A Comprehensive Analysis of Non-Thermal Ultrasonic-Assisted Extraction of Bioactive Compounds from Citrus Peel Waste Through a One-Factor-at-a-Time Approach
Abstract
1. Introduction
- Provide a comprehensive screening of nine specific extraction parameters, each tested independently using a one-factor-at-a-time approach, to assess their individual effects on bioactive compound yields and antioxidant activity from waste orange peel.
- Highlight the conditions (or their ranges) that favor maximizing the extraction of particular classes of compounds, such as flavonoids, phenolic acids, and glycosides.
2. Results and Discussion
2.1. Solid Parameters
2.1.1. Solid-to-Feed or Solid-to-Solvent Ratio
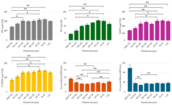
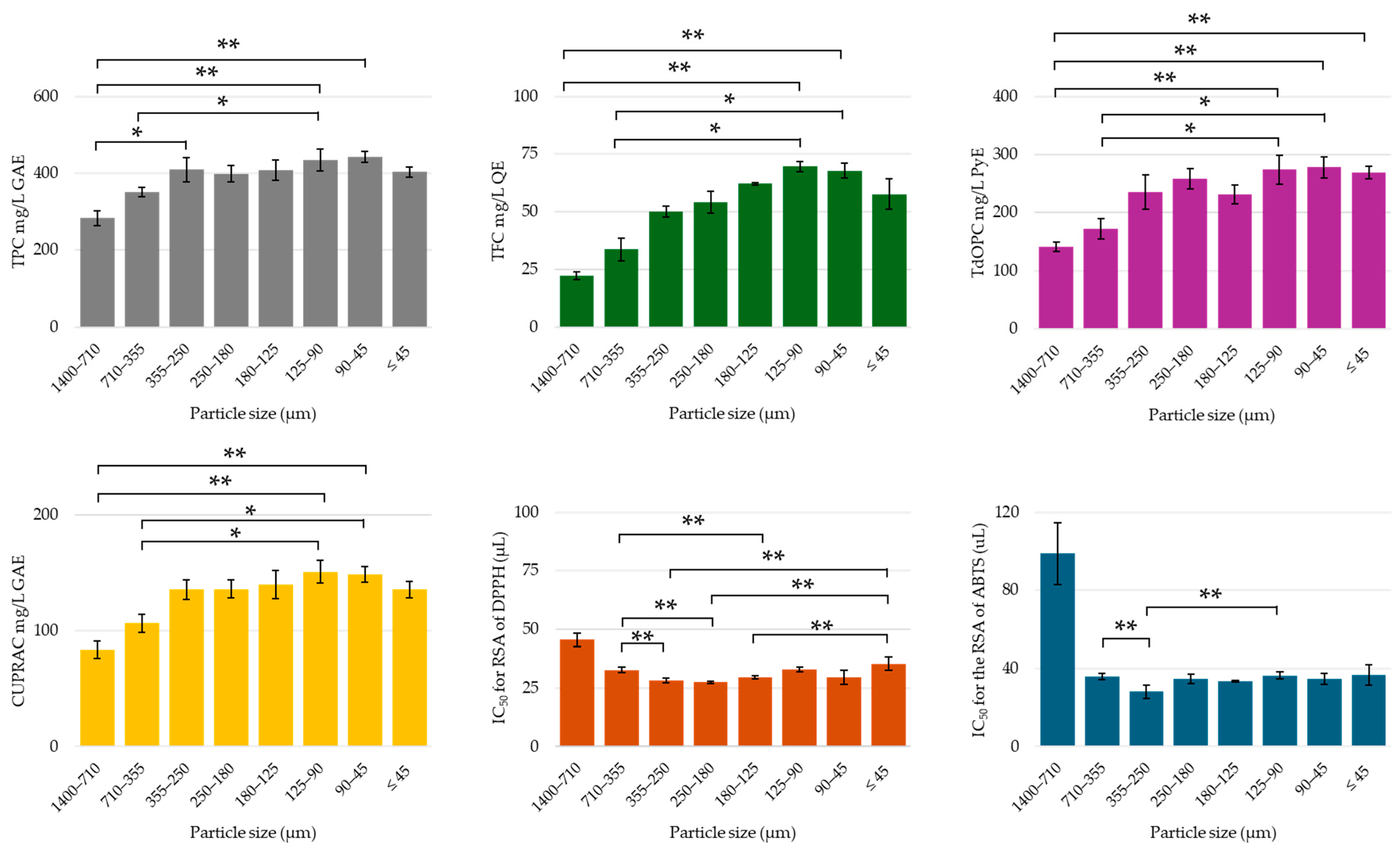
2.1.2. Particle Size
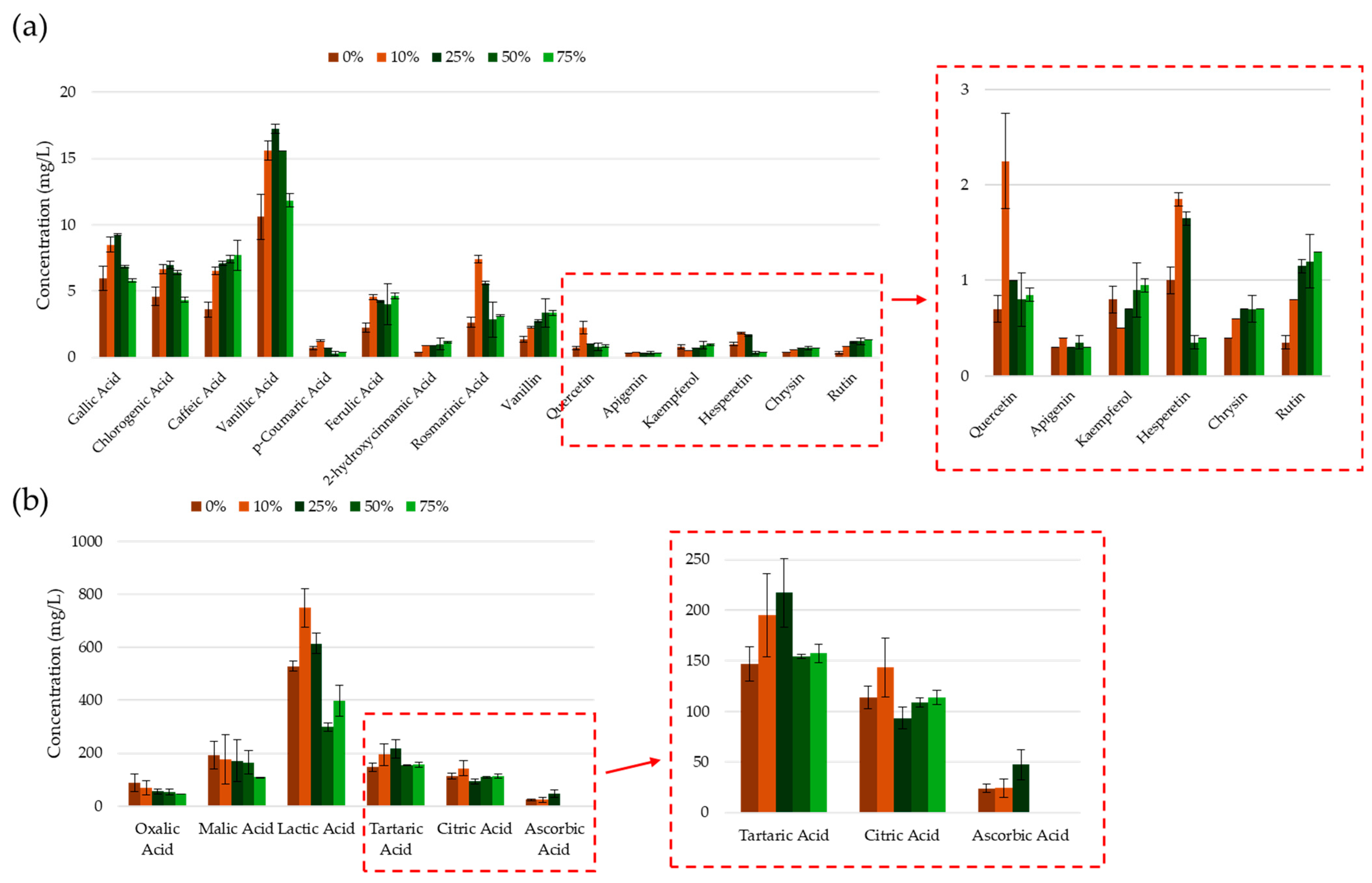
2.2. Solvent Composition
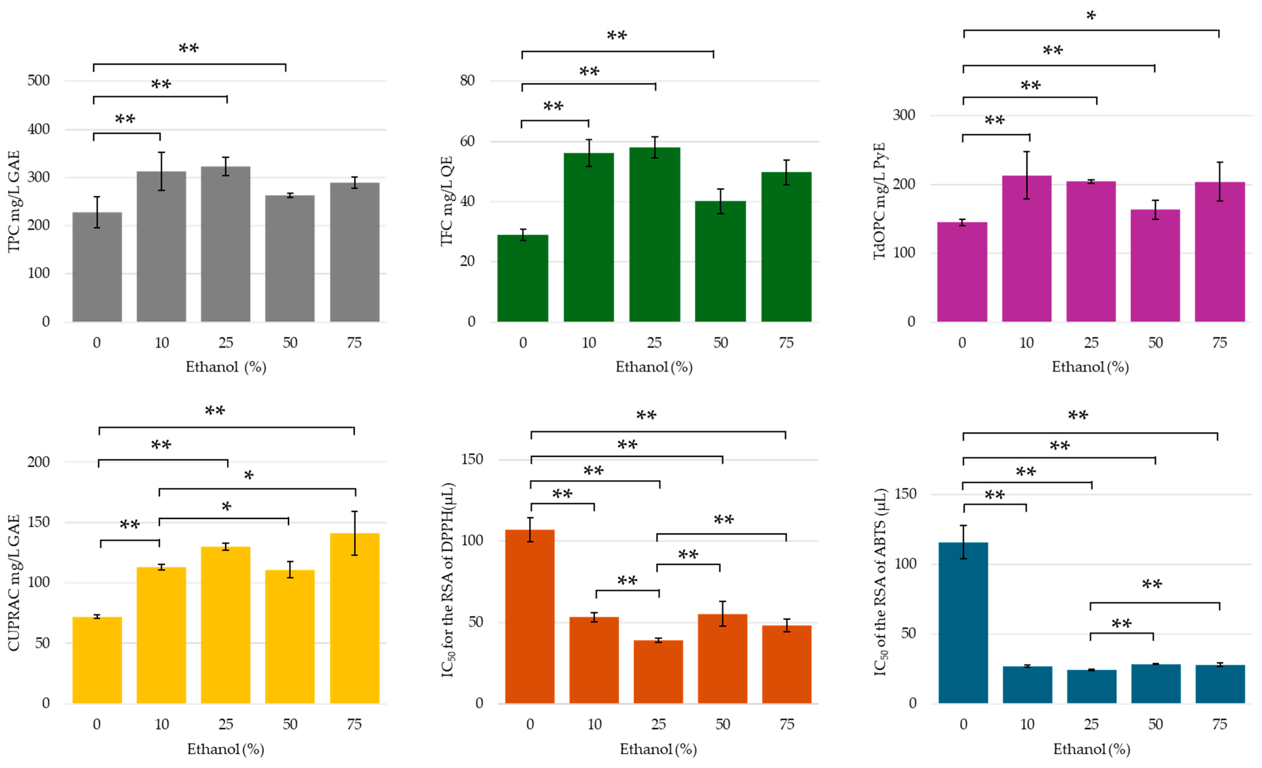
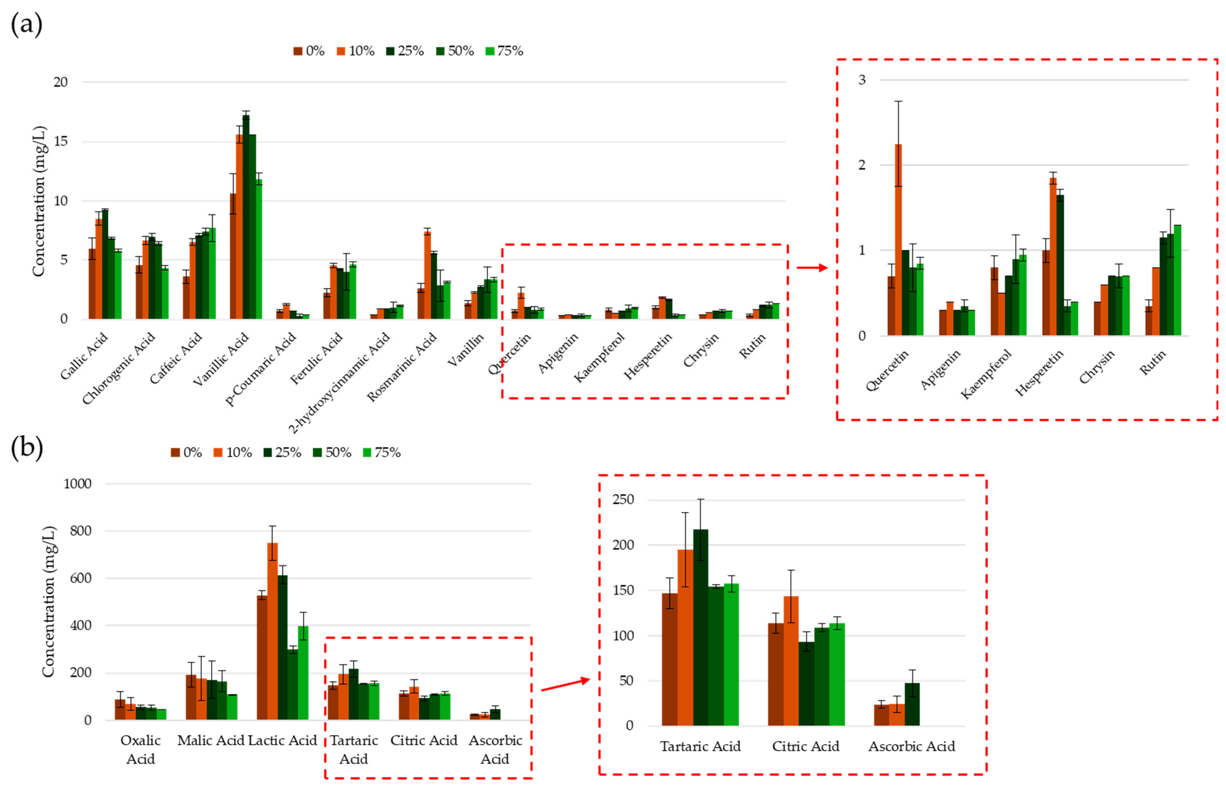
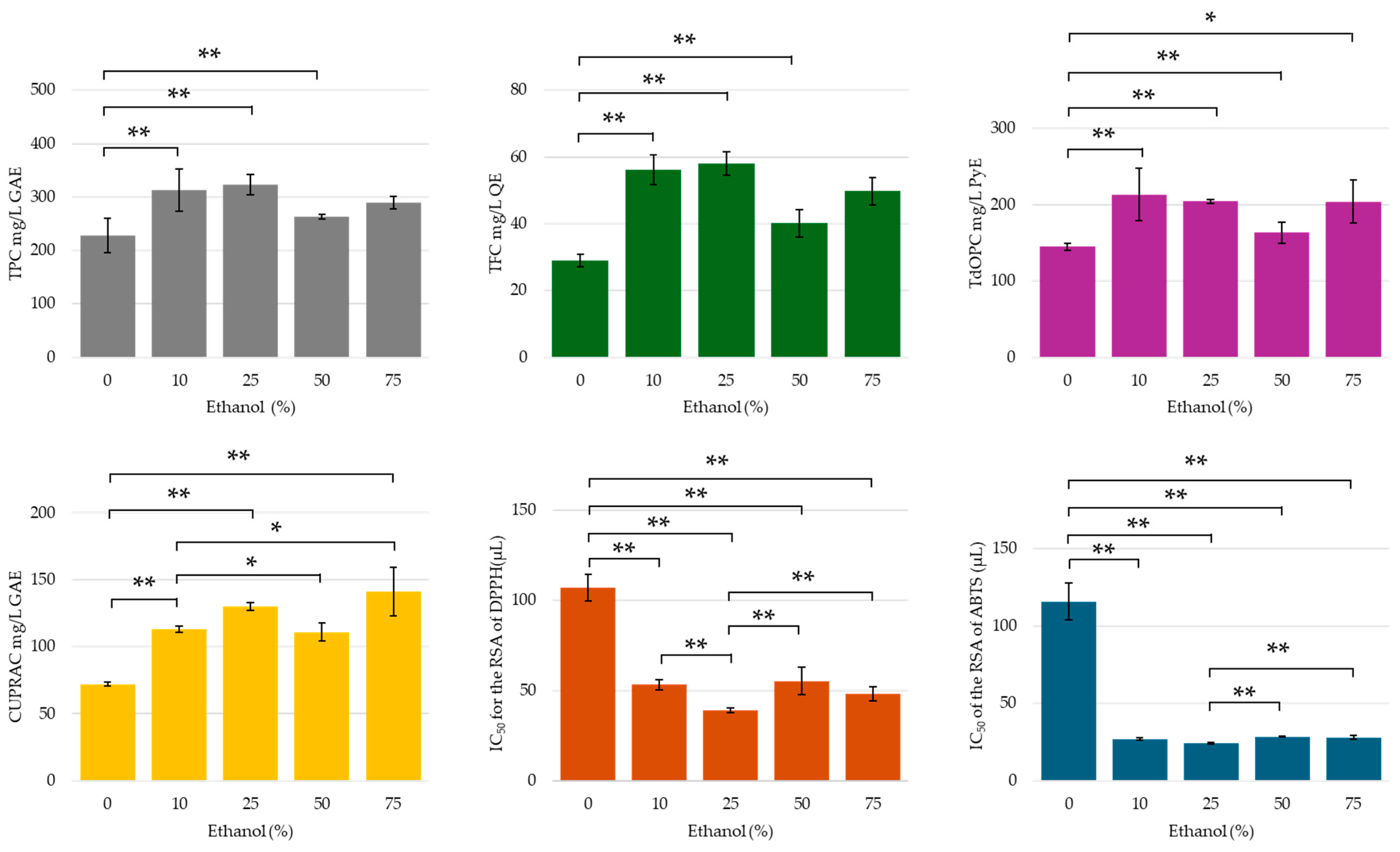
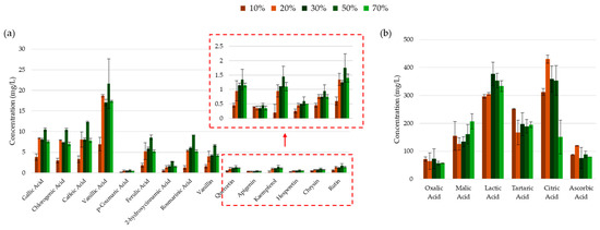
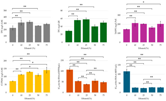
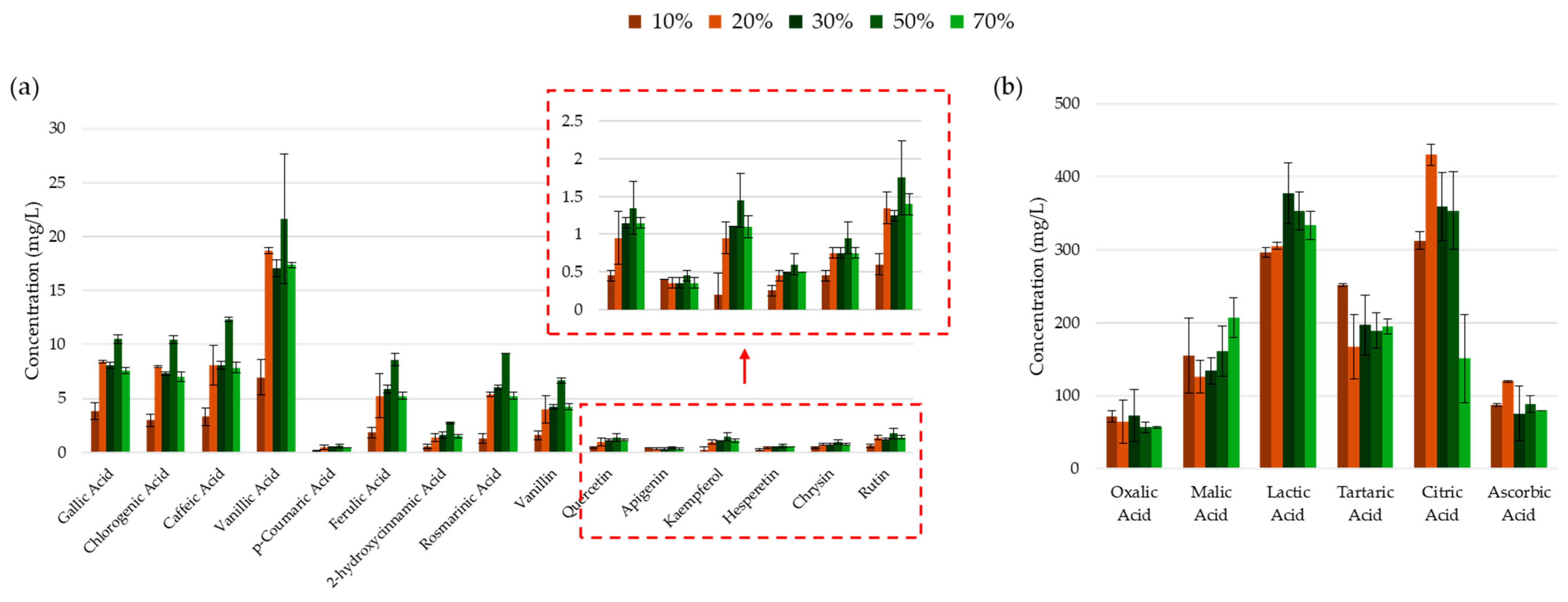
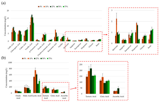
2.2.1. Ethanol Concentration (%)
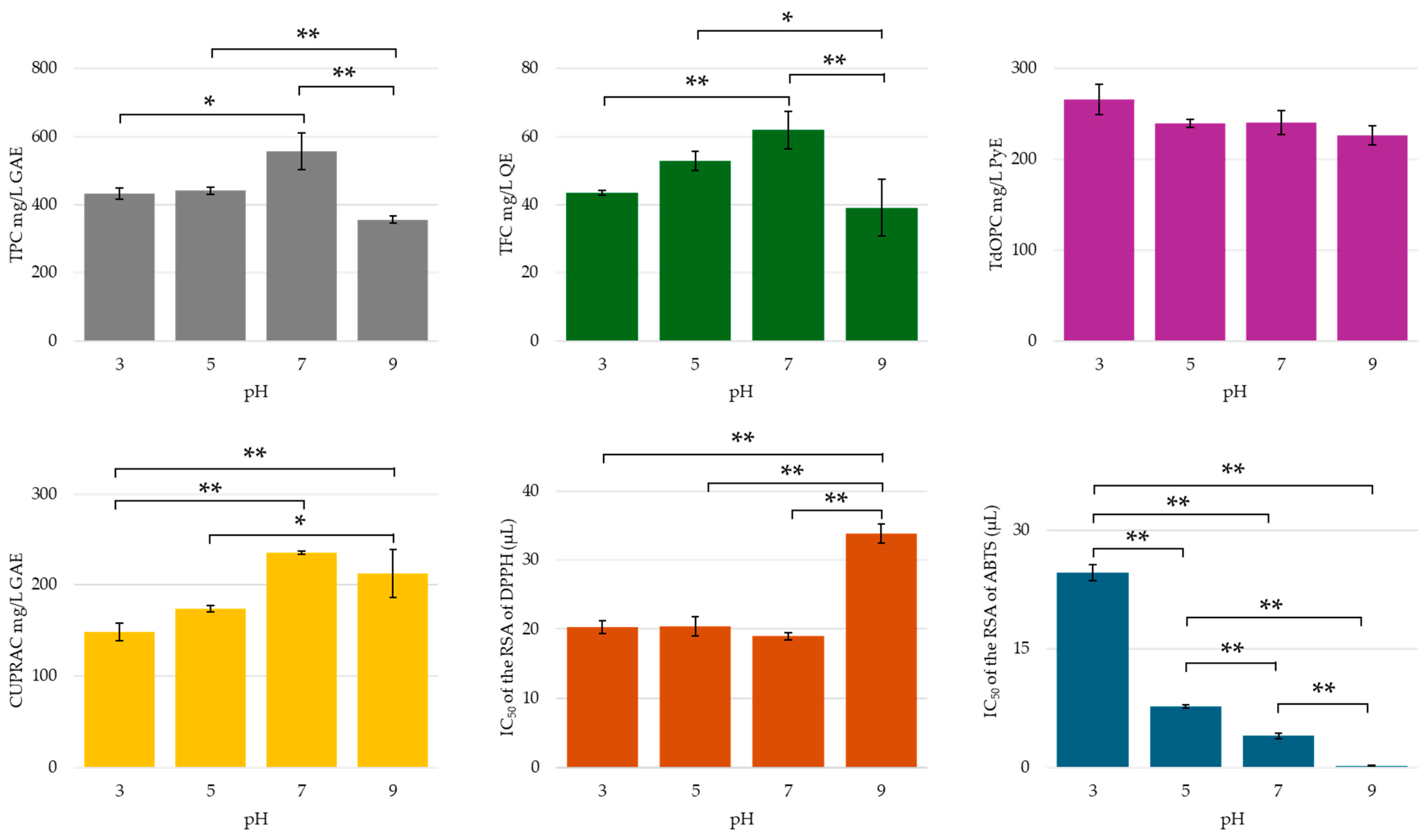
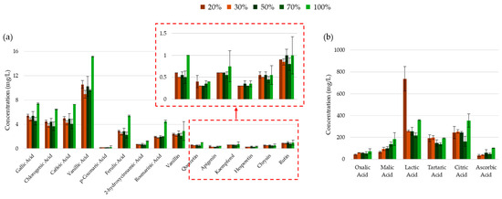
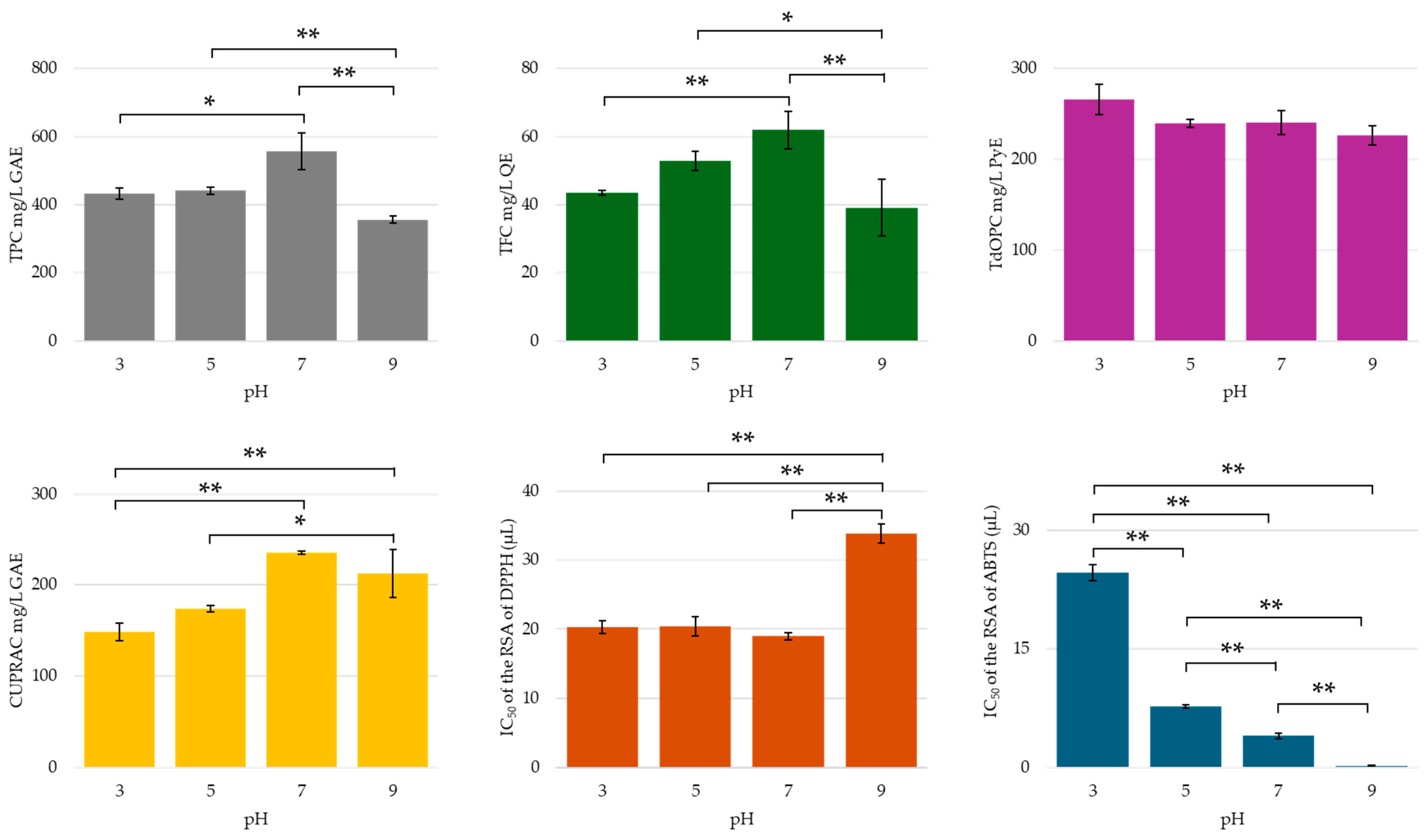
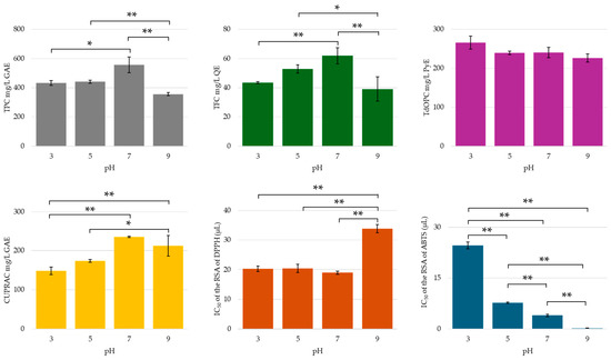
2.2.2. pH
2.3. Ultrasonic Parameter Settings
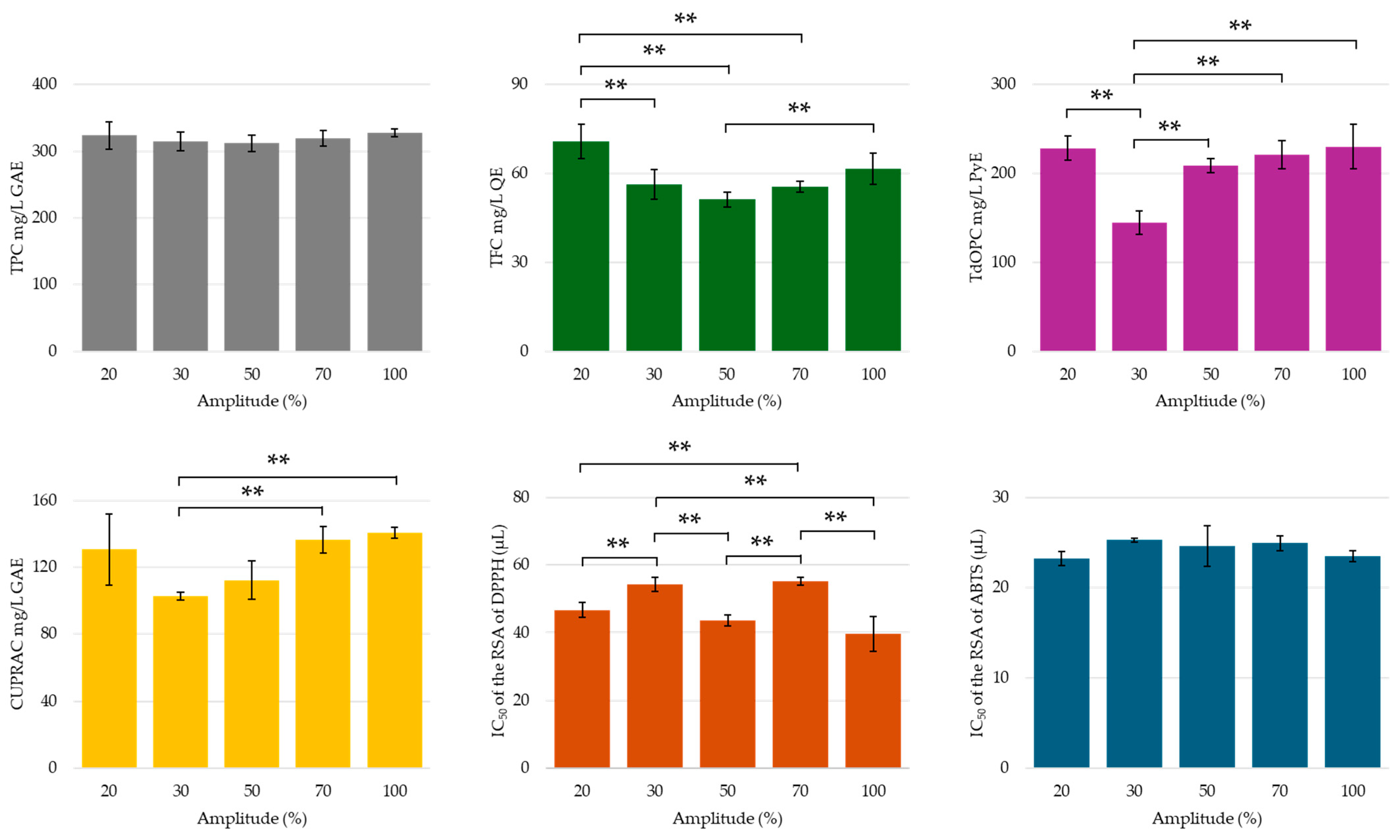
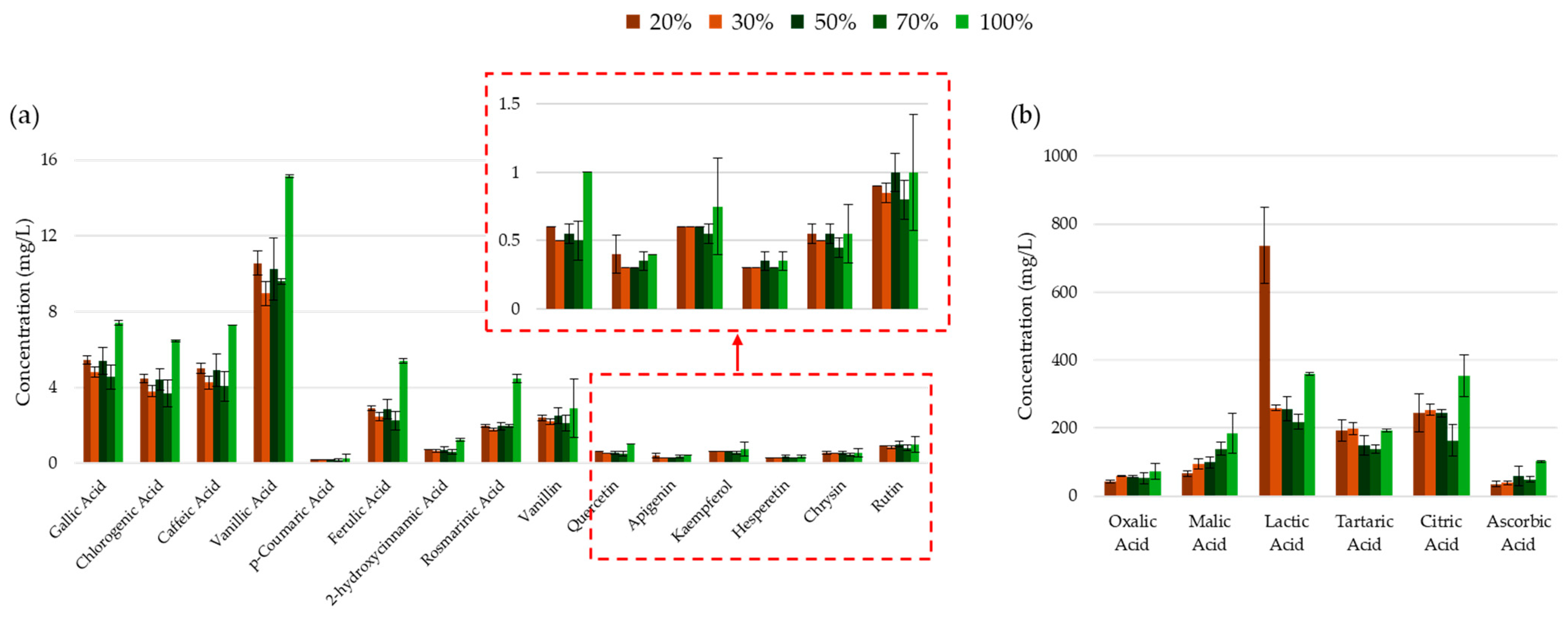
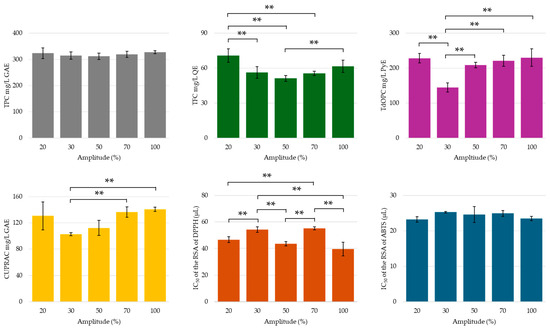
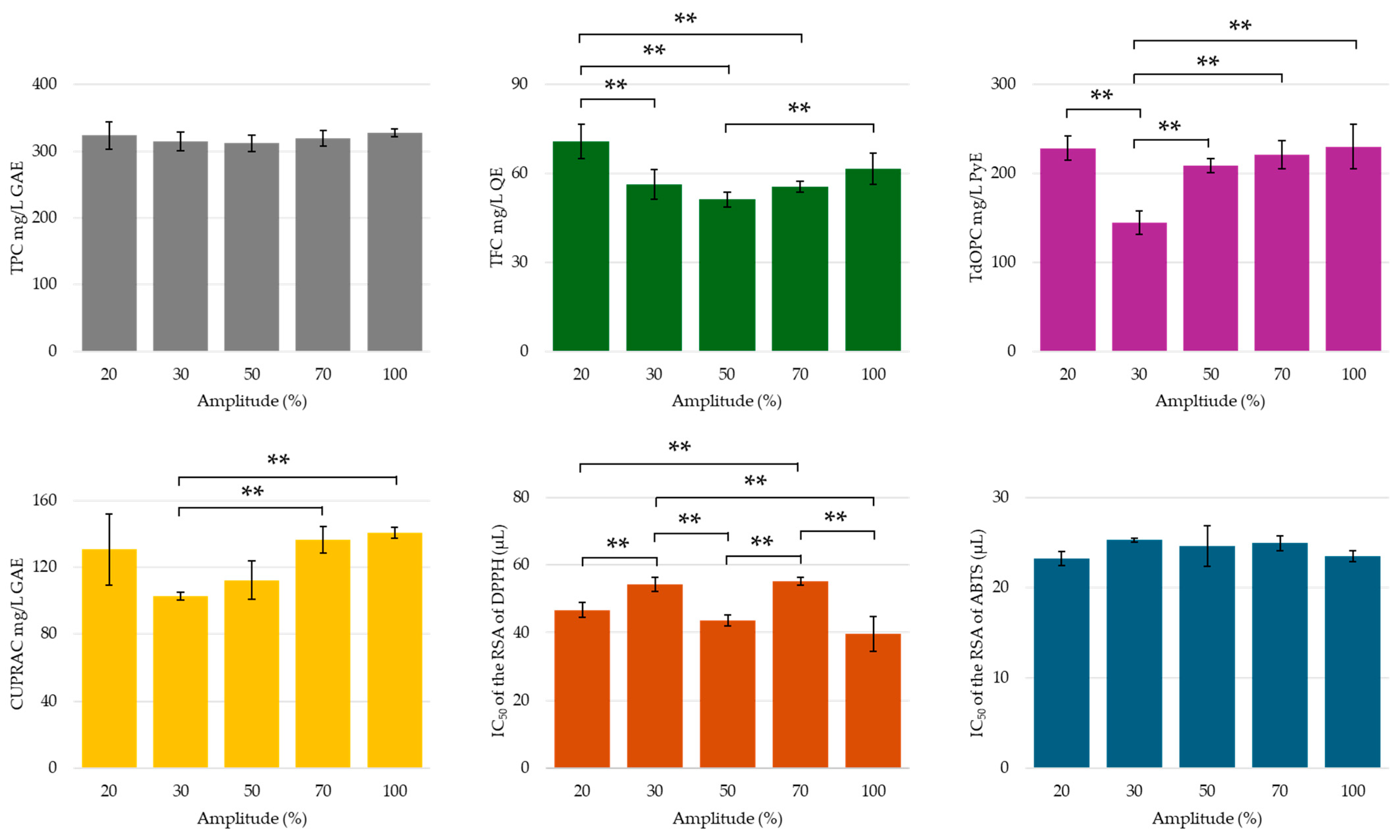
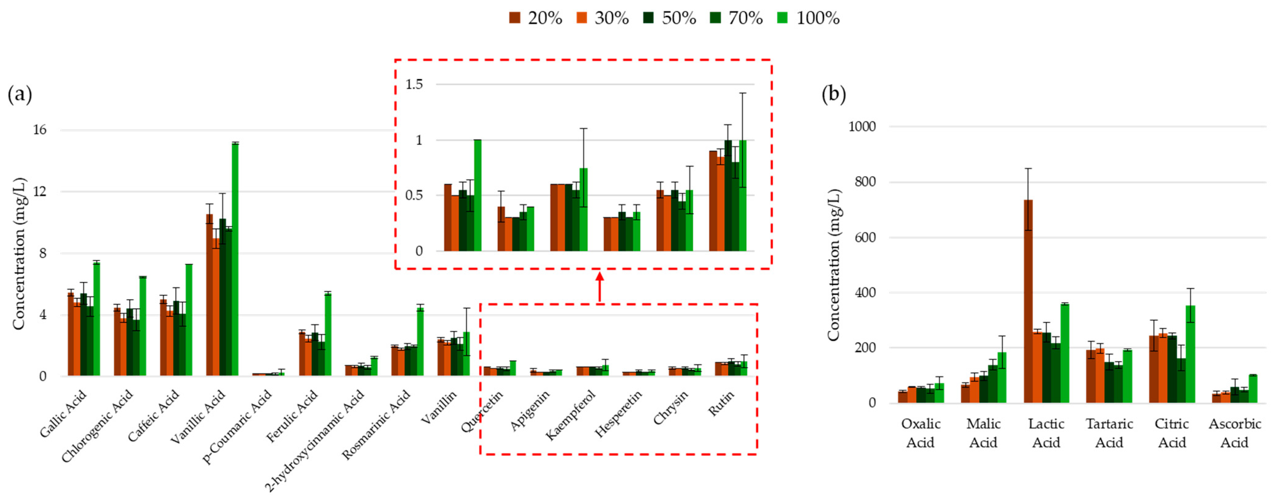
2.3.1. Amplitude (%)
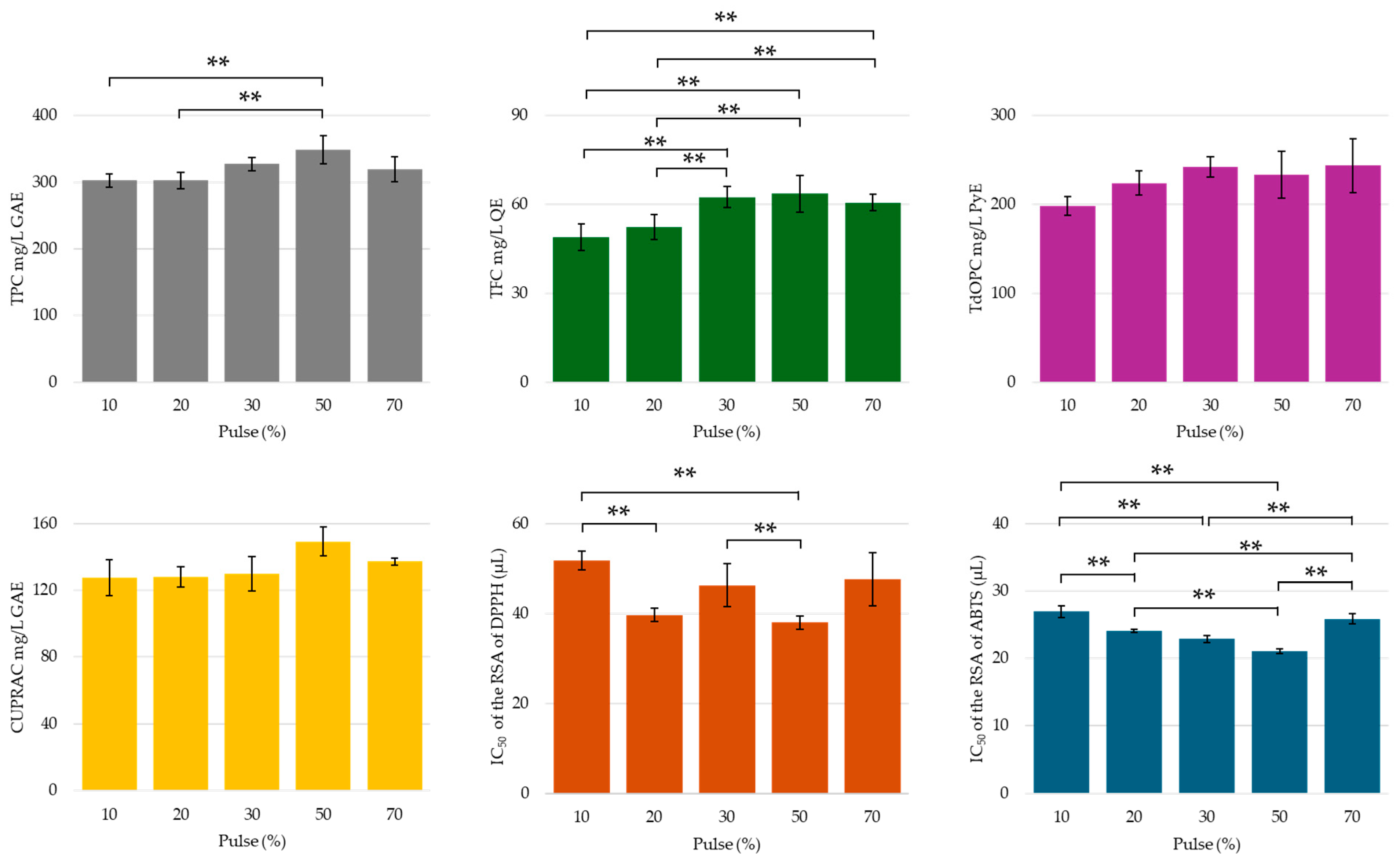
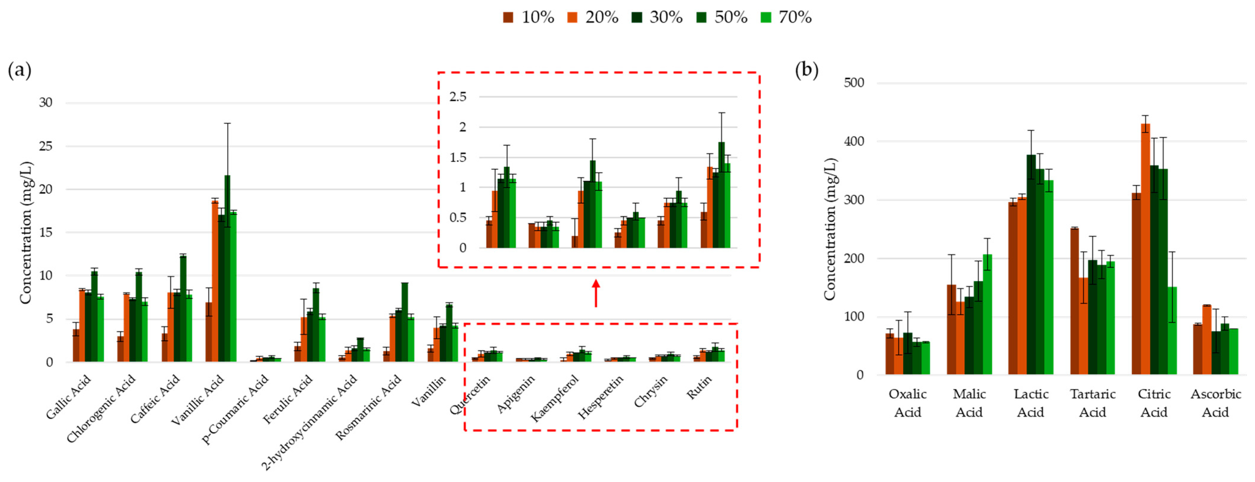
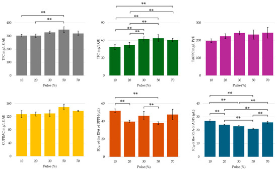
2.3.2. Pulse (%)
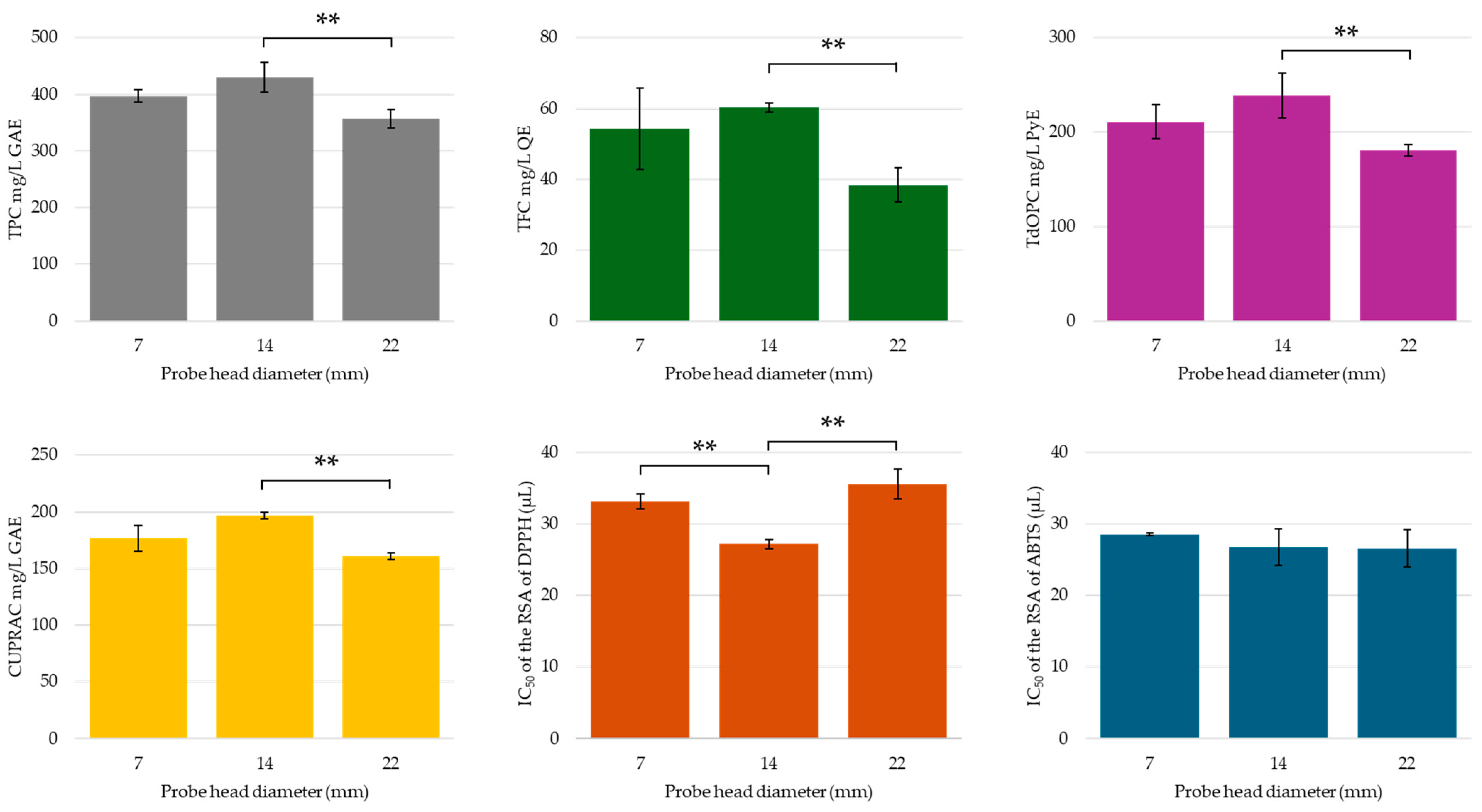
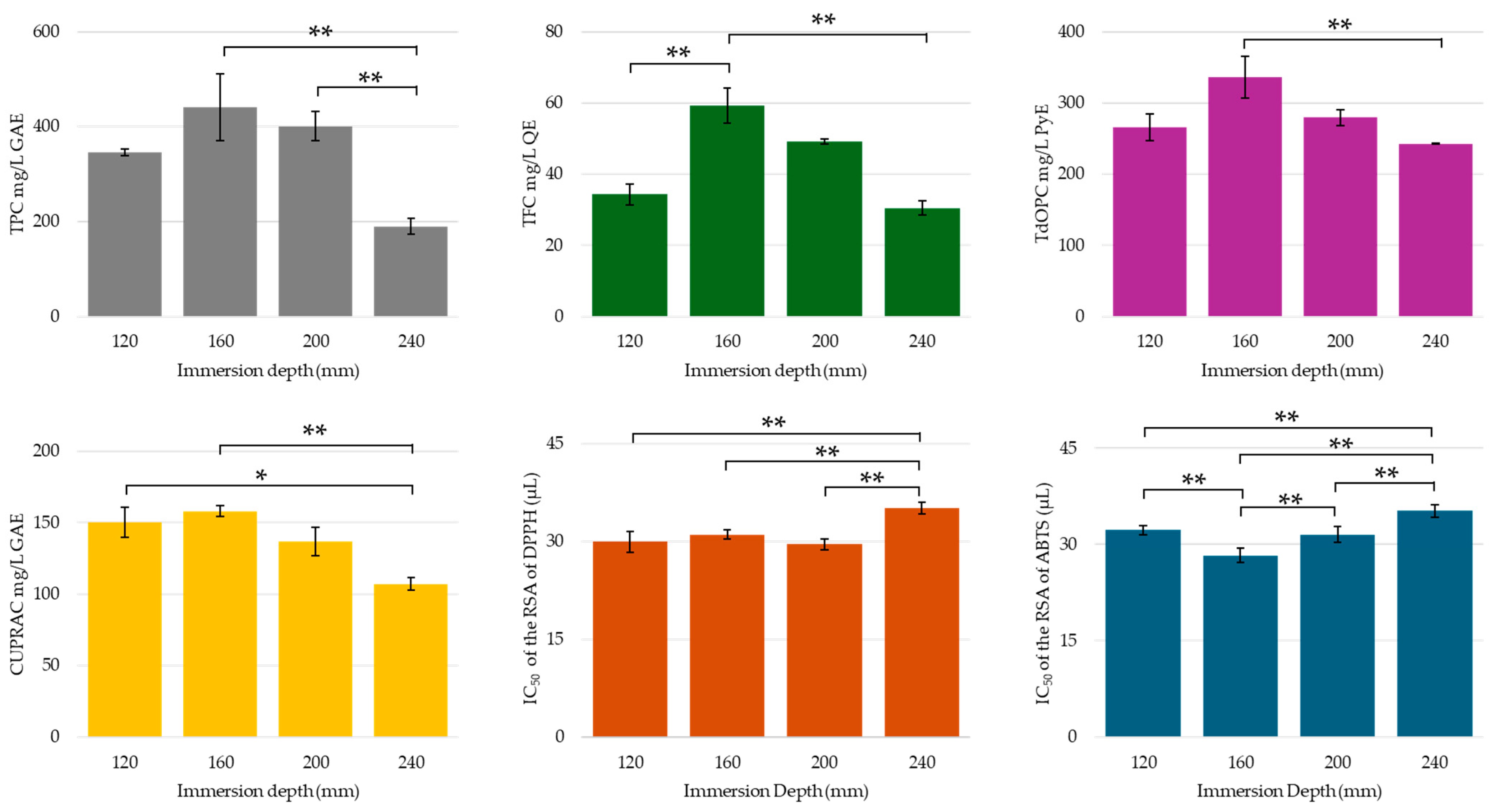
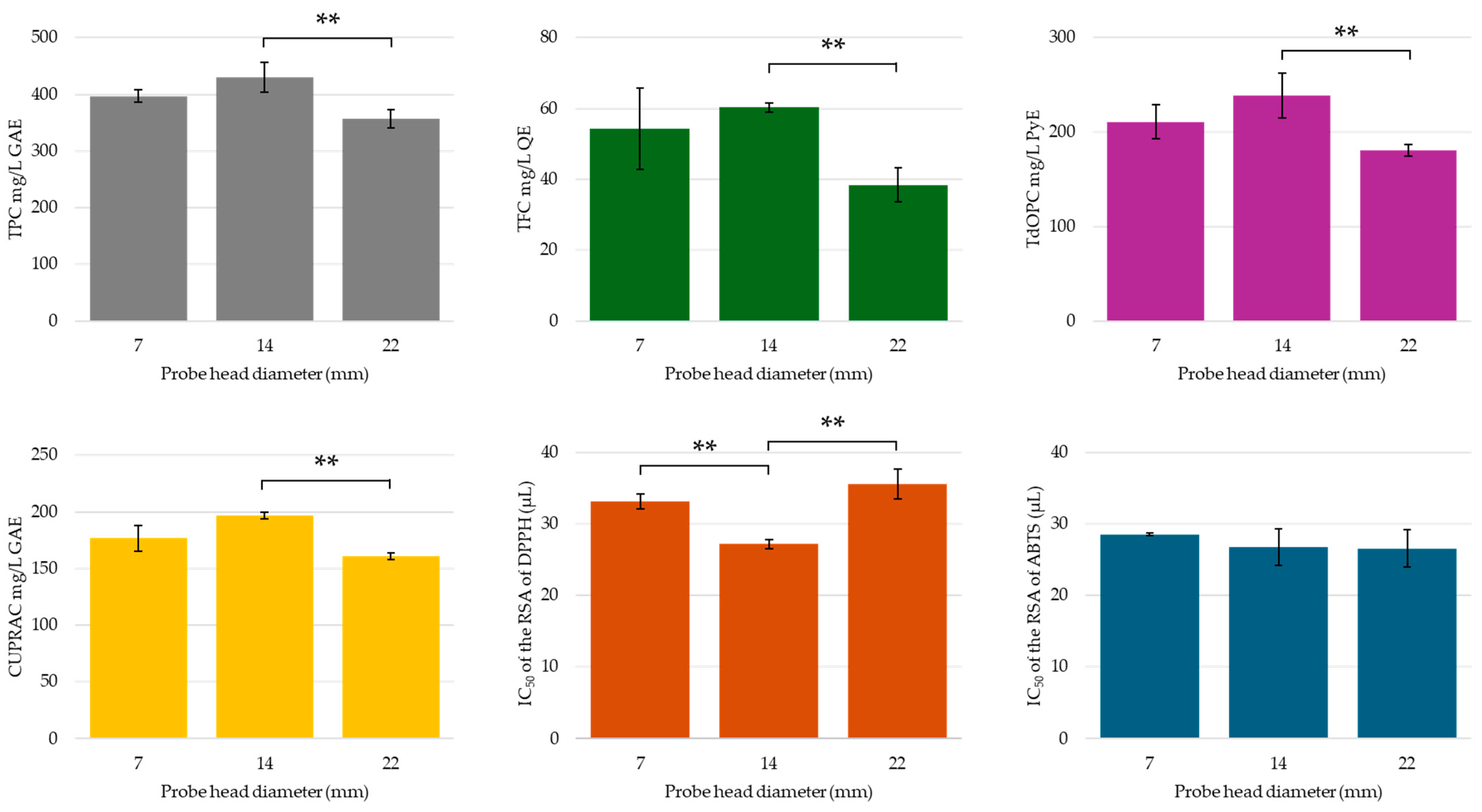
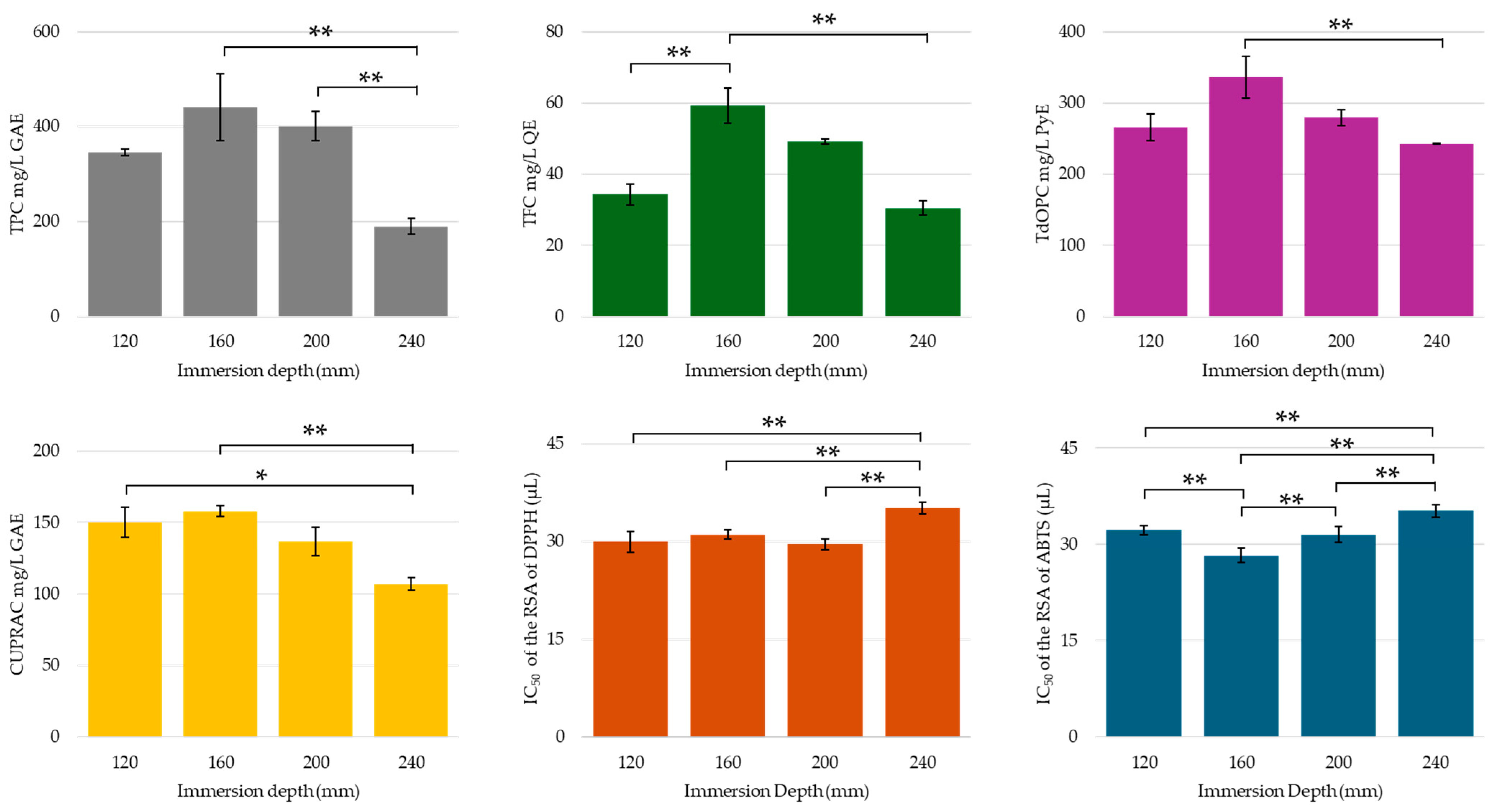
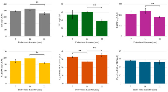
2.3.3. Probe Size and Immersion Depth
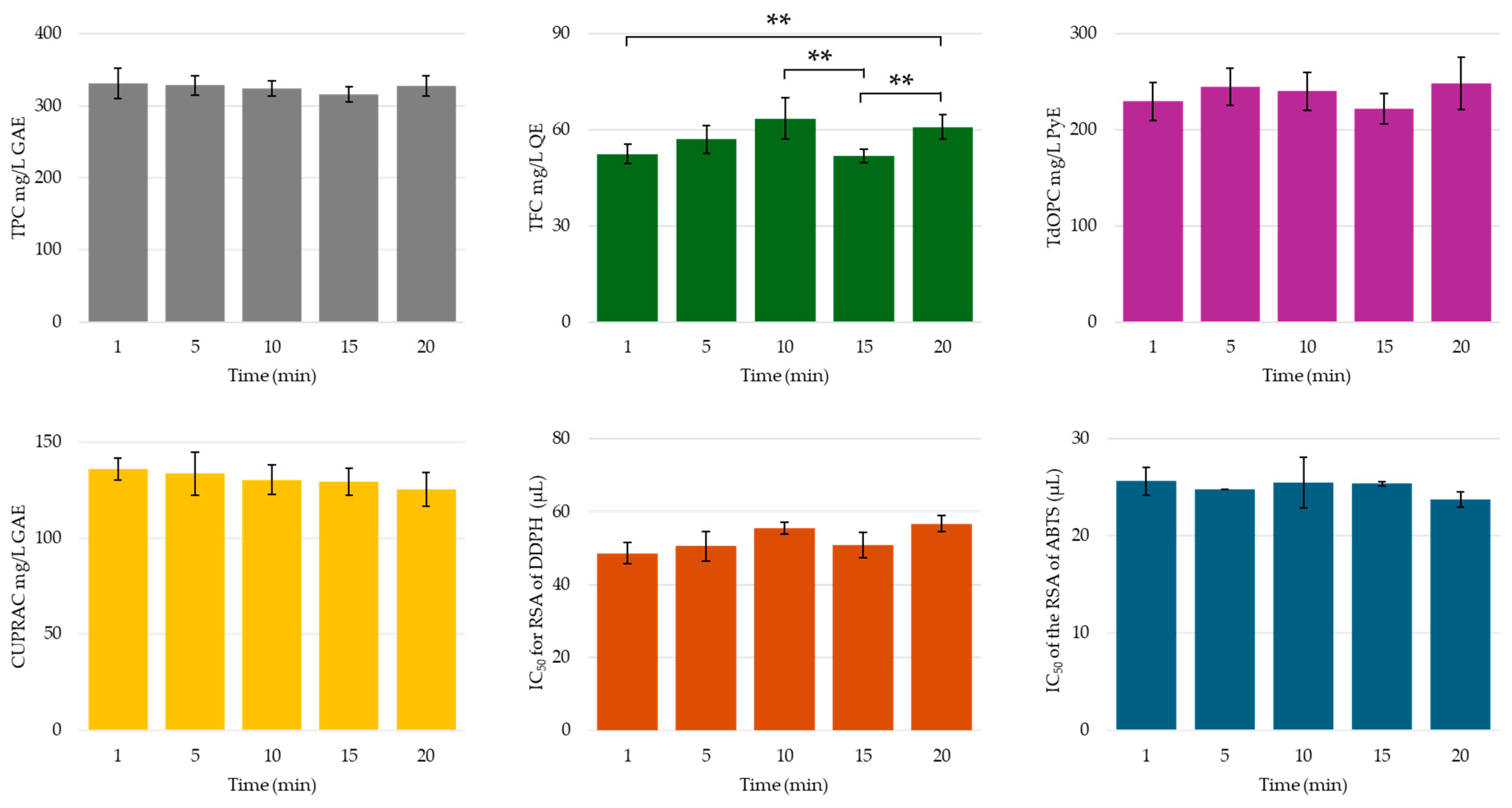
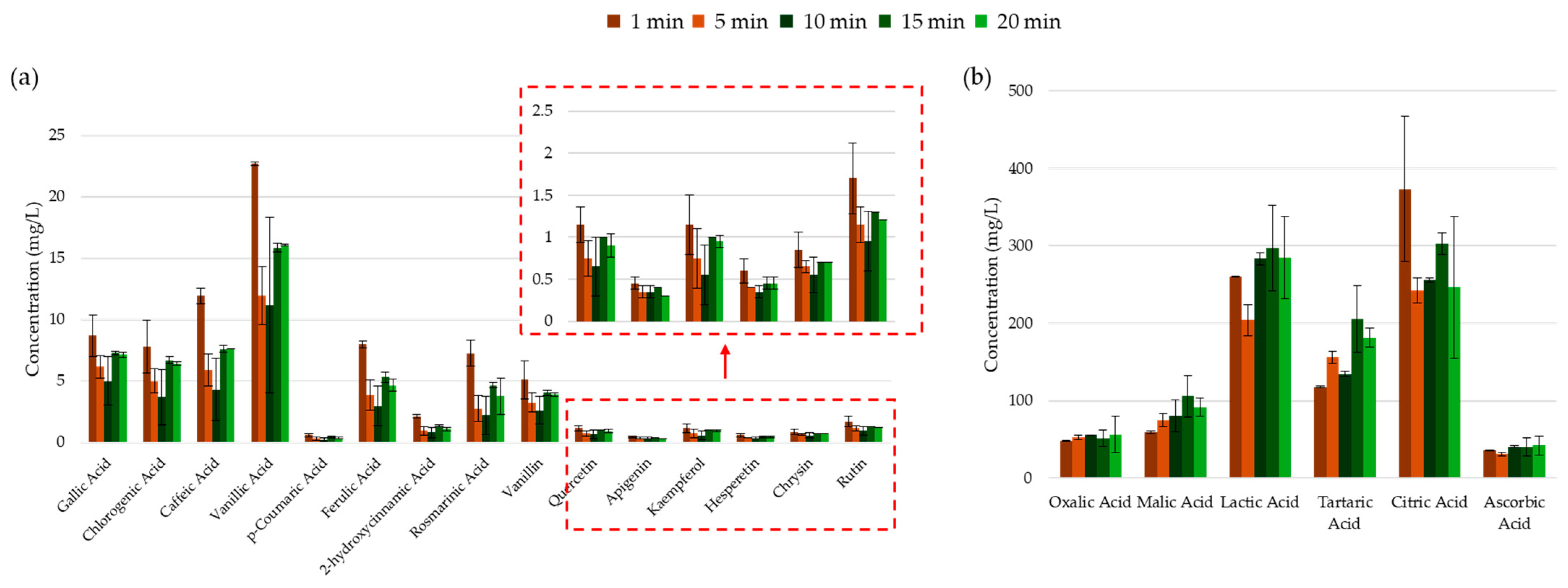
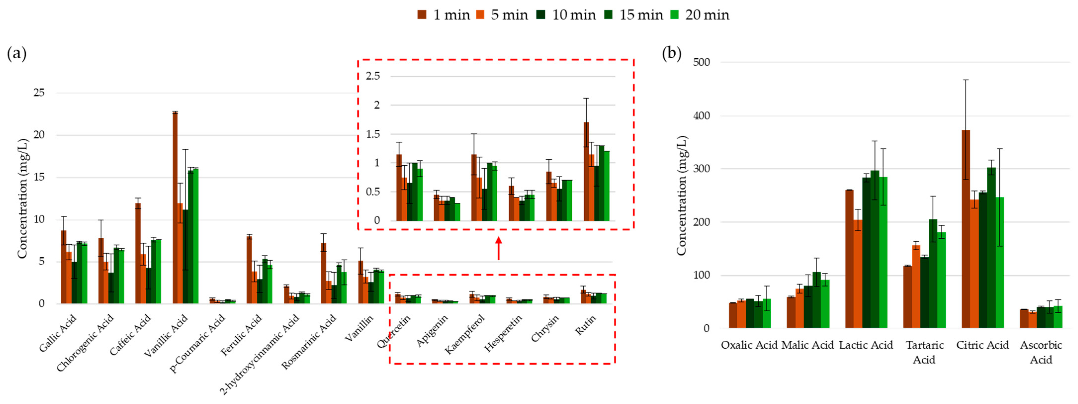
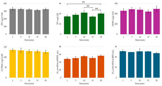
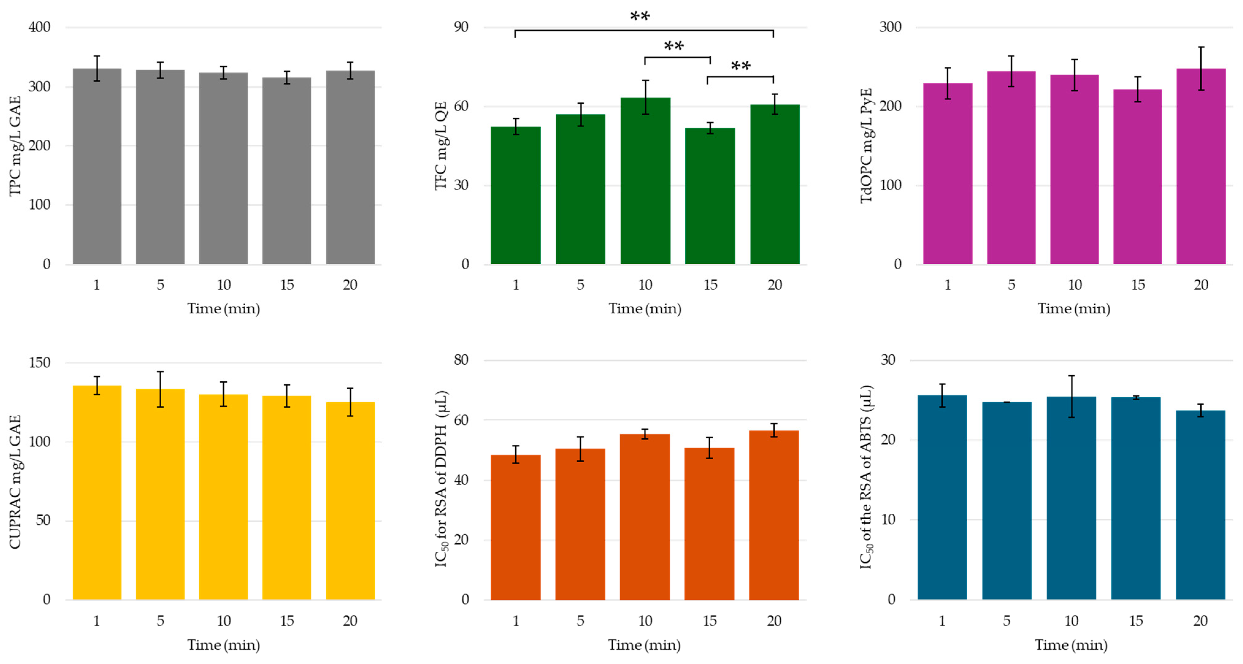
2.4. Extraction Time
2.5. Summary and Perspective
3. Materials and Methods
3.1. Plant Material
3.2. Chemicals
3.3. Preparation of Ultrasonic Assisted Citrus Peel Extract (UACPE)
3.4. Colourimetric Assays
3.4.1. Determination of Total Phenolic Content (TPC)
3.4.2. Determination of Total Flavonoid Content (TFC)
3.4.3. Determination of Total Ortho-Diphenolic Content (TdOPC)
3.4.4. Determination of Cupric Reducing Antioxidant Power Assay (CUPRAC)
3.4.5. Determination of DPPH Radical Scavenging Activity (RSA)
3.4.6. Determination of ABTS Radical Cation Scavenging Activity (RSA)
3.5. Separation and Determination of Compounds in UACPE Using HPLC-UV
3.5.1. Separation of Phenolic Compounds
3.5.2. Separation of Organic Acids
3.6. Univariate Statistical Analysis
4. Conclusions
Supplementary Materials
Author Contributions
Funding
Institutional Review Board Statement
Informed Consent Statement
Data Availability Statement
Conflicts of Interest
References
- Sangiorgio, P.; Verardi, A.; Spagnoletta, A.; Balducchi, R.; Leone, G.P.; Pizzichini, D.; Raimondo, S.; Conigliaro, A.; Alessandro, R. Citrus as a multifunctional crop to promote new bio-products and valorize the supply chain. Environ. Eng. Manag. J. 2020, 19, 1869–1889. [Google Scholar] [CrossRef]
- Sharma, K.; Mahato, N.; Cho, M.H.; Lee, Y.R. Converting Citrus Wastes into Value-Added Products: Economic and Environmently Friendly Approaches. Nutrition 2017, 34, 29–46. [Google Scholar] [CrossRef] [PubMed]
- Sharma, P.; Vishvakarma, R.; Gautam, K.; Vimal, A.; Kumar Gaur, V.; Farooqui, A.; Varjani, S.; Younis, K. Valorization of Citrus Peel Waste for the Sustainable Production of Value-Added Products. Bioresour. Technol. 2022, 351, 127064. [Google Scholar] [CrossRef] [PubMed]
