Abstract
Species of the genus Doronicum are known for their pharmacological properties and essential oils, the chemical composition of which remains inadequately studied. In this work, GC-MS analysis, synthesis, and spectral techniques (UV, IR, MS, and NMR) were employed to identify 83 constituents in the essential oil from D. columnae roots, which accounted for 98.1% of the total GC-peak area. The major components were thymyl isobutyrate (32.8%) and thymyl 2-methylbutyrate (22.8%), while the minor constituents were methoxy-p-cymene derivatives. Six new natural products were identified through synthesis, GC co-injection experiments and spectral characterization, including esters (isobutyrate, 2-methylbutyrate, and/or isovalerate) of 2-methoxycuminol, 6-methoxythymol, and 6-hydroxythymyl methyl ether, as well as methyl 3-methoxycuminate. Their identification was made possible by synthesis efforts, as isolating pure compounds was impracticable because of their low abundance and the overall structural similarity within the highly complex mixture that was the essential oil.
1. Introduction
The genus Doronicum, belonging to the tribe Senecioneae (family Asteraceae), comprises twenty-six species and four subspecies, distributed across Europe, North Africa and Asia, from Iran to Turkey, with some species also growing in the Himalayas [1]. Only five taxa of the Doronicum genus are described in the Serbian flora: D. austriacum Jacq., D. austriacum subsp. giganteum (Griseb.) Stoj. & Stef., D. orientale Hoffm., D. columnae Ten., and D. hungaricum Rchb.f. [2]. Plant species of the Doronicum genus are used in traditional medicine, primarily as antiparasitic, cardiotonic, analgesic, and anti-inflammatory agents [1]. Extracts from the aerial parts and roots of Doronicum species are rich in bioactive compounds, including pyrrolizidine alkaloids, flavonoids, terpenes, and aromatic compounds such as benzofurans and thymol derivatives [1]. Up to now, the composition of essential oils from the aerial parts of six taxa within the Doronicum genus has been investigated [3,4,5,6,7], including one collected in Serbia (D. austriacum subsp. giganteum) [4]. The primary constituents of these essential oils were sesquiterpene hydrocarbons, oxygenated monoterpenes (predominantly thymol derivatives), and oxygenated sesquiterpenes.
Thymol derivatives are known to occur within the Asteraceae family, particularly in the tribes Senecioneae, Eupatorieae, Inuleae, and Helenieae [8]. For instance, compounds such as thymyl and 8,9-dehydrothymyl isobutyrates have been previously identified in extracts of Arnica amplexicaulis [9], while 10-acetoxy-8,9-epoxythymyl isobutyrate has been reported in A. sachalinensis [10,11,12]. These species are morphologically closely related to the genus Doronicum. Additionally, other thymol derivatives, featuring groups such as acetyl, isobutyryl, angeloyl, 2-methylbutyryl, and isovaleryl, with varying degrees of oxygenation, have been found in several genera within Asteraceae, including Schkuhria, Inula, Stoebe, Marshallia, Eriophyllum, Mikania, Ageratina, and Sclerolepis [1]. Thymol and carvacrol exhibit significant antimicrobial activity by disrupting microbial membranes, effectively inhibiting the growth of bacteria, fungi, and viruses [13]. Within the genus Doronicum, thymol derivatives have been detected in species such as D. austriacum [14], D. corsicum [6], D. hungaricum [15], D. macrophyllum [16], and D. pardalianches [17]. Conversely, these compounds have not been identified in species such as D. grandiflorum [18], D. hookeri [19], D. oblongifolium [20], and D. orientale [21,22]. Notably, tremetone derivatives and pyrrolizidine alkaloids have been reported in certain species, including D. austriacum [14], D. hungaricum [15], and D. macrophyllum [16].
The heart-leaved leopard’s-bane (Doronicum columnae Ten.) is a perennial herbaceous species native to central and southern Europe, extending into the Caucasus. It thrives in shaded environments, particularly on calcareous soils, and is commonly found in deciduous, coniferous, and mixed forests, as well as in shrublands across hilly and mountainous regions [23]. Phytochemical studies on this species have been limited despite belonging to a family and genus well-known for the chemical diversity of their secondary metabolites. For instance, the pyrrolizidine alkaloid senkirkine, typically associated with the genus Senecio within the same family, has been identified in this species [24]. Additionally, two screening studies have investigated D. columnae for its antioxidant content [25] and catalase activity [26] concerning changes in these properties in plant species growing in post-fire environments. To the best of our knowledge, the composition of D. columnae essential oil has not been studied.
The analysis of minor constituents of essential oils is an often overlooked yet equally important aspect of understanding their comprehensive chemical and biological profiles. These minor compounds, despite their low abundances, may significantly contribute to the overall olfactory and biological effects of the oil [27]. With this study, we aimed to investigate, for the first time, the chemical composition of essential oil obtained from D. columnae roots. Specifically, we sought to examine previously unknown trace components, which proved to be multiply oxygenated aromatic compounds related to some of the more dominant constituents of the essential oil. Research addressing isomeric or otherwise closely related compounds that cannot be adequately distinguished by mass spectra or retention indices alone faces significant analytical challenges, in part because of the possibility that some of the isomers may represent novel chemical entities. To address this, we opted for a multifaceted approach, leveraging structure-retention index correlations and reasonable biosynthetic insights, and finally utilizing authentic samples prepared by chemical synthesis, which led us to the identification of a number of methoxy-p-cymene derivatives, six of which constituted new natural products.
2. Results and Discussion
Composition of D. columnae Essential Oil
The dry roots of D. columnae yielded a yellowish essential oil (0.56%, w/w). A combination of GC-MS, UV, IR, and NMR, along with chromatographic separation and synthetic work, led to the identification of 83 constituents (Table 1) of the D. columnae essential oil, amounting to 98.1% of the total detected GC-peak areas (Figure 1). Oxygenated monoterpenoids and sesquiterpene hydrocarbons are the dominant compound classes, comprising 95.0% and 2.2%, respectively. The major constituents were thymyl isobutyrate and thymyl 2-methylbutyrate, constituting 32.8% and 22.8% of the essential oil, respectively.
Table 1.
Chemical composition of the essential oil of Doronicum columnae Ten. roots from Serbia.
Figure 1.
A typical TIC (total ion current) chromatogram of the essential oil of D. columnae roots.
While most of the identified compounds are common essential oil constituents previously detected in other Doronicum species (e.g., D. austriacum [4] and D. corsicum [6]), one series of constituents, although present in trace amounts, caught our attention. A total of 14 compounds, observed within the retention index (RI) range of 1435 to 1845 (Table 1), were presumed to be thymol-like compounds based on their fragmentation patterns visible in the mass spectra. To isolate these trace constituents, chromatographic separation of the essential oil was undertaken. A dry-column vacuum chromatography of the essential oil on silica gel, using 5% (v/v) diethyl ether in hexane as the eluent, resulted in a fraction enriched with these trace constituents, which proved hardly detectable in the initial GC-MS analysis of the unfractionated essential oil. Direct NMR analysis of the total fraction (Figure 2) strongly suggested that major fraction constituents were oxygenated derivates of methoxy-p-cymene.
Figure 2.
1H NMR spectra of the tenth chromatographic fraction (eluted with 5% ether in hexane), shown in brown, of a standard of 3-methoxycuminyl isobutyrate, shown in blue, and of 3-methoxycuminyl 2-methylbutyrate, shown in light green.
A detailed GC-MS analysis of the fraction revealed the presence of twelve compounds, including five with a molecular ion at m/z 250 and seven with a molecular ion at m/z 264. Based on mass spectral data, due to their similar fragmentation patterns—dominant fragmentation ions at m/z 163 and 179 or 180, m/z 165 and 180, and m/z 147 and 162—it was concluded that the detected compounds belong to one of five different groups of isomers (Figure S1). The presence of distinct pairs of intense ions at m/z 43 and 71, characteristic of (iso)butyrates (C4H7O⁺), and peaks at m/z 57 and 85, indicative of isomeric valerates (C5H9O⁺), provided crucial information supporting the tentative identification. A comparison of the retention indices (RI) and mass spectrometry (MS) data for one homologous series of compounds detected at RI 1723, 1808, and 1817, with compounds recently identified as constituents of Pulicaria dysenterica essential oil [29] led to the identification of the major fraction constituents as 3-methoxycuminyl isobutyrate, 3-methoxycuminyl 2-methylbutyrate, and 3-methoxycuminyl isovalerate. This tentative identification was further confirmed by a GC co-injection experiment of the fraction and pure synthesized compounds from our in-house natural product library, as well as by comparison of their NMR data [29] with that of the essential oil fraction (Figure 2 and Figures S2–S16, and Tables S1–S3).
