sokal
1,2,
Patryk Mruczek
1,
Mateusz Niedoba
2,3,
Agnieszka Dewalska
2,4,
Klaudia Stocerz
2,5 and
Monika Kadela-Tomanek
3,*
1
Department of Organic Chemistry, Faculty of Pharmaceutical Sciences in Sosnowiec, Medical University of Silesia, 4 Jagiellońska Str., 41-200 Sosnowiec, Poland
2
Doctoral School, Medical University of Silesia in Katowice, 15 Poniatowskiego Str., 40-055 Katowice, Poland
3
Department of Pathology, Faculty of Pharmaceutical Sciences in Sosnowiec, Medical University of Silesia, 30 Ostrogórska Str., 41-200 Sosnowiec, Poland
4
Department of Microbiology and Immunology, Faculty of Medical Sciences in Zabrze, Medical University of Silesia, 19 Jordana Str., 41-800 Zabrze, Poland
5
Department of Community Pharmacy, Faculty of Pharmaceutical Sciences in Sosnowiec, Medical University of Silesia in Katowice, 10 Jedności Str., 41-200 Sosnowiec, Poland
*
Author to whom correspondence should be addressed.
Molecules 2025, 30(4), 960; https://doi.org/10.3390/molecules30040960
Submission received: 30 December 2024 / Revised: 15 February 2025 / Accepted: 18 February 2025 / Published: 19 February 2025

Abstract

Chrysin, a naturally occurring flavonoid, exhibits a broad spectrum of biological activities, including showing anticancer properties. However, its clinical application is limited by poor bioavailability and low solubility. The introduction of an amine, amide, ester, or alkoxy group to a flavone skeleton influences the biological activity. This review also discusses hybrid compounds, such as the chrysin–porphyrin hybrid, which are characterized by higher biological activity and better bioavailability properties than single molecules. This review concentrates on the anticancer activity of chrysin and its derivatives against the most popular cancers, such as breast, lung, prostate, and gastrointestinal tumors.

1. Introduction

According to an Organization for Economic Co-operation and Development (OECD) report, cancer was a cause of death of about 1 out of 5 people in OECD countries in 2021. This makes it the second leading cause of death after circulatory diseases [1,2]. One of the most important causes of the high mortality rate is the low effects of used anticancer treatment. For this reason, the research of novel cancer therapies is very important [3,4].
Substances of natural origin have a major role in the development of pharmaceutics. It is estimated that plants have been used in medicine for more than 65,000 years. However, the first described examples of the use of natural substances as medical preparations were found on Sumerian clay slabs dated before 5000 years ago [5,6]. Despite the progress in drug development, substances from natural sources are still important. It is estimated that more than 40% of current pharmaceutics are obtained from plants or are semi-synthetic derivatives of natural substances [7,8].
One of the important classes of natural substances exhibiting high biological activity is flavonoids, which occur in many plants, fruits, and mushrooms [9,10]. Flavonoids belong to a family of phenolic compounds and polyphenols that include more than 6000 different structures. The flavonoid scaffold consists of fifteen carbons, which create two phenyl rings and one pyran moiety [11,12].
One of the subgroups of flavonoids is flavones, which are widely distributed in the plant kingdom. Flavones exhibit high antioxidant activity [13,14,15], protect cell membranes [16,17], reduce lipid levels [16], and inhibit xanthan oxidase [18]. In addition, they exhibit many pharmaceutical effects, including, in particular, anticancer activity, which is related to the structure of flavones. Their basic structure consists of two benzene rings (A and B) linked by an oxygen-containing heterocyclic ring. The characteristic features of flavones include a carbonyl group attached to the carbon atom at the C4 position and a double bond between C2 and C3 (Figure 1a) [13,14,15,19].
The double bond at the pyran moiety and the carbonyl group at the C4 position influence the biological activity of flavones. According to the literature data, this fragment of the flavone structure is responsible for the anticancer activity of the compound [11,15]. Most widespread flavones are hydroxyflavones, which contain one or more hydroxyl groups. An example of hydroxylated flavone is chrysin 1, which contains two hydroxyl groups at C5 and C7 positions (Figure 1b) [10,20]. The chemical modification of chrysin usually consists of the modification of two hydroxyl groups at the C5 and C7 positions. However, OH at the C7 position is more reactive and such derivatives are mostly described [21,22]. Compound 1 is found in many plant species, such as the passiflora (Passiflora edulis Sims), including its fruit, the bitter melon (Momordica charantia), walnut flowers (Juglans regia), and the wild Himalayan pear (Pyrus pashia) [23,24,25,26]. In addition, it is also found in honey, propolis, and even some mushroom species [25,27,28]. Chrysin 1 shows a broad spectrum of biological activity, such as anticancer [25,29,30,31,32,33], anti-inflammatory [34,35,36], antiasthmatic [34], antimicrobial [34], antiaging [37,38], antidiabetic [39], antidepressant [40,41], neuroprotective [42,43], cardioprotective [43,44,45,46], and hepatoprotective [47].
The use of compound 1 is limited due to low absorption after oral administration, which is equal to 5%. The low bioavailability of chrysin 1 causes poor water solubility and rapid degradation in the gastrointestinal tract [48,49]. The introduction of additional substituents influences the bioavailability and activity of semi-synthetic compounds. The search for derivatives of known compounds with proven biological activity is a critical aspect of modern drug discovery and development [50]. This review reports semi-synthetic and synthetic chrysin derivatives that exhibit anticancer activity published between 2014 and 2024.

2. Anticancer Activity and Bioavailability of Chrysin

The literature describes the anticancer effects of chrysin 1 on different types of cancer cell lines [30,33,51,52,53,54,55,56]. For example, compound 1 reduces the VEGF gene expression associated with induced hypoxia in breast cancer. This effect could reduce breast-to-lung metastasis and cell proliferation [53].
In prostate cancer cells, compound 1 causes downregulation of PI3K/Akt pathway expression, which is responsible for increased cell proliferation and metastasis formation [57,58,59,60]. Studies on cervical cancer cell lines show that chrysin 1 causes downregulation of the NF-κB pathway and increases caspase-3, caspase-9, and Bax levels, which can be indicated as leading to inhibition of the cell cycle between the G2/M phases and its apoptosis [56,61,62,63,64].
In gastrointestinal cancers, a particular role is played by a reduction in the activity of the enzyme ten-eleven translocation (TET), which interferes with tumor cell migration and causes apoptosis [52,65,66,67].
The literature describes that compound 1 increases the expression of peroxisome proliferator-activated receptor alpha (PARPα) [27,68]. PARPα induces the downregulation of CYP2S1 and CYP1B1 expression, which leads to tumor cycle arrest, the induction of apoptosis, and the reduction of tumor cell migration, inhibiting metastatic development [69].
Studies on the lung cancer cell line show that compound 1 reduces the risk of metastasis and decreases tumor cell viability [70].
The literature also describes the effect of chrysin 1 on microRNA expression. Compound 1 promotes the expression of miR-9 and Let-7a, tumor suppressor factors that inhibit cancer cell growth and proliferation [52,66].
Unfortunately, the use of chrysin 1 in cancer treatment is limited by its physical and chemical properties. One of the important problems is its poor water solubility, which limits absorption in the gastrointestinal tract [71]. Additionally, within the intestinal lumen, chrysin 1 can undergo biotransformation, such as oxidation, reduction, and condensation with other biomolecules, which can reduce the biological activity of the parent compound [72,73]. Furthermore, compound 1 is subject to intensive metabolism by the gut microbiota, which contributes to its degradation before systemic absorption occurs [74]. Chrysin 1 also interacts with membrane transporters, which may either facilitate or hinder its uptake, further complicating its pharmacokinetic profile [75]. Once absorbed, flavone 1 exhibits low plasma stability and a short half-life due to rapid hepatic metabolism via phase I and phase II enzymatic pathways [76,77]. This rapid metabolic transformation results in the elimination of chrysin through renal and fecal excretion, restricting its systemic availability.
Modern pharmaceutical formulations, such as nanocapsules [74], nano- and microemulsions [72], polymeric nanoparticles [71,73,75,78,79,80,81], liposomes [74,79], or micelles [71,73,78] allow us to obtain new forms of drugs, which could be the solution to the pharmacokinetic limitations of chrysin 1. Another promising approach is the inclusion of excipients such as piperine, which can enhance chrysin 1 absorption by inhibiting metabolic enzymes responsible for its rapid degradation and modulating membrane transporter activity to improve cellular uptake [72]. Additionally, compounds acting as either inhibitors or activators of membrane transporters may further optimize chrysin’s pharmacokinetics by regulating its intestinal absorption and systemic distribution [72,74,75]. An alternative strategy is the synthesis of semi-synthetic and synthetic derivatives. Introduction of hydrophobic groups at the C5 and/or C7 position of chrysin affects stability against oxidative degradation, increases lipophilicity, and improves membrane permeability and bioavailability. Moreover, lipophilic moieties further increase solubility, reduce metabolism, prolong half-life, and increase effectiveness by preventing chemical and metabolic hydrolysis [72]. The structural modification does not only increase the bioavailability of chrysin derivatives but may also expand on biological activities. For example, a methylglyoxal derivative of chrysin exhibited enhanced anti-glycation activity and improved water solubility, demonstrating the potential of chemical modifications to optimize its pharmacological properties [82].