- Suri, S.; Singh, A.; Nema, P.K. Current Applications of Citrus Fruit Processing Waste: A Scientific Outlook. Appl. Food Res. 2022, 2, 100050. [Google Scholar] [CrossRef]
- Zema, D.A.; Calabrò, P.S.; Folino, A.; Tamburino, V.; Zappia, G.; Zimbone, S.M. Valorisation of Citrus Processing Waste: A Review. Waste Manag. 2018, 80, 252–273. [Google Scholar] [CrossRef] [PubMed]
- Panwar, D.; Panesar, P.S.; Chopra, H.K. Recent Trends on the Valorization Strategies for the Management of Citrus By-Products. Food Rev. Int. 2021, 37, 91–120. [Google Scholar] [CrossRef]
- Panwar, D.; Saini, A.; Panesar, P.S.; Chopra, H.K. Unraveling the Scientific Perspectives of Citrus By-Products Utilization: Progress towards Circular Economy. Trends Food Sci. Technol. 2021, 111, 549–562. [Google Scholar] [CrossRef]
- Kaur, S.; Panesar, P.S.; Chopra, H.K. Citrus Processing By-Products: An Overlooked Repository of Bioactive Compounds. Crit. Rev. Food Sci. Nutr. 2023, 63, 67–86. [Google Scholar] [CrossRef]
- Maqbool, Z.; Khalid, W.; Atiq, H.T.; Koraqi, H.; Javaid, Z.; Alhag, S.K.; Al-Shuraym, L.A.; Bader, D.M.D.; Almarzuq, M.; Afifi, M.; et al. Citrus Waste as Source of Bioactive Compounds: Extraction and Utilization in Health and Food Industry. Molecules 2023, 28, 1636. [Google Scholar] [CrossRef]
- Brezo-Borjan, T.; Švarc-Gajić, J.; Morais, S.; Delerue-Matos, C.; Rodrigues, F.; Lončarević, I.; Pajin, B. Chemical and Biological Characterisation of Orange (Citrus sinensis) Peel Extracts Obtained by Subcritical Water. Processes 2023, 11, 1766. [Google Scholar] [CrossRef]
- Singh, B.; Singh, J.P.; Kaur, A.; Singh, N. Phenolic Composition, Antioxidant Potential and Health Benefits of Citrus Peel. Food Res. Int. 2020, 132, 109114. [Google Scholar] [CrossRef] [PubMed]
- Cirmi, S.; Maugeri, A.; Ferlazzo, N.; Gangemi, S.; Calapai, G.; Schumacher, U.; Navarra, M. Anticancer Potential of Citrus Juices and Their Extracts: A Systematic Review of Both Preclinical and Clinical Studies. Front. Pharmacol. 2017, 8, 420. [Google Scholar] [CrossRef] [PubMed]
- Cirmi, S.; Ferlazzo, N.; Lombardo, G.; Ventura-Spagnolo, E.; Gangemi, S.; Calapai, G.; Navarra, M. Neurodegenerative Diseases: Might Citrus Flavonoids Play a Protective Role? Molecules 2016, 21, 1312. [Google Scholar] [CrossRef] [PubMed]
- Memariani, Z.; Abbas, S.Q.; ul Hassan, S.S.; Ahmadi, A.; Chabra, A. Naringin and Naringenin as Anticancer Agents and Adjuvants in Cancer Combination Therapy: Efficacy and Molecular Mechanisms of Action, a Comprehensive Narrative Review. Pharmacol. Res. 2021, 171, 105264. [Google Scholar] [CrossRef]
- Qurtam, A.A.; Mechchate, H.; Es-safi, I.; Al-zharani, M.; Nasr, F.A.; Noman, O.M.; Aleissa, M.; Imtara, H.; Aleissa, A.M.; Bouhrim, M.; et al. Citrus Flavanone Narirutin, In Vitro and In Silico Mechanistic Antidiabetic Potential. Pharmaceutics 2021, 13, 1818. [Google Scholar] [CrossRef] [PubMed]
- Rahman, M.M.; Islam, M.B.; Biswas, M.; Khurshid Alam, A.H.M. In Vitro Antioxidant and Free Radical Scavenging Activity of Different Parts of Tabebuia Pallida Growing in Bangladesh. BMC Res. Notes 2015, 8, 621. [Google Scholar] [CrossRef]
- Mohsin, A.; Hussain, M.H.; Zaman, W.Q.; Mohsin, M.Z.; Zhang, J.; Liu, Z.; Tian, X.; Salim-ur-Rehman; Khan, I.M.; Niazi, S.; et al. Advances in Sustainable Approaches Utilizing Orange Peel Waste to Produce Highly Value-Added Bioproducts. Crit. Rev. Biotechnol. 2022, 42, 1284–1303. [Google Scholar] [CrossRef] [PubMed]
- Stabrauskiene, J.; Marksa, M.; Ivanauskas, L.; Bernatoniene, J. Optimization of Naringin and Naringenin Extraction from Citrus × Paradisi L. Using Hydrolysis and Excipients as Adsorbent. Pharmaceutics 2022, 14, 890. [Google Scholar] [CrossRef] [PubMed]
- Alvarez, J.; Hooshdaran, B.; Cortazar, M.; Amutio, M.; Lopez, G.; Freire, F.B.; Haghshenasfard, M.; Hosseini, S.H.; Olazar, M. Valorization of Citrus Wastes by Fast Pyrolysis in a Conical Spouted Bed Reactor. Fuel 2018, 224, 111–120. [Google Scholar] [CrossRef]