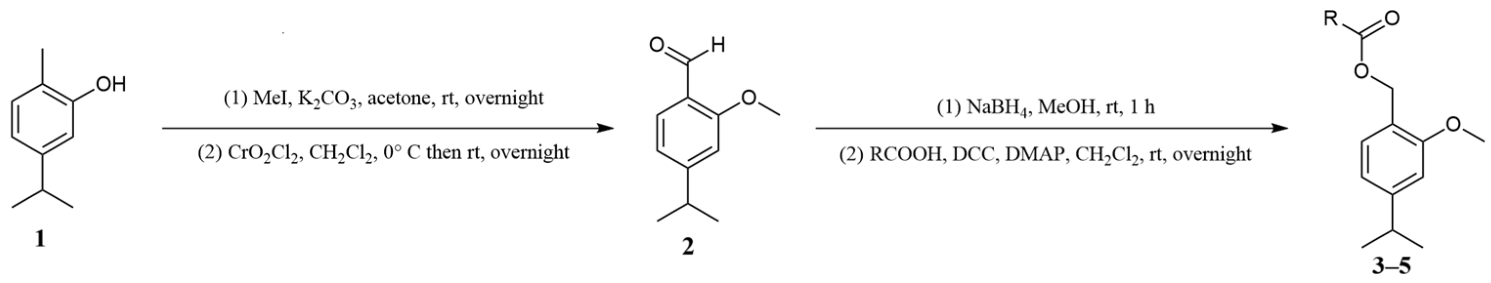
Additionally, the 1H NMR spectrum (Figure 2) revealed signals corresponding to CH2 groups with chemical shift and multiplicity closely resembling those of the benzylic oxymethylene group in 3-methoxycuminyl esters, observed as a singlet at 5.08 ppm. This suggested that one homologous series of the detected constituents (at RI 1750, 1835, and 1845) could be esters of a 3-methoxycuminol regioisomer, specifically the esters of 2-methoxycuminol. It is logical to expect that an essential oil that contains biosynthetically related compounds (e.g., thymol and carvacrol along with their ethers and esters) could contain, alongside 3-methoxycuminyl esters, the regioisomeric 2-methoxycuminyl esters as well. To confirm the stated hypothesis, we synthesized these compounds using a two-step approach: the synthesis of 2-methoxycuminol and the subsequent preparation of its esters (2-methoxycuminyl isobutyrate, 2-methylbutyrate, and isovalerate). The synthesis of 2-methoxycuminol involved the methylation of carvacrol (1) with methyl iodide, followed by benzylic oxidation of the resulting carvacryl methyl ether with chromyl chloride (Figure 3). The obtained reaction mixture predominantly contained thymoquinone in addition to a certain amount of 2-methoxycuminaldehyde (2). The confirmation of the structure of the synthesized 2-methoxycuminaldehyde (2) was based on HMBC interactions of the C-6 proton at 7.76 ppm, with a carbon atom at 189.67 ppm, corresponding to the aldehyde group (Figure S17 and Table S4). Additionally, NOESY interactions between the C-6 proton and the aldehyde proton at 10.40 ppm, as well as interactions of this proton with the protons from the methoxy group, indicate their spatial proximity. The obtained 2-methoxycuminaldehyde (2) was then reduced to 2-methoxycuminol (Figure S18 and Table S5) and subsequently esterified with isobutyric (3), 2-methylbutyric (4), and isovaleric acid (5) through the Steglich esterification method. The chemical shift of the protons from the methylene group in the synthesized esters (Figures S19–S36 and Tables S6–S8) is identical to the shift of the methylene group in the unknown component of the fraction (δH = 5.12 ppm). Initial comparisons of 1H NMR spectra of the synthesized standards to that of the chromatographic fraction showed satisfactory congruence; however, GC co-injection experiments definitively confirmed that all synthesized 2-methoxycuminyl esters were present in the essential oil of D. columnae, representing both new natural products and new chemical entities.
Figure 3.
Synthesis of 2-methoxycuminyl isobutyrate (3), 2-methylbutyrate (4), and isovalerate (5) (R = isopropyl, sec-butyl, or isobutyl).
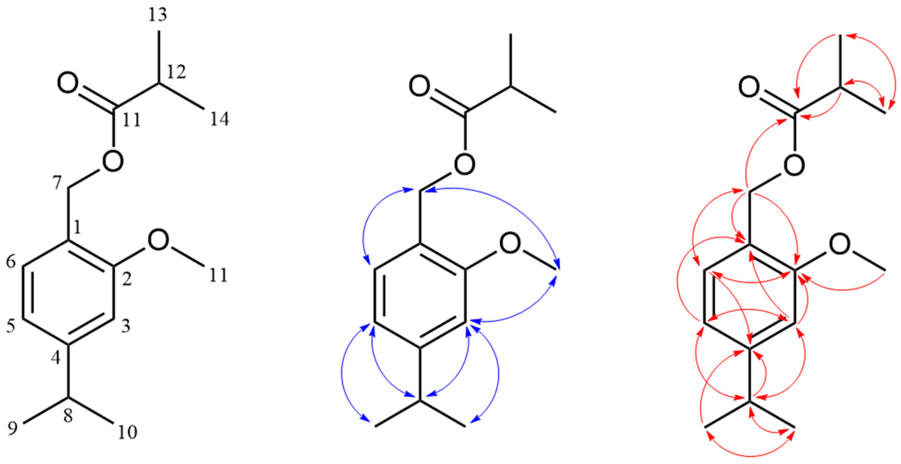
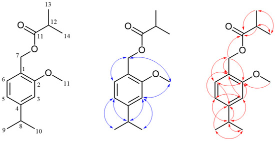
The assignment of signals is discussed in detail for one of the newly identified natural products, 2-methoxycuminyl isobutyrate (3) (Figure 4), while the same approach was used for structure elucidation and signal assignment of all other synthesized compounds in an analogous fashion. The 1H and 13C NMR spectra of 2-methoxycuminyl isobutyrate (3) showed the expected number of signals (Figures S21–S23). A doublet at 7.23 ppm (J = 7.7 Hz) was assigned to the proton on the aromatic ring at position 6. The HSQC spectrum enabled the assignment of the 13C NMR signal for the carbon atom (C-6) at 129.65 ppm. 1H NMR spectra with homonuclear decoupling confirmed the interaction of this proton with a proton at position 5 (attached directly to the carbon atom at 118.35 ppm), which appeared as a doublet of doublets (J = 7.7 and 1.6 Hz) at 6.82 ppm. The presence of an additional coupling constant (1.6 Hz) suggested a further interaction with a proton at position 3 (6.75 ppm), with its corresponding 13C NMR signal at 109.02 ppm. A singlet at 5.12 ppm was assigned to the methylene group at position 7, with the HSQC spectrum linking it to the 13C NMR signal at 61.76 ppm, that of C-7. The HMBC spectrum displayed correlations between C-7 protons and four 13C NMR signals at 122.06, 129.65, 157.65, and 177.33 ppm, assigned to C-1, C-6, C-5, and C-11, respectively (Figure S24 and Table S6). Additionally, a doublet at 1.26 ppm (J = 6.9 Hz) corresponded to the two methyl groups in the isopropyl fragment (protons of C-9 and C-10), which were coupled to a one-proton septuplet at 2.90 ppm. The HSQC spectrum allowed for the assignment of 13C resonances for the carbon atoms in this structural segment (C-8 at 34.50 ppm and C-9 and C-10 at 24.13 ppm). In the case of the methoxy group, the protons (H-15) appeared as a singlet at 3.84 ppm, corresponding (according to the HSQC spectrum) to the carbon atom at 55.49 ppm (C-15). Only one correlation of the protons from the methoxy group was visible in the HMBC spectrum, and that was with the 13C NMR signal of the C-2 carbon atom. The assignment of the acidic moiety in 2-methoxycuminyl isobutyrate (3), along with the 2-methylbutyrate and isovalerate derivatives, was based on prior analyses performed by our group [29].
Figure 4.
From left to right: the structure of 2-methoxycuminyl isobutyrate (3) with the carbon atom numbering scheme, important NOESY interactions (marked with blue arrows), and important HMBC interactions (marked with red arrows).
The three remaining groups of detected, yet unidentified, constituents were found to possess the same molecular ions (m/z 250 and 264) and exhibit similar fragmentation patterns in the mass spectra, as well as close RI values to those of the identified 2-methoxycuminyl and 3-methoxycuminyl esters. These similarities suggested that these constituents might be their regioisomers. As expected, spectral and GC retention data for such regioisomeric esters is quite scarce in the literature. An additional challenge in the unambiguous GC–MS identification of such regioisomeric compounds stems from the fact that they display very similar MS fragmentation patterns, and some have nearly identical RI values. As a result, final structural confirmation cannot rely solely on MS and/or RI criteria. In such cases, even a small discrepancy in RI values from the literature, likely because some researchers fall into the trap of seemingly straightforward identifications, adds even more confusion. For example, for the 6-methoxythymyl isobutyrate (12), there are two RI values—1659 [30] and 1671 [31] on the non-polar CP-Sil 5 and CP-Sil 5 CB columns, respectively. The only worthwhile approach was to synthesize the possible isomeric esters and confirm the identity of the naturally occurring isomers through GC co-chromatography of mixtures containing D. columnae essential oil and individual authentic standards obtained by synthesis.
The presence of one isomeric dimethoxy-p-cymene, specifically 2,5-dimethoxy-p-cymene, in the essential oil sample, also indicated that some of these isomeric series could be the esters of the isobutyric or 2-methylbutyric acid with 6-methoxythymol and/or 6-hydroxythymyl methyl ether. To confirm our assumption, we synthesized the mentioned esters starting from thymol, following the reaction scheme presented in Figure 5. Thymol (6) was first subjected to nitrosation with a mixture of NaNO2/HCl to yield 6-nitrosothymol, which was subsequently hydrolyzed to thymoquinone (7). The reduction of thymoquinone with zinc powder in acetic acid afforded thymohydroquinone. Esterification of thymohydroquinone was carried out using isobutyric acid and 2-methylbutyric acid via the Steglich esterification method. The reaction produced a mixture of monoesters (8–11), which were then successfully separated using column chromatography. The structure of the synthesized monoesters could be easily determined based on NOESY interactions in the NMR spectrum (Figures S37–S40 and Tables S9–S12). For example, the signal of the C-3 proton at 6.72 ppm exhibited a NOESY interaction with the proton from the OH group (at 4.82 ppm). This OH proton also displayed an NOE interaction with protons from a methyl group at 2.17 ppm. Similarly, the structure of the second monoester was determined as follows: the C-6 proton at 6.44 ppm exhibited an NOE interaction with the OH proton at 5.50 ppm. This OH proton was found to further interact with the protons of the methyl groups from the isopropyl moiety (signal at 1.19 ppm). These data suggest that, in the first case, the OH group is in the ortho position relative to the methyl group (6-hydroxythymyl esters (8 and 9), while in the second case, the OH group is ortho to the isopropyl group (e.g., 6-isobutyryloxythymol (10)). Additional confirmation of these structures comes from the differing chemical shifts of the methyl groups, depending on the identity of the ortho substituent. When the ester group is in the ortho position, the methyl groups shift upfield compared with when the OH group occupies the ortho position, likely due to the anisotropic shielding effect of the carbonyl group. Finally, obtained monoesters were additionally methylated using methyl iodide. All prepared compounds were structurally characterized by MS, IR, UV-Vis, and NMR (Figures S37–S64, Tables S9–S16). Among the synthesized esters, 6-methoxythymyl 2-methylbutyrate (13) and 6-(2-methylbutyryloxy)thymyl methyl ether (15) represents new compounds, whereas GC co-injection confirmed that the D. columnae essential oil constituents were isobutyrates and 2-methylbutyrates (new natural products) of 6-methoxythymol (12 and 13) and 6-hydroxythymyl methyl ether (14 and 15).