3. Anticancer Activity of Ether Derivatives of Chrysin

The anticancer activity of chrysin derivatives is a promising area of research in the search for new candidates for anticancer drugs in the natural environment. Numerous studies have shown great anticancer potential of chrysin 1, but its derivatives, of both natural and synthetic origin, are the most promising candidates [20,29,30,33,40,83,84,85].
Methylated derivatives 25 are a well-studied group of compounds, which makes it possible to compare their anticancer activity on various cancer cell lines (Figure 2) [86,87,88,89]. According to the literature data, the methyl group influences the biochemical pathways. Cai et al. show that methylene derivatives of flavone reduce the COX and PEG-2 concentration, increasing anticancer activity compared with unmethylated derivatives [90].
Park et al., from Apinia oxyphalla, isolated tectochrysin 2 and examined its anticancer activity against human colon cancer cell lines (SW480 and HCT116), as well as in vivo xenograft–bearing nude mice bearing HCT116. The result shows that compound 2 inhibited both colon cancer cell lines in a concentration-dependent manner. Comparing the IC50 values shows that derivative 2 exhibited almost 1.5-times higher activity against the SW480 cell line than HCT116 (Table 1). Moreover, derivative 2 was not cytotoxic against normal CCD-18co cells. The in vivo studies prove that tumor growth was inhibited in 48.1%. The in silico studies show that compound 2 is well absorbed in the digestive tract [86]. Suradej et al. identified 2 as one of the active compounds of Kaempferia parviflora extract, which was proven to inhibit STAT3 activation as well as the production of IL-6 in HeLa cervical cancer cells [87].
Bae et al. obtained 5,7-dimethoxyflavone 3 and tested its anticancer activity alone and in a mixture of 10 μM compound 3 with (−)-epigallocatechin-3-O-gallate (EGCG) (Table 2). As seen in Table 2, the combination of 3 with EGCG increases the activity against the tested cell line [88]. Walle et al. showed that derivative 3 inhibits synthesis of DNA in tongue (SCC-9) cell line, and the effect was 10-times higher compared with chrysin 1 [91].
Compounds 45 were synthesized by Zheng et al., and their anticancer activity was tested in vitro against SGC-7901 and HT-29 cell lines. Derivative 4 exhibits comparable activity against both cell lines, whereas derivative 5 shows higher activity against HT-29 (Table 3). Comparing the activity of derivatives 45 with chrysin 1 shows that they had better activity than natural substance 1 [89].
Chrysin derivatives with ether groups have gained significant attention due to their diverse biological activities. Numerous studies have demonstrated that these compounds exhibit remarkable anticancer, antibacterial, and antifungal properties [92,93,94,95,96,97,98].
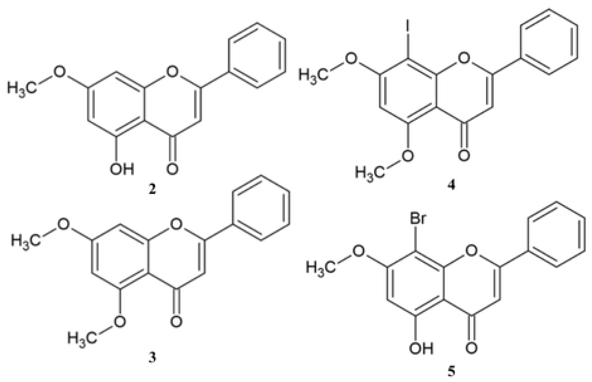
Omonga et al. synthesized derivatives 67 and tested their anticity against a panel of human cancer cell lines (Figure 3) [99].
Anticancer activity of compounds 67 against tested cell lines is in the range of 1.56 μM to 33.5 μM (Table 4). Both compounds exhibit the highest activity against colon cancer HCT116. Comparing the IC50 values against tested cell lines shows that the most important difference is observed for the HepG2 line. For this cell line, compound 7 exhibits almost 4-times higher activity than 6. The cytotoxicity of derivatives was determined against the Beas-2B cell line. The tested compounds showed low toxicity and obtained IC50, which was more than 100 μM [99].
Compound 8 was tested in vivo in a mouse model, as well as in vitro against the MCF-7, HepG2, MGC-803, and MFC cell lines (Table 5). Derivative 8 exhibited low anticancer activity against the tested cell lines. Comparison of the IC50 shows that flavone 8 is characterized by better activity against MGC-803 and MFC cells. Moreover, the in vivo test showed that in mice treated with 8 (40 mg/kg), the tumor volume at the end of the experiment was almost 4-times smaller than in the group treated with golden standard 5-Fu, without the impact on total body weight in comparison to the 5-Fu group [100].
Jin et al. synthesized compound 9, which was tested in vitro against K562, A549, HEL, and PC3. The activity was measured as a percentage of inhibition rate (Table 6). The highest activity was observed against the HEL cell line, which was almost 5- and 10-times more active than the K562 and A549 cell lines, respectively. Moreover, the compound did not inhibit the growth of the PC3 cell line [101].
Tang et al. performed synthesis of derivative 10 and analyzed in vitro its anticancer activity against Hela, BGC823, MCF-7, HepG2, and normal cells HEK-293 [102]. The results show that compound 10 inhibited the growth of the BGC823, MCF7, and HepG2 cell lines. Moreover, derivative 10 in the concentration 62.5 μM causes a 60% survival rate in normal cells HEK-293. Ether 10 at concentrations of 2.5–10 μM markedly increased the cytotoxic effects of 10-hydroxy camptothecin in cancer cells, with a particularly pronounced impact on gastric cancer BGC823 cells and breast cancer MCF7 cells.
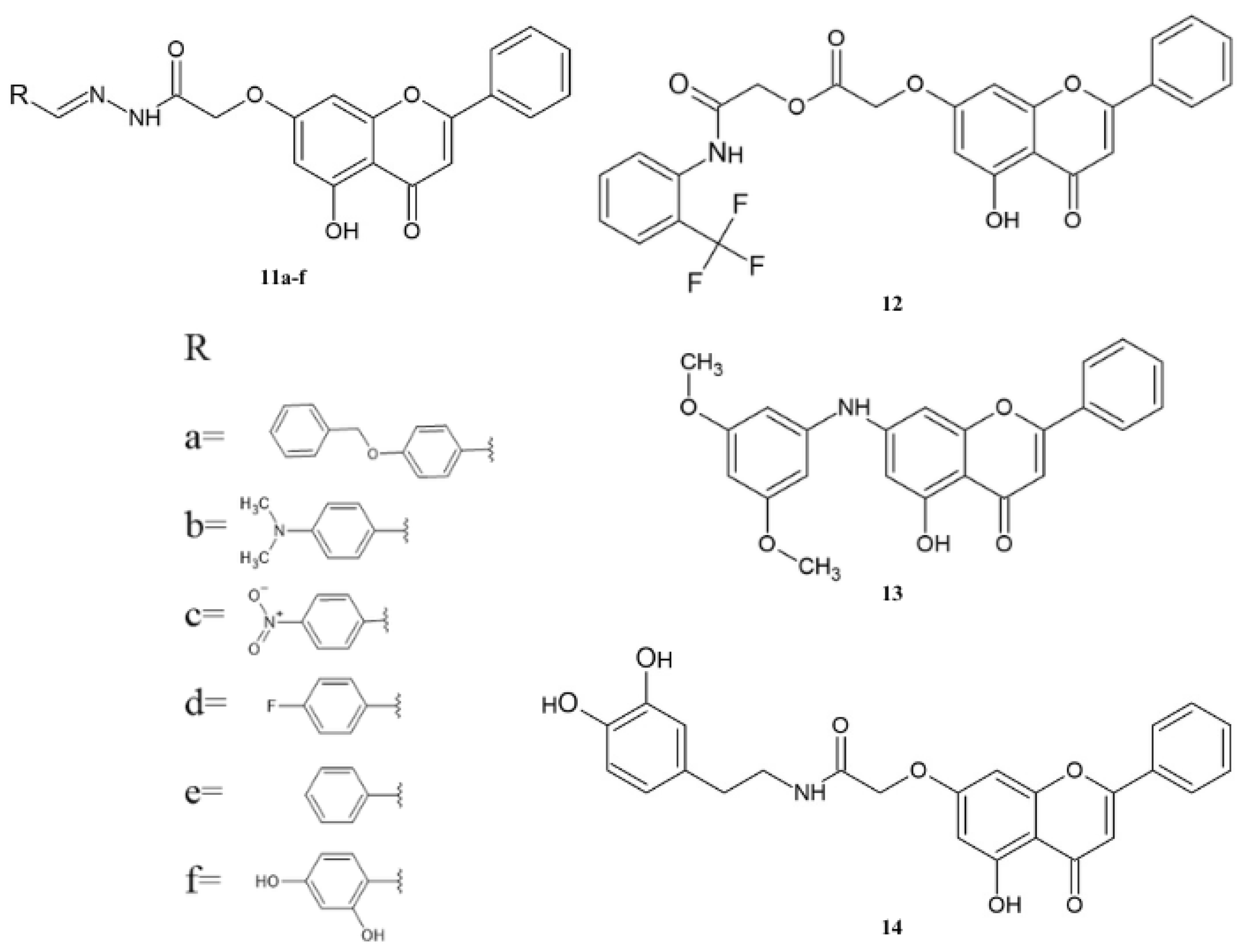
Interesting derivatives of chrysin are amine [103,104,105], imine [106,107,108,109,110,111], and, in particular, amide [110,111,112,113,114,115,116,117] derivatives that show significant anticancer activity (Figure 4).
Al-Oudat et al. synthesized and tested the anticancer activity of derivatives 11af against breast cancer cell lines (MDA-MB-231 and MCF-7). As a reference substance, they used doxorubicin. The anticancer activity of derivatives 11af are presented in Table 7 [118,119].
The tested compounds are characterized by lower activity against the tested cell lines than doxorubicin. Comparing the activity of 11ad shows that the compound exhibits higher activity than the MDA-MB-231 cell line than MCF-7. Comparing the IC50 value of derivatives 11e and 11f against MDA-MB-231 shows that the introduction of a hydroxyl group at the C3 position of the phenyl substituent increases the activity. Compounds 11ef were also tested against breast cancer (BT-20), brain cancer (U-251), and colon cancer (HCT116 and HMEC). The results showed that derivatives 11f had higher activity than 6e, and the obtained IC50 values were in the range of 2.68 μM to 8 μM and 10.43 μM to 100 μM, respectively.
The anticancer activities of compounds 12 and 13 were tested against lung (A549), colon (HCT-116), central nervous system (U251), and ovarian (OVCAR-3) cancer cell lines (Table 8). Derivative 12 exhibited moderate activity against the tested cell lines, and the IC50 is equal from 7.99 μM to 8.99 μM. Meanwhile, compound 13 shows low activity against the tested cell lines, except for HCT-15, for which the IC50 is equal to 0.06 μM [55].
The amide derivative 14 was tested against breast cancer cell lines (Table 9). The results show that compound 14 has higher activity against all tested cell lines than reference substance 1. Flavone 14 shows high activity against triple-negative breast cancer cell lines (MDA-MB-231 and MDA-MB-453). Moreover, amide 14 does not influence the normal cell line HEK293 (IC50 = 53.04 μM) [120].
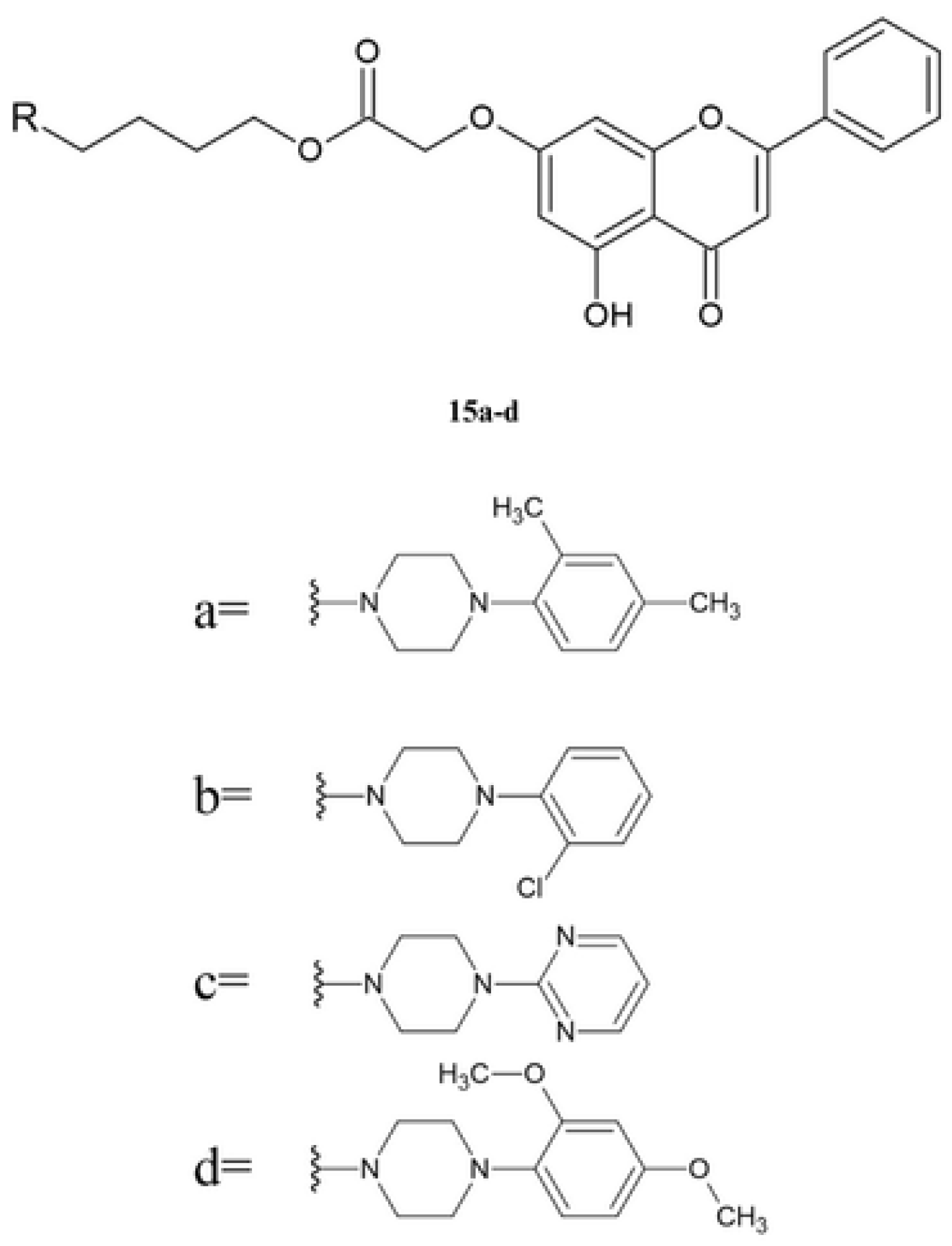
Patel et al. obtained piperazine derivatives 15ad in the multistep reaction (Figure 5) [32].
The obtained compounds 15ad were tested in vitro against cervical cancer cell lines (HeLa, CaSki) and an ovarian cancer cell line (SK-OV-3) using SRB assay. The toxicity of the compounds was evaluated using the Madin-Darby canine kidney (MDCK) cell line (Table 10).
In the series of compounds 15ad, the highest activity against the HeLa cell line is shown by derivative 15c, containing pyrimidine moiety. However, this compound is characterized by the highest toxicity against the normal cell line (MDCK). The presence and position of electron-donating and electron-withdrawing groups on the piperazine moiety played a significant role in enhancing its anticancer activity. Compounds 15a, 15b, and 15d contain differently substituted phenyl rings. The introduction of a chloride atom (15b) increases the activity against the CaSki line compared to derivatives 15ab. Moreover, derivative 15b shows low toxicity against the MDCK line. Comparing the compounds with methyl group (15a) and methoxy group (15d) shows that ether group reduces the activity against the HeLa and CaSki cell lines. Compound 15a is characterized by a high selectivity index against all tested cell lines [32].
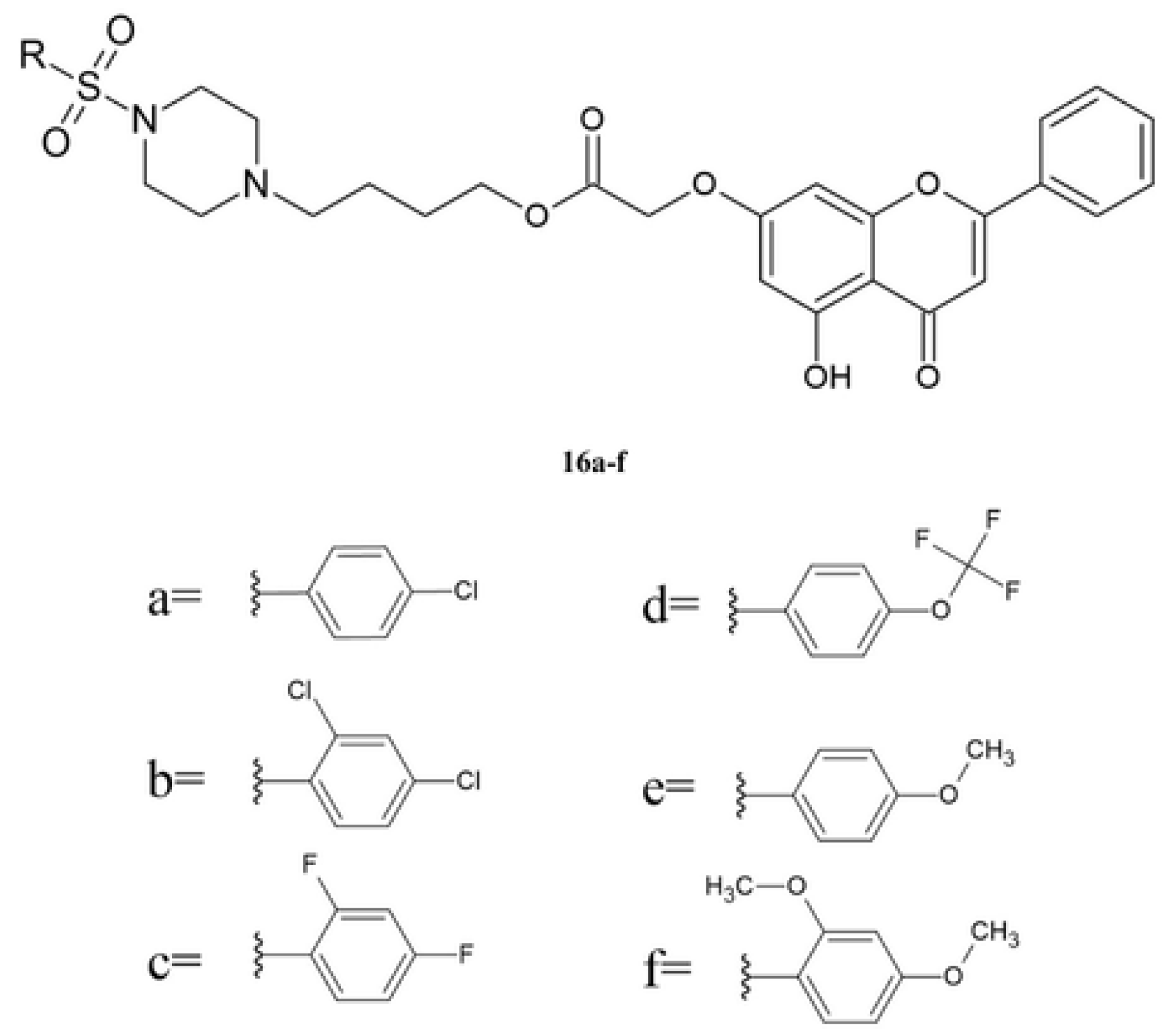
Patel et al. synthesized six various chrysin sulfonylpiperazine derivatives 16af (Figure 6) [121].
Compounds 16af were tested against four human cancer cell lines (SK-OV-3, HeLa, A549, and HT-29) and normal kidney tissue (MDCK). As a reference substance, gefitinib was used (Table 11) [121].
Derivative 16c, which contains two fluorine atom substitutions on the sulfonylpiperazine nucleus, exhibited the highest activity against the SK-OV-3 cell line, and the activity is similar to Gefitinib, the reference substance. Comparing the activity of 16b and 16c shows that the type of halogen atom influences the anticancer effect. Compound 16e contains the methoxy group at the C4 position of the phenyl ring and exhibits lower activity against SK-OV-3 compared to derivative 16f, which contains two methoxy groups at the C2 and C4 positions of the phenyl ring (Table 3). The introduction of a trifluoromethoxy group (16d) reduces the activity against the SK-OV-3 line compared with compound 16e. Comparing the activity against the HeLa cell line of derivatives 16ac shows that it is in the order of 16c > 16b > 16a, which means that compounds with two halogen atoms had high activity against this cell line. The tested compounds 16af showed low activity against the A549 and HT-29 cell lines, and the obtained IC50 values are lower than that obtained for the reference substance (Table 3). The synthesis compounds were characterized by low toxicity against the normal cell line (MDCK), and the IC50 is higher than 200 μg/mL
The analysis of the structure–activity relationship shows that for compounds 16af, there exists a strong correlation between the substituent in the phenyl moiety and the biological effect. Compounds 16ac, containing electron-withdrawing halogen substituents, such as chlorine and fluorine, exhibit higher activity against cancer cell lines compared to those with electron-donating groups. In this group of compounds, the derivative 16c shows the highest activity, which may be caused by the presence of two strong electron-withdrawing substituents. The introduction of an electronegative group influences the physicochemical properties, such as lipophilicity and metabolic stability. Meanwhile, compounds 16df, which contain electron-donating groups, showed lower anticancer activity. The tested compounds 16f showed low toxicity, and IC50 values against MDCK cells are in the range of 163.6 µg/mL to 296.8 µg/mL [121].
The literature describes the amide and ester derivatives of chrysin 1719, which were tested as an anticancer target against the HT-29 cell line and epidermal growth factor receptor kinase (EGFR) (Figure 7) [122].
As seen in Table 12, the amide derivative 18 has 2-times higher activity against the HT-29 cell line than compound 17. Both compounds cause the inhibition of the EGFR receptor. However, the replacement of an amide group with an ester group slightly reduces the activity on the EGFR receptor (Table 12) [122].
Chen et al. described the synthesis and anticancer activity of ester 19 [123]. The introduction of a chain with twenty carbon atoms at the C7 position of chrysin increases activity against the HepG2 cell line compared to chrysin 1, and the IC50 is 5-times higher for derivative 19 than that obtained for compound 1 [123].
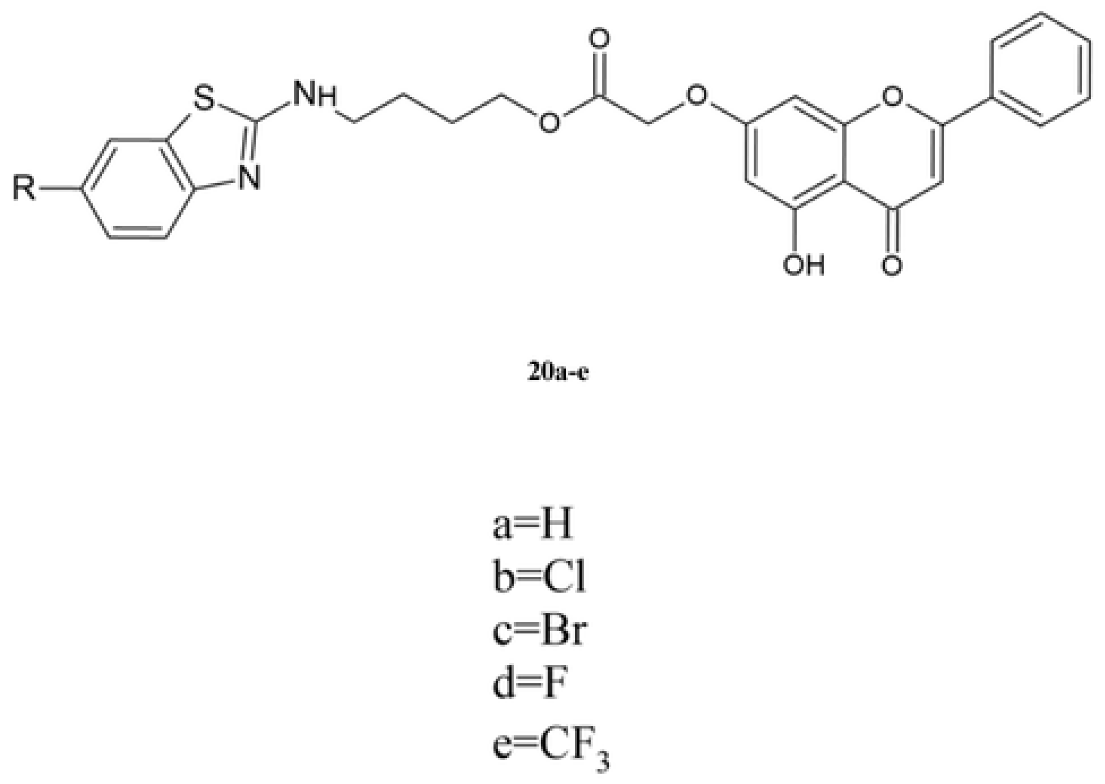
Mistry et al. synthesized the benzothiazole derivatives of chrysin 20ae (Figure 8). They determined antioxidant activity using the DPPH method and anticancer activity against a panel of human cancer cell lines. As a reference substance, ascorbic acid and taxol were used (Table 13) [124].
As seen in Table 13, derivatives 20ae exhibit lower antioxidant activity than the reference substance. The introduction of an R group increases the activity, and the order is as follows: 20b > 20c > 20e > 20d > 20a. Comparing the antioxidant effect of halogen derivatives 20bd shows that the highest value of IC50 was obtained from compounds with chloride atoms.
Compounds 20ae show high anticancer activity against the HeLa cell line, and the IC50 values are more than 2-times higher than those obtained for taxol (Table 13). The highest activity is shown for derivative 20a, which does not contain an additional R group. The introduction of a halogen atom reduces the activity. However, replacement of the halogen atom by a trifluoromethyl group slightly increases the activity. Compounds 20ae show low activity against the CaSki cell line. For this line, the introduction of an R group to the benzothiazole moiety increases anticancer activity [124].
The toxicity of compounds was determined using normal cell line MDCK. The results show that derivatives 20ae exhibited low toxicity against this cell line [124].
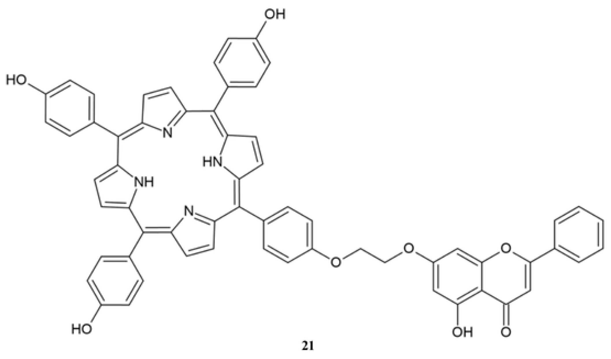
Porphyrin shows high anticancer activity, and it is used in photodynamic therapy for cancer treatment. Developing derivatives of porphyrin holds great promise for enhancing its therapeutic potential. Such modifications can expand the range of its applications, improve efficacy and potency, and reduce adverse effects. Therefore, the pursuit of novel porphyrin derivatives represents a crucial step toward optimizing its clinical utility and addressing current limitations in cancer therapy [118,125,126,127,128,129,130].
Liu et al. [131] synthesized a hybrid of porphyrin derivative with chrysin 21, which showed a high anticancer effect in in vitro tests (Figure 9).
Derivative 21 was tested against MGC-803 and HeLa cell lines both in dark and in light conditions due to different light-dependent properties of porphyrin (Table 14). The results show that anticancer activity against both HeLa and MGC-803 is similar in dark conditions. Meanwhile, in light conditions, compound 21 exhibits higher activity against HeLa cells than against MGC-803 cells. The anticancer activity of 21 against HeLa cells in light conditions was over 5-times higher compared to the activity against MGC-803 cells (Table 14) [131].
Chrysin nitrogen mustard derivative 22 is synthesized via substitution reaction by adding a nitrogen mustard moiety into the flavonoid core (Figure 10) [132].
The antiproliferative activity of 22 was tested against seven human cell lines, HeLa, PC-3, DU145, MCF-7, SH-SY5Y, HepG2, and A549, and the obtained IC50 values are in the range of 1.43 μM to 7.86 μM, and the activity was higher against all tested cell lines than the reference substances, melphalan and chrysin 1 (Table 15).
Compound 22 shows the highest activity against HeLa, PC-3, and DU145 cell lines, and the IC50 is 4-times lower than the value obtained for melphalan. The activity depends on the linker between the nitrogen mustard group and the flavonoid scaffold. The analysis of the structure–activity relationship shows that compounds with a three-carbon linker exhibit higher activity than those with two-carbon or four-carbon linkers. The biological mechanism of action is based on the inhibition of the cell cycle in the G2/M phase [132].