- Ellouze, I. Citrus Bio-Wastes: A Source of Bioactive, Functional Products and Non-Food Uses. In Mediterranean Fruits Bio-Wastes; Springer International Publishing: Cham, Switzerland, 2022; pp. 221–260. [Google Scholar]
- Senit, J.J.; Velasco, D.; Gomez Manrique, A.; Sanchez-Barba, M.; Toledo, J.M.; Santos, V.E.; Garcia-Ochoa, F.; Yustos, P.; Ladero, M. Orange Peel Waste Upstream Integrated Processing to Terpenes, Phenolics, Pectin and Monosaccharides: Optimization Approaches. Ind. Crops Prod. 2019, 134, 370–381. [Google Scholar] [CrossRef]
- Carreira-Casais, A.; Lourenço-Lopes, C.; Otero, P.; Rodriguez, M.C.; Pereira, A.G.; Echave, J.; Soria-Lopez, A.; Chamorro, F.; Prieto, M.A.; Simal-Gandara, J. Application of Green Extraction Techniques for Natural Additives Production. In Natural Food Additives; IntechOpen: London, UK, 2022. [Google Scholar]
- Paniwnyk, L.; Alarcon-Rojo, A.; Rodriguez-Figueroa, J.C.; Toma, M. The Use of Ultrasound as an Enhancement Aid to Food Extraction. In Ingredients Extraction by Physicochemical Methods in Food; Elsevier: Amsterdam, The Netherlands, 2017; pp. 399–440. [Google Scholar]
- Syahir, A.; Sulaiman, S.; Mel, M.; Othman, M.; Zubaidah Sulaiman, S. An Overview: Analysis of Ultrasonic-Assisted Extraction’s Parameters and Its Process. IOP Conf. Ser. Mater. Sci. Eng. 2020, 778, 012165. [Google Scholar] [CrossRef]
- Selahvarzi, A.; Ramezan, Y.; Sanjabi, M.R.; Namdar, B.; Akbarmivehie, M.; Mirsaeedghazi, H.; Azarikia, F. Optimization of Ultrasonic-Assisted Extraction of Phenolic Compounds from Pomegranate and Orange Peels and Their Antioxidant Activity in a Functional Drink. Food Biosci. 2022, 49, 101918. [Google Scholar] [CrossRef]
- Sun, Y.; Liu, D.; Chen, J.; Ye, X.; Yu, D. Effects of Different Factors of Ultrasound Treatment on the Extraction Yield of the All-Trans-β-Carotene from Citrus Peels. Ultrason. Sonochem. 2011, 18, 243–249. [Google Scholar] [CrossRef] [PubMed]
- Ma, Y.-Q.; Chen, J.-C.; Liu, D.-H.; Ye, X.-Q. Simultaneous Extraction of Phenolic Compounds of Citrus Peel Extracts: Effect of Ultrasound. Ultrason. Sonochem. 2009, 16, 57–62. [Google Scholar] [CrossRef]
- Sandhu, H.K.; Sinha, P.; Emanuel, N.; Kumar, N.; Sami, R.; Khojah, E.; Al-Mushhin, A.A.M. Effect of Ultrasound-Assisted Pretreatment on Extraction Efficiency of Essential Oil and Bioactive Compounds from Citrus Waste By-Products. Separations 2021, 8, 244. [Google Scholar] [CrossRef]
- Carrera, C.; Ruiz-Rodríguez, A.; Palma, M.; Barroso, C.G. Ultrasound Assisted Extraction of Phenolic Compounds from Grapes. Anal. Chim. Acta 2012, 732, 100–104. [Google Scholar] [CrossRef] [PubMed]
- Montero-Calderon, A.; Cortes, C.; Zulueta, A.; Frigola, A.; Esteve, M.J. Green Solvents and Ultrasound-Assisted Extraction of Bioactive Orange (Citrus sinensis) Peel Compounds. Sci. Rep. 2019, 9, 16120. [Google Scholar] [CrossRef] [PubMed]
- Gaete-Garretón, L.; Vargas-Hernández, Y.; Cares-Pacheco, M.G.; Sainz, J.; Alarcón, J. Ultrasonically Enhanced Extraction of Bioactive Principles from Quillaja Saponaria Molina. Ultrasonics 2011, 51, 581–585. [Google Scholar] [CrossRef] [PubMed]
- Oroian, M.; Ursachi, F.; Dranca, F. Influence of Ultrasonic Amplitude, Temperature, Time and Solvent Concentration on Bioactive Compounds Extraction from Propolis. Ultrason. Sonochem. 2020, 64, 105021. [Google Scholar] [CrossRef] [PubMed]
- Yang, B.; Jiang, Y.; Zhao, M.; Shi, J.; Wang, L. Effects of Ultrasonic Extraction on the Physical and Chemical Properties of Polysaccharides from Longan Fruit Pericarp. Polym. Degrad. Stab. 2008, 93, 268–272. [Google Scholar] [CrossRef]
- Falleh, H.; Ksouri, R.; Lucchessi, M.-E.; Abdelly, C.; Magné, C. Ultrasound-Assisted Extraction: Effect of Extraction Time and Solvent Power on the Levels of Polyphenols and Antioxidant Activity of Mesembryanthemum edule L. Aizoaceae Shoots. Trop. J. Pharm. Res. 2012, 11, 243–249. [Google Scholar] [CrossRef]
