Identification of the Cellular Tipping Point in the Inflammation Model of LPS-Induced RAW264.7 Macrophages Through Raman Spectroscopy and the Dynamical Network Biomarker Theory
Abstract
1. Introduction
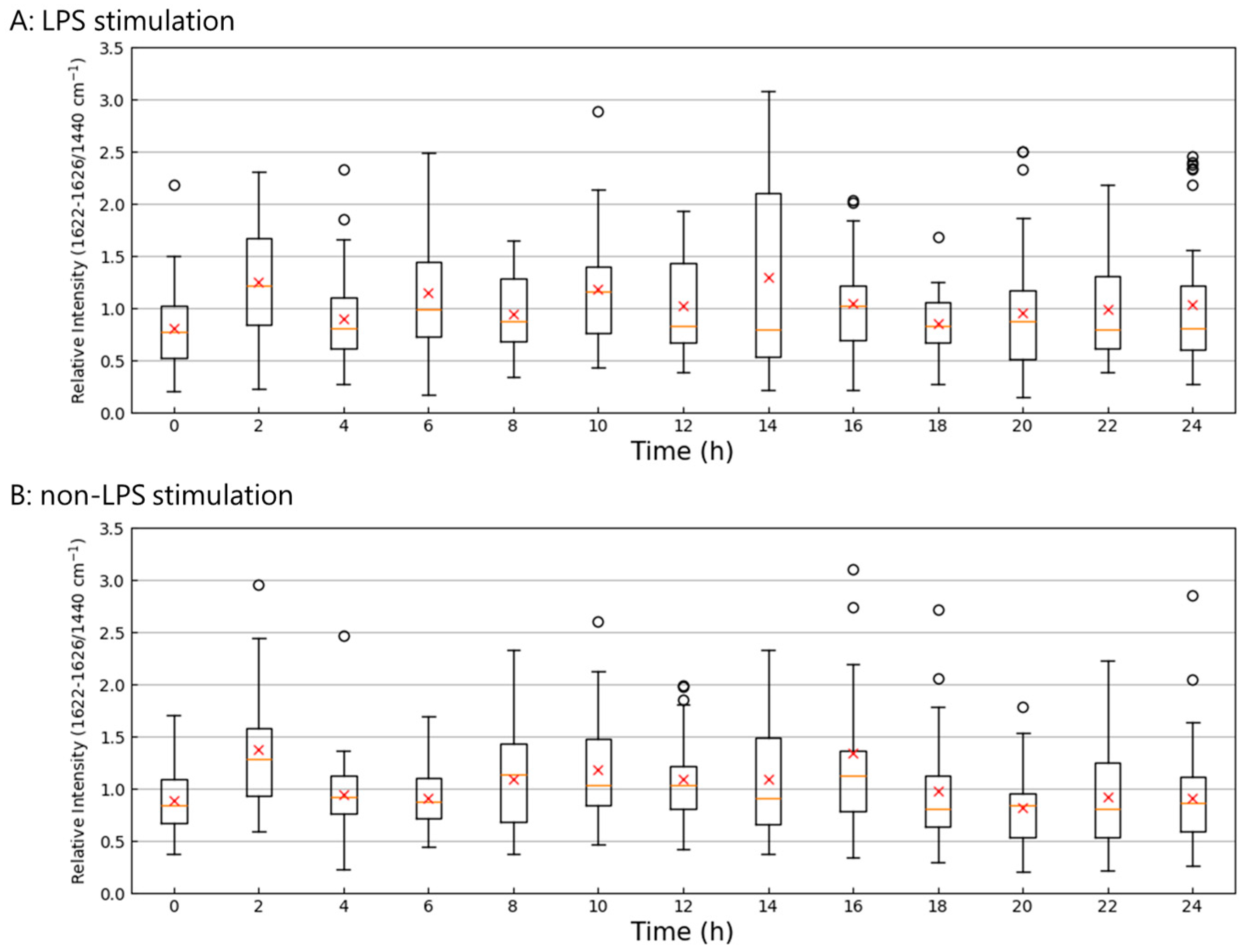
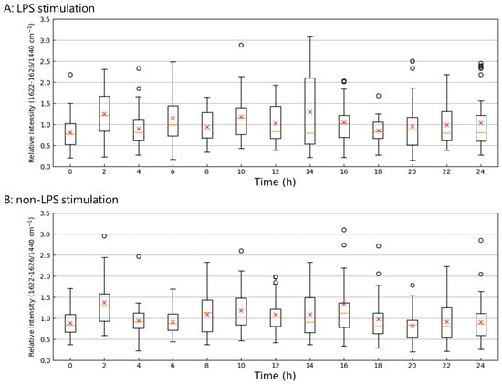
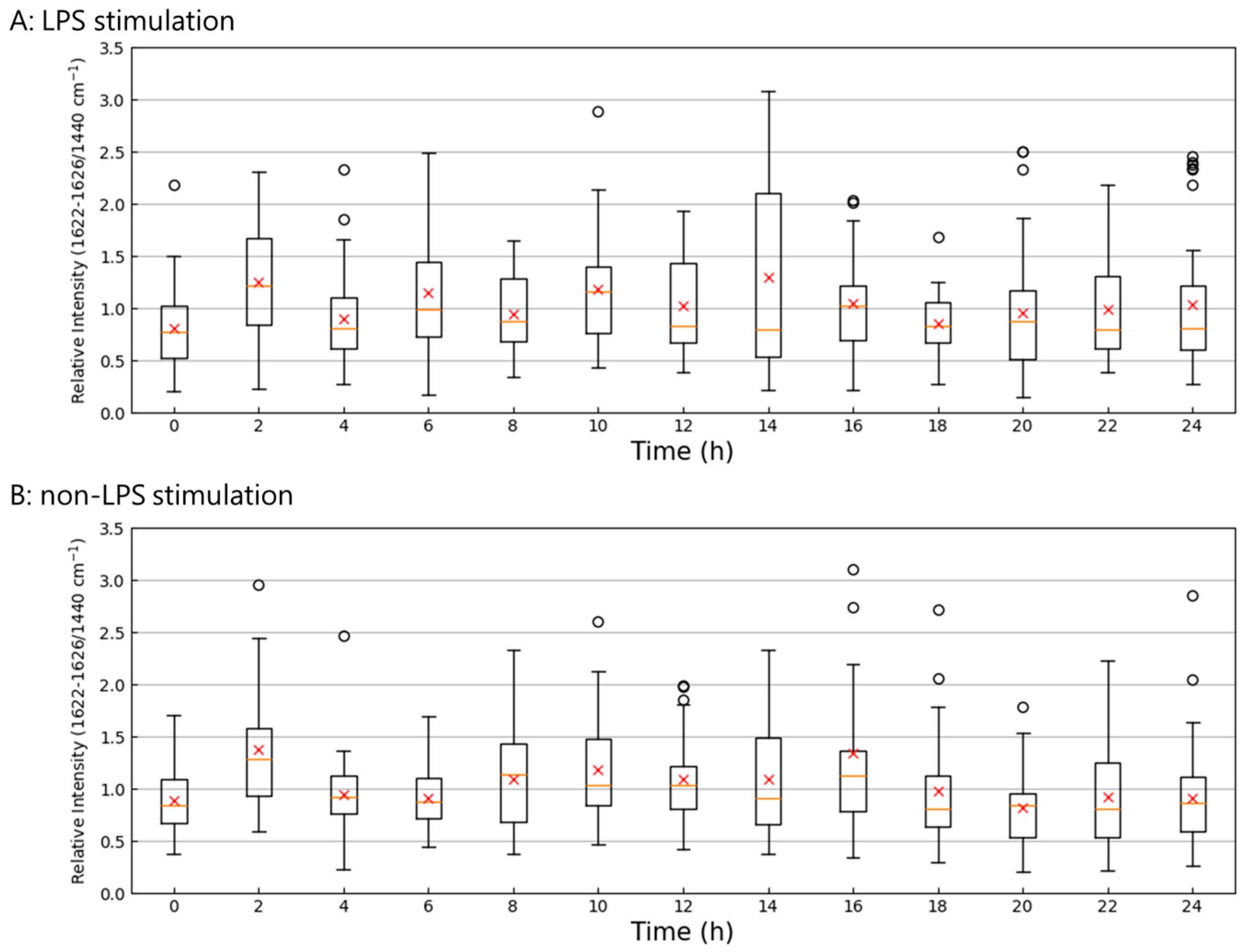
2. Results
3. Discussion
4. Materials and Methods
4.1. Raman Microscope Devices
4.2. Cell Treatment
4.3. Raman Data Preprocessing
4.4. Partial Least Squares (PLS) Analysis
4.5. PCA-Linear Discriminant Analysis (LDA)
4.6. DNB Analysis
- Preprocessing;
- The F-test to evaluate fluctuations between the experimental and control groups;
- Correlations to assess the relationships between fluctuating variables;
- Clustering to define DNB candidates;
- DNB scores to identify the transition state and DNB elements.