4. Conclusions

Chrysin, as a natural flavone, is characterized by a broad spectrum of biological activity and low toxicity. However, its use in treatment is limited due to low bioavailability. In recent years, interest in its anticancer properties has been observed. In this review, the anticancer potential of compounds with a substituent at the C7 position of the flavone moiety and a few 5,7-disubstitute derivatives of chrysin is presented. According to this review, in most cases, the anticancer activity depends on the type of substituent. In many cases, the synthetic compounds show low toxicity. For this reason, further research in all areas of presented anticancer activity of chrysin compounds is still needed to design novel, more effective, and low-toxicity structures. In recent years, there has been a trend of chrysin moieties being connected with other compounds, which exhibited higher anticancer activity with a linker. This strategy allows the acquisition of new compounds that exhibit a broad spectrum of activity against different cancer cell lines. Moreover, derivatives of chrysin show synergistic action with used anticancer drugs. The discovery of novel modifications of flavone moieties at the C7 or/and C5 positions may lead to interesting medical applications in the future.

Author Contributions

Writing—original draft preparation, A.S., P.M., M.N., A.D., K.S. and M.K.-T.; writing—review and editing, M.K.-T. All authors have read and agreed to the published version of the manuscript.

Funding

Project European Funds for Silesia 2021–2027, entitled. “Supporting the transformation of the region by strengthening the potential of the Doctoral School of the Medical University of Silesia in Katowice”: NWD/2464/2024.

Informed Consent Statement

Informed consent was obtained from all subjects involved in the study.

Conflicts of Interest

The authors declare no conflicts of interest.