Figure 5.
Synthesis of 6-methoxythymyl (12 and 13) and/or 6-hydroxythymyl methyl ether (14 and 15) esters (R = isopropyl or sec-butyl).
Oxygenated derivatives of methoxy-p-cymene, particularly esters of 9-hydroxythymyl methyl ether (20 and 21), have been previously identified in the essential oil of Arnica montana L. [30]. Noted similarities of the fragmentation pattern in the mass spectra of 9-hydroxythymyl methyl ether esters from the literature with those of the constituents present in our samples suggested that the detected remaining series represents esters of 9-hydroxythymyl methyl ether; however, since the literature retention indices did not match our retention indices and the fact that there is theoretically another possible isomer with a hydroxy group in position 8, we decided to perform their synthesis to confirm their presence in the essential oil. The synthesis of these compounds was based firstly on the synthesis of 9-hydroxythymyl methyl ether (19, Figure S71 and Table S18) and the subsequent preparation of esters (9-isobutyryloxythymyl and 9-(2-methylbutyryloxy)thymyl methyl ethers, 20 and 21, Figure 6). The synthesis of 9-hydroxythymyl methyl ether involved the esterification of m-cresol (16) achieved with acetic anhydride, followed by a Fries rearrangement of the acetyl group using anhydrous aluminum chloride. The resulting 3-hydroxy-4-methylacetophenone (17) was methylated with methyl iodide. A Wittig reaction between 4-methyl-3-methoxyacetophenone (17) and an in situ generated ylide yielded 8,9-dehydrothymyl methyl ether (18) (Figures S65–S70 and Table S17). This compound was then subjected to hydroboration-oxidation to form 9-hydroxythymyl methyl ether (19), followed by esterification with isobutyric and 2-methylbutyric acid (Figures S72–S83 and Tables S19 and S20). Subsequent GC co-injection experiments confirmed the presence of 9-isobutyryloxythymyl methyl ether (20) and 9-(2-methylbutyryloxy)thymyl methyl ether (21) in the D. columnae essential oil. Since 9-hydroxythymyl methyl ether (19) is chiral, its esterification with commercial racemic 2-methylbutyric acid yielded a diastereomeric mixture of 9-(2-methylbutyryloxy)thymyl methyl ethers (21). This mixture could not be observed as two separate peaks in the TIC chromatogram under our operating conditions; however, the presence of such a mixture was confirmed through NMR.
Figure 6.
Synthesis of 9-hydroxythymyl methyl ether esters (20 and 21) (R = isopropyl or sec-butyl).
Apart from regioisomeric oxygenated derivatives of methoxy-p-cymene, certain signals in the 1H NMR spectrum of the fraction (Figure 7) suggested the presence of an additional, possibly oxygenated derivative of methoxy-p-cymene among the fraction constituents. Proton signals at 7.62 ppm (J = 7.9 and 1.6 Hz), 7.50 ppm (J = 1.6 Hz), and 7.26 ppm (J = 7.9 Hz) were assigned to protons H-6, H-5, and H-2, respectively, based on 1H-1H-COSY and HMBC interactions. The HMBC spectrum displayed correlations between H-2 and H-6 protons with a 13C NMR signal at 167.38, assigned as C-7, indicating the presence of a carbonyl group directly attached to the aromatic ring. Protons of one of the methoxy groups appeared as a singlet at 3.91 ppm (H-11) and were directly connected (according to the HSQC spectrum) to the carbon atom at 52.19 ppm (C-11). In addition, correlations with C-7 were displayed and were therefore identified as methyl ester protons. Additionally, a doublet at 1.22 ppm (J = 6.9 Hz) corresponded to the two methyl groups in the isopropyl fragment (protons of C-9 and C-10), which were coupled to a one-proton septuplet at 3.35 ppm. The HMBC spectrum displayed correlations between the H-8 proton and 13C NMR signals originating from five carbon atoms at 22.53 (two carbons), 126.02, 142.79, and 156.76 ppm, assigned to C-9 and C-10, C-5, C-4, and C-3, respectively. In the case of the remaining methoxy group, the protons (H-12) appeared as a singlet at 3.88 ppm that was directly connected (according to the HSQC spectrum) to the carbon atom at 55.64 ppm (C-12). The HMBC spectrum displayed only one correlation of these protons, and that was with the signal of the C-3 carbon atom. Based on NMR analysis, this compound was identified as methyl 4-isopropyl-3-methoxybenzoate (syn. methyl 3-methoxycuminate (23), Figure 8).
Figure 7.
1H NMR spectra of the tenth chromatographic fraction (eluted with 5% ether in hexane), shown in brown, and methyl 4-isopropyl-3-methoxybenzoate (syn. methyl 3-methoxycuminate (23)), shown in orange.
Figure 8.
From left to right: the structure of methyl 3-methoxycuminate (23) with the carbon atom numbering scheme, important NOESY interactions (marked with blue arrows), and important HMBC interactions (marked with red arrows).
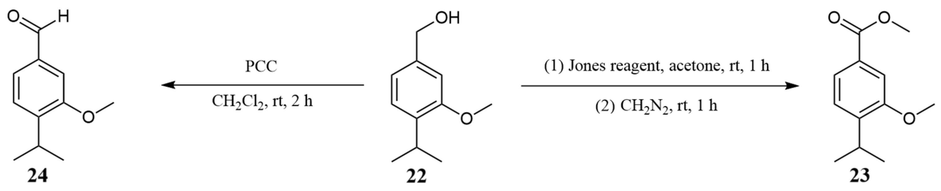
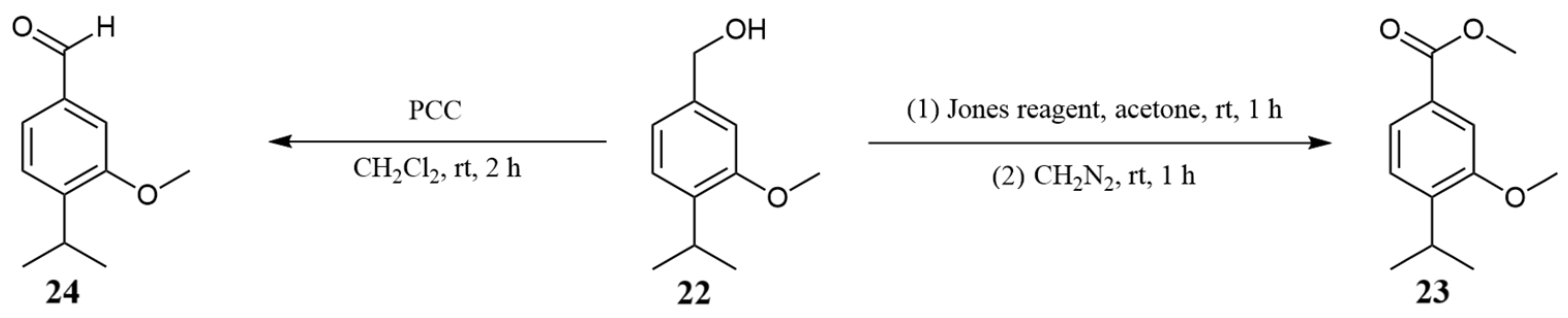
To confirm our assumption, we synthesized the mentioned ester starting from 3-methoxycuminol (22) (Figure 9). The synthesis involved oxidizing 3-methoxycuminol (22) to the corresponding acid (Figure S84 and Table S21), followed by methylation of the resulting acid to produce the methyl ester (23). The synthesized methyl 4-isopropyl-3-methoxybenzoate (23) was fully spectrally characterized using MS, IR, UV-Vis, and NMR (Figues S85–S90 and Table S22). A comparison of NMR data from the tenth fraction and the pure methyl ester, together with a GC co-injection experiment, confirmed that the synthesized methyl ester (23) was a constituent of the essential oil and represents a new natural product.
Figure 9.
Synthesis of methyl 3-methoxycuminate (23) and 3-methoxycuminaldehyde (24).
In the NMR spectrum of the tenth fraction, an additional signal, based on its chemical shift, was attributable to a proton from an aldehyde group, suggesting the possible presence of an aldehyde related to methyl 3-methoxycuminate (23). Consequently, the aldehyde was synthesized starting from 3-methoxycuminol (22) (Figure 9 and Figures S91–S96, and Table S23). Although the synthesized 3-methoxycuminaldehyde (24) is a known compound, a GC co-injection confirmed that this aldehyde is a constituent of the essential oil of D. columnae.
Based on the results presented above, the isolated essential oil of D. columnae shows potential applications in pharmaceutical, cosmetic, and agricultural industries because of its unique chemical profile, particularly the high concentration of thymyl derivatives. Given the antimicrobial and anti-inflammatory properties previously associated with thymol derivatives, the essential oil could be explored for use in the development of natural preservatives or therapeutic agents [13,29]. Furthermore, its complex aromatic composition suggests potential utility in fragrance formulations [27] or as a bioactive agent in pest management strategies.
