Comparative Phytochemistry of Polyacetylenes of the Genus Artemisia (Asteraceae): Compounds with High Biological Activities and Chemotaxonomic Significance
Abstract
1. Introduction
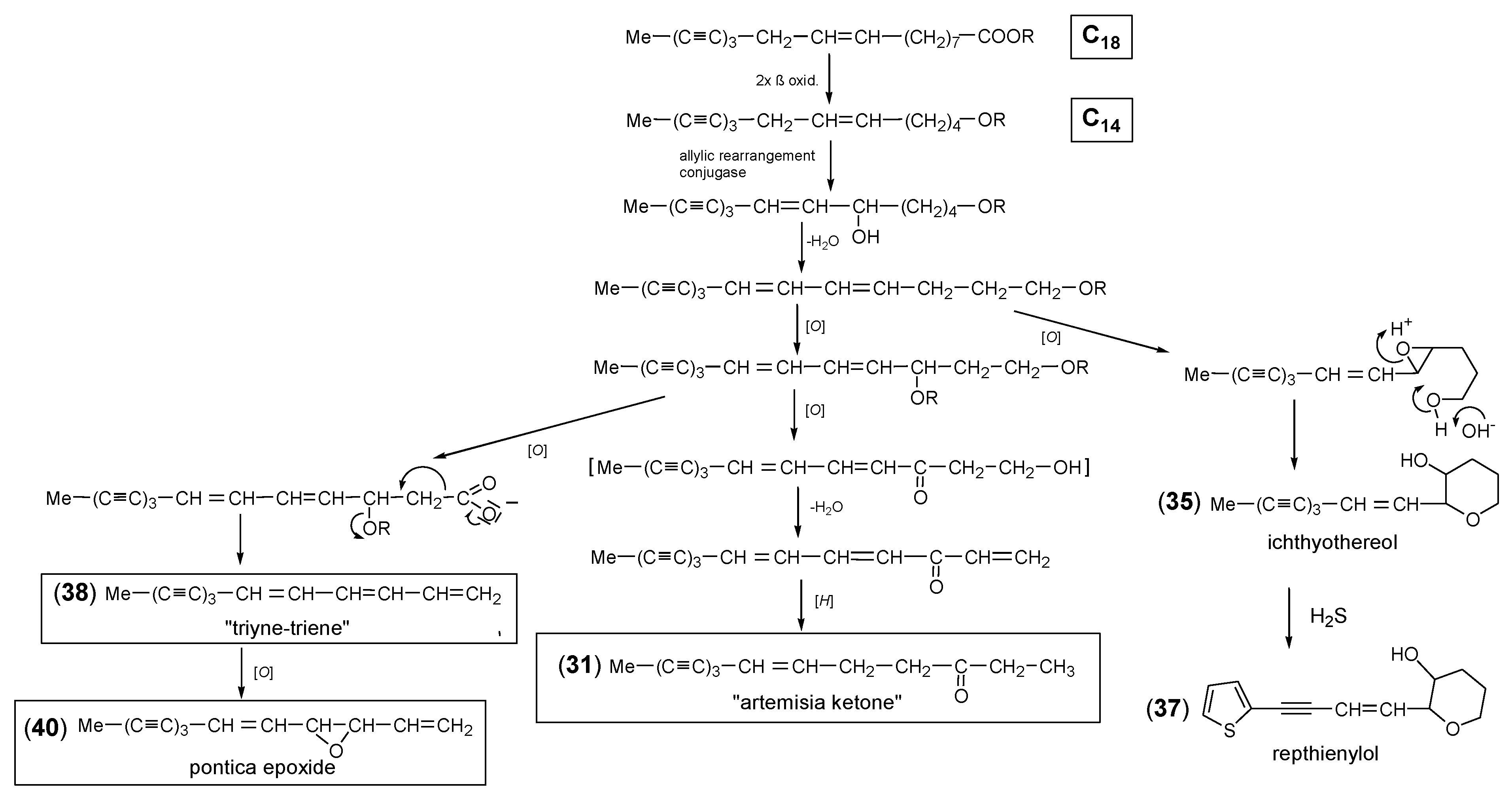
1.1. Biosynthetic Aspects
1.2. Bioactive Properties
1.3. Phytochemical Characters
2. Structural Types
2.1. Dehydrofalcarinol Type
2.2. Linear Triyne Type
2.2.1. Centaur X3
2.2.2. Dehydromatricaria Ester (DME)
2.2.3. “Artemisia Ketone” (AK) and Related C14-Derivatives
2.2.4. “Triyne-Triene” and Pontica Epoxide (PE)
2.3. Spiroketal Enol Ether Type
2.4. Capillen-Isocoumarin Type
3. Biological Activities
3.1. Antifungal Activity
3.2. Insecticidal Activity
3.3. Nematicidal Activity
3.4. Cytotoxic Effects
3.5. Allelopathic Effects
3.6. Miscellaneous Properties
3.6.1. Antibacterial Activity
3.6.2. Antiviral Activity
3.6.3. Inhibition of Superoxide Generation
3.6.4. Anti-Inflammatory Activity
3.6.5. Inhibition of TGF-β1-Induced Liver Cell Apoptosis
3.6.6. Anti-Diabetic Potential
4. Conclusive Remarks
Funding
Conflicts of Interest
References
- Bohlmann, F.; Burkhardt, T.; Zdero, C. Naturally Occurring Acetylenes; Academic Press: London, UK, 1973. [Google Scholar]
- Sörensen, N.A. Polyacetylenes and conservatism of chemical characters in the Compositae. In The Biology and Chemistry of the Compositae; Heywood, V.H., Harborne, J.B., Turner, B.L., Eds.; Academic Press: London, UK, 1977; Volume 1. [Google Scholar]
- Bohlmann, F. Naturally occurring acetylenes. In Chemistry and Biology of Naturally-Occurring Acetylenes and Related Compounds (NOARC); Lam, L., Breteler, H., Arnason, T., Hansen, L., Eds.; Elsevier: New York, NY, USA, 1988; Volume 7. [Google Scholar]
- Minto, R.E.; Blacklock, B.J. Biosynthesis and function of polyacetylenes and allied natural products. Prog. Lipid Res. 2008, 47, 233–306. [Google Scholar] [CrossRef]
- Konovalov, D.A. Medicinal plants. Polyacetylene compounds of plants of the Asteraceae family (Review). Pharm. Chem. J. 2014, 48, 615–633. [Google Scholar] [CrossRef]
- Negri, R. Polyacetylenes from terrestrial plants and fungi: Recent phytochemical and biological advances. Fitoterapia 2015, 106, 92–109. [Google Scholar] [CrossRef]
- Greger, H. Anthemideae-chemical review. In The Biology and Chemistry of the Compositae; Heywood, V.H., Harborne, J.B., Turner, B.L., Eds.; Academic Press: London, UK, 1977; Volume 2. [Google Scholar]
- Christensen, L.P. Acetylenes and related compounds in Anthemideae. Phytochemistry 1992, 31, 7–49. [Google Scholar] [CrossRef]
- Greger, H. New chemical markers within Artemisia (Compositae-Anthemideae). In Aromatic Plants: Basic and Applied Aspects; Margaris, N., Koedam, A., Vokou, D., Eds.; Martinus Nijhoff Publishers: The Hague, The Netherlands, 1982. [Google Scholar]
- Greger, H. Polyacetylene und Sesamine als chemische Merkmale in der Artemisia absinthium-Gruppe. Planta Med. 1979, 35, 84–91. [Google Scholar] [CrossRef]
- Greger, H. Aromatic acetylenes and dehydrofalcarinone derivatives within the Artemisia dracunculus group. Phytochemistry 1979, 18, 1319–1322. [Google Scholar] [CrossRef]
- Wallnöfer, B.; Hofer, O.; Greger, H. Polyacetylenes from the Artemisia ‘Vulgares’ group. Phytochemistry 1989, 28, 2687–2691. [Google Scholar] [CrossRef]
- Wallnöfer, B. Die Polyacetylene in der Artemisia-“Vulgares”-Gruppe (Anthemideae-Compositae); Biosystematics and Ecology Series No 7; Austrian Academy of Sciences Press: Vienna, Austria, 1994; ISBN 3-7001-2171-7. [Google Scholar]
- Bohlmann, F.; Jente, R.; Lucas, W.; Laser, J.; Schulz, H. Die Biogenese von Polyinen des Tribus Anthemideae. Chem. Ber. 1967, 100, 3183–3200. [Google Scholar] [CrossRef]
- Bu’Lock, J.D.; Smith, G.N. The origin of naturally-occurring acetylenes. J. Chem. Soc. C 1967, 332–336. [Google Scholar] [CrossRef]
- Bohlmann, F.; Arndt, C.; Bornowski, H.; Kleine, K.M. Über Polyine aus der Familie der Umbelliferen. Chem. Ber. 1961, 94, 958–967. [Google Scholar] [CrossRef]
- Hansen, L.; Boll, P.M. Polyacetylenes in Araliaceae: Their chemistry, biosynthesis and biological significance. Phytochemistry 1986, 25, 285–293. [Google Scholar] [CrossRef]
- Christensen, L.P.; Brandt, K. Bioactive polyacetylenes in food plants of the Apiaceae family: Occurrence, bioactivity and analysis. J. Pharm. Biomed. Anal. 2006, 41, 683–693. [Google Scholar] [CrossRef] [PubMed]
- Christensen, L.P. Aliphatic C17- polyacetylenes of the flacarinol type as potential health promoting compounds in food plants of the Apiaceae family. Recent Pat. Food Nutr. Agric. 2011, 3, 64–77. [Google Scholar] [CrossRef] [PubMed]
- Chen, Y.; Peng, S.; Luo, Q.; Zhang, J.; Guo, Q.; Zhang, Y.; Chai, X. Chemical and pharmacological progress on polyacetylenes isolated from the family Apiaceae. Chem. Biodiv. 2015, 12, 474–502. [Google Scholar] [CrossRef] [PubMed]