References

  1. Cancer Mortality. Available online: https://www.oecd.org/en/publications/health-at-a-glance-2023_7a7afb35-en/full-report/component-14.html (accessed on 19 November 2024).
  2. OECD. Health at a Glance 2021: OECD Indicators; OECD: Paris, France, 2021; ISBN 978-92-64-96101-2. [Google Scholar]
  3. O’Reilly, M.; Mellotte, G.; Ryan, B.; O’Connor, A. Gastrointestinal Side Effects of Cancer Treatments. Ther. Adv. Chronic Dis. 2020, 11, 2040622320970354. [Google Scholar] [CrossRef]
  4. van den Boogaard, W.M.C.; Komninos, D.S.J.; Vermeij, W.P. Chemotherapy Side-Effects: Not All DNA Damage Is Equal. Cancers 2022, 14, 627. [Google Scholar] [CrossRef] [PubMed]
  5. Hassan, H.M.A. A Short History of the Use of Plants as Medicines from Ancient Times. Chimia 2015, 69, 622. [Google Scholar] [CrossRef] [PubMed]
  6. Hardy, K. Paleomedicine and the Evolutionary Context of Medicinal Plant Use. Rev. Bras. Farmacogn. 2021, 31, 1–15. [Google Scholar] [CrossRef] [PubMed]
  7. Sauter, E.R. Cancer Prevention and Treatment Using Combination Therapy with Natural Compounds. Expert. Rev. Clin. Pharmacol. 2020, 13, 265–285. [Google Scholar] [CrossRef] [PubMed]
  8. Yuan, H.; Ma, Q.; Ye, L.; Piao, G. The Traditional Medicine and Modern Medicine from Natural Products. Molecules 2016, 21, 559. [Google Scholar] [CrossRef]
  9. Panche, A.N.; Diwan, A.D.; Chandra, S.R. Flavonoids: An Overview. J. Nutr. Sci. 2016, 5, e47. [Google Scholar] [CrossRef] [PubMed]
  10. Naz, S.; Imran, M.; Rauf, A.; Orhan, I.E.; Shariati, M.A.; Iahtisham-Ul-Haq; IqraYasmin; Shahbaz, M.; Qaisrani, T.B.; Shah, Z.A.; et al. Chrysin: Pharmacological and Therapeutic Properties. Life Sci. 2019, 235, 116797. [Google Scholar] [CrossRef] [PubMed]
  11. Wang, X.; Cao, Y.; Chen, S.; Lin, J.; Bian, J.; Huang, D. Anti-Inflammation Activity of Flavones and Their Structure–Activity Relationship. J. Agric. Food Chem. 2021, 69, 7285–7302. [Google Scholar] [CrossRef]
  12. Dias, M.C.; Pinto, D.C.G.A.; Silva, A.M.S. Plant Flavonoids: Chemical Characteristics and Biological Activity. Molecules 2021, 26, 5377. [Google Scholar] [CrossRef]
  13. Leonte, D.; Ungureanu, D.; Zaharia, V. Flavones and Related Compounds: Synthesis and Biological Activity. Molecules 2023, 28, 6528. [Google Scholar] [CrossRef]
  14. Haynes, A.P.; Desta, S.; Ahmad, T.; Neikirk, K.; Hinton, A.; Bloodworth, N.; Kirabo, A. The Antioxidative Effects of Flavones in Hypertensive Disease. Biomedicines 2023, 11, 2877. [Google Scholar] [CrossRef]
  15. Jeong, S.H.; Kim, H.H.; Ha, S.E.; Park, M.Y.; Bhosale, P.B.; Abusaliya, A.; Park, K.I.; Heo, J.D.; Kim, H.W.; Kim, G.S. Flavones: Six Selected Flavones and Their Related Signaling Pathways That Induce Apoptosis in Cancer. Int. J. Mol. Sci. 2022, 23, 10965. [Google Scholar] [CrossRef]
  16. Selvaraj, S.; Krishnaswamy, S.; Devashya, V.; Sethuraman, S.; Krishnan, U.M. Influence of Membrane Lipid Composition on Flavonoid–Membrane Interactions: Implications on Their Biological Activity. Prog. Lipid Res. 2015, 58, 1–13. [Google Scholar] [CrossRef]
  17. Tarahovsky, Y.S.; Kim, Y.A.; Yagolnik, E.A.; Muzafarov, E.N. Flavonoid–Membrane Interactions: Involvement of Flavonoid–Metal Complexes in Raft Signaling. Biochim. Biophys. Acta 2014, 1838, 1235–1246. [Google Scholar] [CrossRef] [PubMed]
  18. Lin, S.; Zhang, G.; Liao, Y.; Pan, J.; Gong, D. Dietary Flavonoids as Xanthine Oxidase Inhibitors: Structure–Affinity and Structure–Activity Relationships. J. Agric. Food Chem. 2015, 63, 7784–7794. [Google Scholar] [CrossRef] [PubMed]
  19. Zeka, K.; Ruparelia, K.; Arroo, R.R.J.; Budriesi, R.; Micucci, M. Flavonoids and Their Metabolites: Prevention in Cardiovascular Diseases and Diabetes. Diseases 2017, 5, 19. [Google Scholar] [CrossRef] [PubMed]
  20. Talebi, M.; Talebi, M.; Farkhondeh, T.; Simal-Gandara, J.; Kopustinskiene, D.M.; Bernatoniene, J.; Samarghandian, S. Emerging Cellular and Molecular Mechanisms Underlying Anticancer Indications of Chrysin. Cancer Cell Int. 2021, 21, 214. [Google Scholar] [CrossRef] [PubMed]
  21. Zou, X.Q.; Peng, S.M.; Hu, C.P.; Tan, L.F.; Yuan, Q.; Deng, H.W.; Li, Y.J. Synthesis, characterization and vasculoprotective effects of nitric oxide-donating derivatives of chrysin. Bioorg. Med. Chem. 2010, 18, 3020–3025. [Google Scholar] [CrossRef]
  22. Hairani, R.; Chavasiri, W. A new series of chrysin derivatives as potent non-saccharide ⍺-glucosidase inhibitors. Fitoterapia 2022, 163, 105301. [Google Scholar] [CrossRef]
  23. Zhang, L.; Wang, Y.; Qin, Z.; Gao, X.; Xing, Q.; Li, R.; Wang, W.; Song, N.; Zhang, W. Correlation between Prostatitis, Benign Prostatic Hyperplasia and Prostate Cancer: A Systematic Review and Meta-Analysis. J. Cancer 2020, 11, 177–189. [Google Scholar] [CrossRef] [PubMed]
  24. Maasomi, Z.J.; Soltanahmadi, Y.P.; Dadashpour, M.; Alipour, S.; Abolhasani, S.; Zarghami, N. Synergistic Anticancer Effects of Silibinin and Chrysin in T47D Breast Cancer Cells. Asian Pac. J. Cancer Prev. 2017, 18, 1283–1287. [Google Scholar] [CrossRef]
  25. Shahbaz, M.; Naeem, H.; Imran, M.; Ul Hassan, H.; Alsagaby, S.A.; Al Abdulmonem, W.; Waqar, A.B.; Ghorab, A.H.; Abdelgawad, M.A.; Ghoneim, M.M.; et al. Chrysin a Promising Anticancer Agent: Recent Perspectives. Int. J. Food Prop. 2023, 26, 2294–2337. [Google Scholar] [CrossRef]
  26. Mani, R.; Natesan, V. Chrysin: Sources, Beneficial Pharmacological Activities, and Molecular Mechanism of Action. Phytochemistry 2018, 145, 187–196. [Google Scholar] [CrossRef]
  27. Moghadam, E.R.; Ang, H.L.; Asnaf, S.E.; Zabolian, A.; Saleki, H.; Yavari, M.; Esmaeili, H.; Zarrabi, A.; Ashrafizadeh, M.; Kumar, A.P. Broad-Spectrum Preclinical Antitumor Activity of Chrysin: Current Trends and Future Perspectives. Biomolecules 2020, 10, 1374. [Google Scholar] [CrossRef] [PubMed]
  28. Kamat, S.; Kumari, M.; Sajna, K.V.; Jayabaskaran, C. Endophytic Fungus, Chaetomium Globosum, Associated with Marine Green Alga, a New Source of Chrysin. Sci. Rep. 2020, 10, 18726. [Google Scholar] [CrossRef]
  29. Salari, N.; Faraji, F.; Jafarpour, S.; Faraji, F.; Rasoulpoor, S.; Dokaneheifard, S.; Mohammadi, M. Anti-Cancer Activity of Chrysin in Cancer Therapy: A Systematic Review. Indian. J. Surg. Oncol. 2022, 13, 681–690. [Google Scholar] [CrossRef] [PubMed]
  30. Han, H.; Lee, S.-O.; Xu, Y.; Kim, J.-E.; Lee, H.-J. SPHK/HIF-1α Signaling Pathway Has a Critical Role in Chrysin-Induced Anticancer Activity in Hypoxia-Induced PC-3 Cells. Cells 2022, 11, 2787. [Google Scholar] [CrossRef]
  31. Eatemadi, A.; Daraee, H.; Aiyelabegan, H.T.; Negahdari, B.; Rajeian, B.; Zarghami, N. Synthesis and Characterization of Chrysin-Loaded PCL-PEG-PCL Nanoparticle and Its Effect on Breast Cancer Cell Line. Biomed. Pharmacother. 2016, 84, 1915–1922. [Google Scholar] [CrossRef] [PubMed]
  32. Patel, R.V.; Mistry, B.; Syed, R.; Rathi, A.K.; Lee, Y.-J.; Sung, J.-S.; Shinf, H.-S.; Keum, Y.-S. Chrysin-Piperazine Conjugates as Antioxidant and Anticancer Agents. Eur. J. Pharm. Sci. 2016, 88, 166–177. [Google Scholar] [CrossRef] [PubMed]
  33. Lim, H.K.; Kwon, H.J.; Lee, G.S.; Moon, J.H.; Jung, J. Chrysin-Induced G Protein-Coupled Estrogen Receptor Activation Suppresses Pancreatic Cancer. Int. J. Mol. Sci. 2022, 23, 9673. [Google Scholar] [CrossRef] [PubMed]
  34. Yao, J.; Jiang, M.; Zhang, Y.; Liu, X.; Du, Q.; Feng, G. Chrysin Alleviates Allergic Inflammation and Airway Remodeling in a Murine Model of Chronic Asthma. Int. Immunopharmacol. 2016, 32, 24–31. [Google Scholar] [CrossRef]
  35. Faheem, M.A.; Akhtar, T.; Naseem, N.; Aftab, U.; Zafar, M.S.; Hussain, S.; Shahzad, M.; Gobe, G.C. Chrysin Is Immunomodulatory and Anti-Inflammatory against Complete Freund’s Adjuvant-Induced Arthritis in a Pre-Clinical Rodent Model. Pharmaceutics 2023, 15, 1225. [Google Scholar] [CrossRef] [PubMed]
  36. Alipour, M.; Pouya, B.; Aghazadeh, Z.; SamadiKafil, H.; Ghorbani, M.; Alizadeh, S.; Aghazadeh, M.; Dalir Abdolahinia, E. The Antimicrobial, Antioxidative, and Anti-Inflammatory Effects of Polycaprolactone/Gelatin Scaffolds Containing Chrysin for Regenerative Endodontic Purposes. Stem Cells Int. 2021, 2021, 3828777. [Google Scholar] [CrossRef]
  37. Salama, A.; Elgohary, R.; Kassem, A.A.; Asfour, M.H. Chrysin-Phospholipid Complex-Based Solid Dispersion for Improved Anti-Aging and Neuroprotective Effects in Mice. Pharm. Dev. Technol. 2023, 28, 109–123. [Google Scholar] [CrossRef] [PubMed]
  38. Zhu, L.; Lu, Y.; Yu, W.-G.; Zhao, X.; Lu, Y.-H. Anti-Photoageing and Anti-Melanogenesis Activities of Chrysin. Pharm. Biol. 2016, 54, 2692–2700. [Google Scholar] [CrossRef] [PubMed]
  39. Lee, E.-J.; Kang, M.-K.; Kim, Y.-H.; Kim, D.Y.; Oh, H.; Kim, S.-I.; Oh, S.Y.; Kang, Y.-H. Dietary Chrysin Suppresses Formation of Actin Cytoskeleton and Focal Adhesion in AGE-Exposed Mesangial Cells and Diabetic Kidney: Role of Autophagy. Nutrients 2019, 11, 127. [Google Scholar] [CrossRef] [PubMed]
  40. Rodríguez-Landa, J.F.; German-Ponciano, L.J.; Puga-Olguín, A.; Olmos-Vázquez, O.J. Pharmacological, Neurochemical, and Behavioral Mechanisms Underlying the Anxiolytic- and Antidepressant-like Effects of Flavonoid Chrysin. Molecules 2022, 27, 3551. [Google Scholar] [CrossRef] [PubMed]
  41. Li, Z.; Wang, Q.; Zhang, Z.; Guo, Y.; Sun, M.; Li, L.; He, W. Chrysin Alleviated CUMS-Induced Depressive-like Behaviors in Mice via Directly Targeting Fyn. J. Funct. Foods 2023, 106, 105603. [Google Scholar] [CrossRef]
  42. Goyal, A.; Singh, G.; Verma, A. A Comprehensive Review on Therapeutic Potential of Chrysin in Brain Related Disorders. CNS Neurol. Disord. Drug Targets 2023, 22, 789–800. [Google Scholar] [CrossRef]