- Han, H.; Wang, S.; Rakita, M.; Wang, Y.; Han, Q.; Xu, Q. Effect of Ultrasound-Assisted Extraction of Phenolic Compounds on the Characteristics of Walnut Shells. Food Nutr. Sci. 2018, 09, 1034–1045. [Google Scholar] [CrossRef]
- Sukor, N.F.; Jusoh, R.; Kamarudin, N.S.; Abdul Halim, N.A.; Sulaiman, A.Z.; Abdullah, S.B. Synergistic Effect of Probe Sonication and Ionic Liquid for Extraction of Phenolic Acids from Oak Galls. Ultrason. Sonochem. 2020, 62, 104876. [Google Scholar] [CrossRef]
- Silva, E.K.; Saldaña, M.D.A. High-Intensity Ultrasound-Assisted Recovery of Cinnamyl Alcohol Glycosides from Rhodiola Rosea Roots: Effect of Probe Diameter on the Ultrasound Energy Performance for the Extraction of Bioactive Compounds. Food Bioprod. Process. 2020, 122, 245–253. [Google Scholar] [CrossRef]
- Kulkarni, V.M.; Rathod, V.K. Extraction of Mangiferin from Mangifera Indica Leaves Using Three Phase Partitioning Coupled with Ultrasound. Ind. Crops Prod. 2014, 52, 292–297. [Google Scholar] [CrossRef]
- Yeop, A.; Sandanasam, J.; Pan, S.F.; Abdulla, S.; Yusoff, M.M.; Gimbun, J. The Effect of Particle Size and Solvent Type on the Gallic Acid Yield Obtained from Labisia Pumila by Ultrasonic Extraction. MATEC Web Conf. 2017, 111, 02008. [Google Scholar] [CrossRef]
- Miera, B.S.d.; Cañadas, R.; González-Miquel, M.; González, E.J. Recovery of Phenolic Compounds from Orange Peel Waste by Conventional and Assisted Extraction Techniques Using Sustainable Solvents. Front. Biosci.-Elite 2023, 15, 30. [Google Scholar] [CrossRef] [PubMed]
- Kaur, S.; Panesar, P.S.; Chopra, H.K. Sequential Extraction of Functional Compounds from Citrus Reticulata Pomace Using Ultrasonication Technique. Food Chem. Adv. 2023, 2, 100155. [Google Scholar] [CrossRef]
- Ben Hsouna, A.; Sadaka, C.; Generalić Mekinić, I.; Garzoli, S.; Švarc-Gajić, J.; Rodrigues, F.; Morais, S.; Moreira, M.M.; Ferreira, E.; Spigno, G.; et al. The Chemical Variability, Nutraceutical Value, and Food-Industry and Cosmetic Applications of Citrus Plants: A Critical Review. Antioxidants 2023, 12, 481. [Google Scholar] [CrossRef] [PubMed]
- Khan, M.K.; Abert-Vian, M.; Fabiano-Tixier, A.-S.; Dangles, O.; Chemat, F. Ultrasound-Assisted Extraction of Polyphenols (Flavanone Glycosides) from Orange (Citrus sinensis L.) Peel. Food Chem. 2010, 119, 851–858. [Google Scholar] [CrossRef]
- Athanasiadis, V.; Chatzimitakos, T.; Kotsou, K.; Palaiogiannis, D.; Bozinou, E.; Lalas, S.I. Optimization of the Extraction Parameters for the Isolation of Bioactive Compounds from Orange Peel Waste. Sustainability 2022, 14, 13926. [Google Scholar] [CrossRef]
- Anagnostopoulou, M.A.; Kefalas, P.; Kokkalou, E.; Assimopoulou, A.N.; Papageorgiou, V.P. Analysis of Antioxidant Compounds in Sweet Orange Peel by HPLC–Diode Array Detection–Electrospray Ionization Mass Spectrometry. Biomed. Chromatogr. 2005, 19, 138–148. [Google Scholar] [CrossRef]
- Shehata, M.G.; Awad, T.S.; Asker, D.; El Sohaimy, S.A.; Abd El-Aziz, N.M.; Youssef, M.M. Antioxidant and Antimicrobial Activities and UPLC-ESI-MS/MS Polyphenolic Profile of Sweet Orange Peel Extracts. Curr. Res. Food Sci. 2021, 4, 326–335. [Google Scholar] [CrossRef] [PubMed]
- Sanches, V.L.; Cunha, T.A.; Viganó, J.; de Souza Mesquita, L.M.; Faccioli, L.H.; Breitkreitz, M.C.; Rostagno, M.A. Comprehensive Analysis of Phenolics Compounds in Citrus Fruits Peels by UPLC-PDA and UPLC-Q/TOF MS Using a Fused-Core Column. Food Chem. X 2022, 14, 100262. [Google Scholar] [CrossRef] [PubMed]
- Di Donna, L.; Taverna, D.; Mazzotti, F.; Benabdelkamel, H.; Attya, M.; Napoli, A.; Sindona, G. Comprehensive Assay of Flavanones in Citrus Juices and Beverages by UHPLC-ESI-MS/MS and Derivatization Chemistry. Food Chem. 2013, 141, 2328–2333. [Google Scholar] [CrossRef] [PubMed]