3. Materials and Methods
3.1. General Experimental Procedures
All used chemicals and solvents were obtained from commercial sources (Sigma-Aldrich, St. Louis, MO, USA; Merck, Darmstadt, Germany; Fisher Scientific, Waltham, MA, USA) and used as received, except for the solvents, which were distilled and dried before use. Silica gel 60, particle size distribution 40–63 mm (Acros Organics, Geel, Belgium), was used for dry-column vacuum chromatography, whereas precoated Al silica gel plates (Merck, Darmstadt, Germany), Kieselgel 60 F254, 0.2 mm) were used for analytical TLC analyses. The TLC plates were visualized by spraying with 50% (v/v) aq. H2SO4 followed by brief heating. Elemental analyses (microanalysis of carbon, hydrogen, and oxygen) were carried out with a Carlo Erba Elemental Analyzer model 1106 (Carlo Erba Strumentazione, Milan, Italy). ATR-IR measurements (attenuated total reflectance) were carried out using a Thermo Nicolet model 6700 FTIR instrument (Waltham, MA, USA). UV spectra (in acetonitrile) were measured using a UV-1800 PC Shimadzu spectrophotometer (Tokyo, Japan). The melting points were determined on a Büchi Melting Point B-540 apparatus (Büchi Labortechnik AG, Flawil, Switzerland) and were uncorrected.
3.2. Gas Chromatography-Mass Spectrometry (GC-MS) Analyses
GC-MS analyses (3 repetitions) were carried out using a Hewlett-Packard 6890 N gas chromatograph equipped with a fused silica capillary column DB-5MS (5% polydiphenyl-siloxane and 95% polydimethylsiloxane, 30 m × 0.25 mm, film thickness 0.25 µm, Agilent Technologies, Palo Alto, CA, USA) and coupled with a 5975B mass selective detector from the same company. The injector and interface were operated at 250 and 300 °C, respectively. The oven temperature was raised from 70 to 290 °C at a heating rate of 5 °C/min, and the program ended with an isothermal period of 10 min. Helium was used as a carrier gas at 1.0 mL/min. The samples, 1.0 µL of essential oil/essential oil fraction/pure compound solutions in diethyl ether (ca. 1 mg of an essential oil sample per 1.0 mL of solvent), were injected in a pulsed split mode (the flow was 1.5 mL/min for the first 0.5 min and then set to 1.0 mL/min throughout the remainder of the analysis; split ratio 40:1). MS conditions were as follows: ionization voltage 70 eV, acquisition mass range m/z 35–650, scan time 0.32 s. The constituents were identified by comparison of their linear retention indices (relative to C9–C19 n-alkanes on a DB-5MS column) with the literature values and their mass spectra with those of authentic standards, as well as those from Wiley 11, NIST17, MassFinder 2.3, and a homemade MS library, with the spectra corresponding to pure substances and components of known oils, and wherever possible, by co-injection with an authentic sample [32]. The GC-MS analyses were also performed on an Agilent Technologies 7890B gas chromatograph equipped with an HP-Innowax capillary column (polyethylene glycol stationary phase, 30 m × 0.25 mm, film thickness 0.25 μm, Agilent Technologies, Santa Clara, CA, USA) and coupled with a 240-MS ion trap detector (Agilent Technologies, Santa Clara, CA, USA). The injector and interface were operated at 220 and 230 °C, respectively. The oven temperature was raised from 40 to 220 °C at a heating rate of 7 °C/min and then isothermally held for 10 min. Helium was used as a carrier gas at 1.0 mL/min. The samples were injected with a split ratio of 40:1. The MS conditions were as follows: trap, ion source, and manifold temperatures were 100, 180, and 50 °C, respectively, ionization energy 70 eV, acquisition mass range 35–500 amu, and scan data rate of 2.08 Hz. The linear retention indices on an HP-Innowax column were determined relative to the retention times of C10–C25 n-alkanes.
3.3. NMR Measurements
1H and 13C NMR spectra were recorded on a Bruker Avance III 400 MHz NMR spectrometer (Fällanden, Switzerland; 1H at 400 MHz, 13C at 100.6 MHz), equipped with a 5 mm dual 13C/1H probe head at 20 °C. All the NMR spectra were recorded in CDCl3 (Sigma-Aldrich, St. Louis, MO, USA) with tetramethylsilane (TMS) as an internal standard. Chemical shifts (δ) are reported in ppm and referenced to tetramethylsilane (δH = 0.00 ppm), or the (residual) solvent signal (CHCl3), and 13CDCl3, in 1H NMR and 13C NMR and heteronuclear 2D spectra, respectively. Scalar couplings are reported in Hertz (Hz). The acquired NMR experiments, both 1D and 2D, were recorded using standard Bruker built-in pulse sequences. 1H NMR full spin analysis of all products was performed by manually adjusting δH and J values to fit the experimentally available values and further optimized using MestReNova 11.0.3 software (Tools/Spin Simulation) [33]. This procedure led to a systematic refinement of all calculated NMR parameters until the simulation outcome was in excellent agreement (NRMSD < 0.05%) with these experimental data from the synthesized compounds. The values of chemical shifts and coupling constants were determined by a simulation of the 1H NMR spectrum (manual iterative full spin analysis).
3.4. Plant Material
The roots of Doronicum columnae were collected during the flowering stage in May 2021 in the Šar Mountains, Republic of Serbia, from a wild population. Voucher specimens were deposited in the Herbarium of the Faculty of Sciences and Mathematics, University of Niš, Serbia, under the acquisition number HMN-15655. The identity of the plant material was confirmed by a trained botanist, the herbarium custodian. The underground parts were separated, washed from the soil, dried, and weighed. The mass of the roots was 250 g.
3.5. Hydrodistillation
The dry underground parts (250 g) of D. columnae were subjected to hydrodistillation for 2.5 h using the original Clevenger-type apparatus and yielded 0.56% (w/w) of essential oil. The obtained essential oil was recovered with diethyl ether and dried with anhydrous magnesium sulfate. The solvent was evaporated under a gentle stream of nitrogen at room temperature, and the essential oil was then immediately analyzed by GC–MS.
3.6. Chromatography of the Essential Oil
The essential oil sample (1.35 g) was fractionated using gradient dry-column vacuum chromatography (starting from pure n-hexane and ending with a 4:1 mixture of n-hexane and Et2O, v/v). The fractions were pooled based on GC-MS and TLC analysis, and sixteen different fractions were obtained, with masses of: 5.0 mg (fr. 1), 3.4 mg (fr. 2), 4.2 mg (fr. 3), 2.6 mg (fr. 4), 97 mg (fr. 5), 54 mg (fr. 6), 1.01 g (fr. 7), 82 mg (fr. 8), 25 mg (fr. 9), 10 mg (fr. 10), 3.1 mg (fr. 11), 10 mg (fr. 12), 8.3 mg (fr. 13), 7 mg (fr. 14), 4.9 mg (fr. 15), and 15.6 mg (fr. 16).
3.7. Synthesis of 2-Methoxycuminol ((4-Isopropyl-2-methoxyphenyl)methanol)
3.7.1. O-Methylation of Carvacrol (1)
Carvacrol (1) (3.0 g, 0.02 mol) was dissolved in 50 mL of acetone, and 6.0 g (0.04 mol) of anhydrous potassium carbonate was added to the solution. Then, 3 mL of methyl iodide was added to the suspension, and the reaction mixture was stirred at room temperature for 24 h [29]. Acetone was removed under reduced pressure, and water was added to the residue. The mixture was extracted three times with diethyl ether; the combined organic layers were washed with an aqueous solution of sodium hydroxide and dried over anhydrous MgSO4. The solvent was removed under reduced pressure, and carvacryl methyl ether was obtained as a colorless liquid (3.0 g, 91%). The purity of the product was checked by TLC and GC–MS.
Carvacryl methyl ether: retention index (RI) = 1246 (DB-5MS column), MS (EI): in complete agreement with the values published by Schreiner et al., 2019 [34].
3.7.2. Benzylic Oxidation of Carvacryl Methyl Ether
A solution of carvacryl methyl ether (1.0 g, 6 mmol) in 20 mL of CH2Cl2 was cooled to 0 °C and to it was slowly added a solution of chromyl chloride (1.9 g, 12 mmol) in 20 mL of CH2Cl2 [35]. When all of the chromyl chloride was added, the mixture was stirred overnight at room temperature. The reaction mixture was quenched by pouring it into a stirred mixture of ice and a saturated aqueous solution of sodium sulfite. The mixture was extracted three times with CH2Cl2, and the combined organic layers were washed with an aqueous sodium chloride solution and dried over anhydrous MgSO4. The solvent was removed under reduced pressure, and the resulting residue was purified by column chromatography on silica gel using an n-hexane/Et2O mixture (19:1, v/v) as the eluent. 4-Isopropyl-2-methoxybenzaldehyde (2) was obtained as a yellowish liquid (178 mg, 16%). The purity of the product was checked by TLC and GC–MS.
4-Isopropyl-2-methoxybenzaldehyde (2): retention index (RI) = 1505 (DB-5MS column); UV (CH3CN) λmax(log ε) 317 (3.82), 259 (4.24), 217 (4.39), 203 (4.39) nm; FTIR (neat; cm−1) 2960, 2870, 1690, 1600, 1460, 1420, 1400, 1240, 1030, 820, 790; MS (EI), m/z (%) 178 (100), 177 (41), 163 (100), 160 (36), 135 (29), 119 (36), 105 (43), 103 (43), 91 (55), 77 (38); analyzed C 74.12, H 7.94, calculated for C11H14O2, C 74.13, H 7.92, O 17.95%; 1H NMR (CDCl3) δ 1.2761 (d, 3 J8,9/10 = 6.9, 6 H, CH3-9 and CH3-10), 2.9444 (septddd, 3 J8,9/10 = 6.9, 4 J3,8 = −0.6, 4 J5,8 = −0.5, 5 J6,8 = 0.3, 1 H, CH-8), 3.9365 (s, 3 H, CH3-11), 6.8201 (ddd, 4 J3,5 = 1.5, 4 J3,8 = −0.6, 5 J3,6 = 0.3, 1 H, CH-3), 6.9066 (dddd, 3 J5,6 = 8.0, 4 J3,5 = 1.5, 5 J5,7 = 0.7, 4 J5,8 = −0.5, 1 H, CH-5), 7.7633 (ddd, 3 J5,6 = 8.0, 5 J3,6 = 0.3, 5 J6,8 = 0.3, 1 H, CH-6), 10.4032 (d, 5 J5,7 = 0.7, 1 H, CH-7); 13C NMR (CDCl3) δ 23.72 (C-9, and C-10), 35.08 (C-8), 55.68 (C-11), 109.77 (C-3), 119.11 (C-5), 123.12 (C-1), 128.90 (C-6), 158.38 (C-4), 162.17 (C-2), 189.67 (C-7).