  43. Yao, Y.; Chen, L.; Xiao, J.; Wang, C.; Jiang, W.; Zhang, R.; Hao, J. Chrysin Protects against Focal Cerebral Ischemia/Reperfusion Injury in Mice through Attenuation of Oxidative Stress and Inflammation. Int. J. Mol. Sci. 2014, 15, 20913–20926. [Google Scholar] [CrossRef] [PubMed]
  44. Farkhondeh, T.; Samarghandian, S.; Bafandeh, F. The Cardiovascular Protective Effects of Chrysin: A Narrative Review on Experimental Researches. Cardiovasc. Hematol. Agents Med. Chem. 2019, 17, 17–27. [Google Scholar] [CrossRef]
  45. Ramírez-Espinosa, J.J.; Saldaña-Ríos, J.; García-Jiménez, S.; Villalobos-Molina, R.; Ávila-Villarreal, G.; Rodríguez-Ocampo, A.N.; Bernal-Fernández, G.; Estrada-Soto, S. Chrysin Induces Antidiabetic, Antidyslipidemic and Anti-Inflammatory Effects in Athymic Nude Diabetic Mice. Molecules 2017, 23, 67. [Google Scholar] [CrossRef] [PubMed]
  46. Yang, M.; Xiong, J.; Zou, Q.; Wang, D.-D.; Huang, C.-X. Chrysin Attenuates Interstitial Fibrosis and Improves Cardiac Function in a Rat Model of Acute Myocardial Infarction. J. Mol. Histol. 2018, 49, 555–565. [Google Scholar] [CrossRef] [PubMed]
  47. Song, Y.; Wu, W.; Sheng, L.; Jiang, B.; Li, X.; Cai, K. Chrysin Ameliorates Hepatic Steatosis Induced by a Diet Deficient in Methionine and Choline by Inducing the Secretion of Hepatocyte Nuclear Factor 4α-Dependent Very Low-Density Lipoprotein. J. Biochem. Mol. Toxicol. 2020, 34, e22497. [Google Scholar] [CrossRef] [PubMed]
  48. Kim, K.M.; Lim, H.K.; Shim, S.H.; Jung, J. Improved Chemotherapeutic Efficacy of Injectable Chrysin Encapsulated by Copolymer Nanoparticles. Int. J. Nanomed. 2017, 12, 1917–1925. [Google Scholar] [CrossRef] [PubMed]
  49. Ferrado, J.B.; Perez, A.A.; Visentini, F.F.; Islan, G.A.; Castro, G.R.; Santiago, L.G. Formation and Characterization of Self-Assembled Bovine Serum Albumin Nanoparticles as Chrysin Delivery Systems. Colloids Surf. B Biointerfaces 2019, 173, 43–51. [Google Scholar] [CrossRef]
  50. Gao, S.; Siddiqui, N.; Etim, I.; Du, T.; Zhang, Y.; Liang, D. Developing Nutritional Component Chrysin as a Therapeutic Agent: Bioavailability and Pharmacokinetics Consideration, and ADME Mechanisms. Biomed. Pharmacother. 2021, 142, 112080. [Google Scholar] [CrossRef]
  51. Puengsurin, D.; Buranapraditkun, S.; Leewansangtong, C.; Taechaaukarakul, N.; Songsivilai, P.; Surarit, R.; Kitkumthorn, N. Effects of Chrysin on Oral Squamous Cell Carcinoma In Vitro. Eur. J. Dent. 2022, 17, 797–803. [Google Scholar] [CrossRef] [PubMed]
  52. Mohammadian, F.; Pilehvar-Soltanahmadi, Y.; Zarghami, F.; Akbarzadeh, A.; Zarghami, N. Upregulation of miR-9 and Let-7a by Nanoencapsulated Chrysin in Gastric Cancer Cells. Artif. Cells Nanomed. Biotechnol. 2017, 45, 1201–1206. [Google Scholar] [CrossRef]
  53. Raina, R.; Bhatt, R.; Hussain, A. Chrysin Targets Aberrant Molecular Signatures and Pathways in Carcinogenesis (Review). World Acad. Sci. 2024, 6, 45. [Google Scholar] [CrossRef]
  54. Ramos, P.S.; Ferreira, C.; Passos, C.L.A.; Silva, J.L.; Fialho, E. Effect of Quercetin and Chrysin and Its Association on Viability and Cell Cycle Progression in MDA-MB-231 and MCF-7 Human Breast Cancer Cells. Biomed. Pharmacother. 2024, 179, 117276. [Google Scholar] [CrossRef] [PubMed]
  55. Mayer, S.; Keglevich, P.; Ábrányi-Balogh, P.; Szigetvári, Á.; Dékány, M.; Szántay, C.; Hazai, L. Synthesis and In Vitro Anticancer Evaluation of Novel Chrysin and 7-Aminochrysin Derivatives. Molecules 2020, 25, 888. [Google Scholar] [CrossRef] [PubMed]
  56. Jafari, S.; Ardakan, A.K.; Aghdam, E.M.; Mesbahi, A.; Montazersaheb, S.; Molavi, O. Induction of Immunogenic Cell Death and Enhancement of the Radiation-Induced Immunogenicity by Chrysin in Melanoma Cancer Cells. Sci. Rep. 2024, 14, 23231. [Google Scholar] [CrossRef] [PubMed]
  57. Du, F.; Sun, L.; Chu, Y.; Li, T.; Lei, C.; Wang, X.; Jiang, M.; Min, Y.; Lu, Y.; Zhao, X.; et al. DDIT4 Promotes Gastric Cancer Proliferation and Tumorigenesis through the P53 and MAPK Pathways. Cancer Commun. 2018, 38, 45. [Google Scholar] [CrossRef] [PubMed]
  58. Presti, D.; Quaquarini, E. The PI3K/AKT/mTOR and CDK4/6 Pathways in Endocrine Resistant HR+/HER2− Metastatic Breast Cancer: Biological Mechanisms and New Treatments. Cancers 2019, 11, 1242. [Google Scholar] [CrossRef] [PubMed]
  59. Dai, X.; Wang, L.; Deivasigamni, A.; Looi, C.Y.; Karthikeyan, C.; Trivedi, P.; Chinnathambi, A.; Alharbi, S.A.; Arfuso, F.; Dharmarajan, A.; et al. A Novel Benzimidazole Derivative, MBIC Inhibits Tumor Growth and Promotes Apoptosis via Activation of ROS-Dependent JNK Signaling Pathway in Hepatocellular Carcinoma. Oncotarget 2017, 8, 12831–12842. [Google Scholar] [CrossRef]
  60. Ryu, S.; Lim, W.; Bazer, F.W.; Song, G. Chrysin Induces Death of Prostate Cancer Cells by Inducing ROS and ER Stress. J. Cell Physiol. 2017, 232, 3786–3797. [Google Scholar] [CrossRef] [PubMed]
  61. Tewari, D.; Patni, P.; Bishayee, A.; Sah, A.N.; Bishayee, A. Natural Products Targeting the PI3K-Akt-mTOR Signaling Pathway in Cancer: A Novel Therapeutic Strategy. Semin. Cancer Biol. 2022, 80, 1–17. [Google Scholar] [CrossRef]
  62. Lim, W.; Ryu, S.; Bazer, F.W.; Kim, S.-M.; Song, G. Chrysin Attenuates Progression of Ovarian Cancer Cells by Regulating Signaling Cascades and Mitochondrial Dysfunction. J. Cell Physiol. 2018, 233, 3129–3140. [Google Scholar] [CrossRef] [PubMed]
  63. Laishram, S.; Moirangthem, D.S.; Borah, J.C.; Pal, B.C.; Suman, P.; Gupta, S.K.; Kalita, M.C.; Talukdar, N.C. Chrysin Rich Scutellaria Discolor Colebr. Induces Cervical Cancer Cell Death via the Induction of Cell Cycle Arrest and Caspase-Dependent Apoptosis. Life Sci. 2015, 143, 105–113. [Google Scholar] [CrossRef]
  64. Sassi, A.; Maatouk, M.; El Gueder, D.; Bzéouich, I.M.; Abdelkefi-Ben Hatira, S.; Jemni-Yacoub, S.; Ghedira, K.; Chekir-Ghedira, L. Chrysin, a Natural and Biologically Active Flavonoid Suppresses Tumor Growth of Mouse B16F10 Melanoma Cells: In Vitro and In Vivo Study. Chem. Biol. Interact. 2018, 283, 10–19. [Google Scholar] [CrossRef]
  65. Zhong, X.; Liu, D.; Jiang, Z.; Li, C.; Chen, L.; Xia, Y.; Liu, D.; Yao, Q.; Wang, D. Chrysin Induced Cell Apoptosis and Inhibited Invasion Through Regulation of TET1 Expression in Gastric Cancer Cells. OncoTargets Ther. 2020, 13, 3277–3287. [Google Scholar] [CrossRef]
  66. Han, Z.; Zhang, J.; Zhang, K.; Zhao, Y. Curcumin Inhibits Cell Viability, Migration, and Invasion of Thymic Carcinoma Cells via Downregulation of microRNA-27a. Phytother. Res. 2020, 34, 1629–1637. [Google Scholar] [CrossRef]
  67. Zhu, M.; Zheng, Z.; Huang, J.; Ma, X.; Huang, C.; Wu, R.; Li, X.; Liang, Z.; Deng, F.; Wu, J.; et al. Modulation of miR-34a in Curcumin-Induced Antiproliferation of Prostate Cancer Cells. J. Cell Biochem. 2019, 120, 15616–15624. [Google Scholar] [CrossRef] [PubMed]
  68. Rani, N.; Arya, D.S. Chrysin Rescues Rat Myocardium from Ischemia-Reperfusion Injury via PPAR-γ/Nrf2 Activation. Eur. J. Pharmacol. 2020, 883, 173389. [Google Scholar] [CrossRef] [PubMed]
  69. Khor, C.Y.; Khoo, B.Y. PPARα Plays an Important Role in the Migration Activity, and the Expression of CYP2S1 and CYP1B1 in Chrysin-Treated HCT116 Cells. Biotechnol. Lett. 2020, 42, 1581–1595. [Google Scholar] [CrossRef] [PubMed]
  70. Wu, T.-C.; Chan, S.-T.; Chang, C.-N.; Yu, P.-S.; Chuang, C.-H.; Yeh, S.-L. Quercetin and Chrysin Inhibit Nickel-Induced Invasion and Migration by Downregulation of TLR4/NF-κB Signaling in A549 cells. Chem. Biol. Interact. 2018, 292, 101–109. [Google Scholar] [CrossRef] [PubMed]
  71. Jung, J. Emerging Utilization of Chrysin Using Nanoscale Modification. J. Nanomater. 2016, 2016, 2894089. [Google Scholar] [CrossRef]
  72. Amawi, H.; Ashby, C.R., Jr.; Tiwari, A.K. Cancer chemoprevention through dietary flavonoids: What’s limiting? Chin. J. Cancer 2017, 36, 50. [Google Scholar] [CrossRef]
  73. Sheida, D.; Sevda, J.; Ommoleila, M. Advances in nanocarrier-mediated delivery of chrysin: Enhancing solubility, bioavailability, and anticancer efficacy. BioImpacts 2025, 15, 30269. [Google Scholar] [CrossRef]
  74. Vazhappilly, C.G.; Amararathna, M.; Cyril, A.C.; Linger, R.; Matar, R.; Merheb, M.; Ramadan, W.S.; Radhakrishnan, R.; Rupasinghe, V.H.P. Current methodologies to refine bioavailability, delivery, and therapeutic efficacy of plant flavonoids in cancer treatment. J. Nutr. Biochem. 2021, 94, 108623. [Google Scholar] [CrossRef]
  75. Golonko, A.; Olichwier, A.J.; Swislocka, R.; Szczerbinski, L.; Lewandowski, W. Why Do Dietary Flavonoids Have a Promising Effect as Enhancers of Anthracyclines? Hydroxyl Substituents, Bioavailability and Biological Activity. Int. J. Mol. Sci. 2022, 24, 391. [Google Scholar] [CrossRef] [PubMed]
  76. Sood, A.; Mehrotra, A.; Sharma, U.; Aggarwal, D.; Singh, T.; Shahwan, M.; Jairoun, A.A.; Rani, I.; Ramniwas, S.; Tuli, H.S.; et al. Advancements and recent explorations of anti-cancer activity of chrysin: From molecular targets to therapeutic perspective. Explor. Target. Anti-tumor Ther. 2024, 5, 477–494. [Google Scholar] [CrossRef]
  77. Parappa, K.; Krishnapura, P.R.; Iyyaswami, R.; Belur, P.D. Development of stable and functional encapsulated chrysin using casein–polysaccharide complexes for food applications. Int. J. Food Sci. Technol. 2023, 58, 10. [Google Scholar] [CrossRef]
  78. Oliyapour, Y.; Dabiri, S.; Molavi, O.; Hejazi, M.; Davaran, S.; Jafari, S.; Montazersaheb, S. Chrysin and chrysin-loaded nanocarriers induced immunogenic cell death on B16 melanoma cells. Med. Oncol. 2023, 40, 278. [Google Scholar] [CrossRef] [PubMed]