5. Conclusions
Author Contributions
Funding
Institutional Review Board Statement
Informed Consent Statement
Data Availability Statement
Conflicts of Interest
References
- Raman, C.V.; Krishnan, K.S. A New Type of Secondary Radiation. Nature 1928, 121, 501–502. [Google Scholar] [CrossRef]
- Orlando, A.; Franceschini, F.; Muscas, C.; Pidkova, S.; Bartoli, M.; Rovere, M.; Tagliaferro, A. A Comprehensive Review on Raman Spectroscopy Applications. Chemosensors 2021, 9, 262. [Google Scholar] [CrossRef]
- Smith, R.; Wright, K.L.; Ashton, L. Raman Spectroscopy: An Evolving Technique for Live Cell Studies. Analyst 2016, 141, 3590–3600. [Google Scholar] [CrossRef] [PubMed]
- Neugebauer, U.; Clement, J.H.; Bocklitz, T.; Krafft, C.; Popp, J. Identification and Differentiation of Single Cells from Peripheral Blood by Raman Spectroscopic Imaging. J. Biophotonics 2010, 3, 579–587. [Google Scholar] [CrossRef] [PubMed]
- Kang, J.W.; Nguyen, F.T.; Lue, N. Temporal Imaging of Live Cells by High-Speed Confocal Raman Microscopy. Materials 2021, 14, 3732. [Google Scholar] [CrossRef] [PubMed]
- Sahu, A.; Tawde, S.; Pai, V.; Gera, P.; Chaturvedi, P.; Nair, S.; Krishna, C.M. Raman Spectroscopy and Cytopathology of Oral Exfoliated Cells for Oral Cancer Diagnosis. Anal. Methods 2015, 7, 7548–7559. [Google Scholar] [CrossRef]
- Nötzel, M.; Mahamid, M.; Kronstein-Wiedemann, R.; Ziemssen, T.; Akgün, K. Raman Spectroscopy of Optically Trapped Living Human T Cell Subsets and Monocytes. Int. J. Mol. Sci. 2024, 25, 9557. [Google Scholar] [CrossRef] [PubMed]
- Shalabaeva, V.; Lovato, L.; Rocca, R.L.; Messina, G.C.; Dipalo, M.; Miele, E.; Perrone, M.; Gentile, F.; Angelis, F.D. Time Resolved and Label Free Monitoring of Extracellular Metabolites by Surface Enhanced Raman Spectroscopy. PLoS ONE 2017, 12, e0175581. [Google Scholar] [CrossRef]
- Ribeiro, A.R.B.; Silva, E.C.O.; Araújo, P.M.C.; Souza, S.T.; da Fonseca, E.J.S.; Barreto, E. Application of Raman Spectroscopy for Characterization of the Functional Polarization of Macrophages into M1 and M2 Cells. Spectrochim. Acta Part A Mol. Biomol. Spectrosc. 2022, 265, 120328. [Google Scholar] [CrossRef]
- Kim, M.E.; Lee, J.S. Molecular Foundations of Inflammatory Diseases: Insights into Inflammation and Inflammasomes. Curr. Issues Mol. Biol. 2024, 46, 469–484. [Google Scholar] [CrossRef]
- Kaisho, T.; Akira, S. Toll-like Receptor Function and Signaling. J. Allergy Clin. Immunol. 2006, 117, 979–987. [Google Scholar] [CrossRef] [PubMed]
- Liu, R.; Li, M.; Liu, Z.-P.; Wu, J.; Chen, L.; Aihara, K. Identifying Critical Transitions and Their Leading Biomolecular Networks in Complex Diseases. Sci. Rep. 2012, 2, 813. [Google Scholar] [CrossRef] [PubMed]