3.7.3. Reduction of 4-Isopropyl-2-methoxybenzaldehyde (2)
A mixture of 4-isopropyl-2-methoxybenzaldehyde (2) (100 mg, 0.56 mmol) and NaBH4 (115 mg, 3 mmol) in anhydrous methanol (20 mL) was stirred at room temperature for 2 h [29]. Then, the methanol was removed under reduced pressure, and the aqueous solution of hydrochloric acid (1 M) was added to the residue and the mixture was extracted with diethyl ether three times. The combined organic layers were washed with aqueous sodium chloride solution and dried over anhydrous MgSO4. The solvent was removed under reduced pressure, and 2-methoxycuminol ((4-isopropyl-2-methoxyphenyl)methanol) was obtained as a yellowish liquid (90 mg, 89%). The purity of the product was checked by TLC and GC–MS.
(4-Isopropyl-2-methoxyphenyl)methanol (syn. 2-methoxycuminol): retention index (RI) = 1611 (DB-5MS column); UV (CH3CN) λmax(log ε) 273 (3.17), 220 (3.74), 200 (4.33) nm; FTIR (neat; cm−1) 3370, 2960, 2370, 1610, 1590, 1470, 1420, 1250, 1040, 860, 830; MS (EI), m/z (%) 180 (100), 164 (44), 163 (49), 149 (63), 137 (78), 115 (56), 105 (35), 104 (41), 94 (38), 40 (33); analyzed C 73.32, H 8.96, calculated for C11H16O2, C 73.30, H 8.95, O 17.75%; 1H NMR (CDCl3) δ 1.2552 (d, 3 J8,9/10 = 6.9, 6 H, CH3-9 and CH3-10), 2.2814 (brs, 1 H, OH), 2.9004 (septddd, 3 J8,9/10 = 6.9, 4 J3,8 = −0.6, 4 J5,8 = −0.6, 5 J6,8 = 0.3, 1 H, CH-8), 3.8786 (s, 3 H, CH3-11), 4.6505 (ddd, 4 J6,7 = −0.6, 5 J3,7 = 0.3, 5 J5,7 = 0.3, 2 H, CH2-7), 6.7549 (dddt, 4 J3,5 = 1.6, 4 J3,8 = −0.6, 5 J3,6 = 0.3, 5 J3,7 = 0.3, 1 H, CH-3), 6.8141 (dddt, 3 J5,6 = 7.6, 4 J3,5 = 1.6, 4 J5,8 = −0.6, 5 J5,7 = 0.3, 1 H, CH-5), 7.1799 (dtdd, 3 J5,6 = 7.6, 4 J6,7 = −0.6, 5 J3,6 = 0.3, 5 J6,8 = 0.3, 1 H, CH-6); 13C NMR (CDCl3) δ 24.18 (C-9, and C-10), 34.49 (C-8), 55.33 (C-11), 62.27 (C-7), 108.80 (C-3), 118.50 (C-5), 126.58 (C-1), 128.99 (C-6), 150.53 (C-4), 157.64 (C-2).
3.8. Synthesis of 2-Methoxycuminol Esters
Esters of 2-methoxycuminol and isobutyric, 2-methylbutyric, and isovaleric acids were prepared according to the general Steglich approach (N,N′-dicyclohexylcarbodiimide (DCC)/4-(dimethylamino)pyridine (DMAP)) [29]. A solution of 2-methoxycuminol (20 mg, 0.11 mmol), the appropriate carboxylic acid (0.11 mmol), DMAP (5 mg, 0.04 mmol), and DCC (23 mg, 0.11 mmol) in 20 mL of dry CH2Cl2 were stirred overnight at room temperature. Then, the precipitated urea was filtered off, and the filtrate was concentrated under reduced pressure. The resulting residue was purified by column chromatography on silica gel using an n-hexane/Et2O mixture (19:1, v/v) as the eluent. The yield of the synthesized 2-methoxycuminyl isobutyrate (3) was 91% (25.2 mg), 2-methoxycuminyl 2-methylbutyrate (4) 87% (25.5 mg), and 2-methoxycuminyl isovalerate (5) 92% (27.0 mg). The purity of the product was checked by TLC and GC–MS.
4-Isopropyl-2-methoxybenzyl isobutyrate (syn. 2-methoxycuminyl isobutyrate (3)): retention index (RI) = 1750 (DB-5MS column); UV (CH3CN) λmax(log ε) 274 (3.48), 199 (4.76) nm; FTIR (neat; cm−1) 2950, 1740, 1610, 1590, 1470, 1260, 1190, 1150, 1030, 810; MS (EI), m/z (%) 250 (17), 179 (50), 163 (100), 147 (15), 133 (33), 117 (15), 105 (23), 91 (26), 43 (64), 41 (36); analyzed C 71.96, H 8.85, calculated for C15H22O3, C 71.97, H 8.86, O 19.17%; 1H NMR (CDCl3) δ 1.1854 (d, 3 J12,13/14 = 7.0, 6 H, CH3-13 and CH3-14), 1.2565 (d, 3 J8,9/10 = 6.9, 6 H, CH3-9 and CH3-10), 2.5921 (sept, 3 J12,13/14 = 7.0, 1 H, CH-12), 2.8997 (septddd, 3 J8,9/10 = 6.9, 4 J3,8 = −0.6, 4 J5,8 = −0.5, 5 J6,8 = 0.3, 1 H, CH-8), 3.8389 (s, 3 H, CH3-15), 5.1236 (ddd, 4 J6,7 = −0.5, 5 J3,7 = 0.3, 5 J5,7 = 0.3, 2 H, CH2-7), 6.7494 (ddt, 4 J3,5 = 1.6, 4 J3,8 = −0.6, 5 J3,7 = 0.3, 1 H, CH-3), 6.8199 (dddt, 3 J5,6 = 7.7, 4 J3,5 = 1.6, 4 J5,8 = −0.5, 5 J5,7 = 0.3, 1 H, CH-5), 7.2303 (dtd, 3 J5,6 = 7.7, 4 J6,7 = −0.5, 5 J6,8 = 0.3, 1 H, CH-6); 13C NMR (CDCl3) δ 19.21 (C-13, and C-14), 24.13 (C-9, and C-10), 34.19 (C-12), 34.50 (C-8), 55.49 (C-15), 61.76 (C-7), 109.02 (C-3), 118.35 (C-5), 122.06 (C-1), 129.65 (C-6), 150.91 (C-4), 157.65 (C-2), 177.33 (C-11).
4-Isopropyl-2-methoxybenzyl 2-methylbutyrate (syn. 2-methoxycuminyl 2-methylbutyrate (4)): retention index (RI) = 1835 (DB-5MS column); UV (CH3CN) λmax(log ε) 274 (3.36), 221 (3.92), 198 (5.36) nm; FTIR (neat; cm−1) 2960, 2360, 1730, 1614, 1581, 1460, 1419, 1257, 1180, 1147, 1039, 819; MS (EI), m/z (%) 264 (14), 179 (44), 164 (13), 163 (100), 133 (25), 117 (14), 105 (19), 91 (16), 57 (26), 41 (22); analyzed C 72.67, H 9.16, calculated for C16H24O3, C 72.69, H 9.15, O 18.16%; 1H NMR (CDCl3) δ 0.9017 (ddd, 3 J13A,14 = 7.5, 3 J13B,14 = 7.5, 4 J12,14 = 0.3, 3 H, CH3-14), 1.1578 (d, 3 J12,15 = 7.0, 3 H, CH3-15), 1.2553 (d, 3 J8,9/10 = 6.9, 6 H, CH3-9 and CH3-10), 1.4801 (dqd, 2 J13A,13B = −13.7, 3 J13B,14 = 7.5, 3 J12,13B = 6.5, 1 H, CH-13B), 1.7004 (ddq, 2 J13A,13B = −13.7, 3 J12,13A = 7.5, 3 J13A,14 = 7.5, 1 H, CH-13A), 2.4147 (dqdq, 3 J12,13A = 7.5, 3 J12,15 = 7.0, 3 J12,13B = 6.5, 4 J12,14 = 0.3, 1 H, CH-12), 2.8983 (septddd, 3 J8,9/10 = 6.9, 4 J3,8 = −0.6, 4 J5,8 = −0.5, 5 J6,8 = 0.3, 1 H, CH-8), 3.8342 (s, 3 H, CH3-16), 5.1252 (ddd, 4 J6,7 = −0.5, 5 J3,7 = 0.3, 5 J5,7 = 0.3, 2 H, CH2-7), 6.7470 (ddt, 4 J3,5 = 1.6, 4 J3,8 = −0.6, 5 J3,7 = 0.3, 1 H, CH-3), 6.8175 (dddt, 3 J5,6 = 7.7, 4 J3,5 = 1.6, 4 J5,8 = −0.5, 5 J5,7 = 0.3, 1 H, CH-5), 7.2316 (dtd, 3 J5,6 = 7.7, 4 J6,7 = −0.5, 5 J6,8 = 0.3, 1 H, CH-6); 13C NMR (CDCl3) δ 11.73 (C-14), 16.81 (C-15), 24.13 (C-9, and C-10), 27.00 (C-13), 34.50 (C-8), 41.26 (C-12), 55.45 (C-16), 61.71 (C-7), 109.00 (C-3), 118.33 (C-5), 122.06 (C-1), 129.76 (C-6), 150.94 (C-4), 157.68 (C-2), 176.93 (C-11).