- Anet, E.F.L.J.; Lythgoe, B.; Silk, M.H.; Trippett, S. Oenanthotoxin and cicutoxin. Isolation and structures. J. Chem. Soc. 1953, 309–322. [Google Scholar] [CrossRef]
- Imai, K. Studies on the essential oil of Artemisia capillaris Thunb. III. Antifungal activity of the essential oil (3). Structure of antifungal principle, capillin. J. Pharm. Soc. Jap. (Yakugaku Zasshi) 1956, 76, 405–408. [Google Scholar] [CrossRef][Green Version]
- Cascon, S.C.; Mors, W.B.; Tursch, B.M.; Aplin, R.T.; Durham, L.J. Ichthyothereol and its acetate, the active polyacetylene constituents of Ichthyothere terminalis (Spreng.) Malm: A fish poison from the lower Amazon. J. Am. Chem. Soc 1965, 87, 5237–5241. [Google Scholar] [CrossRef]
- Xie, Q.; Wang, C. Polyacetylenes in herbal medicine: A comprehensive review of its occurrence, pharmacology, toxicology, and pharmacokinetics (2014–2021). Phytochemistry 2022, 201, 113288. [Google Scholar] [CrossRef] [PubMed]
- Yano, K. Insect antifeeding phenylacetylenes from growing buds of Artemisia capillaris. J. Agric. Food Chem. 1983, 31, 667–668. [Google Scholar] [CrossRef]
- Arnason, J.T.; Bourque, G.J.; Madhosingh, C.; Orr, W. Disruption of membrane function in Fusarium culmorum by an acetylenic allelochemical. Biochem. Syst. Ecol. 1986, 14, 569–574. [Google Scholar] [CrossRef]
- Engelmeier, D.; Hadacek, F.; Hofer, O.; Lutz-Kutschera, G.; Nagl, M.; Wurz, G.; Greger, H. Antifungal 3-butylisocoumarins from Asteraceae-Anthemideae. J. Nat. Prod. 2004, 67, 19–25. [Google Scholar] [CrossRef]
- Whelan, L.C.; Ryan, M.F. Effects of the polyacetylene capillin on human tumor cell lines. Anticancer Res. 2004, 24, 2281–2286. [Google Scholar]
- Nakamura, Y.; Ohto, Y.; Murakami, A.; Jiwajinda, S.; Ohigashi, H. Isolation and identification of acetylenic spiroketal enol ethers from Artemisia lactiflora as inhibitors of superoxide generation induced by a tumor promoter in differentiated HL-60 cells. J. Agric. Food Chem. 1998, 46, 5031–5036. [Google Scholar] [CrossRef]
- Nakamura, Y.; Kawamoto, N.; Ohto, Y.; Torikai, K.; Murakami, A.; Ohigashi, H. A diacetylenic spiroketal enol ether epoxid, AL-1, from Artemisia lactiflora inhibits 12-O-tetradecanoylphorbol-13-acetate-induced tumor promotion possibly by suppression of oxidative stress. Cancer Lett. 1999, 140, 37–45. [Google Scholar] [CrossRef]
- Chen, L.; Xu, H.H.; Wu, Y.L. Synthesis of spiroketal enol ethers related to tonghaosu and their insecticidal activities. Pest Manag. Sci. 2005, 61, w477–w482. [Google Scholar] [CrossRef]
- Calzado, M.A.; Lüdi, K.S.; Fiebich, B.; Ben-Neriah, Y.; Bacher, S.; Munoz, E.; Ballero, M.; Prosperini, S.; Appendino, G.; Schmitz, M.L. Inhibition of NF-κB activation and expression of inflammatory mediators by polyacetylene spiroketals from Plagius flosculosus. Biochim. Biophys. Acta 2005, 1729, 88–93. [Google Scholar] [CrossRef]
- Casu, L.; Bonsignore, L.; Pinna, M.; Casu, M.; Floris, C.; Gertsch, J.; Cottiglia, F. Cytotoxic diacetylenic spiroketal enol ethers from Plagius flosculosus. J. Nat. Prod. 2006, 69, 295–298. [Google Scholar] [CrossRef] [PubMed]
- Rahman, M.A.A.; Cho, S.C.; Song, J.; Mun, H.T.; Moon, S.S. Dendrazawaynes A and B, antifungal polyacetylenes from Dendranthema zawadskii (Asteraceae). Planta Mrd. 2007, 73, 1089–1094. [Google Scholar] [CrossRef]
- Haouras, D.; Guido, F.; Monia, B.H.K.; Habib, B.H.M. Identification of an insecticidal polyacetylene derivative from Chrysanthemum macrotum leaves. Ind. Crop Prod. 2011, 34, 1128–1134. [Google Scholar] [CrossRef]
- Álvarez, Á.L.; Habtemariam, S.; Abdel Moneim, A.E.; Melón, S.; Dalton, K.P.; Parra, F. A spiroketal-enol ether derivative from Tanacetum vulgare selectively inhibits HSV-1 and HSV-2 glycoprotein accumulation in vero cells. Antivir. Res. 2015, 119, 8–18. [Google Scholar] [CrossRef]
- Kemp, M.S. Falcarindiol: An antifungal polyacetylene from Aegopodium podagraria. Phytochemistry 1978, 17, 1002. [Google Scholar] [CrossRef]
- Garrod, B.; Lewis, B.G. Location of the antifungal compound falcarindiol in carrot root tissue. Trans. Br. Mycol. Soc. 1979, 72, 515–517. [Google Scholar] [CrossRef]
- Garrod, B.; Lea, E.J.A.; Lewis, B.G. Studies on the mechanism of action of the antifungal compound falcarindiol. New Phytol. 1979, 83, 463–471. [Google Scholar] [CrossRef]
- De Wit, P.J.G.M.; Kodde, E. Induction of polyacetylenic phytoalexins in Lycopersicon esculentum after inoculation with Cladosporium fulvum (syn. Fulvia fulva). Physiol. Plant Pathol. 1981, 18, 143–148. [Google Scholar] [CrossRef]
- Muir, A.D.; Cole, A.L.J.; Walker, J.R.L. Antibiotic compounds from New Zealand plants. I. Falcarindiol, an anti-dermatophyte agent from Schefflera digitata. Planta Med. 1982, 44, 129–133. [Google Scholar] [CrossRef]