- Chen, P.; Liu, R.; Li, Y.; Chen, L. Detecting Critical State before Phase Transition of Complex Biological Systems by Hidden Markov Model. Bioinformatics 2016, 32, 2143–2150. [Google Scholar] [CrossRef]
- Liu, X.; Liu, R.; Zhao, X.-M.; Chen, L. Detecting Early-Warning Signals of Type 1 Diabetes and Its Leading Biomolecular Networks by Dynamical Network Biomarkers. BMC Med. Genom. 2013, 6, S8. [Google Scholar] [CrossRef] [PubMed]
- Chen, L.; Liu, R.; Liu, Z.-P.; Li, M.; Aihara, K. Detecting Early-Warning Signals for Sudden Deterioration of Complex Diseases by Dynamical Network Biomarkers. Sci. Rep. 2012, 2, 342. [Google Scholar] [CrossRef] [PubMed]
- Liu, R.; Yu, X.; Liu, X.; Xu, D.; Aihara, K.; Chen, L. Identifying Critical Transitions of Complex Diseases Based on a Single Sample. Bioinformatics 2014, 30, 1579–1586. [Google Scholar] [CrossRef] [PubMed]
- Aihara, K.; Liu, R.; Koizumi, K.; Liu, X.; Chen, L. Dynamical Network Biomarkers: Theory and Applications. Gene 2022, 808, 145997. [Google Scholar] [CrossRef]
- Yang, B.; Li, M.; Tang, W.; Liu, W.; Zhang, S.; Chen, L.; Xia, J. Dynamic Network Biomarker Indicates Pulmonary Metastasis at the Tipping Point of Hepatocellular Carcinoma. Nat. Commun. 2018, 9, 678. [Google Scholar] [CrossRef] [PubMed]
- Jiang, F.; Yang, L.; Jiao, X. Dynamic Network Biomarker to Determine the Critical Point of Breast Cancer Stage Progression. Breast Cancer 2023, 30, 453–465. [Google Scholar] [CrossRef]
- Li, M.; Zeng, T.; Liu, R.; Chen, L. Detecting Tissue-Specific Early Warning Signals for Complex Diseases Based on Dynamical Network Biomarkers: Study of Type 2 Diabetes by Cross-Tissue Analysis. Brief. Bioinform. 2014, 15, 229–243. [Google Scholar] [CrossRef]
- Han, C.; Zhong, J.; Zhang, Q.; Hu, J.; Liu, R.; Liu, H.; Mo, Z.; Chen, P.; Ling, F. Development of a Dynamic Network Biomarkers Method and Its Application for Detecting the Tipping Point of Prior Disease Development. Comput. Struct. Biotechnol. J. 2022, 20, 1189–1197. [Google Scholar] [CrossRef] [PubMed]
- Guo, W.; Jin, P.; Li, R.; Huang, L.; Liu, Z.; Li, H.; Zhou, T.; Fang, B.; Xia, L. Dynamic Network Biomarker Identifies Cdkn1a-Mediated Bone Mineralization in the Triggering Phase of Osteoporosis. Exp. Mol. Med. 2023, 55, 81–94. [Google Scholar] [CrossRef] [PubMed]
- Haruki, T.; Yonezawa, S.; Koizumi, K.; Yoshida, Y.; Watanabe, T.M.; Fujita, H.; Oshima, Y.; Oku, M.; Taketani, A.; Yamazaki, M.; et al. Application of the Dynamical Network Biomarker Theory to Raman Spectra. Biomolecules 2022, 12, 1730. [Google Scholar] [CrossRef]
