The Effects of Peruvian maca (Lepidium meyenii) Root Extract on In Vitro Cultured Porcine Fibroblasts and Adipocytes
Abstract
1. Introduction
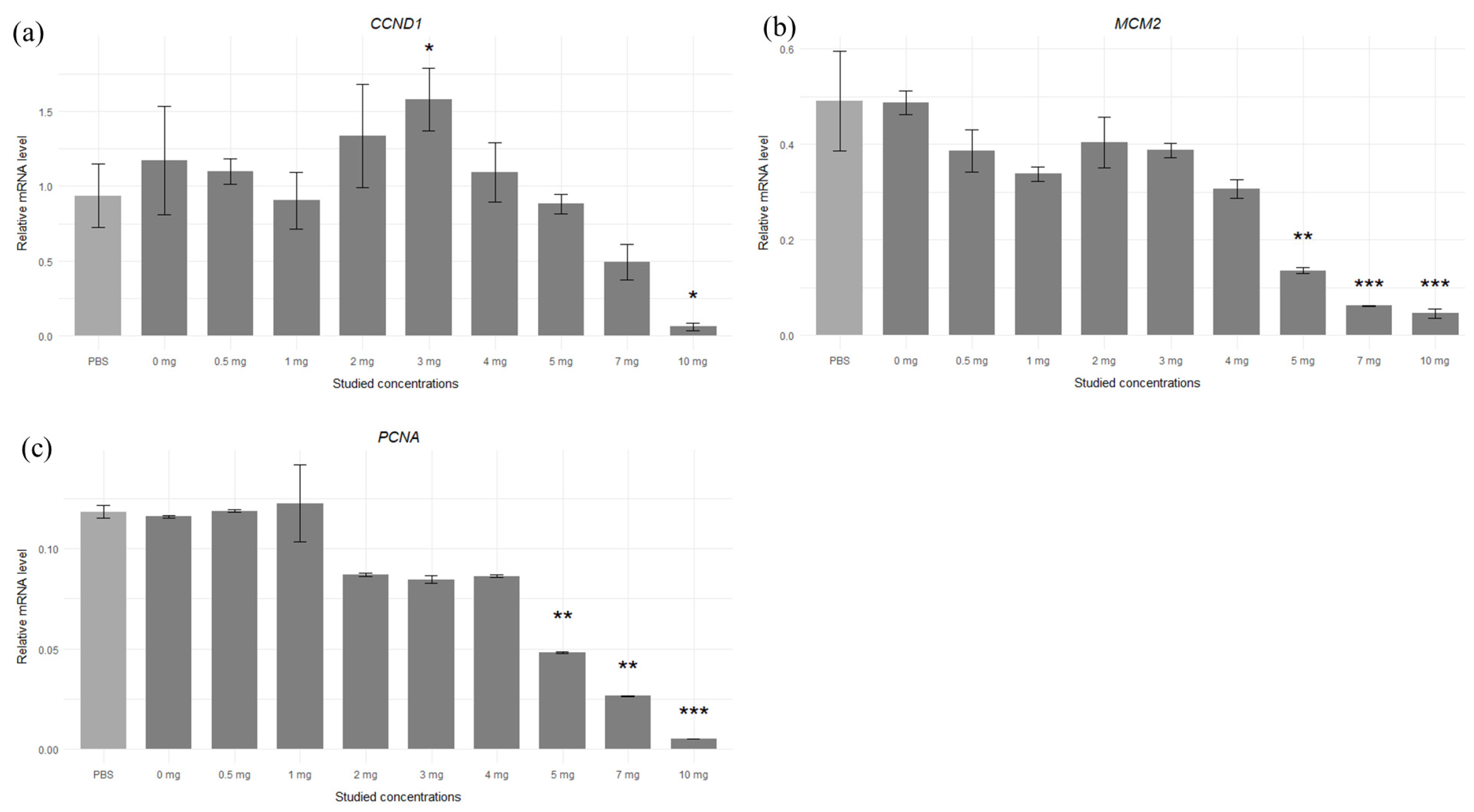
2. Results
3. Discussion
4. Materials and Methods
4.1. Analysis of Chemical Compounds
4.1.1. Determination of Individual Fatty Acid Profile (FAME), Macamides, and Fatty Acid Derivatives Content
4.1.2. Determination of Individual Sterol Content
4.1.3. Determination of Total Bioactive Compound (Total Polyphenols, Flavonoids, Glucosylates, and Saponins) Content
4.1.4. Determination of Individual Phenolic Compound Content
4.2. Cell Culture
4.3. TUNEL and Genome Instability Test
4.4. MTT Test
4.5. BrdU Proliferation Test
4.6. BODIPY Staining
4.7. Real-Time PCR
4.8. Statistical Analysis
5. Conclusions
Supplementary Materials
Author Contributions
Funding
Institutional Review Board Statement
Informed Consent Statement
Data Availability Statement
Acknowledgments
Conflicts of Interest
References
- da Silva Leitão Peres, N.; Cabrera Parra Bortoluzzi, L.; Medeiros Marques, L.L.; Formigoni, M.; Fuchs, R.H.B.; Droval, A.A.; Reitz Cardoso, F.A. Medicinal Effects of Peruvian Maca (Lepidium meyenii): A Review. Food Funct. 2020, 11, 83–92. [Google Scholar] [CrossRef] [PubMed]
- Carvalho, F.V.; Ribeiro, P.R. Structural Diversity, Biosynthetic Aspects, and LC-HRMS Data Compilation for the Identification of Bioactive Compounds of Lepidium meyenii. Food Res. Int. 2019, 125, 108615. [Google Scholar] [CrossRef] [PubMed]
- Carvalho, F.V.; Fonseca Santana, L.; da Silva, V.D.A.; Costa, S.L.; Zambotti-Villelae, L.; Colepicolo, P.; Ferraz, C.G.; Ribeiro, P.R. Combination of a Multiplatform Metabolite Profiling Approach and Chemometrics as a Powerful Strategy to Identify Bioactive Metabolites in Lepidium meyenii (Peruvian Maca). Food Chem. 2021, 364, 130453. [Google Scholar] [CrossRef]
- Fu, L.; Wei, J.; Gao, Y.; Chen, R. Antioxidant and Antitumoral Activities of Isolated Macamide and Macaene Fractions from Lepidium meyenii (Maca). Talanta 2021, 221, 121635. [Google Scholar] [CrossRef]
- Valentová, K.; Buckiová, D.; Křen, V.; Pěknicová, J.; Ulrichová, J.; Šimánek, V. The in Vitro Biological Activity of Lepidium meyenii Extracts. Cell Biol. Toxicol. 2006, 22, 91–99. [Google Scholar] [CrossRef]