- Wang, Y.; Toyota, M.; Krause, F.; Hamburger, M.; Hostettmann, K. Polyacetylenes from Artemisia borealis and their biological activities. Phytochemistry 1990, 29, 3101–3105. [Google Scholar]
- Wang, Y.; Toyota, M.; Krause, F.; Hamburger, M.; Hostettmann, K. Antifungal and larvicidal polyacetylenes from Artemisia borealis. Planta Med. 1990, 56, 532–533. [Google Scholar] [CrossRef]
- Matsuura, H.; Saxena, G.; Farmer, S.W.; Hancock, R.E.W.; Towers, G.H.N. Antibacterial and antifungal polyine compounds from Glehnia littoralis ssp. leiocarpa. Planta Med. 1996, 62, 256–259. [Google Scholar] [CrossRef]
- Yoon, M.Y.; Choi, G.J.; Choi, Y.H.; Jang, K.S.; Cha, B.; Kim, J.C. Antifungal activity of polyacetylenes isolated from Cirsium japonicum roots against various phytopathogenic fungi. Ind. Crop Prod. 2011, 34, 882–887. [Google Scholar] [CrossRef]
- Wu, H.B.; Guo, P.X.; Ma, L.H.; Li, X.M.; Liu, T.T. Nematicidal, antifungal and insecticidal activities of Artemisia halodendron extrats. Ind. Crops Prod. 2021, 170, 113825. [Google Scholar] [CrossRef]
- Guillet, G.; Philogéne, B.J.R.; O’Meara, J.; Durst, T.; Arnason, J.T. Multiple modes of insecticidal action of three classes of polyacetylene derivatives from Rudbeckia hirta. Phytochemistry 1997, 46, 495–498. [Google Scholar] [CrossRef]
- Eckenbach, U.; Lampman, R.L.; Seigler, D.S.; Ebinger, J.; Novak, K.J. Mosquitocidal activity of acetylenic compounds from Cryptotaenia canadensis. J. Chem. Ecol. 1999, 25, 1885–1893. [Google Scholar] [CrossRef]
- Uhlenbroek, J.H.; Bijloo, J.D. Investigations on nematicides: I. Isolation and structure of a nematicidal principle occurring in Tagetes roots. Rec. Trav. Chim. Pays-Bas 1958, 77, 1004–1009. [Google Scholar] [CrossRef]
- Gommers, F.J.; Bakker, J. Mode of action of _-terthienyl and related compounds may explain the suppressant effects of Tagetes species on populations of free living endoparasitic plant nematodes. In Chemistry and Biology of Naturally-Occurring Acetylenes and Related Compounds (NOARC); Lam, L., Breteler, H., Arnason, T., Hansen, L., Eds.; Elsevier: New York, NY, USA, 1988; Volume 7. [Google Scholar]
- Liu, G.; Lai, D.; Liu, Q.Z.; Zhou, L.; Liu, Z.L. Identification of nematicidal constituents of Notopterygium incisum rhizomes against Bursaphelenchus xylophilus and Meloidogyne incognita. Molecules 2016, 21, 1276. [Google Scholar] [CrossRef] [PubMed]
- Matsunaga, H.; Katano, M.; Yamamoto, H.; Fujito, H.; Mori, M.; Takata, K. Cytotoxic activity of polyacetylene compounds in Panax ginseng C. A. Meyer. Chem. Pharm. Bull. 1990, 38, 3480–3482. [Google Scholar] [CrossRef] [PubMed]
- Lechner, D.; Stavri, M.; Oluwatuyi, M.; Pereda-Miranda, R.; Gibbons, S. The anti-staphylococcal activity of Angelica dahurica (Bai Zhi). Phytochemistry 2004, 65, 331–335. [Google Scholar] [CrossRef] [PubMed]
- Hinds, L.; Kenny, O.; Hossain, M.B.; Walsh, D.; Sheehy, E.; Evans, P.; Gaffney, M.; Rai, D.K. Evaluating the antibacterial properties of polyacetylene and glucosnolate compounds with further identification of their presence within various carrot (Daucus carota) and broccoli (Brassica oleracea) cultivars using high-performance liquid chromatography with a diode array detector and ultra performance liqhid chromatography-tandem mass spectrometry analyses. J. Agric. Food Chem. 2017, 65, 7186–7191. [Google Scholar]
- Setzer, W.N.; Green, T.J.; Whitaker, K.W.; Moriarity, D.M.; Yancey, C.A.; Lawton, R.O.; Bates, R.B. A cyctotoxic diacetylene from Dendropanax arboreus. Planta Med. 1995, 61, 470–471. [Google Scholar] [CrossRef] [PubMed]
- Bernart, M.W.; Cardellina, J.H.; Balaschak, M.S.; Alexander, M.R.; Shoemaker, R.H.; Boyd, M.R. Cytotoxic falcarinol oxylipins from Dendropanax arboreus. J. Nat. Prod. 1996, 59, 748–753. [Google Scholar] [CrossRef] [PubMed]
- Stavri, M.; Ford, C.H.J.; Bucar, F.; Streit, B.; Hall, M.L.; Williamson, R.T.; Mathew, K.T.; Gibbons, S. Bioactive constituents of Artemisia monosperma. Phytochemistry 2005, 66, 233–239. [Google Scholar] [CrossRef]
- Zidorn, C.; Jöhrer, K.; Ganzera, M.; Schubert, B.; Sigmund, E.M.; Mader, J.; Greil, R.; Ellmerer, E.P.; Stuppner, H. Polyacetylenes from the Apiaceae vegetables carrot, celery, fennel, parsley, parsnip and their cytotoxic activities. J. Agric. Food Chem. 2005, 53, 2518–2523. [Google Scholar] [CrossRef]
- Dembitsky, V.M. Anticancer activity of natural and synthetic acetylenic lipids. Lipids 2006, 41, 883–924. [Google Scholar] [CrossRef] [PubMed]
- Purup, S.; Larsen, E.; Christensen, L.P. Differential effects of falcarinol and related aliphatic C17-polyacetylenes on intestinal cell proliferation. J. Agric. Food Chem. 2009, 57, 8290–8296. [Google Scholar] [CrossRef] [PubMed]