- Yonezawa, S.; Haruki, T.; Koizumi, K.; Taketani, A.; Oshima, Y.; Oku, M.; Wada, A.; Sato, T.; Masuda, N.; Tahara, J.; et al. Establishing Monoclonal Gammopathy of Undetermined Significance as an Independent Pre-Disease State of Multiple Myeloma Using Raman Spectroscopy, Dynamical Network Biomarker Theory, and Energy Landscape Analysis. Int. J. Mol. Sci. 2024, 25, 1570. [Google Scholar] [CrossRef] [PubMed]
- Hung, Y.-L.; Fang, S.-H.; Wang, S.-C.; Cheng, W.-C.; Liu, P.-L.; Su, C.-C.; Chen, C.-S.; Huang, M.-Y.; Hua, K.-F.; Shen, K.-H.; et al. Corylin Protects LPS-Induced Sepsis and Attenuates LPS-Induced Inflammatory Response. Sci. Rep. 2017, 7, 46299. [Google Scholar] [CrossRef] [PubMed]
- Han, H.; Kang, J.-K.; Ahn, K.J.; Hyun, C.-G. DMSO Alleviates LPS-Induced Inflammatory Responses in RAW264.7 Macrophages by Inhibiting NF-κB and MAPK Activation. BioChem 2023, 3, 91–101. [Google Scholar] [CrossRef]
- Chan, J.W.; Taylor, D.S.; Zwerdling, T.; Lane, S.M.; Ihara, K.; Huser, T. Micro-Raman Spectroscopy Detects Individual Neoplastic and Normal Hematopoietic Cells. Biophys. J. 2006, 90, 648–656. [Google Scholar] [CrossRef]
- Frank, C.J.; McCreery, R.L.; Redd, D.C.B. Raman Spectroscopy of Normal and Diseased Human Breast Tissues. Anal. Chem. 1995, 67, 777–783. [Google Scholar] [CrossRef] [PubMed]
- Faoláin, E.Ó.; Hunter, M.B.; Byrne, J.M.; Kelehan, P.; McNamara, M.; Byrne, H.J.; Lyng, F.M. A Study Examining the Effects of Tissue Processing on Human Tissue Sections Using Vibrational Spectroscopy. Vib. Spectrosc. 2005, 38, 121–127. [Google Scholar] [CrossRef]
- Hanlon, E.; Manoharan, R.; Koo, T.-W.; Shafer-Peltier, K.; Motz, J.T.; Fitzmaurice, M.; Kramer, J.R.; Itzkan, I.; Dasari, R.R.; Feld, M.S. Prospects for in Vivo Raman Spectroscopy. Phys. Med. Biol. 2000, 45, R1. [Google Scholar] [CrossRef] [PubMed]
- Movasaghi, Z.; Rehman, S.; Rehman, I.U. Raman Spectroscopy of Biological Tissues. Appl. Spectrosc. Rev. 2007, 42, 493–541. [Google Scholar] [CrossRef]
- Binoy, J.; Abraham, J.P.; Joe, I.H.; Jayakumar, V.S.; Pettit, G.R.; Nielsen, O.F. NIR-FT Raman and FT-IR Spectral Studies and Ab Initio Calculations of the Anti-Cancer Drug Combretastatin-A4. J. Raman Spectrosc. 2004, 35, 939–946. [Google Scholar] [CrossRef]
- Cheng, W.-T.; Liu, M.-T.; Liu, H.-N.; Lin, S.-Y. Micro-Raman Spectroscopy Used to Identify and Grade Human Skin Pilomatrixoma. Microsc. Res. Tech. 2005, 68, 75–79. [Google Scholar] [CrossRef]
- Notingher, I.; Green, C.; Dyer, C.; Perkins, E.; Hopkins, N.; Lindsay, C.; Hench, L.L. Discrimination between Ricin and Sulphur Mustard Toxicity in Vitro Using Raman Spectroscopy. J. R. Soc. Interface 2004, 1, 79–90. [Google Scholar] [CrossRef]
- Gniadecka, M.; Wulf, H.C.; Nymark Mortensen, N.; Faurskov Nielsen, O.; Christensen, D.H. Diagnosis of Basal Cell Carcinoma by Raman Spectroscopy. J. Raman Spectrosc. 1997, 28, 125–129. [Google Scholar] [CrossRef]