- Yu, Z.; Jin, W.; Cui, Y.; Ao, M.; Liu, H.; Xu, H.; Yu, L. Protective Effects of Macamides from Lepidium meyenii Walp. against Corticosterone-Induced Neurotoxicity in PC12 Cells. RSC Adv. 2019, 9, 23096–23108. [Google Scholar] [CrossRef]
- Lenzi, R.M.; Campestrini, L.H.; Semprebon, S.C.; Paschoal, J.A.R.; Silva, M.A.G.; Zawadzki-Baggio, S.F.; Mantovani, M.S.; Petkowicz, C.L.O.; Maurer, J.B.B. Glucosinolate-Enriched Fractions from Maca (Lepidium meyenii) Exert Myrosinase-Dependent Cytotoxic Effects against HepG2/C3A and HT29 Tumor Cell Lines. Nutr. Cancer 2022, 74, 1322–1337. [Google Scholar] [CrossRef]
- Bizinelli, D.; Flores Navarro, F.; Lima Costa Faldoni, F. Maca Root (Lepidium meyenii) Extract Increases the Expression of MMP-1 and Stimulates Migration of Triple-Negative Breast Cancer Cells. Nutr. Cancer 2022, 74, 346–356. [Google Scholar] [CrossRef]
- Chen, H.; Han, Y.; Jahan, I.; Wu, S.; Clark, B.C.; Wiseman, J.S. Extracts of maca (Lepidium meyenii) root induce increased glucose uptake by inhibiting mitochondrial function in an adipocyte cell line. J. Herb. Med. 2019, 17–18, 100282. [Google Scholar] [CrossRef]
- Olofinnade, A.T.; Alawode, A.; Onaolapo, A.Y.; Onaolapo, O.J. Lepidium meyenii supplemented diet modulates neurobehavioral and biochemical parameters in mice fed high-fat high-sugar diet. Endocr. Metab. Immune Disord. Drug Targets 2021, 21, 1333–1343. [Google Scholar] [CrossRef]
- Fei, W.; Hou, Y.; Yue, N.; Zhou, X.; Wang, Y.; Wang, L.; Li, A.; Zhang, J. The effects of aqueous extract of Maca on energy metabolism and immunoregulation. Eur. J. Med. Res. 2020, 25, 24. [Google Scholar] [CrossRef] [PubMed]
- Ulloa del Carpio, N.; Alvarado-Corella, D.; Quiñones-Laveriano, D.M.; Araya-Sibaja, A.; Vega-Baudrit, J.; Monagas-Juan, M.; Navarro-Hoyos, M.; Villar-López, M. Exploring the chemical and pharmacological variability of Lepidium meyenii: A comprehensive review of the effects of maca. Front. Pharmacol. 2024, 15, 1360422. [Google Scholar] [CrossRef] [PubMed]
- Todorova, V.; Ivanov, K.; Ivanova, S. Comparison between the Biological Active Compounds in Plants with Adaptogenic Properties (Rhaponticum carthamoides, Lepidium meyenii, Eleutherococcus senticosus and Panax ginseng). Plants 2021, 11, 64. [Google Scholar] [CrossRef] [PubMed]