  79. Deshmukh, P.K.; Mutha, R.E.; Surana, S.J. Electrostatic deposition assisted preparation, characterization and evaluation of chrysin liposomes for breast cancer treatment. Drug Dev. Ind. Pharm. 2021, 47, 809–819. [Google Scholar] [CrossRef] [PubMed]
  80. Garg, A.; Chaturvedi, S.A. Comprehensive Review on Chrysin: Emphasis on Molecular Targets, Pharmacological Actions and Bio-pharmaceutical Aspects. Curr. Drug Targets 2022, 23, 420–436. [Google Scholar] [CrossRef]
  81. Lotfi-Attari, J.; Pilehvar-Soltanahmadi, Y.; Dadashpour, M.; Alipour, S.; Farajzadeh, R.; Javidfar, S.; Zarghami, N. Co-Delivery of Curcumin and Chrysin by Polymeric Nanoparticles Inhibit Synergistically Growth and hTERT Gene Expression in Human Colorectal Cancer Cells. Nutr. Cancer 2017, 69, 1290–1299. [Google Scholar] [CrossRef] [PubMed]
  82. Song, H.Y.; Sik Kim, W.; Kim, J.M.; Bak, D.H.; Moo Han, J.; Lim, S.T.; Byun, E.B. A hydroxyethyl derivative of chrysin exhibits anti-inflammatory activity in dendritic cells and protective effects against dextran sodium salt-induced colitis in mice. Int. Immunopharmacol. 2019, 77, 105958. [Google Scholar] [CrossRef] [PubMed]
  83. Wong, S.C.; Kamarudin, M.N.A.; Naidu, R. Anticancer Mechanism of Flavonoids on High-Grade Adult-Type Diffuse Gliomas. Nutrients 2023, 15, 797. [Google Scholar] [CrossRef] [PubMed]
  84. Stompor-Gorący, M.; Bajek-Bil, A.; Machaczka, M. Chrysin: Perspectives on Contemporary Status and Future Possibilities as Pro-Health Agent. Nutrients 2021, 13, 2038. [Google Scholar] [CrossRef] [PubMed]
  85. Lee, J.-H.; Yoo, E.-S.; Han, S.-H.; Jung, G.-H.; Han, E.-J.; Choi, E.-Y.; Jeon, S.-J.; Jung, S.-H.; Kim, B.; Cho, S.-D.; et al. Chrysin Induces Apoptosis and Autophagy in Human Melanoma Cells via the mTOR/S6K Pathway. Biomedicines 2022, 10, 1467. [Google Scholar] [CrossRef] [PubMed]
  86. Park, M.H.; Hong, J.E.; Park, E.S.; Yoon, H.S.; Seo, D.W.; Hyun, B.K.; Han, S.-B.; Ham, Y.W.; Hwang, B.Y.; Hong, J.T. Anticancer Effect of Tectochrysin in Colon Cancer Cell via Suppression of NF-kappaB Activity and Enhancement of Death Receptor Expression. Mol. Cancer 2015, 14, 124. [Google Scholar] [CrossRef] [PubMed]
  87. Suradej, B.; Sookkhee, S.; Panyakaew, J.; Mungkornasawakul, P.; Wikan, N.; Smith, D.R.; Potikanond, S.; Nimlamool, W. Kaempferia Parviflora Extract Inhibits STAT3 Activation and Interleukin-6 Production in HeLa Cervical Cancer Cells. Int. J. Mol. Sci. 2019, 20, 4226. [Google Scholar] [CrossRef]
  88. Bae, J.; Kumazoe, M.; Park, S.-J.; Fujimura, Y.; Tachibana, H. The Anti-Cancer Effect of Epigallocatechin-3-O-Gallate against Multiple Myeloma Cells Is Potentiated by 5,7-Dimethoxyflavone. FEBS Open Bio 2023, 13, 2147–2156. [Google Scholar] [CrossRef] [PubMed]
  89. Zheng, X.; Meng, W.-D.; Xu, Y.-Y.; Cao, J.-G.; Qing, F.-L. Synthesis and Anticancer Effect of Chrysin Derivatives. Bioorg. Med. Chem. Lett. 2003, 13, 881–884. [Google Scholar] [CrossRef] [PubMed]
  90. Cai, H.; Sale, S.; Schmid, R.; Britton, R.G.; Brown, K.; Steward, W.P.; Gescher, A.J. Flavones as Colorectal Cancer Chemopreventive Agents—Phenol-O-Methylation Enhances Efficacy. Cancer Prev. Res. 2009, 2, 743–750. [Google Scholar] [CrossRef] [PubMed]
  91. Walle, T.; Ta, N.; Kawamori, T.; Wen, X.; Tsuji, P.A.; Walle, U.K. Cancer chemopreventive properties of orally bioavailable flavonoids-methylated versus unmethylated flavones. Biochem. Pharmacol. 2007, 73, 1288–1296. [Google Scholar] [CrossRef] [PubMed]
  92. Yu, X.; Xi, Y.; Sui, Y.; Liu, Y.; Chen, G.; Zhang, M.; Zhang, Y.; Luo, G.; Long, Y.; Yang, W. Hydroxide-Mediated SNAr Rearrangement for Synthesis of Novel Depside Derivatives Containing Diaryl Ether Skeleton as Antitumor Agents. Molecules 2023, 28, 4303. [Google Scholar] [CrossRef]
  93. Silapech, A.; Racha, S.; Aksorn, N.; Lafauy, P.; Tungsukruthai, S.; Vinayanuwattikun, C.; Sritularak, B.; Chanvorachote, P. Pongol Methyl Ether Inhibits Akt and Suppresses Cancer Stem Cell Phenotypes in Lung Cancer Cells. Pharmaceuticals 2021, 14, 1085. [Google Scholar] [CrossRef] [PubMed]
  94. Kong, X.; Zhang, R.; Shen, Y.; Bai, Y.; Dong, K.; Li, D.; Wang, Y. Preparation and Inhibitory Effect of Salicin Dimethyl Ether in Laryngeal Cancer Cells through the Apoptosis Activation. Acta Biochim. Pol. 2022, 69, 753–759. [Google Scholar] [CrossRef] [PubMed]
  95. Zeng, J.; Zhang, Y.; Fang, Y.; Lian, J.; Zhang, H.; Zhang, S.; Lin, B.; Ye, Z.; Li, C.; Qiu, X.; et al. Natural Product Quercetin-3-Methyl Ether Promotes Colorectal Cancer Cell Apoptosis by Downregulating Intracellular Polyamine Signaling. Int. J. Med. Sci. 2024, 21, 904–913. [Google Scholar] [CrossRef] [PubMed]
  96. Duda-Madej, A.; Kozłowska, J.; Baczyńska, D.; Krzyżek, P. Ether Derivatives of Naringenin and Their Oximes as Factors Modulating Bacterial Adhesion. Antibiotics 2023, 12, 1076. [Google Scholar] [CrossRef] [PubMed]
  97. Xu, C.; Xiao, L.; Lin, P.; Yang, X.; Zou, X.; Mu, L.; Yang, X. Synthesis and Antitumor Activities of Novel Mitochondria-Targeted Dihydroartemisinin Ether Derivatives. ACS Omega 2022, 7, 38832–38846. [Google Scholar] [CrossRef] [PubMed]
  98. Zeng, Y.; Wang, S.; Peng, H.; Zhao, W.; Chang, W.; Wang, H.; Chen, H.; Dai, H. P-Terphenyl and Diphenyl Ether Derivatives from the Marine-Derived Fungus Aspergillus Candidus HM5-4. Mar. Drugs 2023, 22, 13. [Google Scholar] [CrossRef] [PubMed]
  99. Omonga, N.; Zia, Z.; Ghanbour, H.; Ragazzon-Smith, A.; Foster, H.; Hadfield, J.; Ragazzon, P. Facile Synthesis and Biological Evaluation of Chrysin Derivatives. J. Chem. Res. 2021, 45, 1083–1092. [Google Scholar] [CrossRef]
  100. Deng, X.; Zhao, Z.; Xiong, S.; Xiong, R.; Liu, J.; Wang, Z.; Zou, L.; Xiaoyoung, L.; Cao, X.; Xie, Z.; et al. Synthesis and evaluation of antitumour activity in vitro and in vivo of chrysin salicylate derivatives. Nat. Prod. Res. 2017, 32, 2178–2186. [Google Scholar] [CrossRef] [PubMed]
  101. Jin, L.; Wang, M.-L.; Lv, Y.; Zeng, X.-Y.; Chen, C.; Ren, H.; Luo, H.; Pan, W.-D. Design and Synthesis of Flavonoidal Ethers and Their Anti-Cancer Activity In Vitro. Molecules 2019, 24, 1749. [Google Scholar] [CrossRef]
  102. Tang, Q.; Ji, F.; Guo, J.; Wang, J.; Li, Y.; Bao, Y. Directional Modification of Chrysin for Exerting Apoptosis and Enhancing Significantly Anti-Cancer Effects of 10-Hydroxy Camptothecin. Biomed. Pharmacother. 2016, 82, 693–703. [Google Scholar] [CrossRef]
  103. Janowska, S.; Paneth, A.; Wujec, M. Cytotoxic Properties of 1,3,4-Thiadiazole Derivatives—A Review. Molecules 2020, 25, 4309. [Google Scholar] [CrossRef]
  104. Abdel-Maksoud, M.S.; Mohamed, A.A.B.; Hassan, R.M.; Abdelgawad, M.A.; Chilingaryan, G.; Selim, S.; Abdel-Bakky, M.S.; Al-Sanea, M.M. Design, Synthesis and Anticancer Profile of New 4-(1H-Benzo[d]Imidazol-1-Yl)Pyrimidin-2-Amine-Linked Sulfonamide Derivatives with V600EBRAF Inhibitory Effect. Int. J. Mol. Sci. 2021, 22, 10491. [Google Scholar] [CrossRef] [PubMed]
  105. Wang, C.; Zhu, M.; Long, X.; Wang, Q.; Wang, Z.; Ouyang, G. Design, Synthesis and Antitumor Activity of 1H-Indazole-3-Amine Derivatives. Int. J. Mol. Sci. 2023, 24, 8686. [Google Scholar] [CrossRef] [PubMed]
  106. Güngör, T.; Atalay, H.N.; Yilmaz, Y.B.; Boyuneğmez Tümer, T.; Ay, M. Synthesis of New Imine-/Amine-Bearing Imidazo[1,2-a]Pyrimidine Derivatives and Screening of Their Cytotoxic Activity. Turk. J. Chem. 2023, 47, 1064–1074. [Google Scholar] [CrossRef]
  107. Patil, S.A.; Kandathil, V.; Sobha, A.; Somappa, S.B.; Feldman, M.R.; Bugarin, A.; Patil, S.A. Comprehensive Review on Medicinal Applications of Coumarin-Derived Imine–Metal Complexes. Molecules 2022, 27, 5220. [Google Scholar] [CrossRef] [PubMed]
  108. Laurent, R.; Maraval, V.; Bernardes-Génisson, V.; Caminade, A.-M. Dendritic Pyridine–Imine Copper Complexes as Metallo-Drugs. Molecules 2024, 29, 1800. [Google Scholar] [CrossRef] [PubMed]
  109. Bansal, A.; Saleh-E-In, M.M.; Kar, P.; Roy, A.; Sharma, N.R. Synthesis of Carvacrol Derivatives as Potential New Anticancer Agent against Lung Cancer. Molecules 2022, 27, 4597. [Google Scholar] [CrossRef] [PubMed]
  110. Ibrahim, M.; Nabi, H.U.; Muhammad, N.; Ikram, M.; Khan, M.; Ibrahim, M.; AlAsmari, A.F.; Alharbi, M.; Alshammari, A. Synthesis, Antioxidant, Molecular Docking and DNA Interaction Studies of Metal-Based Imine Derivatives. Molecules 2023, 28, 5926. [Google Scholar] [CrossRef]
  111. Lasri, J.; Eltayeb, N.E.; Soliman, S.M.; Ali, E.M.M.; Alhayyani, S.; Akhdhar, A. Synthesis, Crystal Structure, DFT, and Anticancer Activity of Some Imine-Type Compounds via Routine Schiff Base Reaction: An Example of Unexpected Cyclization to Oxazine Derivative. Molecules 2023, 28, 4766. [Google Scholar] [CrossRef]
  112. Hossain, M.I.; Thomas, A.G.; Mahdi, F.; Adam, A.T.; Akins, N.S.; Woodard, M.M.; Paris, J.J.; Slusher, B.S.; Le, H.V. An Efficient Synthetic Route to L-γ-Methyleneglutamine and Its Amide Derivatives, and Their Selective Anticancer Activity. RSC Adv. 2021, 11, 7115–7128. [Google Scholar] [CrossRef] [PubMed]
  113. Zha, D.; Li, Y.; Luo, Y.; Liu, Y.; Lin, Z.; Lin, C.; Chen, S.; Wu, J.; Yu, L.; Chen, S.; et al. Synthesis and in Vitro Anticancer Evaluation of Novel Flavonoid-Based Amide Derivatives as Regulators of the PI3K/AKT Signal Pathway for TNBC Treatment. RSC Med. Chem. 2022, 13, 1082–1099. [Google Scholar] [CrossRef] [PubMed]
  114. Pragathi, Y.J.; Sreenivasulu, R.; Veronica, D.; Raju, R.R. Design, Synthesis, and Biological Evaluation of 1,2,4-Thiadiazole-1,2,4-Triazole Derivatives Bearing Amide Functionality as Anticancer Agents. Arab. J. Sci. Eng. 2021, 46, 225–232. [Google Scholar] [CrossRef]