- Wang, F.; Chen, L.; Chen, H.; Chen, S.; Liu, Y. Analysis of Flavonoid Metabolites in Citrus Peels (Citrus Reticulata “Dahongpao”) Using UPLC-ESI-MS/MS. Molecules 2019, 24, 2680. [Google Scholar] [CrossRef] [PubMed]
- Omoba, O.; Obafaye, R.; Salawu, S.; Boligon, A.; Athayde, M. HPLC-DAD Phenolic Characterization and Antioxidant Activities of Ripe and Unripe Sweet Orange Peels. Antioxidants 2015, 4, 498–512. [Google Scholar] [CrossRef]
- M’hiri, N.; Ioannou, I.; Mihoubi Boudhrioua, N.; Ghoul, M. Effect of Different Operating Conditions on the Extraction of Phenolic Compounds in Orange Peel. Food Bioprod. Process. 2015, 96, 161–170. [Google Scholar] [CrossRef]
- Ortiz-Sanchez, M.; Cardona Alzate, C.A.; Solarte-Toro, J.C. Orange Peel Waste as a Source of Bioactive Compounds and Valuable Products: Insights Based on Chemical Composition and Biorefining. Biomass 2024, 4, 107–131. [Google Scholar] [CrossRef]
- Kroyer, G. Über Die Antioxidative Aktivität von Zitrusfruchtschalen. Z. Ernahrungswiss 1986, 25, 63–69. [Google Scholar] [CrossRef]
- Razola-Díaz, M.d.C.; Guerra-Hernández, E.J.; Rodríguez-Pérez, C.; Gómez-Caravaca, A.M.; García-Villanova, B.; Verardo, V. Optimization of Ultrasound-Assisted Extraction via Sonotrode of Phenolic Compounds from Orange By-Products. Foods 2021, 10, 1120. [Google Scholar] [CrossRef]
- Araújo, A.C.M.A.; Resende de Oliveira, É.; Menezes, E.G.T.; Dias, B.O.; Terra, A.W.C.; Queiroz, F. Solvent Effect on the Extraction of Soluble Solids from Murici and Pequi Seeds. J. Food Process Eng. 2018, 41, 1. [Google Scholar] [CrossRef]
- Mohamad Said, K.A.; Yakub, I.; Mohamed Alipah, N.A. Effects of Solvent/Solid Ratio and Temperature on the Kinetics of Vitamin C Extraction from Musa Acuminata. Appl. Mech. Mater. 2016, 833, 78–83. [Google Scholar] [CrossRef]
- Galvan d’Alessandro, L.; Kriaa, K.; Nikov, I.; Dimitrov, K. Ultrasound Assisted Extraction of Polyphenols from Black Chokeberry. Sep. Purif. Technol. 2012, 93, 42–47. [Google Scholar] [CrossRef]
- Tan, P.W.; Tan, C.P.; Ho, C.W. Antioxidant Properties: Effects of Solid-to-Solvent Ratio on Antioxidant Compounds and Capacities of Pegaga (Centella asiatica). Int. Food Res. J. 2011, 18, 557. [Google Scholar]
- Jisieike, C.F.; Betiku, E. Rubber Seed Oil Extraction: Effects of Solvent Polarity, Extraction Time and Solid-Solvent Ratio on Its Yield and Quality. Biocatal. Agric. Biotechnol. 2020, 24, 101522. [Google Scholar] [CrossRef]
- Budiastra, I.W.; Damanik, A.; Akbar, M. Effect of Particle Size of White Pepper to Yield and Quality of Oleoresin Produced by Using an Ultrasonic-Assisted Extraction Method. IOP Conf. Ser. Earth Environ. Sci. 2020, 542, 012023. [Google Scholar] [CrossRef]
- Makanjuola, S.A. Influence of Particle Size and Extraction Solvent on Antioxidant Properties of Extracts of Tea, Ginger, and Tea–Ginger Blend. Food Sci. Nutr. 2017, 5, 1179–1185. [Google Scholar] [CrossRef] [PubMed]
- Zhao, X.; Zhu, H.; Zhang, G.; Tang, W. Effect of Superfine Grinding on the Physicochemical Properties and Antioxidant Activity of Red Grape Pomace Powders. Powder Technol. 2015, 286, 838–844. [Google Scholar] [CrossRef]
- Weng, D.; Zha, S.-H.; Zhu, Y.; Li, H.; Hou, S.-B.; Zhao, Q.-S.; Zhao, B. Effect of Particle Size on the Physicochemical and Antioxidant Properties of Forsythia suspensa (Thunb.) Vahl Leaf Powders. Powder Technol. 2022, 410, 117866. [Google Scholar] [CrossRef]
- Alara, O.R.; Abdurahman, N.H.; Ukaegbu, C.I. Extraction of Phenolic Compounds: A Review. Curr. Res. Food Sci. 2021, 4, 200–214. [Google Scholar] [CrossRef] [PubMed]
- Willmitzer, L.; Wagner, K.G. The Isolation of Nuclei from Tissue-Cultured Plant Cells. Exp. Cell Res. 1981, 135, 69–77. [Google Scholar] [CrossRef]
- Pettolino, F.A.; Walsh, C.; Fincher, G.B.; Bacic, A. Determining the Polysaccharide Composition of Plant Cell Walls. Nat. Protoc. 2012, 7, 1590–1607. [Google Scholar] [CrossRef] [PubMed]
