Silicon-Bridged Bis(12-crown-4) Ethers as Ionophores for Sodium Ion-Selective Electrodes
Abstract
1. Introduction
2. Results and Discussion
2.1. Synthesis of Ionophores
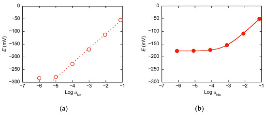
2.2. Potential Responses of PVC Membrane Ion-Selective Electrodes with Synthesized Ionophores

2.3. Stability of Ion-Selective Electrodes

3. Materials and Methods
3.1. Reagents and Instruments
3.2. Synthesis
3.2.1. Bis[(12-crown-4)methoxy]dibutylsilane 3
3.2.2. Bis[(12-crown-4)methoxy]dioctylsilane 4
3.2.3. Bis[(12-crown-4)methoxy]bis(2-ethylhexyl)silane 5
3.2.4. Bis[(12-crown-4)methoxy]diphenylsilane 6
3.2.5. Bis[(12-crown-4)methoxy]methyloctylsilane 7
3.2.6. Bis[(12-crown-4)methoxy]dodecylmethylsilane 8
3.2.7. Bis[(12-crown-4)methoxy]methyl(2-phenylethyl)silane 9
3.3. Electrode Preparation and Potentiometric Measurement Experiments
4. Conclusions
5. Patents
Supplementary Materials
Author Contributions
Funding
Institutional Review Board Statement
Informed Consent Statement
Data Availability Statement
Acknowledgments
Conflicts of Interest
References
- Eijkelkamp, N.; Linley, J.E.; Baker, M.D.; Minett, M.S.; Cregg, R.; Werdehausen, R.; Rugiero, F.; Wood, J.N. Neurological perspectives on voltage-gated sodium channels. Brain 2012, 135, 2585–2612. [Google Scholar] [CrossRef]
- Bernal, A.; Zafra, M.A.; Simón, M.J.; Mahía, J. Sodium homeostasis, a balance necessary for life. Nutrients 2023, 15, 395. [Google Scholar] [CrossRef] [PubMed]
- World Health Organization. Sodium in Drinking-Water: Background Document for Development of WHO Guidelines for Drinking-Water Quality; World Health Organization: Geneva, Switzerland, 2003. [Google Scholar]
- Ploegaerts, G.; Desmet, C.; Van Krieken, M. Assay of sodium in food: Comparison of different preparation methods and assay techniques. J. Food Compost. Anal. 2016, 45, 66–72. [Google Scholar] [CrossRef]
- Buzanovskii, A. Determination of sodium in blood. Rev. J. Chem. 2018, 8, 197–222. [Google Scholar] [CrossRef]
- Khan, N.J.; Tariq, R.; Saleem, H.; Mushtaq, M.W. Quantification of sodium from food sources by using various analytical techniques. Biologia 2023, 69, 66–75. [Google Scholar] [CrossRef]
- Nielsen, S.S. Sodium determination using ion-selective electrodes, mohr titration, and test strips. In Nielsen’s Food Analysis Laboratory Manual, 4th ed.; Ismail, B.P., Nielsen, S.S., Eds.; Springer: Cham, Switzerland, 2024; pp. 167–175. [Google Scholar]
- Suzuki, K.; Sato, K.; Hisamoto, H.; Siswanta, D.; Hayashi, K.; Kasahara, N.; Watanabe, K.; Yamamoto, N.; Sakakura, H. Design and synthesis of sodium ion-selective ionophores based on 16-crown-5 derivatives for an ion-selective electrode. Anal. Chem. 1996, 68, 208–215. [Google Scholar] [CrossRef] [PubMed]
- Cadogan, A.M.; Diamond, D.; Smyth, M.R.; Deasy, M.; McKervey, M.A.; Harris, S.J. Sodium-selective polymeric membrane electrodes based on calix[4]arene ionophores. Analyst 1989, 114, 1551–1554. [Google Scholar] [CrossRef]
- Kimura, K.; Miura, T.; Matsuo, M.; Shono, T. Polymeric membrane sodium-selective electrodes based on lipophilic calix[4]arene derivatives. Anal. Chem. 1990, 62, 1510–1513. [Google Scholar] [CrossRef]
- Shibutani, Y.; Yoshinaga, H.; Yakabe, K.; Shono, T.; Tanaka, M. Polymeric membrane sodium-selective electrodes based on calix[4]arene ionophores. J. Incl. Phenom. Mol. Recognit. Chem. 1994, 19, 333–342. [Google Scholar] [CrossRef]
- Tamura, H.; Kimura, K.; Shono, T. Coated wire sodium- and potassium-selective electrodes based on bis(crown ether) compounds. Anal. Chem. 1982, 54, 1224–1227. [Google Scholar] [CrossRef]
- Shono, T.; Okahara, M.; Ikeda, I.; Kimura, K.; Tamura, H. Sodium-selective PVC membrane electrodes based on bis(12-crown-4)s. J. Electroanal. Chem. 1982, 132, 99–105. [Google Scholar] [CrossRef]
- Kielland, J. Individual activity coefficients of ions in aqueous solutions. J. Am. Chem. Soc. 1937, 59, 1675–1678. [Google Scholar] [CrossRef]
- Umezawa, Y.; Bühlmann, P.; Umezawa, K.; Tohda, K.; Amemiya, S. Potentiometric selectivity coefficients of ion-selective electrodes: Part I. Inorganic cations (technical report). Pure Appl. Chem. 2000, 72, 1851–2082. [Google Scholar] [CrossRef]
- Becke, A.D. Density-functional thermochemistry. III. The role of exact exchange. J. Chem. Phys. 1993, 98, 5648–5652. [Google Scholar] [CrossRef]
- Lee, C.; Yang, W.; Parr, R.G. Development of the Colle-Salvetti correlation-energy formula into a functional of the electron density. Phys. Rev. B 1988, 37, 785–789. [Google Scholar] [CrossRef] [PubMed]
- Stephens, P.J.; Devlin, F.J.; Chabalowski, C.F.; Frisch, M.J. Ab initio calculation of vibrational absorption and circular dichroism spectra using density functional force fields. J. Phys. Chem. 1994, 98, 11623–11627. [Google Scholar] [CrossRef]
- Frisch, M.J.; Trucks, G.W.; Schlegel, H.B.; Scuseria, G.E.; Robb, M.A.; Cheeseman, J.R.; Scalmani, G.; Barone, V.; Petersson, G.A.; Nakatsuji, H.; et al. Gaussian 16 Rev. B.01; Gaussian, Inc.: Wallingford, CT, USA, 2016. [Google Scholar]
- Roy, L.E.; Hay, P.J.; Martin, R.L. Revised Basis Sets for the LANL Effective Core Potentials. J. Chem. Theory Comput. 2008, 4, 1029–1031. [Google Scholar] [CrossRef] [PubMed]
- Reed, A.E.; Curtiss, L.A.; Weinhold, F. Intermolecular interactions from a natural bond orbital, donor-acceptor viewpoint. Chem. Rev. 1988, 88, 899–926. [Google Scholar] [CrossRef]
- Suenaga, M. Development of GUI for GAMESS/FMO calculation. J. Comput. Chem. Jpn. 2008, 7, 33–54. [Google Scholar] [CrossRef]