- Kuklev, D.V.; Domb, A.J.; Dembitsky, V.M. Bioactive acetylenic metabolites. Phytomedicine 2013, 20, 1145–1159. [Google Scholar] [CrossRef]
- Jin, H.R.; Zhao, J.; Zhang, Z.; Liao, Y.; Wang, C.Z.; Huang, W.H.; Li, S.P.; He, T.C.; Yuan, C.S.; Du, W. The antitumor natural compound falcarindiol promotes cancer cell death by inducing endoplasmic reticulum stress. Cell Death Dis. 2012, 3, e376. [Google Scholar] [CrossRef] [PubMed]
- Jin, H.R.; Liao, Y.; Li, X.; Zhang, Z.; Zhao, J.; Wang, C.Z.; Huang, W.H.; Li, S.P.; Yuan, C.S.; Du, W. Anticancer compound oplopantriol A kills cancer cells through inducing ER stress and BH3 proteins Bim and Noxa. Cell Death Dis. 2014, 5, e1190. [Google Scholar] [CrossRef]
- Thomas, C.A.; Allen, E.H. An antifungal polyacetylene compound from Phytophthora-infected safflower. Phytopathology 1970, 60, 261–263. [Google Scholar] [CrossRef] [PubMed]
- Hargreaves, J.A.; Mansfield, J.W.; Coxon, D.T.; Price, K.R. Wyerone epoxide as a phytoalexin in Vicia faba and its metabolism by Botrytis cinerea and B. fabae in vitro. Phytochemistry 1976, 15, 1119–1121. [Google Scholar] [CrossRef]
- Gommers, F.J. Increase of the nematicidal activity of A-terthienyl and related compounds by light. Nematologica 1972, 18, 458–462. [Google Scholar] [CrossRef]
- Camm, E.L.; Towers, G.H.N.; Mitchell, J.C. UV-mediated antibiotic activity of some Compositae species. Phytochemistry 1975, 14, 2007–2011. [Google Scholar] [CrossRef]
- Binns, S.E.; Purgina, B.; Bergeron, C.; Smith, M.L.; Ball, L.; Baum, B.R.; Arnason, J.T. Light-mediated antifungal activity of Echinacea extracts. Planta Med 2000, 66, 241–244. [Google Scholar] [CrossRef]
- Ichihara, K.I.; Kawai, T.; Noda, M. Polyacetylenes of Solidago altissima. Agric. Biol. Chem. 1978, 42, 427–431. [Google Scholar] [CrossRef]
- Kobayashi, A.; Morimoto, S.; Shibata, Y.; Yamashita, K.; Numata, M. C10-Polyacetylenes as allelopathic substances in dominants in early stages of secondary succession. J. Chem. Ecol. 1980, 6, 119–131. [Google Scholar] [CrossRef]
- Yano, K.; Ishizu, T. Capillen, a seed germination inhibitor from Artemisia capillaris roots. Phytochemistry 1994, 37, 689–690. [Google Scholar] [CrossRef]
- Christensen, L.P. Biological activities of naturally occurring acetylenes and related compounds from higher plants. Recent Res. Dev. Phytochem. 1998, 2, 227–257. [Google Scholar]
- Christensen, L.P. Bioactive C17 and C18 acetylenic oxylipins from terrestrial plants as potential lead compounds for anticancer drug development. Molecules 2020, 25, 2568. [Google Scholar] [CrossRef] [PubMed]
- Siddiq, A.; Dembitsky, V. Acetylenic anticancer agents. Anti-Cancer Agents Med. Chem. 2008, 8, 132–170. [Google Scholar] [CrossRef]
- Lai, J.X.; Dai, S.F.; Xue, B.X.; Zhang, L.H.; Chang, Y.; Yang, W.; Wu, H.H. Plant polyacetylenoids: Phytochemical, analytical and pharmacological updates. Arab. J. Chem. 2023, 16, 105137. [Google Scholar] [CrossRef]
- Kelsey, R.G.; Shafizadeh, F. Sesquiterpene lactones and systematics of the genus Artemisia. Phytochemistry 1979, 18, 1591–1611. [Google Scholar] [CrossRef]
- Marco, J.A.; Barbera, O. Natural poducts from the genus Artemisia L. In Studies in Natural Products Chemistry; Rahman, A.u., Ed.; Elsevier: Amsterdam, The Netherlands, 1990; Volume 7. [Google Scholar]
- Tan, R.X.; Zheng, W.F.; Tang, H.Q. Biologically active substances from the genus Artemisia. Planta Med. 1998, 64, 295–302. [Google Scholar] [CrossRef] [PubMed]
- Bora, K.S.; Sharma, A. The genus Artemisia: A comprehensive review. Pharm. Biol. 2011, 49, 101–109. [Google Scholar] [CrossRef] [PubMed]
- Martínez, M.J.A.; DelOlmo, L.M.B.; Ticona, L.A.; Benito, P.B. The Artemisia L. genus: A review of bioactive sesquiterpene lactones. In Studies in Natural Products Chemistry; Rahman, A.u., Ed.; Elsevier: Amsterdam, The Netherlands, 2012; Volume 37. [Google Scholar]
- Abad, M.J.; Bedoya, L.M.; Apaza, L.; Bermejo, P. The Artemisia L. genus: A review of bioactive essential oils. Molecules 2012, 17, 2542–2566. [Google Scholar] [CrossRef] [PubMed]
- Ivanescu, B.; Miron, A.; Corciova, A. Sesquiterpene lactones from Artemisia genus: Biological activities and methods of analysis. J. Anal. Methods Chem. 2015, 2015, 247685. [Google Scholar] [CrossRef]
- Sainz, P.; Cruz-Estrada, Á.; Díaz, C.E.; Gonzáles-Coloma, A. The genus Artemisia: Distribution and phytoc hemistry in the Iberian peninsula and the Canary and Balearic islands. Phytochem. Rev. 2017, 16, 1023–1043. [Google Scholar] [CrossRef]
- Bisht, D.; Kumar, D.; Kumar, D.; Dua, K.; Kumar Chellappan, D. Phytochemistry and pharmacological activity of the genus Artemisia. Arch. Pharm. Res. 2021, 44, 439–474. [Google Scholar] [CrossRef] [PubMed]