- Feng, Y.; Ma, X.; Kong, B.; Chen, Q.; Liu, Q. Ethanol Induced Changes in Structural, Morphological, and Functional Properties of Whey Proteins Isolates: Influence of Ethanol Concentration. Food Hydrocoll. 2021, 111, 106379. [Google Scholar] [CrossRef]
- Tommasini, S.; Raneri, D.; Ficarra, R.; Calabrò, M.L.; Stancanelli, R.; Ficarra, P. Improvement in Solubility and Dissolution Rate of Flavonoids by Complexation with β-Cyclodextrin. J. Pharm. Biomed. Anal. 2004, 35, 379–387. [Google Scholar] [CrossRef] [PubMed]
- Chebil, L.; Humeau, C.; Anthoni, J.; Dehez, F.; Engasser, J.-M.; Ghoul, M. Solubility of Flavonoids in Organic Solvents. J. Chem. Eng. Data 2007, 52, 1552–1556. [Google Scholar] [CrossRef]
- Lucas-Abellán, C.; Pérez-Abril, M.; Castillo, J.; Serrano, A.; Mercader, M.T.; Fortea, M.I.; Gabaldón, J.A.; Núñez-Delicado, E. Effect of Temperature, PH, β- and HP-β-Cds on the Solubility and Stability of Flavanones: Naringenin and Hesperetin. LWT 2019, 108, 233–239. [Google Scholar] [CrossRef]
- Yao, Y.; Lin, G.; Xie, Y.; Ma, P.; Li, G.; Meng, Q.; Wu, T. Preformulation Studies of Myricetin: A Natural Antioxidant Flavonoid. Pharmazie 2014, 69, 19–26. [Google Scholar] [CrossRef]
- Guo, J.; Tang, W.; Lu, S.; Fang, Z.; Tu, K.; Zheng, M. Solubility Improvement of Hesperetin by Using Different Octenyl Succinic Anhydride Modified Starches. LWT 2018, 95, 255–261. [Google Scholar] [CrossRef]
- Majumdar, S.; Srirangam, R. Solubility, Stability, Physicochemical Characteristics and In Vitro Ocular Tissue Permeability of Hesperidin: A Natural Bioflavonoid. Pharm. Res. 2009, 26, 1217–1225. [Google Scholar] [CrossRef] [PubMed]
- Bhatia, N.K.; Raj Tomar, V.; Ishika; Kishor, S.; Deep, S. Effect of pH and Temperature on Physicochemical Properties, Aggregation Behaviour and Degradation Kinetics of Quercetin and Baicalein in Nearly Aqueous Media. J. Mol. Liq. 2022, 366, 120236. [Google Scholar] [CrossRef]
- Arrigoni, O.; De Tullio, M.C. Ascorbic Acid: Much More than Just an Antioxidant. Biochim. Et. Biophys. Acta (BBA)-Gen. Subj. 2002, 1569, 1–9. [Google Scholar] [CrossRef]
- Tang, C.S.; Norziah, M.H. Stability of betacyanin pigments from red purple pitaya fruit (Hylocereus polyrhizus): Influence of pH, temperature, metal ions and ascorbic acid. Indones. J. Chem. 2010, 7, 327–331. [Google Scholar] [CrossRef]
- Huang, Y.; Zhou, S.; Zhao, G.; Ye, F. Destabilisation and Stabilisation of Anthocyanins in Purple-Fleshed Sweet Potatoes: A Review. Trends Food Sci. Technol. 2021, 116, 1141–1154. [Google Scholar] [CrossRef]
- Varvara, M.; Bozzo, G.; Disanto, C.; Pagliarone, C.N.; Celano, G.V. The Use of the Ascorbic Acid as Food Additive and Technical-Legal Issues. Ital. J. Food Saf. 2016, 5, 4313. [Google Scholar] [CrossRef] [PubMed]
- García-Viguera, C.; Bridle, P. Influence of Structure on Colour Stability of Anthocyanins and Flavylium Salts with Ascorbic Acid. Food Chem. 1999, 64, 21–26. [Google Scholar] [CrossRef]
- Laouini, S.E. Solvent pH Extraction Effect on Phytochemical Composition and Antioxidant Properties of Algerian Matricaria Pubescens. J. Pharm. Res. 2016, 10, 106–112. [Google Scholar]
- Jongjareonrak, A.; Hmadhlu, P.; Chansuwan, W.; Siripongvutikorn, S. Flavonoid, Phenolic Contents and Antioxidant Properties of Thai Hot Curry Paste Extract and Its Ingredients as Affected of pH, Solvent Types and High Temperature. Int. Food Res. J. 2012, 19, 1581–1587. [Google Scholar]
- Chethan, S.; Malleshi, N. Finger Millet Polyphenols: Optimization of Extraction and the Effect of pH on Their Stability. Food Chem. 2007, 105, 862–870. [Google Scholar] [CrossRef]
- Lefebvre, T.; Destandau, E.; Lesellier, E. Selective Extraction of Bioactive Compounds from Plants Using Recent Extraction Techniques: A Review. J. Chromatogr. A 2021, 1635, 461770. [Google Scholar] [CrossRef]
- Vaughn, S.F.; Berhow, M.A. Glucosinolate Hydrolysis Products from Various Plant Sources: PH Effects, Isolation, and Purification. Ind. Crops Prod. 2005, 21, 193–202. [Google Scholar] [CrossRef]