- Zhou, Y.; Zhu, L.; Li, H.; Xie, W.; Liu, J.; Zhang, Y.; Li, Y.; Wang, C. In vivo and in vitro neuroprotective effects of maca polysaccharide. Front. Biosci. (Landmark Ed.) 2022, 27, 8. [Google Scholar] [CrossRef]
- Yi, D.; Yoshikawa, M.; Sugimoto, T.; Tomoo, K.; Okada, Y.; Hashimoto, T. Effects of Maca on Muscle Hypertrophy in C2C12 Skeletal Muscle Cells. Int. J. Mol. Sci. 2022, 23, 6825. [Google Scholar] [CrossRef]
- Rodríguez-Huamán, Á.; Casimiro-Gonzales, S.; Chávez-Pérez, J.A.; Gonzales-Arimborgo, C.; Cisneros-Fernández, R.; Aguilar-Mendoza, L.Á.; Gonzales, G.F. Antioxidant and neuroprotector effect of Lepidium meyenii (maca) methanol leaf extract against 6-hydroxy dopamine (6-OHDA)-induced toxicity in PC12 cells. Toxicol. Mech. Methods 2017, 27, 279–285. [Google Scholar] [CrossRef]
- Xia, C.; Chen, J.; Deng, J.-L.; Zhu, Y.-Q.; Li, W.-Y.; Jie, B.; Chen, T.-Y. Novel macamides from maca (Lepidium meyenii Walpers) root and their cytotoxicity. Phytochem. Lett. 2018, 25, 65–69. [Google Scholar] [CrossRef]
- Díaz, P.; Cardenas, H.; Orihuela, P.A. Red Maca (Lepidium meyenii) did not affect cell viability despite increased androgen receptor and prostate-specific antigen gene expression in the human prostate cancer cell line LNCaP. Andrologia 2016, 48, 922–926. [Google Scholar] [CrossRef]
- Nie, M.; Wang, Y.; Yu, Z.; Li, X.; Deng, Y.; Wang, Y.; Yang, D.; Li, Q.; Zeng, X.; Ju, J.; et al. AURKB promotes gastric cancer progression via activation of CCND1 expression. Aging 2020, 12, 1304–1321. [Google Scholar] [CrossRef]
- Liu, F.; Yuan, J.H.; Huang, J.F.; Yang, F.; Wang, T.T.; Ma, J.Z.; Zhang, L.; Zhou, C.C.; Wang, F.; Yu, J.; et al. Long noncoding RNA FTX inhibits hepatocellular carcinoma proliferation and metastasis by binding MCM2 and miR-374a. Oncogene 2016, 35, 5422–5434. [Google Scholar] [CrossRef]
- Yang, M.; Zhai, X.; Xia, B.; Wang, Y.; Lou, G. Long noncoding RNA CCHE1 promotes cervical cancer cell proliferation via upregulating PCNA. Tumor Biol. 2015, 36, 7615–7622. [Google Scholar] [CrossRef] [PubMed]
- Yang, J.; Cho, H.; Gil, M.; Kim, K.E. Anti-Inflammation and Anti-Melanogenic Effects of Maca Root Extracts Fermented Using Lactobacillus Strains. Antioxidants 2023, 12, 798. [Google Scholar] [CrossRef] [PubMed]
- Chen, R.; Wei, J.; Gao, Y. A review of the study of active components and their pharmacology value in Lepidium meyenii (Maca). Phytother. Res. 2021, 35, 6706–6719. [Google Scholar] [CrossRef]