- Melo, W.D.C.; Freire, P.T.C.; Filho, J.M.; Melo, F.E.A.; Lima, J.A.; Paraguassu, W. Raman Spectroscopy of D-Methionine under High Pressure. Vib. Spectrosc. 2014, 72, 57–61. [Google Scholar] [CrossRef]
- Krafft, C.; Neudert, L.; Simat, T.; Salzer, R. Near Infrared Raman Spectra of Human Brain Lipids. Spectrochim. Acta Part A Mol. Biomol. Spectrosc. 2005, 61, 1529–1535. [Google Scholar] [CrossRef] [PubMed]
- Stone, N.; Kendall, C.; Smith, J.; Crow, P.; Barr, H. Raman Spectroscopy for Identification of Epithelial Cancers. Faraday Discuss. 2004, 126, 141–157. [Google Scholar] [CrossRef]
- Rath, M.; Müller, I.; Kropf, P.; Closs, E.I.; Munder, M. Metabolism via Arginase or Nitric Oxide Synthase: Two Competing Arginine Pathways in Macrophages. Front. Immunol. 2014, 5, 532. [Google Scholar] [CrossRef] [PubMed]
- Liu, Y.; Xu, R.; Gu, H.; Zhang, E.; Qu, J.; Cao, W.; Huang, X.; Yan, H.; He, J.; Cai, Z. Metabolic Reprogramming in Macrophage Responses. Biomark. Res. 2021, 9, 1–17. [Google Scholar] [CrossRef]
- Roy, D.G.; Chen, J.; Mamane, V.; Ma, E.H.; Muhire, B.M.; Sheldon, R.D.; Shorstova, T.; Koning, R.; Johnson, R.M.; Esaulova, E.; et al. Methionine Metabolism Shapes T Helper Cell Responses through Regulation of Epigenetic Reprogramming. Cell Metab. 2020, 31, 250–266.e9. [Google Scholar] [CrossRef]
- Kaulmann, A.; Bohn, T. Carotenoids, Inflammation, and Oxidative Stress—Implications of Cellular Signaling Pathways and Relation to Chronic Disease Prevention. Nutr. Res. 2014, 34, 907–929. [Google Scholar] [CrossRef]
- Bosco, M.C.; Rapisarda, A.; Massazza, S.; Melillo, G.; Young, H.; Varesio, L. The Tryptophan Catabolite Picolinic Acid Selectively Induces the Chemokines Macrophage Inflammatory Protein-1α and -1β in Macrophages1. J. Immunol. 2000, 164, 3283–3291. [Google Scholar] [CrossRef] [PubMed]
- Sin, R.; Sotogaku, N.; Ohnishi, Y.N.; Shuto, T.; Kuroiwa, M.; Kawahara, Y.; Sugiyama, K.; Murakami, Y.; Kanai, M.; Funakoshi, H.; et al. Inhibition of STAT-Mediated Cytokine Responses to Chemically-Induced Colitis Prevents Inflammation-Associated Neurobehavioral Impairments. Brain Behav. Immun. 2023, 114, 173–186. [Google Scholar] [CrossRef] [PubMed]
- Miyajima, M.; Zhang, B.; Sugiura, Y.; Sonomura, K.; Guerrini, M.M.; Tsutsui, Y.; Maruya, M.; Vogelzang, A.; Chamoto, K.; Honda, K.; et al. Metabolic Shift Induced by Systemic Activation of T Cells in PD-1-Deficient Mice Perturbs Brain Monoamines and Emotional Behavior. Nat. Immunol. 2017, 18, 1342–1352. [Google Scholar] [CrossRef]
- Xue, L.; Wang, C.; Qian, Y.; Zhu, W.; Liu, L.; Yang, X.; Zhang, S.; Luo, D. Tryptophan Metabolism Regulates Inflammatory Macrophage Polarization as a Predictive Factor for Breast Cancer Immunotherapy. Int. Immunopharmacol. 2023, 125, 111196. [Google Scholar] [CrossRef]