  115. Al-Horani, R.A. 4-(Imidazo[1,2-a]Pyridin-3-Yl): Pyrimidine Derivatives as Anticancer Agents. Pharm. Pat. Anal. 2023, 12, 13–18. [Google Scholar] [CrossRef]
  116. Al-Akeedi, M.; Najdawi, M.; Al-Balas, Q.; Al-Qazzan, M.B.; Telfah, S.T. Novel Anthraquinone Amide Derivatives as Potential Glyoxalase-I Inhibitors. J. Med. Life 2024, 17, 87–98. [Google Scholar] [CrossRef] [PubMed]
  117. Pastewska, M.; Żołnowska, B.; Kovačević, S.; Kapica, H.; Gromelski, M.; Stoliński, F.; Sławiński, J.; Sawicki, W.; Ciura, K. Modeling of Anticancer Sulfonamide Derivatives Lipophilicity by Chemometric and Quantitative Structure-Retention Relationships Approaches. Molecules 2022, 27, 3965. [Google Scholar] [CrossRef] [PubMed]
  118. Al-Oudat, B.A.; Alqudah, M.A.; Audat, S.A.; Al-Balas, Q.A.; El-Elimat, T.; Hassan, M.A.; Frhat, I.N.; Azaizeh, M.M. Design, Synthesis, and Biologic Evaluation of Novel Chrysin Derivatives as Cytotoxic Agents and Caspase-3/7 Activators. Drug Des. Dev. Ther. 2019, 13, 423–433. [Google Scholar] [CrossRef] [PubMed]
  119. Al-Oudat, B.A.; Ramapuram, H.; Malla, S.; Audat, S.A.; Hussein, N.; Len, J.M.; Kumari, S.; Bedi, M.F.; Ashby, C.R.; Tiwari, A.K. Novel Chrysin-De-Allyl PAC-1 Hybrid Analogues as Anticancer Compounds: Design, Synthesis, and Biological Evaluation. Molecules 2020, 25, 3063. [Google Scholar] [CrossRef] [PubMed]
  120. Manupati, K.; Dhoke, N.R.; Debnath, T.; Yeeravalli, R.; Guguloth, K.; Saeidpour, S.; De, U.C.; Debnath, S.; Das, A. Inhibiting Epidermal Growth Factor Receptor Signalling Potentiates Mesenchymal-Epithelial Transition of Breast Cancer Stem Cells and Their Responsiveness to Anticancer Drugs. FEBS J. 2017, 284, 1830–1854. [Google Scholar] [CrossRef] [PubMed]
  121. Patel, R.V.; Mistry, B.M.; Syed, R.; Parekh, N.M.; Shin, H.-S. Sulfonylpiperazines Based on a Flavone as Antioxidant and Cytotoxic Agents. Arch. Pharm. 2019, 352, e1900051. [Google Scholar] [CrossRef] [PubMed]
  122. Lv, P.-C.; Wang, K.-R.; Li, Q.-S.; Chen, J.; Sun, J.; Zhu, H.-L. Design, Synthesis and Biological Evaluation of Chrysin Long-Chain Derivatives as Potential Anticancer Agents. Bioorg. Med. Chem. 2010, 18, 1117–1123. [Google Scholar] [CrossRef]
  123. Chen, N.; Wang, R.; Lu, L.-J.; Yan, L.-J.; Bai, L.-L.; Fu, Y.; Wang, Y.; Peng, D.-Q.; Chen, X.; Wang, C.-H.; et al. Synthesis of Chrysin Derivatives and Screening of Antitumor Activity. J. Asian Nat. Prod. Res. 2020, 22, 444–451. [Google Scholar] [CrossRef] [PubMed]
  124. Mistry, B.M.; Patel, R.V.; Keum, Y.-S.; Kim, D.H. Chrysin-Benzothiazole Conjugates as Antioxidant and Anticancer Agents. Bioorg. Med. Chem. Lett. 2015, 25, 5561–5565. [Google Scholar] [CrossRef]
  125. Dandash, F.; Leger, D.Y.; Diab-Assaf, M.; Sol, V.; Liagre, B. Porphyrin/Chlorin Derivatives as Promising Molecules for Therapy of Colorectal Cancer. Molecules 2021, 26, 7268. [Google Scholar] [CrossRef]
  126. Ramzi, N.I.; Mishiro, K.; Munekane, M.; Fuchigami, T.; Hu, X.; Jastrząb, R.; Kitamura, Y.; Kinuya, S.; Ogawa, K. Synthesis and Evaluation of Radiolabeled Porphyrin Derivatives for Cancer Diagnoses and Their Nonradioactive Counterparts for Photodynamic Therapy. RSC Med. Chem. 2022, 13, 1565–1574. [Google Scholar] [CrossRef] [PubMed]
  127. Gomes, A.T.P.C.; Fernandes, R.; Ribeiro, C.F.; Tomé, J.P.C.; Neves, M.G.P.M.S.; Silva, F.d.C.d.; Ferreira, V.F.; Cavaleiro, J.A.S. Synthesis, Characterization and Photodynamic Activity against Bladder Cancer Cells of Novel Triazole-Porphyrin Derivatives. Molecules 2020, 25, 1607. [Google Scholar] [CrossRef] [PubMed]
  128. Adapa, S.R.; Hunter, G.A.; Amin, N.E.; Marinescu, C.; Borsky, A.; Sagatys, E.M.; Sebti, S.M.; Reuther, G.W.; Ferreira, G.C.; Jiang, R.H. Porphyrin Overdrive Rewires Cancer Cell Metabolism. Life Sci. Alliance 2024, 7, e202302547. [Google Scholar] [CrossRef] [PubMed]
  129. Das, M.; Pandey, V.; Jajoria, K.; Bhatia, D.; Gupta, I.; Shekhar, H. Glycosylated Porphyrin Derivatives for Sonodynamic Therapy: ROS Generation and Cytotoxicity Studies in Breast Cancer Cells. ACS Omega 2024, 9, 1196–1205. [Google Scholar] [CrossRef]
  130. Montaseri, H.; Kruger, C.A.; Abrahamse, H. Recent Advances in Porphyrin-Based Inorganic Nanoparticles for Cancer Treatment. Int. J. Mol. Sci. 2020, 21, 3358. [Google Scholar] [CrossRef] [PubMed]
  131. Liu, D.; Zhang, Q.; Zhang, L.; Yu, W.; Long, H.; He, J.; Liu, Y. Novel photosensitizing properties of porphyrin–chrysin derivatives with antitumor activity in vitro. J. Chem. Res. 2020, 44, 494–504. [Google Scholar] [CrossRef]
  132. Yan, X.; Song, J.; Yu, M.; Sun, H.-L.; Hao, H. Synthesis of Flavonoids Nitrogen Mustard Derivatives and Study on Their Antitumor Activity in Vitro. Bioorg. Chem. 2020, 96, 103613. [Google Scholar] [CrossRef]
Figure 1. The chemical structure of a flavone (a) and chrysin (b).
Figure 1. The chemical structure of a flavone (a) and chrysin (b).
Molecules 30 00960 g001
Figure 2. The chemical structure of methyl derivatives of chrysin 25.
Figure 2. The chemical structure of methyl derivatives of chrysin 25.
Molecules 30 00960 g002
Figure 3. The chemical structure of ether compound 610.
Figure 3. The chemical structure of ether compound 610.
Molecules 30 00960 g003
Figure 4. The chemical structure of compounds 1114.
Figure 4. The chemical structure of compounds 1114.
Molecules 30 00960 g004
Figure 5. The chemical structure of derivatives 15ad.
Figure 5. The chemical structure of derivatives 15ad.
Molecules 30 00960 g005
Figure 6. The chemical structure of derivatives 16af.
Figure 6. The chemical structure of derivatives 16af.
Molecules 30 00960 g006
Figure 7. The chemical structure of derivatives 1719.
Figure 7. The chemical structure of derivatives 1719.
Molecules 30 00960 g007
Figure 8. The chemical structure of derivatives 20ae.
Figure 8. The chemical structure of derivatives 20ae.
Molecules 30 00960 g008
Figure 9. The porphyrin derivative of chrysin 21.
Figure 9. The porphyrin derivative of chrysin 21.
Molecules 30 00960 g009
Figure 10. The chemical structure of derivative 22.
Figure 10. The chemical structure of derivative 22.
Molecules 30 00960 g010
Table 1. Anticancer activity of compound 2 [86].
Table 1. Anticancer activity of compound 2 [86].
Cell LineIC50 [μg/mL]
SW4806.3
HCT1168.4
Table 2. Anticancer activity of 3, EGGC, and its mixture [88].
Table 2. Anticancer activity of 3, EGGC, and its mixture [88].
IC50 [μM].3EGGC3 + EGGC
U26616.4749.155.228
Table 3. Anticancer activity of 45 [89].
Table 3. Anticancer activity of 45 [89].
IC50 [μM]Compound
145
SGC-79015.82.22.6
HT-293.12.51.9
Table 4. The anticancer activity of compounds 6 and 7 [99].
Table 4. The anticancer activity of compounds 6 and 7 [99].
IC50 [μM]Compound
67
HCT1161.991.56
MOLT-47.058.69
K5627.058.69
HepG217.534.93
MCF-717.626.18
A54920.0133.13
Caco-25.894.83
Mero-147.658.71
Table 5. The anticancer activity of compound 8 [100].
Table 5. The anticancer activity of compound 8 [100].
IC50 [μM]Compound 8
MGC-80323.83
MFC27.34
MCF-740.47
HepG235.73
Table 6. The anticancer activity of compound 9 [101].
Table 6. The anticancer activity of compound 9 [101].
Inhibition of Growth [%]Compound 9
K5625
A5492
HEL27
PC30
Table 7. The anticancer activity of compound 11af [118,119].
Table 7. The anticancer activity of compound 11af [118,119].
IC50 [μM]Compound
11a11b11c11d11e11fDoxorubicin
MDA-MB-2313.32.66.15.59.46.02.3
MCF-74.28.48.611.7--2.9
Table 8. The anticancer activity of compound 1213 [55].
Table 8. The anticancer activity of compound 1213 [55].
IC50 [μM]Compound
1213
A5491.7125.89
HCT1161.8312.96
U2512.0122.78
OVCAR-32.120.37
HT-296.483.58
HCT-153.280.06
Table 9. The anticancer activity of compound 14 [120].
Table 9. The anticancer activity of compound 14 [120].
IC50 [μM]Compound
114
MDA-MB-23140.014.52
MDA-MB-45328.968.35
MDA-MB-46836.027.88
BT-54933.9710.17
MCF-732.0825.71
Table 10. Anticancer activity of 15a–d [32].
Table 10. Anticancer activity of 15a–d [32].
CompoundIC50 [μg/mL]
HeLaCaSkiSK-OV-3MDCK
15a5.6434.87215.213323.1
15b6.3614.65036.321371.1
15c5.0988.11912.876246.1
15d7.7707.62814.213286.3
Table 11. Anticancer activity of 16af [121].
Table 11. Anticancer activity of 16af [121].
CompoundIC50 [μg/mL]
SK-OV-3HeLaA-549HT-29MDCK
16a13.057.3329.1847.73296.8
16b30.195.0225.8136.21225.7
16c12.674.6727.6331.34168.4
16d34.6740.1825.4421.42163.6
16e25.8330.9925.8922.06285.4
16f32.1744.5724.2128.37248.5
Gefitinib12.3117.9213.7523.6-
Table 12. The activity of compounds 1718 [122].
Table 12. The activity of compounds 1718 [122].
CompoundHT-29 IC50 [µg/mL]EGFR IC50 [µM]
178.70.048
184.20.035
Table 13. The activity of compounds 20ae [124].
Table 13. The activity of compounds 20ae [124].
CompoundIC50 [μg/mL]
DPPHHeLaCaSkiMDCK
20a26.454.75416.643347.5
20b13.165.95412.426337.6
20c16.096.56412.425289.1
20d25.448.12413.156298.1
20e16.277.84211.207278.3
Ascorbic acid12.72---
Taxol-16.482.48-
Table 14. The activity of compound 21 [131].
Table 14. The activity of compound 21 [131].
IC50 [μM]Compound 21
HeLa (light)26.51
HeLa (dark)142.7
MGC-803 (light)70.41
MGC-803 (dark)135.2
Table 15. The activity of compound 22 [132].
Table 15. The activity of compound 22 [132].
IC50 [μM]Compound
221Melphalan
HeLa1.43>10010.72
PC-32.32>10019.81
DU1452.91>10015.66
MCF-74.9095.3120.21
SH-SY5Y7.8649.1820.31
HepG211.31>10013.36
A5497.34>10023.39
Disclaimer/Publisher’s Note: The statements, opinions and data contained in all publications are solely those of the individual author(s) and contributor(s) and not of MDPI and/or the editor(s). MDPI and/or the editor(s) disclaim responsibility for any injury to people or property resulting from any ideas, methods, instructions or products referred to in the content.