- Delaquis, P.; Stanich, K.; Toivonen, P. Effect of PH on the Inhibition of Listeria spp. by Vanillin and Vanillic Acid. J. Food Prot. 2005, 68, 1472–1476. [Google Scholar] [CrossRef]
- Genaro-Mattos, T.C.; Maurício, Â.Q.; Rettori, D.; Alonso, A.; Hermes-Lima, M. Antioxidant Activity of Caffeic Acid against Iron-Induced Free Radical Generation—A Chemical Approach. PLoS ONE 2015, 10, e0129963. [Google Scholar] [CrossRef]
- Torres, P.; Osaki, S.; Silveira, E.; dos Santos, D.Y.A.C.; Chow, F. Comprehensive Evaluation of Folin-Ciocalteu Assay for Total Phenolic Quantification in Algae (Chlorophyta, Phaeophyceae, and Rhodophyta). Algal Res. 2024, 80, 103503. [Google Scholar] [CrossRef]
- Samara, M.; Nasser, A.; Mingelgrin, U. Critical Examination of the Suitability of the Folin-Ciocalteu Reagent Assay for Quantitative Analysis of Polyphenols—The Case of Olive-Mill Wastewater. Am. J. Anal. Chem. 2022, 13, 476–493. [Google Scholar] [CrossRef]
- Golmohamadi, A.; Möller, G.; Powers, J.; Nindo, C. Effect of Ultrasound Frequency on Antioxidant Activity, Total Phenolic and Anthocyanin Content of Red Raspberry Puree. Ultrason. Sonochem. 2013, 20, 1316–1323. [Google Scholar] [CrossRef]
- Chukwumah, Y.C.; Walker, L.T.; Verghese, M.; Ogutu, S. Effect of Frequency and Duration of Ultrasonication on the Extraction Efficiency of Selected Isoflavones and Trans-Resveratrol from Peanuts (Arachis hypogaea). Ultrason. Sonochem. 2009, 16, 293–299. [Google Scholar] [CrossRef]
- Mane, S.; Bremner, D.H.; Tziboula-Clarke, A.; Lemos, M.A. Effect of Ultrasound on the Extraction of Total Anthocyanins from Purple Majesty Potato. Ultrason. Sonochem. 2015, 27, 509–514. [Google Scholar] [CrossRef]
- Liu, S.; Lou, Y.; Li, Y.; Zhang, J.; Li, P.; Yang, B.; Gu, Q. Review of Phytochemical and Nutritional Characteristics and Food Applications of Citrus L. Fruits. Front. Nutr. 2022, 9. [Google Scholar] [CrossRef] [PubMed]
- Saini, R.K.; Ranjit, A.; Sharma, K.; Prasad, P.; Shang, X.; Gowda, K.G.M.; Keum, Y.-S. Bioactive Compounds of Citrus Fruits: A Review of Composition and Health Benefits of Carotenoids, Flavonoids, Limonoids, and Terpenes. Antioxidants 2022, 11, 239. [Google Scholar] [CrossRef]
- Alam, F.; Mohammadin, K.; Shafique, Z.; Amjad, S.T.; bin Asad, M.H.H. Citrus Flavonoids as Potential Therapeutic Agents: A Review. Phytother. Res. 2022, 36, 1417–1441. [Google Scholar] [CrossRef]
- Martí, N.; Mena, P.; Cánovas, J.A.; Micol, V.; Saura, D. Vitamin C and the Role of Citrus Juices as Functional Food. Nat. Prod. Commun. 2009, 4, 677–700. [Google Scholar] [CrossRef]
- Taraj, K.; Hasa, A.; Muca, A. Sources and Benefits of Vitamin C. Tech. BioChemMed 2021, 2, 23–31. [Google Scholar] [CrossRef]
- Wang, L.; Pan, X.; Jiang, L.; Chu, Y.; Gao, S.; Jiang, X.; Zhang, Y.; Chen, Y.; Luo, S.; Peng, C. The Biological Activity Mechanism of Chlorogenic Acid and Its Applications in Food Industry: A Review. Front. Nutr. 2022, 9, 943911. [Google Scholar] [CrossRef]
- Heitman, E.; Ingram, D.K. Cognitive and Neuroprotective Effects of Chlorogenic Acid. Nutr. Neurosci. 2017, 20, 32–39. [Google Scholar] [CrossRef]
- Hu, S.; Zhao, R.; Chi, X.; Chen, T.; Li, Y.; Xu, Y.; Zhu, B.; Hu, J. Unleashing the Power of Chlorogenic Acid: Exploring Its Potential in Nutrition Delivery and the Food Industry. Food Funct. 2024, 15, 4741–4762. [Google Scholar] [CrossRef]
- Davies, N.T. Anti-Nutrient Factors Affecting Mineral Utilization. Proc. Nutr. Soc. 1979, 38, 121–128. [Google Scholar] [CrossRef]
- Singleton, V.L.; Orthofer, R.; Lamuela-Raventós, R.M. Analysis of Total Phenols and Other Oxidation Substrates and Antioxidants by Means of Folin-Ciocalteu Reagent. In Methods in Enzymology; Academic Press: Cambridge, MA, USA, 1999; pp. 152–178. [Google Scholar]
- Mabry, T.J.; Markham, K.R.; Thomas, M.B. The Ultraviolet Spectra of Flavones and Flavonols. In The Systematic Identification of Flavonoids; Springer: Berlin/Heidelberg, Germany, 1970; pp. 41–164. [Google Scholar]