4-Isopropyl-2-methoxybenzyl isovalerate (syn. 2-methoxycuminyl isovalerate (5)): retention index (RI) = 1845 (DB-5MS column); UV (CH3CN) λmax(log ε) 274 (3.36), 223 (3.89), 200 (5.19) nm; FTIR (neat; cm−1) 2960, 1730, 1600, 1580, 1460, 1420, 1290, 1260, 1170, 1040, 820; MS (EI), m/z (%) 264 (24), 180 (15), 179 (100), 163 (95), 147 (23), 137 (16), 133 (31), 117 (16), 105 (21), 91 (20); analyzed C 72.68, H 9.18, calculated for C16H24O3, C 72.69, H 9.15, O 18.16%; 1H NMR (CDCl3) δ 0.9535 (d, 3 J13,14/15 = 6.7, 6 H, CH3-14 and CH3-15), 1.2544 (d, 3 J8,9/10 = 6.9, 6 H, CH3-9 and CH3-10), 2.1232 (tsept, 3 J12,13 = 7.2, 3 J13,14/15 = 6.7, 1 H, CH-13), 2.2252 (d, 3 J12,13 = 7.2, 2 H, CH2-13), 2.8987 (septddd, 3 J8,9/10 = 6.9, 4 J3,8 = −0.6, 4 J5,8 = −0.5, 5 J6,8 = 0.3, 1 H, CH-8), 3.8380 (s, 3 H, CH3-16), 5.1237 (ddd, 4 J6,7 = −0.5, 5 J3,7 = 0.3, 5 J5,7 = 0.3, 2 H, CH2-7), 6.7494 (ddt, 4 J3,5 = 1.6, 4 J3,8 = −0.6, 5 J3,7 = 0.3, 1 H, CH-3), 6.8176 (dddt, 3 J5,6 = 7.7, 4 J3,5 = 1.6, 4 J5,8 = −0.5, 5 J5,7 = 0.3, 1 H, CH-5), 7.2350 (dtd, 3 J5,6 = 7.7, 4 J6,7 = −0.5, 5 J6,8 = 0.3, 1 H, CH-6); 13C NMR (CDCl3) δ 22.54 (C-14, and C-15), 24.12 (C-9, and C-10), 25.93 (C-13), 34.52 (C-8), 43.66 (C-12), 55.48 (C-16), 61.71 (C-7), 109.03 (C-3), 118.36 (C-5), 121.88 (C-1), 130.07 (C-6), 151.10 (C-4), 157.75 (C-2), 173.35 (C-11).
3.9. Synthesis of Thymohydroquinone
3.9.1. Synthesis of Thymoquinone (7)
To a solution of 15 g (0.10 mol) of thymol (6) in 100 mL of 96% ethanol was added 100 mL of concentrated hydrochloric acid (37%, w/w). This mixture was cooled to 0° C in a beaker set in an ice-salt bath, and to it was added 10 g (0.15 mol) of sodium nitrite in portions with vigorous stirring. Then, the bulk of the product was transferred to a flask containing 200 mL of cold water. The light-yellow crude nitrosothymol product was vacuum-filtered and washed with water [36]. It was then dissolved in a mixture of 15 mL of acetone and 150 mL of 2-methoxyethanol. After the nitrosothymol was dissolved, 47 mL of concentrated hydrochloric acid, 60 mL of distilled water, and 20 g (0.20 mol) of copper(I) chloride were added to it, and the mixture was refluxed for 45 min [37]. The reaction mixture was cooled and extracted three times with n-hexane. The combined organic layers were washed with an aqueous sodium hydroxide solution (10%, w/w) until it was colorless, then washed with a saturated solution of sodium chloride and dried over anhydrous magnesium sulfate. Thymoquinone (7) was obtained after the removal of the solvent under reduced pressure as yellow crystals (10 g, 61%). The purity of the product was checked by TLC and GC–MS.
Thymoquinone (7): retention index (RI) = 1255 (DB-5MS column); MS (EI): in complete agreement with the values published by Schreiner et al., 2019 [34].
3.9.2. Synthesis of Thymohydroquinone
Thymoquinone (7) (2 g, 12 mmol) was dissolved in glacial acetic acid (100 mL), and the mixture was stirred at room temperature for 4 h under a nitrogen atmosphere. Afterwards, 60 g of zinc powder was added [34]. The mixture was filtered, and the solvent was removed under reduced pressure. The residue was dissolved in water, and the aqueous layer was extracted three times with diethyl ether. The organic phase was separated and washed with brine. The solvent was removed under reduced pressure, and the product was obtained as a white solid (1.7 g, 84%). The purity of the product was checked by TLC and GC–MS.
Thymohydroquinone: retention index (RI) = 1560 (DB-5MS column); MS (EI): in complete agreement with the values published by Schreiner et al., 2019 [34].
3.10. Synthesis of Thymohydroquinone Esters
Mono- and diesters of thymohydroquinone with isobutyric and 2-methylbutyric acids were prepared in analogy to the synthesis of 2-methoxycuminyl esters. The amounts of substances used for synthesis: 500 mg (3 mmol) of thymohydroquinone, 3 mmol of the appropriate carboxylic acid, 80 mg (0.7 mmol) of DMAP, 620 mg (3 mmol) of DCC, and 30 mL of dry CH2Cl2 [29]. In this case, the eluent for chromatography was n-hexane/Et2O, 4:1 (v/v). The yield of 4-hydroxy-2-isopropyl-5-methylphenyl isobutyrate (8) was 10% (71 mg), 4-hydroxy-5-isopropyl-2-methylphenyl isobutyrate (10) was 15% (107 mg), 4-hydroxy-2-isopropyl-5-methylphenyl 2-methylbutyrate (9) was 8% (60 mg), and 4-hydroxy-5-isopropyl-2-methylphenyl 2-methylbutyrate (11) was 14% (105 mg).
4-Hydroxy-2-isopropyl-5-methylphenyl isobutyrate (syn. 6-hydroxythymyl isobutyrate (8)): yellowish liquid; retention index (RI) = 1769 (DB-5MS column); UV (CH3CN) λmax(log ε) 279 (3.32), 197 (4.51) nm; FTIR (neat; cm−1) 3439, 2963, 2873, 2359, 2341, 1752, 1727, 1627, 1517, 1456, 1412, 1387, 1342, 1254, 1171, 1140, 1059, 1032, 922, 886, 853, 819, 743, 585; MS (EI), m/z (%) 236 (8), 167 (10), 166 (100), 152 (8), 151 (82), 91 (7), 77 (9), 71 (8), 43 (26), 41 (10); analyzed C 71.15, H 8.55, calculated for C14H20O3, C 71.16, H 8.53, O 20.31%; 1H NMR (CDCl3) δ 1.1603 (d, 3 J8,9/10 = 6.9, 6 H, CH3-9 and CH3-10), 1.3271 (d, 3 J13,14/15 = 7.0, 6 H, CH3-13 and CH3-14), 2.1716 (dd, 4 J6,7 = −0.7, 5 J3,7 = 0.3, 3 H, CH3-7), 2.8132 (sept, 3 J13,14/15 = 7.0, 1 H, CH-12), 2.9050 (septdd, 3 J8,9/10 = 6.9, 4 J3,8 = −0.6, 5 J6,8 = 0.3, 1 H, CH-8), 4.8221 (brs, 1 H, OH), 6.6855 (qdd, 4 J6,7 = −0.7, 5 J3,6 = 0.3, 5 J6,8 = 0.3, 1 H, CH-6), 6.7164 (ddq, 4 J3,8 = −0.6, 5 J3,6 = 0.3, 5 J3,7 = 0.3, 1 H, CH-3); 13C NMR (CDCl3) δ 15.53 (C-7), 19.18 (C-13 and C-14), 23.03 (C-9, and C-10), 27.22 (C-8), 34.36 (C-12), 112.83 (C-3), 122.10 (C-1), 124.26 (C-6), 138.88 (C-4), 141.40 (C-5), 151.80 (C-2), 176.41 (C-11).
4-Hydroxy-5-isopropyl-2-methylphenyl isobutyrate (syn. 6-isobutyryloxythymol (10)): yellowish liquid; retention index (RI) = 1778 (DB-5MS column); UV (CH3CN) λmax(log ε) 279 (3.46), 197 (4.53) nm; FTIR (neat; cm−1) 3452, 2967, 2872, 2362, 2342, 1725, 1628, 1590, 1519, 1455, 1412, 1377, 1368, 1359, 1341, 1291, 1275, 1231, 1180, 1172, 1156, 1140, 1120, 1087, 1034, 997, 962, 925, 886, 821, 756, 734, 685, 571; MS (EI), m/z (%) 236 (6), 166 (100), 151 (86), 91 (6),79 (6), 77 (8), 71 (8), 43 (27), 41 (9); analyzed C 71.15, H 8.55, calculated for C14H20O3, C 71.16, H 8.53, O 20.31%; 1H NMR (CDCl3) δ 1.1853 (d, 3 J8,9/10 = 6.9, 6 H, CH3-9 and CH3-10), 1.3347 (d, 3 J12,13/14 = 7.0, 6 H, CH3-13 and CH3-14), 2.0268 (dd, 4 J6,7 = −0.7, 5 J3,7 = 0.3, 3 H, CH3-7), 2.8238 (sept, 3 J12,13/14 = 7.0, 1 H, CH-12), 3.1200 (septdd, 3 J8,9/10 = 6.9, 4 J3,8 = −0.6, 5 J6,8 = 0.3, 1 H, CH-8), 5.5035 (brs, 1 H, OH), 6.4482 (qdd, 4 J6,7 = −0.7, 5 J3,6 = 0.3, 5 J6,8 = 0.3, 1 H, CH-6), 6.7308 (ddq, 4 J3,8 = −0.6, 5 J3,6 = 0.3, 5 J3,7 = 0.3, 1 H, CH-3); 13C NMR (CDCl3) δ 15.84 (C-7), 19.22 (C-13 and C-14), 22.58 (C-9, and C-10), 26.90 (C-8), 34.32 (C-12), 117.58 (C-6), 119.31 (C-3), 127.61 (C-1), 133.44 (C-4), 142.77 (C-2), 150.70 (C-5), 176.49 (C-11).