- Harris, D.M.M.; Szymczak, S.; Schuchardt, S.; Labrenz, J.; Tran, F.; Welz, L.; Graßhoff, H.; Zirpel, H.; Sümbül, M.; Oumari, M.; et al. Tryptophan Degradation as a Systems Phenomenon in Inflammation—An Analysis across 13 Chronic Inflammatory Diseases. EBioMedicine 2024, 102, 105056. [Google Scholar] [CrossRef]
- Sorgdrager, F.J.H.; Naudé, P.J.W.; Kema, I.P.; Nollen, E.A.; Deyn, P.P.D. Tryptophan Metabolism in Inflammaging: From Biomarker to Therapeutic Target. Front. Immunol. 2019, 10, 2565. [Google Scholar] [CrossRef] [PubMed]
- Dang, H.; Castro-Portuguez, R.; Espejo, L.; Backer, G.; Freitas, S.; Spence, E.; Meyers, J.; Shuck, K.; Gardea, E.A.; Chang, L.M.; et al. On the Benefits of the Tryptophan Metabolite 3-Hydroxyanthranilic Acid in Caenorhabditis Elegans and Mouse Aging. Nat. Commun. 2023, 14, 8338. [Google Scholar] [CrossRef] [PubMed]
- Serber, Z.; Selenko, P.; Hänsel, R.; Reckel, S.; Löhr, F.; Ferrell, J.E.; Wagner, G.; Dötsch, V. Investigating Macromolecules inside Cultured and Injected Cells by In-Cell NMR Spectroscopy. Nat. Protoc. 2006, 1, 2701–2709. [Google Scholar] [CrossRef]
- Hashimoto, K.; Andriana, B.B.; Matsuyoshi, H.; Sato, H. Discrimination Analysis of Excitatory and Inhibitory Neurons Using Raman Spectroscopy. Analyst 2018, 143, 2889–2894. [Google Scholar] [CrossRef]
- Feuerer, N.; Marzi, J.; Brauchle, E.M.; Carvajal Berrio, D.A.; Billing, F.; Weiss, M.; Jakobi, M.; Schneiderhan-Marra, N.; Shipp, C.; Schenke-Layland, K. Lipidome Profiling with Raman Microspectroscopy Identifies Macrophage Response to Surface Topographies of Implant Materials. Proc. Natl. Acad. Sci. USA 2021, 118, e2113694118. [Google Scholar] [CrossRef]
- Aki, T.; Funakoshi, T.; Noritake, K.; Unuma, K.; Uemura, K. Extracellular Glucose Is Crucially Involved in the Fate Decision of LPS-Stimulated RAW264.7 Murine Macrophage Cells. Sci. Rep. 2020, 10, 10581. [Google Scholar] [CrossRef] [PubMed]
- Hwang, J.-H.; Lim, S.-B. Antioxidant and Anti-Inflammatory Activities of Broccoli Florets in LPS-Stimulated RAW 264.7 Cells. Prev. Nutr. Food. Sci. 2014, 19, 89–97. [Google Scholar] [CrossRef] [PubMed]
- Virca, G.D.; Kim, S.Y.; Glaser, K.B.; Ulevitch, R.J. Lipopolysaccharide Induces Hyporesponsiveness to Its Own Action in RAW 264.7 Cells*. J. Biol. Chem. 1989, 264, 21951–21956. [Google Scholar] [CrossRef]






| Raman Shift [cm−1] | Assignment |
|---|---|
| 722 | DNA [27] |
| 742 | DNA [27] |
| 1003 | Phenylalanine [27] |
| 1046 | Proline [30] |
| 1447 | CH2 Lipid and Protein [29] |
| 1656 | C=C Fatty Acids and Amide I [28] |
| Raman Shift [cm−1] | Assignment | Factor-1 | Factor-2 |