- Waite, J.H.; Tanzer, M.L. Specific Colorimetric Detection of O-Diphenols and 3,4-Dihydroxyphenylalanine-Containing Peptides. Anal. Biochem. 1981, 111, 131–136. [Google Scholar] [CrossRef]
- Arnow, L.E. Colorimetric determination of the Compo-nents of 3,4-dihydroxyphenylalanine-tyrosine mixtures. J. Biol. Chem. 1937, 118, 531–537. [Google Scholar] [CrossRef]
- Apak, R.; Güçlü, K.; Özyürek, M.; Karademir, S.E. Novel Total Antioxidant Capacity Index for Dietary Polyphenols and Vitamins C and E, Using Their Cupric Ion Reducing Capability in the Presence of Neocuproine: CUPRAC Method. J. Agric. Food Chem. 2004, 52, 7970–7981. [Google Scholar] [CrossRef]
- Rajurkar, N.; Hande, S. Estimation of Phytochemical Content and Antioxidant Activity of Some Selected Traditional Indian Medicinal Plants. Indian J. Pharm. Sci. 2011, 73, 146. [Google Scholar] [CrossRef]















| Variable | A | B | C | D | E | F | G | H | I |
|---|---|---|---|---|---|---|---|---|---|
| Solid:Solvent Ratio (w/v, g/mL) | 1:10 | 1:50 | |||||||
| 1:20 | |||||||||
| 1:40 | |||||||||
| 1:50 | |||||||||
| 1:60 | |||||||||
| 1:100 | |||||||||
| Time (min) | 10 | 1 | 10 | ||||||
| 5 | |||||||||
| 10 | |||||||||
| 15 | |||||||||
| 20 | |||||||||
| Amplitude (%) | 50 | 20 | 50 | ||||||
| 30 | |||||||||
| 50 | |||||||||
| 70 | |||||||||
| 100 | |||||||||
| Pulse (%) | 20 | 10 | 20 | ||||||
| 20 | |||||||||
| 30 | |||||||||
| 50 | |||||||||
| 70 | |||||||||
| Ethanol (v/v, %) | 50 | 0 | 50 | ||||||
| 10 | |||||||||
| 25 | |||||||||
| 50 | |||||||||
| 75 | |||||||||
| pH | No buffer | 3 | No buffer | ||||||
| 5 | |||||||||
| 7 | |||||||||
| 9 | |||||||||
| Particle size (µm) | <710 | 1400–710 | <710 | ||||||
| 710–355 | |||||||||
| 355–250 | |||||||||
| 250–180 | |||||||||
| 180–125 | |||||||||
| 125–90 | |||||||||
| 90–45 | |||||||||
| <45 | |||||||||
| Probe head diameter (mm) | 7 | 7 | 7 | ||||||
| 14 | |||||||||
| 22 | |||||||||
| Probe Immersion depth (mm) | 120 | 120 | |||||||
| 160 | |||||||||
| 200 | |||||||||
Disclaimer/Publisher’s Note: The statements, opinions and data contained in all publications are solely those of the individual author(s) and contributor(s) and not of MDPI and/or the editor(s). MDPI and/or the editor(s) disclaim responsibility for any injury to people or property resulting from any ideas, methods, instructions or products referred to in the content. |
© 2025 by the authors. Licensee MDPI, Basel, Switzerland. This article is an open access article distributed under the terms and conditions of the Creative Commons Attribution (CC BY) license (https://creativecommons.org/licenses/by/4.0/).
Share and Cite
Xuereb, M.A.; Psakis, G.; Attard, K.; Lia, F.; Gatt, R. A Comprehensive Analysis of Non-Thermal Ultrasonic-Assisted Extraction of Bioactive Compounds from Citrus Peel Waste Through a One-Factor-at-a-Time Approach. Molecules 2025, 30, 648. https://doi.org/10.3390/molecules30030648
Xuereb MA, Psakis G, Attard K, Lia F, Gatt R. A Comprehensive Analysis of Non-Thermal Ultrasonic-Assisted Extraction of Bioactive Compounds from Citrus Peel Waste Through a One-Factor-at-a-Time Approach. Molecules. 2025; 30(3):648. https://doi.org/10.3390/molecules30030648
Chicago/Turabian StyleXuereb, Matthew A., Georgios Psakis, Karen Attard, Frederick Lia, and Ruben Gatt. 2025. "A Comprehensive Analysis of Non-Thermal Ultrasonic-Assisted Extraction of Bioactive Compounds from Citrus Peel Waste Through a One-Factor-at-a-Time Approach" Molecules 30, no. 3: 648. https://doi.org/10.3390/molecules30030648
APA StyleXuereb, M. A., Psakis, G., Attard, K., Lia, F., & Gatt, R. (2025). A Comprehensive Analysis of Non-Thermal Ultrasonic-Assisted Extraction of Bioactive Compounds from Citrus Peel Waste Through a One-Factor-at-a-Time Approach. Molecules, 30(3), 648. https://doi.org/10.3390/molecules30030648