4-Hydroxy-2-isopropyl-5-methylphenyl 2-methylbutyrate (syn. 6-hydroxythymyl 2-methylbutyrate (9)): yellowish liquid; retention index (RI) = 1861 (DB-5MS column); UV (CH3CN) λmax(log ε) 279 (3.43), 196 (4.71) nm; FTIR (neat; cm−1) 3432, 2964, 2933, 2875, 2360, 2342, 1751, 1724, 1626, 1592, 1500, 1456, 1410, 1380, 1363, 1262, 1233, 1165, 1129, 1065, 1034, 1006, 966, 907, 873, 818, 754; MS (EI), m/z (%) 250 (6), 167 (11), 166 (100), 152 (6), 151 (64), 137 (6), 91 (6), 77 (8), 57 (29), 41 (11); analyzed C 71.95, H 8.87, calculated for C15H22O3, C 71.97, H 8.86, O 19.17%. 1H NMR (CDCl3) δ 1.0299 (ddd, 3 J13A,14 = 7.5, 3 J13B,14 = 7.5, 4 J12,14 = 0.3, 3 H, CH3-14), 1.1607 (d, 3 J8,9/10 = 6.9, 6 H, CH3-9 and CH3-10), 1.3062 (d, 3 J12,15 = 7.0, 3 H, CH3-15), 1.6132 (dqd, 2 J13A,13B = −13.7, 3 J13B,14 = 7.5, 3 J12,13B = 6.5, 1 H, CH-13B), 1.8575 (ddq, 2 J13A,13B = −13.7, 3 J12,13A = 7.5, 3 J13A,14 = 7.5, 1 H, CH-13A), 2.1721 (dd, 4 J6,7 = −0.8, 5 J3,7 = 0.3, 3 H, CH3-7), 2.6268 (dqdq, 3 J12,13A = 7.5, 3 J12,15 = 7.0, 3 J12,13B = 6.5, 4 J12,14 = 0.3, 1 H, CH-12), 2.9189 (septdd, 3 J8,9/10 = 6.9, 4 J3,8 = −0.6, 5 J6,8 = 0.3, 1 H, CH-8), 4.7275 (brs, 1 H, OH), 6.6864 (ddq, 4 J3,8 = −0.6, 5 J3,6 = 0.3, 5 J3,7 = 0.3, 1 H, CH-3), 6.7059 (qdd, 4 J6,7 = −0.8, 5 J3,6 = 0.3, 5 J6,8 = 0.3, 1 H, CH-6); 13C NMR (CDCl3) δ 11.89 (C-14), 15.53 (C-7), 16.88 (C-15), 23.08 (C-9, and C-10), 26.89 (C-13), 27.16 (C-8), 41.45 (C-12), 112.81 (C-3), 122.08 (C-1), 124.26 (C-6), 138.93 (C-4), 141.38 (C-5), 151.79 (C-2), 175.99 (C-11).
4-Hydroxy-5-isopropyl-2-methylphenyl 2-methylbutyrate (syn. 6-(2-methylbutyryloxy)thymol (11)): yellowish liquid; retention index (RI) = 1876 (DB-5MS column); UV (CH3CN) λmax(log ε) 279 (3.42), 196 (4.63) nm; FTIR (neat; cm−1) 3451, 2963, 2932, 2875, 1752, 1725, 1626, 1517, 1456, 1412, 1379, 1363, 1339, 1296, 1255, 1227, 1168, 1140, 1066, 1007, 966, 909, 876, 853, 814, 742, 596; MS (EI), m/z (%) 250 (5), 167 (11), 166 (100), 152 (6), 151 (63), 91 (5), 79 (6), 77 (6), 57 (27), 41 (9); analyzed C 71.95, H 8.87, calculated for C15H22O3, C 71.97, H 8.86, O 19.17%; 1H NMR (CDCl3) δ 1.0354 (ddd, 3 J13A,14 = 7.5, 3 J13B,14 = 7.5, 4 J12,14 = 0.3, 3 H, CH3-14), 1.2178 (d, 3 J8,9/10 = 6.9, 6 H, CH3-9 and CH3-10), 1.3133 (d, 3 J12,15 = 7.0, 3 H, CH3-15), 1.6175 (dqd, 2 J13A,13B = −13.7, 3 J13B,14 = 7.5, 3 J12,13B = 6.5, 1 H, CH-13B), 1.8686 (ddq, 2 J13A,13B = −13.7, 3 J12,13A = 7.5, 3 J13A,14 = 7.5, 1 H, CH-13A), 2.0693 (dd, 4 J6,7 = −0.7, 5 J3,7 = 0.3, 3 H, CH3-7), 2.6302 (dqdq, 3 J12,13A = 7.5, 3 J12,15 = 7.0, 3 J12,13B = 6.5, 4 J12,14 = 0.3, 1 H, CH-12), 3.1252 (septdd, 3 J8,9/10 = 6.9, 4 J3,8 = −0.6, 5 J6,8 = 0.3, 1 H, CH-8), 4.7304 (brs, 1 H, OH), 6.5653 (qd, 4 J6,7 = −0.7, 5 J6,8 = 0.3, 1 H, CH-6), 6.7498 (dq, 4 J3,8 = −0.6, 5 J3,7 = 0.3, 1 H, CH-3); 13C NMR (CDCl3) δ 11.78 (C-14), 16.28 (C-7), 16.78 (C-15), 22.60 (C-9, and C-10), 26.59 (C-8), 26.78 (C-13), 41.23 (C-12), 112.75 (C-6), 119.41 (C-3), 127.39 (C-1), 135.69 (C-4), 142.70 (C-2), 154.30 (C-5), 175.25 (C-11).
3.11. Synthesis of O-Methyl Thymohydroquinone Monoesters
Methylation of the corresponding thymohydroquinone monoester was analogous to carvacrol. The amounts of substances used for synthesis: 20 mg (0.08 mmol) of thymohydroquinone monoester, 100 mg (0.72 mmol) of anhydrous potassium carbonate, 1 mL of methyl iodide and 20 mL of acetone [29]. The yield of 2-isopropyl-4-methoxy-5-methylphenyl isobutyrate (12) was 99% (21 mg), 5-isopropyl-4-methoxy-2-methylphenyl isobutyrate (14) was 94% (20 mg), 2-isopropyl-4-methoxy-5-methylphenyl 2-methylbutyrate (13) was 92% (19.5 mg), and 5-isopropyl-4-methoxy-2-methylphenyl 2-methylbutyrate (15) was 90% (19 mg).
2-Isopropyl-4-methoxy-5-methylphenyl isobutyrate (syn. 6-methoxythymyl isobutyrate (12)): white solid; retention index (RI) = 1691 (DB-5MS column); UV (CH3CN) λmax(log ε) 278 (3.39), 197 (4.65) nm; FTIR (neat; cm−1) 2961, 2916, 2873, 2850, 1744, 1619, 1504, 1468, 1458, 1441, 1399, 1387, 1369, 1346, 1303, 1267, 1199, 1176, 1152, 1135, 1089, 1051, 1004, 922, 895, 871‚ 847, 816, 756, 737, 675, 603; MS (EI): in complete agreement with the values published by Bolman et al., 1978 [38]; analyzed C 71.96, H 8.85, calculated for C15H22O3, C 71.97, H 8.86, O 19.17%; 1H NMR (CDCl3) δ 1.1988 (d, 3 J8,9/10 = 6.9, 6 H, CH3-9 and CH3-10), 1.3287 (d, 3 J13,14/15 = 7.0, 6 H, CH3-14 and CH3-15), 2.1616 (dd, 4 J6,7 = −0.8, 5 J3,7 = 0.4, 3 H, CH3-7), 2.8133 (sept, 3 J13,14/15 = 7.0, 1 H, CH-13), 2.9627 (septd, 3 J8,9/10 = 6.9, 4 J3,8 = −0.5, 1 H, CH-8), 3.8240 (s, 3 H, CH3-11), 6.7135 (dq, 4 J3,8 = −0.5, 5 J3,7 = 0.4, 1 H, CH-3), 6.7368 (q, 4 J6,7 = −0.8, 1 H, CH-6); 13C NMR (CDCl3) δ 15.92 (C-7), 19.19 (C-14 and C-15), 23.11 (C-9, and C-10), 27.54 (C-8), 34.35 (C-13), 55.75 (C-11), 107.81 (C-3), 124.18 (C-6), 125.12 (C-1), 138.02 (C-4), 141.08 (C-5), 155.75 (C-2), 176.28 (C-12).