|---|---|---|---|
| 702 | DNA [35] | - | |
| 742 | DNA [27] | - | |
| 851 | Proline [34] | - | - |
| 926 | Proline [34] | - | - |
| 1003 | Phenylalanine [27] | - | - |
| 1046 | Proline [30] | - | - |
| 1086 | Lipid [34] | + | |
| 1127 | Protein [33] | - | |
| 1169 | Tyrosine [34] | - | - |
| 1226 | Amide III [32] | - | |
| 1283 | Amide III [32] | + | |
| 1294 | CH2 Deformation [29] | - | |
| 1460 | CH2/CH3 Lipids and Collagen [34] | - | - |
| 1656 | C=C Fatty Acids and Amide I [28] | - | - |
Disclaimer/Publisher’s Note: The statements, opinions and data contained in all publications are solely those of the individual author(s) and contributor(s) and not of MDPI and/or the editor(s). MDPI and/or the editor(s) disclaim responsibility for any injury to people or property resulting from any ideas, methods, instructions or products referred to in the content. |
© 2025 by the authors. Licensee MDPI, Basel, Switzerland. This article is an open access article distributed under the terms and conditions of the Creative Commons Attribution (CC BY) license (https://creativecommons.org/licenses/by/4.0/).
Share and Cite
Taketani, A.; Koshiyama, S.; Haruki, T.; Yonezawa, S.; Tahara, J.; Yamazaki, M.; Oshima, Y.; Wada, A.; Sato, T.; Koizumi, K.; et al. Identification of the Cellular Tipping Point in the Inflammation Model of LPS-Induced RAW264.7 Macrophages Through Raman Spectroscopy and the Dynamical Network Biomarker Theory. Molecules 2025, 30, 920. https://doi.org/10.3390/molecules30040920
Taketani A, Koshiyama S, Haruki T, Yonezawa S, Tahara J, Yamazaki M, Oshima Y, Wada A, Sato T, Koizumi K, et al. Identification of the Cellular Tipping Point in the Inflammation Model of LPS-Induced RAW264.7 Macrophages Through Raman Spectroscopy and the Dynamical Network Biomarker Theory. Molecules. 2025; 30(4):920. https://doi.org/10.3390/molecules30040920
Chicago/Turabian StyleTaketani, Akinori, Shota Koshiyama, Takayuki Haruki, Shota Yonezawa, Jun Tahara, Moe Yamazaki, Yusuke Oshima, Akinori Wada, Tsutomu Sato, Keiichi Koizumi, and et al. 2025. "Identification of the Cellular Tipping Point in the Inflammation Model of LPS-Induced RAW264.7 Macrophages Through Raman Spectroscopy and the Dynamical Network Biomarker Theory" Molecules 30, no. 4: 920. https://doi.org/10.3390/molecules30040920
APA StyleTaketani, A., Koshiyama, S., Haruki, T., Yonezawa, S., Tahara, J., Yamazaki, M., Oshima, Y., Wada, A., Sato, T., Koizumi, K., Kitajima, I., & Saito, S. (2025). Identification of the Cellular Tipping Point in the Inflammation Model of LPS-Induced RAW264.7 Macrophages Through Raman Spectroscopy and the Dynamical Network Biomarker Theory. Molecules, 30(4), 920. https://doi.org/10.3390/molecules30040920