Share and Cite

MDPI and ACS Style

Sokal, A.; Mruczek, P.; Niedoba, M.; Dewalska, A.; Stocerz, K.; Kadela-Tomanek, M. Anticancer Activity of Ether Derivatives of Chrysin. Molecules 2025, 30, 960. https://doi.org/10.3390/molecules30040960

AMA Style

Sokal A, Mruczek P, Niedoba M, Dewalska A, Stocerz K, Kadela-Tomanek M. Anticancer Activity of Ether Derivatives of Chrysin. Molecules. 2025; 30(4):960. https://doi.org/10.3390/molecules30040960

Chicago/Turabian Style

Sokal, Arkadiusz, Patryk Mruczek, Mateusz Niedoba, Agnieszka Dewalska, Klaudia Stocerz, and Monika Kadela-Tomanek. 2025. "Anticancer Activity of Ether Derivatives of Chrysin" Molecules 30, no. 4: 960. https://doi.org/10.3390/molecules30040960

APA Style

Sokal, A., Mruczek, P., Niedoba, M., Dewalska, A., Stocerz, K., & Kadela-Tomanek, M. (2025). Anticancer Activity of Ether Derivatives of Chrysin. Molecules, 30(4), 960. https://doi.org/10.3390/molecules30040960

Article Metrics

Back to TopTop