| Ionophore | Log kNa-M † | ||||||||
|---|---|---|---|---|---|---|---|---|---|
| M = | Li+ | K+ | Rb+ | Cs+ | Mg2+ | Ca2+ | NH4+ | H+ | |
| 1 | <−3.5 | −1.88 (0.01) | −2.23 (0.02) | −2.49 (0.02) | −4.24 (0.07) | −3.97 (0.01) | −3.14 (0.01) | ||
| 2 | <−3.5 | −2.5 ± 0.2 † | −3.08 (0.05) | <−3.5 | <−4.5 | −4.02 (0.01) | −3.81 (0.03) | −4.29 (0.01) | |
| 3 | −3.34 (0.09) | −1.72 (0.03) | |||||||
| 4 | <−3.5 | −1.77 (0.01) | −2.28 (0.01) | −2.65 (0.03) | −4.12 (0.06) | −3.76 (0.02 | −3.22 (0.02) | ||
| 5 | <−3.5 | −1.85 (0.01) | −2.47 (0.02) | −2.86 (0.02) | −4.30 (0.04) | −3.99 (0.01) | −3.42 (0.01) | <−4.5 | |
| 6 | −1.47 (0.05) | - | |||||||
| 8 | −1.76 (0.01) | ||||||||
| 9 | −1.60 (0.04) | ||||||||
Disclaimer/Publisher’s Note: The statements, opinions and data contained in all publications are solely those of the individual author(s) and contributor(s) and not of MDPI and/or the editor(s). MDPI and/or the editor(s) disclaim responsibility for any injury to people or property resulting from any ideas, methods, instructions or products referred to in the content. |
© 2025 by the authors. Licensee MDPI, Basel, Switzerland. This article is an open access article distributed under the terms and conditions of the Creative Commons Attribution (CC BY) license (https://creativecommons.org/licenses/by/4.0/).
Share and Cite
Katsuta, S.; Ino, Y.; Wakabayashi, H. Silicon-Bridged Bis(12-crown-4) Ethers as Ionophores for Sodium Ion-Selective Electrodes. Molecules 2025, 30, 925. https://doi.org/10.3390/molecules30040925
Katsuta S, Ino Y, Wakabayashi H. Silicon-Bridged Bis(12-crown-4) Ethers as Ionophores for Sodium Ion-Selective Electrodes. Molecules. 2025; 30(4):925. https://doi.org/10.3390/molecules30040925
Chicago/Turabian StyleKatsuta, Shoichi, Yoshiyasu Ino, and Hiroto Wakabayashi. 2025. "Silicon-Bridged Bis(12-crown-4) Ethers as Ionophores for Sodium Ion-Selective Electrodes" Molecules 30, no. 4: 925. https://doi.org/10.3390/molecules30040925
APA StyleKatsuta, S., Ino, Y., & Wakabayashi, H. (2025). Silicon-Bridged Bis(12-crown-4) Ethers as Ionophores for Sodium Ion-Selective Electrodes. Molecules, 30(4), 925. https://doi.org/10.3390/molecules30040925