- Hsu, C.L.; Yen, G.C. Induction of cell apoptosis in 3T3-L1 pre-adipocytes by flavonoids is associated with their antioxidant activity. Mol. Nutr. Food Res. 2006, 50, 1072–1079. [Google Scholar] [CrossRef]
- Herranz-López, M.; Fernández-Arroyo, S.; Pérez-Sanchez, A.; Barrajón-Catalán, E.; Beltrán-Debón, R.; Menéndez, J.A.; Alonso-Villaverde, C.; Segura-Carretero, A.; Joven, J.; Micol, V. Synergism of plant-derived polyphenols in adipogenesis: Perspectives and implications. Phytomedicine 2012, 19, 253–261. [Google Scholar] [CrossRef]
- Santos, J.C.; Gotardo, É.M.F.; Brianti, M.T.; Piraee, M.; Gambero, A.; Ribeiro, M.L. Effects of Yerba maté, a Plant Extract Formulation (“YGD”) and Resveratrol in 3T3-L1 Adipogenesis. Molecules 2014, 19, 16909–16924. [Google Scholar] [CrossRef]
- Stuper-Szablewska, K.; Busko, M.; Goral, T.; Perkowski, J. The fatty acid profile in different wheat cultivars depending on the level of contamination with microscopic fungi. Food Chem. 2014, 153, 216–222. [Google Scholar] [CrossRef]
- Xia, C.; Deng, J.; Pan, Y.; Lin, C.; Zhu, Y.; Xiang, Z.; Li, W.; Chen, J.; Zhang, Y.; Zhu, B.; et al. Comprehensive Profiling of Macamides and Fatty Acid Derivatives in Maca with Different Postharvest Drying Processes Using UPLC-QTOF-MS. ACS Omega 2021, 6, 24484–24492. [Google Scholar] [CrossRef]
- Szwajkowska-Michałek, L.; Rogoziński, T.; Stuper-Szablewska, K. Content of sterols in the bark after the process of high-temperature drying of sawn timber in chamber convection dryers. Sylwan 2019, 163, 610–616. [Google Scholar] [CrossRef]
- Przybylska-Balcerek, A.; Szablewski, T.; Szwajkowska-Michałek, L.; Świerk, D.; Cegielska-Radziejewska, R.; Krejpcio, Z.; Suchowilska, E.; Tomczyk, Ł.; Stuper-Szablewska, K. Sambucus Nigra Extracts–Natural Antioxidants and Antimicrobial Compounds. Molecules 2021, 26, 2910. [Google Scholar] [CrossRef] [PubMed]
- Bilinska, A.; Pszczola, M.; Stachowiak, M.; Stachecka, J.; Garbacz, F.; Aksoy, M.O.; Szczerbal, I. Droplet Digital PCR Quantification of Selected Intracellular and Extracellular microRNAs Reveals Changes in Their Expression Pattern during Porcine In Vitro Adipogenesis. Genes 2023, 14, 683. [Google Scholar] [CrossRef] [PubMed]