- Stavholt, K.; Sörensen, N.A. Studies related to naturally-occurring acetylene compounds. V. Dehydro matricaria ester (methyl n-decene triynoate) from the essential oil of Artemisia vulgaris L. Acta Chem. Scand. 1950, 4, 1567–1574. [Google Scholar] [CrossRef]
- Harada, R.; Iwasaki, M. Volatile components of Artemisia capillaris. Phytochemistry 1982, 21, 2009–2011. [Google Scholar] [CrossRef]
- Bohlmann, F.; Burkhardt, T. Über die Biogenese von C17-Polyinen. Chem. Ber. 1969, 102, 1702–1706. [Google Scholar] [CrossRef]
- Bohlmann, F.; Rode, K.M. Notiz über die Polyine aus Pittosporum buchanani Hook. fil. Chem. Ber. 1968, 101, 1889–1891. [Google Scholar] [CrossRef]
- Seger, C.; Godejohann, M.; Spraul, M.; Stuppner, H.; Hadacek, F. Reaction product analysis by high-performance liquid chromatography-solid-phase extraction-nuclear magnetic resonance: Application to the absolute configuration determination of naturally-occurring polyyne alcohols. J. Chromatogr. A 2006, 1136, 82–88. [Google Scholar] [CrossRef] [PubMed]
- Lemmich, E. The absolute configuration of the acetylenic compound falcarindiol. Phytochemistry 1981, 20, 1419–1420. [Google Scholar] [CrossRef]
- Wang, Q.; Hao, J.; Gong, J.; Bao, W. Isolation and structure elucidation of two new compounds from Artemisia ordosica Krasch. Nat. Prod. Res. 2020, 34, 1862–1867. [Google Scholar] [CrossRef]
- Jin, L.; Zhou, W.; Li, R.; Jin, M.; Jin, C.; Sun, J.; Li, G. A new polyacetylene and other constituents with anti-inflammatory activity from Artemisia halodendron. Nat. Prod. Res. 2021, 35, 1010–1013. [Google Scholar] [CrossRef] [PubMed]
- Zhao, Y.; Geng, C.A.; Sun, C.L.; Ma, Y.B.; Huang, X.Y.; Cao, T.W.; He, K.; Wang, H.; Zhang, X.M.; Chen, J.J. Polyacetylenes and anti-hepatitis B virus active constituents from Artemisia capillaris. Fitoterapia 2014, 95, 187–193. [Google Scholar] [CrossRef] [PubMed]
- Geng, C.A.; Huang, X.Y.; Chen, X.L.; Ma, Y.B.; Rong, G.Q.; Zhao, Y.; Zhang, X.M.; Chen, J.J. Three new anti-HB V active constituents from the traditional Chinese herb Yin-Chen (Artemisia scoparia). J. Ethnopharmacol. 2015, 176, 109–117. [Google Scholar] [CrossRef]
- Jakupovic, J.; Tan, R.X.; Bohlmann, F.; Jia, Z.J.; Huneck, S. Acetylenes and other constituents from Artemisia dracunculus. Planta Med. 1991, 57, 450–453. [Google Scholar] [CrossRef] [PubMed]
- Bohlmann, F.; Arndt, C.; Bornowski, H.; Jastrow, H.; Kleine, K.M. Neue Polyine aus dem Tribus Anthemideae. Chem. Ber. 1962, 95, 1320–1327. [Google Scholar] [CrossRef]
- Bohlmann, F.; Ehlers, D. Ein neues p-Hydroxyacetophenon-Derivat aus Artemisia monosperma. Phytochemistry 1977, 16, 1450–1451. [Google Scholar] [CrossRef]
- Hu, J.; Jia, Z.; Bai, S. Two new polyacetylenes from Artemisia eriopoda. Planta Med. 1998, 64, 378–379. [Google Scholar] [CrossRef] [PubMed]
- Bohlmann, F.; Niedballa, U.; Rode, K.M. Über neue Polyine mit C17-Kette. Chem. Ber. 1966, 99, 3552–3558. [Google Scholar] [CrossRef]
- Stavri, M.; Mathew, K.T.; Gibson, T.; Williamson, R.T.; Gibbons, S. New constituents of Artemisia monosperma. J. Nat. Prod. 2004, 67, 892–894. [Google Scholar] [CrossRef] [PubMed]
- Löfgren, N. Centaur X and centaur Y. Two unknown substances in Centaurea-species. Acta Chem. Scand. 1949, 3, 82–85. [Google Scholar] [CrossRef] [PubMed]
- Bohlmann, F.; Inhoffen, E.; Herbst, P. Die Konstitution der Polyin-Kohlenwasserstoffe aus Centaurea cyanus und Artemisia vulgaris. Chem. Ber. 1957, 90, 124–129. [Google Scholar] [CrossRef]
- Bohlmann, F.; Rode, K.M. Die Inhaltsstoffe aus Artemisia selengensis auct. Chem. Ber. 1967, 100, 1940–1943. [Google Scholar] [CrossRef]
- Bohlmann, F.; Mannhardt, H.J. Zur Konstitution des Dehydromatricariaesters aus Artemisia vulgaris. Chem. Ber. 1955, 88, 429–434. [Google Scholar] [CrossRef]
- Stene-Sörensen, J.; Bruun, T.; Holme, D.; Sörensen, N.A. Studies related to naturally occurring acetylene compounds XIII: The occurrence of trans-methyl-n-dec-2-en-4:6:8-triyonate in the genus Tripleurospermum Schultz Bipontinus. Acta Chem. Scand. 1954, 8, 26–33. [Google Scholar] [CrossRef]
- Drake, D.; Lam, J. Polyacetylenes of Artemisia vulgaris. Phytochemistry 1974, 13, 455–457. [Google Scholar] [CrossRef]
- Bohlmann, F.; von Kap-herr, W.; Fanghänel, L.; Arndt, C. Über einige neue Inhaltsstoffe aus dem Tribus Anthemideae. Chem. Ber. 1965, 98, 1411–1415. [Google Scholar] [CrossRef]
- Greger, H. A new acetylenic ester from Artemisia absinthium. Phytochemistry 1978, 17, 806. [Google Scholar] [CrossRef]
- Liu, T.T.; Wu, H.b.; Wu, H.b.; Zhang, J. Wormwood (Artemisia absinthium) as a promising nematicidal and antifungal agent: Chemical composition, comparison of extraction techniques and bioassay-guided isolation. Ind. Crop Prod. 2019, 133, 295–303. [Google Scholar] [CrossRef]