| Analysis of Individual Fatty Acid Content (%) | Analysis of Individual Macamide and Fatty Acid Derivative Content (μg/g) | ||
|---|---|---|---|
| Type | Content Mean ± SDs | Type | Content Mean ± SDs |
| Linoleic acid (C18:2n6) | 36.04 ± 0.03 | N-benzyl-hexadecanamide | 2556.10 ± 1.47 |
| Palmitic acid (C16:0) | 24.33 ± 0.13 | N-benzyl-9Z.12Z-octadecadienamide | 1894.20 ± 0.67 |
| Oleic acid (C18:1n9) | 11.37 ± 0.17 | N-benzyl-9Z.12Z.15Z-octadecatrienamide | 1002.13 ± 1.13 |
| Stearic acid (C18:0) | 6.43 ± 0.21 | N-benzyl-9-oxo-10E.12E-octadecadienamide | 812.10 ± 1.42 |
| Palmitoleic acid (C16:1n7) | 2.83 ± 0.04 | N-benzyl-9-oxo-10E.12Z-octadecadienamide | 629.53 ± 2.01 |
| Paullinic acid (C20:1) | 2.44 ± 0.08 | 9-oxo-10E.12E-octadecadienoic acid | 493.17 ± 7.19 |
| γ-linolenic acid (C18:3n6) | 2.30 ± 0.02 | N-benzyl-9-oxo-10E.12E.14E-octadecadienamide | 426.77 ± 4.11 |
| Behenic acid (C22:0) | 2.27 ± 0.13 | N-benzyl-9-oxo-10E.12Z.15Z-octadecadienamide | 224.73 ± 1.85 |
| Arachidic acid (C20:0) | 1.80 ± 0.02 | (10E.12E)-9-oxooctadeca-10.12-dienoic acid | 209.07 ± 5.37 |
| Cis-10-nonadecenoic acid (C19:1) | 1.46 ± 0.03 | N-benzyl-13-oxo-9Z.11E-octadecadienamide | 137.83 ± 0.10 |
| Margaric acid (C17:0) | 1.40 ± 0.16 | 9Z.11E.-13-Oxooctadeca-9.11-dienoic acid | 51.48 ± 1.05 |
| Linolenic acid (C18:3n3) | 1.32 ± 0.03 | Analysis of individual phenolic compound content (mg/kg) | |
| Myristic acid (C14:0) | 1.25 ± 0.02 | Type | Contents mean ± SDs |
| Heptadecanoic acid (C17:1) | 1.13 ± 0.12 | Phenolic acids | |
| Pentadecylic acid (C15:0) | 1.12 ± 0.01 | Gallic acid | 309.30 ± 9.74 |
| Lauric acid (C12:0) | 0.81 ± 0.03 | Ferulic acid | 118.87 ± 6.54 |
| Lignoceric acid (C24:0) | 0.44 ± 0.02 | Chlorogenic acid | 20.28 ± 0.82 |
| Ginkgolic acid (C15:1) | 0.43 ± 0.01 | p-cumaric acid | 17.26 ± 0.81 |
| Nervonic acid (C24:1) | 0.40 ± 0.05 | Caffeic acid | 7.96 ± 0.39 |
| Nonadecanoic acid (C19:0) | 0.31 ± 0.02 | Sinapic acid | 0.13 ± 0.01 |
| Tridecanoic acid (C13:0) | 0.13± 0.004 | 4-hydroxybenzoic acid | 0.49 ± 0.04 |
| Analysis of individual sterol content (mg/100 g) | Protocatechuic acid | 0.14 ± 0.02 | |
| Type | Contents mean ± SDs | t-cinnamic acid | 0.29 ± 0.05 |
| β-Sitosterol | 89.55 ± 0.67 | Flavonoids | |
| Campesterol | 25.96 ± 0.93 | Quercetin | 15.92 ± 1.16 |
| Stigmasterol | 18.01 ± 0.45 | Naringenin | 4.42 ± 0.33 |