- Yamari, A.; Boriky, D.; Bouamrani, M.L.; Blaghen, M.; Talbi, M. A new thiophen actylene from Artemisia absithium. J. Chin. Chem. Soc. 2004, 51, 637–638. [Google Scholar] [CrossRef]
- Bohlmann, F.; Kleine, K.M.; Arndt, C.; Köhn, S. Neue Inhaltsstoffe der Gattung Anthemis. Chem. Ber. 1965, 98, 1616–1622. [Google Scholar] [CrossRef]
- Bohlmann, F.; Mannhardt, H.J.; Viehe, H.G. Synthese des Polyinketons aus Artemisia vulgaris. Chem. Ber. 1955, 88, 361–370. [Google Scholar] [CrossRef]
- Bohlmann, F.; Karl, W.; Zeisberg, R. Über die Biogenese von Acetylenverbindungen aus dem Tribus Anthemideae. Chem. Ber. 1970, 103, 2860–2863. [Google Scholar] [CrossRef]
- Marco, J.A.; Sanz-Cervera, J.F.; Sancenón, F.; Arnó, M.; Vallés-Xirau, J. Sesquiterpene lactones and acetylenes from Artemisia reptans. Phytochemistry 1994, 37, 1095–1099. [Google Scholar] [CrossRef]
- Bohlmann, F.; Zdero, C. Constituents of Artemisia afra. Phytochemistry 1972, 11, 2329–2330. [Google Scholar] [CrossRef]
- Bohlmann, F.; Arndt, C.; Bornowski, H. Über weitere Polyine aus dem Tribus Anthemideae L. Chem. Ber. 1960, 93, 1937–1944. [Google Scholar] [CrossRef]
- Bohlmann, F.; Kleine, K.M. Über zwei neue Polyinacetate. Chem. Ber. 1964, 97, 1193–1196. [Google Scholar] [CrossRef]
- Bohlmann, F.; Arndt, C.; Kleine, K.M.; Bornowski, H. Die Acetylenverbindungen der Gattung Echinops L. Chem. Ber. 1965, 98, 155–163. [Google Scholar] [CrossRef]
- Manns, D.; Hartmann, R. Annuadiepoxide, a new polyacetylene from the aerial parts of Artemisia annua. J. Nat. Prod. 1992, 55, 29–32. [Google Scholar] [CrossRef]
- Ivarsen, E.; Fretté, X.C.; Christensen, K.B.; Christensen, L.P.; Engberg, R.M.; Grevsen, K.; Kjaer, A. Bioassay-guided chromatographic isolation and identification of antibacterial compounds from Artemisia annua L. that inhibit Clostridium perfringens growth. J. AOAC Internat. 2014, 97, 1282–1290. [Google Scholar] [CrossRef]
- Jakupovic, J.; Chau-Thi, T.V.; Warning, U.; Bohlmann, F.; Greger, H. 11β,13-Dihydroguaianolides from Artemisia douglasiana and a thiophene acetylene from A. schmidtiana. Phytochemistry 1986, 25, 1663–1667. [Google Scholar] [CrossRef]
- Bohlmann, F.; Florentz, G. Über die Biogenese der Spiroketalenolätherpolyine. Chem. Ber. 1966, 99, 990–994. [Google Scholar] [CrossRef]
- Bohlmann, F.; Kapteyn, H.G. Über die Polyine aus Chrysanthemum serotinum L. Chem. Ber. 1966, 99, 1830–1833. [Google Scholar] [CrossRef]
- Birnecker, W.; Wallnöfer, B.; Hofer, O.; Greger, H. Relative and absolute configurations of two naturally occurring acetylenic spiroketal enol ether epoxides. Tetrahedron 1988, 44, 267–276. [Google Scholar] [CrossRef]
- Ma, L.; Ge, F.; Tang, C.P.; Ke, C.Q.; Li, X.Q.; Althammer, A.; Ye, Y. The absolute configuration determination of naturally occurring diacetylenic spiroacetal enol ethers from Artemisia lactiflora. Tetrahedron 2011, 67, 3533–3539. [Google Scholar] [CrossRef]
- Bohlmann, F.; Rode, K.M. Über die Inhaltsstoffe von Artemisia pedemontana. Chem. Ber. 1966, 99, 2416–2418. [Google Scholar]
- Bohlmann, F.; Herbst, P.; Arndt, C.; Schönowsky, H.; Gleinig, H. Über einen neuen Typ von Polyacetylenverbindungen aus verschiedenen Vertretern des Tribus Anthemideae L. Chem. Ber. 1961, 94, 3193–3216. [Google Scholar] [CrossRef]
- Bohlmann, F.; Arndt, C.; Bornowski, H.; Kleine, K.M.; Herbst, P. Neue Acetylenverbindungen aus Chrysanthemum-Arten. Chem. Ber. 1964, 97, 1179–1192. [Google Scholar] [CrossRef]
- Bohlmann, F.; Ates, N.; Jakupovic, J.; King, R.M.; Robinson, H. Types of sesquiterpenes from Artemisia douglasiana. Phytochemistry 1982, 21, 2691–2697. [Google Scholar] [CrossRef]
- Wang, K.D.G.; Wang, J.; Xie, S.S.; Li, Z.R.; Kong, L.Y.; Luo, J. New naturally occurring diacetylenic spiroacetal enol ethers from Artemisia selengensis. Tetrahedron Lett. 2016, 57, 32–34. [Google Scholar] [CrossRef]
- Tan, R.X.; Jia, Z.J.; Zhao, Y.; Feng, S.L. Sesquiterpenes and acetylenes from Artemisia feddei. Phytochemistry 1992, 31, 3135–3138. [Google Scholar] [CrossRef]
- Bohlmann, F.; Bornowski, H.; Schönowsky, H. Über heterocyclisch substituierte Acetylenverbindungen aus dem Tribus Anthemideae L. Chem. Ber. 1962, 95, 1733–1741. [Google Scholar] [CrossRef]
- Hofer, O.; Wallnöfer, B.; Widhalm, M.; Greger, H. Naturally occurring thienyl-substituted spiroacetalenol ethers from Artemisia ludoviciana. Liebigs Ann. Chem. 1988, 1988, 525–529. [Google Scholar] [CrossRef]
- Xiao, M.T.; Luo, D.W.; Ke, Z.; Ye, J.; Tu, P.F. A novel polyacetylene from the aerial parts of Artemisia lactiflora. Phytochem. Lett. 2014, 8, 52–54. [Google Scholar] [CrossRef]
- Harada, R. The structure of capillon. J. Chem. Soc. Jpn. 1956, 77, 990. (In Japanese) [Google Scholar]
- Harada, R. The structure of capillen. J. Chem. Soc. Jpn. 1957, 78, 415. (In Japanese) [Google Scholar]
- Miyazawa, M.; Kameoka, H. A new polyacetylene from Artemisia capillaris. Phytochemistry 1975, 14, 1126. [Google Scholar] [CrossRef]
- Miyazawa, M.; Kameoka, H. Capillanol: A new acetylenic alcohol from Artemisia capillaris. Phytochemistry 1975, 14, 1874. [Google Scholar] [CrossRef]
- Miyazawa, M.; Kameoka, H. Neocapillen, a new acetylenic hydrocarbon from Artemisia capillaris. Phytochemistry 1976, 15, 1987–1988. [Google Scholar] [CrossRef]
- Bohlmann, F.; Kleine, K.M. Die Polyine aus Chrysanthemum frutescens und Artemisia dracuncus L. Chem. Ber. 1962, 95, 39–46. [Google Scholar] [CrossRef]
- Islam, M.N.; Choi, K.J.; Jung, H.A.; Oh, S.H.; Choi, J.S. Promising anti-diabetic potential of capillin and capillinol isolated from Artemisia capillaris. Arch. Pharm. Res. 2016, 39, 340–349. [Google Scholar] [CrossRef]
- Bohlmann, F.; Zdero, C. Über zwei neue Phenylpolyine aus Anthemis fuscata Brot. Chem. Ber. 1971, 104, 1375–1378. [Google Scholar] [CrossRef]
- Ulubelen, A.; Öksuz, S. Capillarin and scoparone from Artemisia lamprocaulos. J. Nat. Prod. 1984, 47, 170–171. [Google Scholar] [CrossRef]
- Harada, R.; Noguchi, S.; Sugiyama, N. Structure of capillarin. J. Chem. Soc. Jpn. 1960, 81, 654–662. [Google Scholar]
- Greger, H.; Bohlmann, F. 8-Hydroxycapillarin-ein neues Isocumarin aus Artemisia dracunculus. Phytochemistry 1979, 18, 1244–1245. [Google Scholar] [CrossRef]
- Riggins, C.W.; Clausen, T.P. Root acetylenes from Artemisia arctica. Biochem. Syst. Ecol. 2003, 31, 211–214. [Google Scholar] [CrossRef]
- Mallabaev, A.; Yagudaev, M.R.; Saitbaeva, I.M.; Sidyakin, G.P. The isocoumarin artemidin from Artemisia dracunculus. Chem. Nat. Comp. 1970, 6, 479. [Google Scholar] [CrossRef]
- Mallabaev, A.; Saitbaeva, I.M.; Sidyakin, G.P. Structure of the isocoumarin artemidin. Chem. Nat. Comp. 1970, 6, 549–551. [Google Scholar] [CrossRef]
- Mallabaev, A.; Sidyakin, G.P. Artemidiol—A new isocoumarin from Artemisia dracunculus. Chem. Nat. Comp. 1974, 743 10, 743–745. [Google Scholar] [CrossRef]
- Bohlmann, F.; Zdero, C. Die Inhaltsstoffe aus Anthemis fuscata Brot. Chem. Ber. 1970, 103, 2856–2859. [Google Scholar] [CrossRef]
- Greger, H.; Bohlmann, F.; Zdero, C. Neue Isocumarine aus Artemisia dracunculus. Phytochemistry 1977, 16, 795–796. [Google Scholar] [CrossRef]
- Meepagala, K.M.; Sturtz, G.; Wedge, D.E. Antifungal constituents of the essential oil fraction of Artemisia dracunculus L. var. dracunculus. J. Agric. Food Chem. 2002, 50, 6989–6992. [Google Scholar] [CrossRef] [PubMed]
- Yano, K. Variation in acetylene content of different ecotypes of Artemisia capillaris. Phytochemistry 1975, 14, 1783–1784. [Google Scholar] [CrossRef]
- Yano, K. Relationships between chemical structure of phenylalkynes and their antifeeding activity for larvae of a cabbage butterfly. Insect Biochem. 1986, 16, 717–1719. [Google Scholar] [CrossRef]
- Yano, K. Minor components from growing buds of Artemisia capillaris that act as insect antifeedants. J. Agric. Food Chem. 1987, 35, 889–891. [Google Scholar] [CrossRef]
- Saleh, M.A. An insecticidal diacetylene from Artemisia monosperma. Phytochemistry 1984, 23, 2497–2498. [Google Scholar] [CrossRef]
- Zhang, Z.; Guo, S.S.; Zhang, W.J.; Geng, Z.F.; Liang, J.Y.; Du, S.S.; Wang, C.F.; Deng, Z.W. Essential oil and polyacetylenes from Artemisia ordosica and their bioactivities against Tribolium castaneum Herbst (Coleoptera: Tenebrionidae). Ind. Crop Prod. 2017, 100, 132–137. [Google Scholar] [CrossRef]
- Yin, B.L.; Fan, J.F.; Gao, Y.; Wu, Y.L. Progress in molecular diversity of tonghaosu and its analogs. Arkivoc 2003, 2, 70–83. [Google Scholar] [CrossRef]
- Barrero, A.F.; Herrador del Pino, M.M.; González Portero, A.; Arteaga Burón, P.; Arteaga, J.F.; Alquézar, J.B.; Díaz, E.; González-Coloma, A. Terpenes and polyacetylenes from cultivated Artemisia granatensis Bois. (Royal chamomile) and their defensive properties. Phytochemistry 2013, 94, 192–197. [Google Scholar] [CrossRef]
- Zhai, D.D.; Zhong, J.J. Simultaneous analysis of three bioactive compounds in Artemisia annua hairy root cultures by reversed-phase high-performance liquid chromatography-diode array detector. Phytochem. Anal. 2010, 21, 524–530. [Google Scholar] [CrossRef]
- Kogiso, S.; Wada, K.; Munakata, K. Isolation of nematicidal polyacetylenes from Carthamus tinctorius L. Agric. Biol. Chem. 1976, 40, 2085–2089. [Google Scholar] [CrossRef]
- Kogiso, S.; Wada, K.; Munakata, K. Nematicidal polyacetylenes, 3Z,11E-and 3E,11E-trideca-1,3,11-triene-5,7,9-triyne from Carthamus tinctorius L. Tetrahedron Lett. 1976, 109–110. [Google Scholar] [CrossRef]
- Kim, H.; Lee, Y.H.; Kim, S.L. A possible mechanism of polyacetylene: Membrane cytotoxicity. Korean J. Tooxicol. 1988, 4, 95–105. [Google Scholar]