| Analysis of total bioactive compound content | Rutin | 3.01 ± 0.15 | |
| Type | Contents mean ± SDs | Luteolin | 0.57 ± 0.07 |
| Total glucosylates (mmol/kg) | 128.70 ± 8.19 | Kaempferol | 0.55 ± 0.07 |
| Total saponins (mgAE/100 g) | 21.40 ± 0.90 | ||
| Total polyphenols (mgGAE/100 g) | 1.14 ± 0.08 | ||
| Total flavonoids (mgQE/100 g) | 0.07 ± 0.02 | ||
Disclaimer/Publisher’s Note: The statements, opinions and data contained in all publications are solely those of the individual author(s) and contributor(s) and not of MDPI and/or the editor(s). MDPI and/or the editor(s) disclaim responsibility for any injury to people or property resulting from any ideas, methods, instructions or products referred to in the content. |
© 2025 by the authors. Licensee MDPI, Basel, Switzerland. This article is an open access article distributed under the terms and conditions of the Creative Commons Attribution (CC BY) license (https://creativecommons.org/licenses/by/4.0/).
Share and Cite
Loba-Pasternak, W.; Aksoy, M.O.; Stuper-Szablewska, K.; Szwajkowska-Michalek, L.; Kolodziejski, P.; Szczerbal, I.; Nowacka-Woszuk, J. The Effects of Peruvian maca (Lepidium meyenii) Root Extract on In Vitro Cultured Porcine Fibroblasts and Adipocytes. Molecules 2025, 30, 847. https://doi.org/10.3390/molecules30040847
Loba-Pasternak W, Aksoy MO, Stuper-Szablewska K, Szwajkowska-Michalek L, Kolodziejski P, Szczerbal I, Nowacka-Woszuk J. The Effects of Peruvian maca (Lepidium meyenii) Root Extract on In Vitro Cultured Porcine Fibroblasts and Adipocytes. Molecules. 2025; 30(4):847. https://doi.org/10.3390/molecules30040847
Chicago/Turabian StyleLoba-Pasternak, Weronika, Mehmet Onur Aksoy, Kinga Stuper-Szablewska, Lidia Szwajkowska-Michalek, Pawel Kolodziejski, Izabela Szczerbal, and Joanna Nowacka-Woszuk. 2025. "The Effects of Peruvian maca (Lepidium meyenii) Root Extract on In Vitro Cultured Porcine Fibroblasts and Adipocytes" Molecules 30, no. 4: 847. https://doi.org/10.3390/molecules30040847
APA StyleLoba-Pasternak, W., Aksoy, M. O., Stuper-Szablewska, K., Szwajkowska-Michalek, L., Kolodziejski, P., Szczerbal, I., & Nowacka-Woszuk, J. (2025). The Effects of Peruvian maca (Lepidium meyenii) Root Extract on In Vitro Cultured Porcine Fibroblasts and Adipocytes. Molecules, 30(4), 847. https://doi.org/10.3390/molecules30040847