- Jung, H.J.; Min, B.S.; Park, J.Y.; Kim, Y.H.; Lee, H.K.; Bae, K.H. Gymnasterkoreaynes A-F, cytotoxic polyacetylenes from Gymnaster koraiensis. J. Nat. Prod. 2002, 65, 897–901. [Google Scholar] [CrossRef]
- Makuda, Y.; Asada, K.; Satoh, R.; Takada, K.; Kitajama, J. Capillin, a major constituent of Artemisia capillaris Thunb. flowerr essential oil, induces apoptosis through the mitochondrial pathway in human leukemia HL-60 cells. Phytomedicine 2015, 22, 545–552. [Google Scholar]
- Avato, P.; Vitali, C.; Mongelli, P.; Tava, A. Antimicrobial activity of polyacetylenes from Bellis perennis and their synthetic derivatives. Planta Med. 1997, 63, 503–507. [Google Scholar] [CrossRef] [PubMed]
- Metzger, B.T.; Barnes, D.M.; Reed, J.D. Purple carrot (Daucus carota L.) polyacetylenes decrease lipopolysaccharide-induced expression of inflammatory proteins in macrophage and endothelial cells. J. Agric. Food Chem. 2008, 56, 3554–3560. [Google Scholar] [CrossRef]
- Yamamoto, M.; Ogawa, K.; Morita, M.; Fukuda, K.; Komatsu, Y. The herbal medicine inchin-ko-to inhibits liver cell apoptosis induced by transforming growth factor β1. Hepatology 1996, 23, 552–559. [Google Scholar] [CrossRef] [PubMed]
- Vallés, J.; Garcia, S.; Hidalgo, O.; Martin, J.; Pellicer, J.; Sanz, M.; Garnatje, T. Biology, genome evolution, biotechnological issues and research including applied perspectives in Artemisia (Asteraceae). Adv. Bot. Res. 2011, 60, 349–419. [Google Scholar]
- Ehrendorfer, F. Notizen zur Cytotaxonomie und Evolution der Gattung Artemisia. Österr. Bot. Z. 1964, 111, 84–142. [Google Scholar] [CrossRef]
- Gutermann, W.E. Systematik und Evolution Einer Alten, Dysploid-Polyploiden Oreophyten-Gruppe: Artemisia mutellina und Ihre Verwandten (Asteraceae: Anthemideae). Ph.D. Thesis, University of Vienna, Vienna, Austria, 1979. [Google Scholar]
- Bohlmann, F.; Ang, W.; Trinks, C.; Jakupovic, J.; Huneck, S. Dimeric guaianolides from Artemisia sieversiana. Phytochemistry 1985, 24, 1009–1015. [Google Scholar] [CrossRef]
- Martínez, V.; Barberá, O.; Sánchez-Parareda, J.; Marco, J.A. Phenolic acetylenic metabolites from Artemisia assoana. Phytochemistry 1987, 26, 2619–2624. [Google Scholar] [CrossRef]
- Greger, H.; Hofer, O. New unsymmetrically substituted tetrahydrofurofuran lignans from Artemisia absinthium. Assignment of the relative stereochemistry by lanthanide-induced chemical shifts. Tetrahedron 1980, 36, 3551–3558. [Google Scholar] [CrossRef]
- Greger, H. Sesamin-type lignans as chemical markers within Artemisia. Biochem. Syst. Ecol. 1981, 9, 165–169. [Google Scholar] [CrossRef]
- Tulake, A.; Jiang, Y.; Tu, P.F. Nine lignans from Artemisia absinthium L. J. Chin. Pharm. Sci. 2012, 21, 360–364. [Google Scholar] [CrossRef]
- Greger, H.; Hofer, O.; Nikiforov, A. New sesquiterpene-coumarin ethers from Achillea and Artemisia species. J. Nat. Prod. 1982, 45, 455–461. [Google Scholar] [CrossRef]
- Bohlmann, F.; Zdero, C.; Faass, U. Über die Inhaltsstoffe von Artemisia fragrans Willd. Chem. Ber. 1973, 106, 2904–2909. [Google Scholar] [CrossRef]









Disclaimer/Publisher’s Note: The statements, opinions and data contained in all publications are solely those of the individual author(s) and contributor(s) and not of MDPI and/or the editor(s). MDPI and/or the editor(s) disclaim responsibility for any injury to people or property resulting from any ideas, methods, instructions or products referred to in the content. |
© 2025 by the author. Licensee MDPI, Basel, Switzerland. This article is an open access article distributed under the terms and conditions of the Creative Commons Attribution (CC BY) license (https://creativecommons.org/licenses/by/4.0/).
Share and Cite
Greger, H. Comparative Phytochemistry of Polyacetylenes of the Genus Artemisia (Asteraceae): Compounds with High Biological Activities and Chemotaxonomic Significance. Molecules 2025, 30, 537. https://doi.org/10.3390/molecules30030537
Greger H. Comparative Phytochemistry of Polyacetylenes of the Genus Artemisia (Asteraceae): Compounds with High Biological Activities and Chemotaxonomic Significance. Molecules. 2025; 30(3):537. https://doi.org/10.3390/molecules30030537
Chicago/Turabian StyleGreger, Harald. 2025. "Comparative Phytochemistry of Polyacetylenes of the Genus Artemisia (Asteraceae): Compounds with High Biological Activities and Chemotaxonomic Significance" Molecules 30, no. 3: 537. https://doi.org/10.3390/molecules30030537
APA StyleGreger, H. (2025). Comparative Phytochemistry of Polyacetylenes of the Genus Artemisia (Asteraceae): Compounds with High Biological Activities and Chemotaxonomic Significance. Molecules, 30(3), 537. https://doi.org/10.3390/molecules30030537