5-Isopropyl-4-methoxy-2-methylphenyl isobutyrate (syn. 6-isobutyryloxythymyl methyl ether (14)): colorless liquid; retention index (RI) = 1711 (DB-5MS column); UV (CH3CN) λmax(log ε) 278 (3.37), 197 (4.62) nm; FTIR (neat; cm−1) 2961, 2872, 2364, 2338, 1975, 1751, 1620, 1504, 1464, 1400, 1386, 1344, 1249, 1194, 1173, 1130, 1090, 1060, 1047, 1007, 919, 887, 842, 815, 749, 620, 546; MS (EI): in complete agreement with the values published by Weyerstahl et al., 1993 [39]; analyzed C 71.96, H 8.85, calculated for C15H22O3, C 71.97, H 8.86, O 19.17%.; 1H NMR (CDCl3) δ 1.1762 (d, 3 J8,9/10 = 6.9, 6 H, CH3-9 and CH3-10), 1.3342 (d, 3 J12,13/14 = 7.0, 6 H, CH3-13 and CH3-14), 2.1210 (dd, 4 J6,7 = −0.7, 5 J3,7 = 0.3, 3 H, CH3-7), 2.8174 (sept, 3 J12,13/14 = 7.0, 1 H, CH-12), 3.2452 (septdd, 3 J8,9/10 = 6.9, 4 J3,8 = −0.6, 5 J6,8 = 0.3, 1 H, CH-8), 3.7984 (s, 3 H, CH3-15), 6.6652 (qdd, 4 J6,7 = −0.7, 5 J3,6 = 0.3, 5 J6,8 = 0.3, 1 H, CH-6), 6.7830 (ddq, 4 J3,8 = −0.6, 5 J3,6 = 0.3, 5 J3,7 = 0.3, 1 H, CH-6); 13C NMR (CDCl3) δ 16.30 (C-7), 19.26 (C-13 and C-14), 22.74 (C-9, and C-10), 26.70 (C-8), 34.30 (C-12), 55.81 (C-15), 112.86 (C-6), 119.50 (C-3), 127.49 (C-1), 135.83 (C-4), 142.81 (C-2), 154.42 (C-5), 175.78 (C-11).
2-Isopropyl-4-methoxy-5-methylphenyl 2-methylbutyrate (syn. 6-methoxythymyl 2-methylbutyrate (13)): colorless liquid; retention index (RI) = 1783 (DB-5MS column); UV (CH3CN) λmax(log ε) 278 (3.42), 197 (4.73) nm; FTIR (neat; cm−1) 2961, 2915, 2850, 2365, 2341, 2182, 2139, 2066, 2050, 2038, 2029, 2020, 2009, 2001, 1990, 1977, 1956, 1750, 1677, 1619, 1586, 1501, 1461, 1400, 1379, 1363, 1345, 1302, 1265, 1225, 1197, 1160, 1151, 1125, 1089, 1056, 1012, 964, 905, 870, 848, 813, 752, 720, 669, 548; MS (EI), m/z (%) 264 (5), 181 (12), 180 (100), 179 (5), 166 (6), 165 (56), 91 (8), 77 (5), 57 (19), 41 (7); analyzed C 72.70, H 9.12, calculated for C16H24O3, C 72.69, H 9.15, O 18.16%; 1H NMR (CDCl3) δ 1.0325 (ddd, 3 J14A,15 = 7.5, 3 J14B,15 = 7.5, 4 J13,15 = 0.3, 3 H, CH3-15), 1.1999 (d, 3 J8,9/10 = 6.9, 6 H, CH3-9 and CH3-10), 1.3092 (d, 3 J13,16 = 7.0, 3 H, CH3-16), 1.6148 (dqd, 2 J14A,14B = −13.7, 3 J14B,15 = 7.5, 3 J13,14B = 6.5, 1 H, CH-14B), 1.8620 (ddq, 2 J14A,14B = −13.7, 3 J13,14A = 7.5, 3 J14A,15 = 7.5, 1 H, CH-14A), 2.1631 (dd, 4 J6,7 = −0.8, 5 J3,7 = 0.4, 3 H, CH3-7), 2.6280 (dqdq, 3 J13,14A = 7.5, 3 J13,16 = 7.0, 3 J13,14B = 6.5, 4 J13,15 = 0.3, 1 H, CH-13), 2.9772 (septd, 3 J8,9/10 = 6.9, 4 J3,8 = −0.6, 1 H, CH-8), 3.8256 (s, 3 H, CH3-11), 6.7157 (dq, 4 J3,8 = −0.6, 5 J3,7 = 0.4, 1 H, CH-3), 6.7274 (q, 4 J6,7 = −0.8, 1 H, CH-6); 13C NMR (CDCl3) δ 11.90 (C-15), 15.93 (C-7), 16.90 (C-16), 23.16 (C-9, and C-10), 26.91 (C-14), 27.48 (C-8), 41.45 (C-13), 55.77 (C-11), 107.81 (C-3), 124.19 (C-6), 125.14 (C-1), 138.07 (C-4), 141.07 (C-5), 155.76 (C-2), 175.86 (C-12).
5-Isopropyl-4-methoxy-2-methylphenyl 2-methylbutyrate (syn. 6-(2-methylbutyryloxy)thymyl methyl ether (15)): colorless liquid; retention index (RI) = 1803 (DB-5MS column); UV (CH3CN) λmax(log ε) 278 (3.40), 197 (4.70) nm; FTIR (neat; cm−1) 2962, 2932, 2875, 1750, 1621, 1504, 1461, 1400, 1380, 1361, 1346, 1300, 1250, 1225, 1194, 1169, 1125, 1090, 1059, 1012, 965, 906, 876, 841, 812, 733, 546; MS (EI), m/z (%) 264 (3), 181 (11), 180 (100), 166 (2), 165 (62), 65 (1), 57 (18), 55 (2), 41 (4); analyzed C 72.70, H 9.14, calculated for C16H24O3, C 72.69, H 9.15, O 18.16%; 1H NMR (CDCl3) δ 1.0352 (ddd, 3 J13A,14 = 7.5, 3 J13B,14 = 7.5, 4 J12,14 = 0.3, 3 H, CH3-14), 1.1769 (d, 3 J8,9/10 = 6.9, 6 H, CH3-9 and CH3-10), 1.3133 (d, 3 J12,15 = 7.0, 3 H, CH3-15), 1.6169 (dqd, 2 J13A,13B = −13.7, 3 J13B,14 = 7.5, 3 J12,13B = 6.5, 1 H, CH-13B), 1.8704 (ddq, 2 J13A,13B = −13.7, 3 J12,13A = 7.5, 3 J13A,14 = 7.5, 1 H, CH-13A), 2.1303 (dd, 4 J6,7 = −0.7, 5 J3,7 = 0.4, 3 H, CH3-7), 2.6293 (dqdq, 3 J12,13A = 7.5, 3 J12,15 = 7.0, 3 J12,13B = 6.5, 4 J12,14 = 0.3, 1 H, CH-12), 3.2436 (septdd, 3 J8,9/10 = 6.9, 4 J3,8 = −0.6, 5 J6,8 = 0.4, 1 H, CH-8), 3.7968 (s, 3 H, CH3-16), 6.6660 (qdd, 4 J6,7 = −0.7, 5 J6,8 = 0.4, 5 J3,6 = 0.3, 1 H, CH-6), 6.7701 (dqd, 4 J3,8 = −0.6, 5 J3,7 = 0.4, 5 J3,6 = 0.3, 1 H, CH-3); 13C NMR (CDCl3) δ 11.90 (C-14), 16.40 (C-7), 16.91 (C-15), 22.71/22.73 (C-9, and C-10), 26.72 (C-8), 26.91 (C-13), 41.36 (C-12), 55.80 (C-16), 112.87 (C-6), 119.53 (C-3), 127.51 (C-1), 135.80 (C-4), 142.81 (C-2), 154.42 (C-5), 175.36 (C-11).
3.12. Synthesis of 2-(2-Methoxy-4-methylphenyl)propan-1-ol (19)
3.12.1. Acetylation of m-Cresol
The mixture of m-cresol (16) (10 g, 93 mmol), acetic anhydride (15 g, 147 mmol), and p-toluenesulfonic acid (0.5 g, 3 mmol) was refluxed for 30 min. Then, the reaction mixture was cooled, and the excess acetic anhydride was destroyed with an aqueous solution of sodium hydroxide (10%, w/w). The mixture was extracted three times with diethyl ether, and the combined organic layers were washed with a saturated aqueous sodium chloride solution and dried over anhydrous MgSO4. The solvent was removed under reduced pressure, and m-tolyl acetate was obtained as a colorless liquid (12.94 g, 93%). The purity of the product was checked by TLC and GC–MS.
m-Tolyl acetate: colorless liquid; MS (EI), m/z (%) 150 (16), 109 (7), 108 (100), 107 (45), 90 (7), 80 (7), 79 (14), 77 (18), 51 (6), 43 (13).
3.12.2. Fries Rearrangements of m-Tolyl Acetate
m-Tolyl acetate (11 g, 0.07 mol) was cooled in an ice/water bath, and 12 g (0.09 mol) of anhydrous aluminum chloride was added in portions. The mixture was then heated to 130 °C in an oil bath [40]. After all of the hydrogen chloride was released, the temperature was increased to 160 °C and maintained for 1.5 h. After cooling, a mixture of ice water and concentrated hydrochloric acid was added to the reaction mixture. The resulting mixture was extracted three times with n-hexane. The combined organic layers were washed with a saturated aqueous sodium chloride solution and dried over anhydrous MgSO4. The solvent was removed under reduced pressure, and the residue was purified by column chromatography on silica gel using an n-hexane/Et2O mixture (9:1, v/v) as the eluent. The yield of 2-hydroxy-4-methylacetophenone (17) was 8 g (73%). The purity of the product was confirmed by TLC and GC–MS.
2-Hydroxy-4-methylacetophenone: colorless liquid (17); MS (EI): in complete agreement with the values published by Schreiner et al., 2019 [34].
3.12.3. O-Methylation of 2-Hydroxy-4-methylacetophenone (17)
Methylation of 2-hydroxy-4-methylacetophenone (17) was analogous to that of carvacrol. The amounts of substances used for synthesis: 2 g (0.013 mol) of 2-hydroxy-4-methylacetophenone (17), 6 g (0.04 mol) of anhydrous potassium carbonate, 2 mL of methyl iodide, and 50 mL of acetone [29]. The compound 2-methoxy-4-methylacetophenone was obtained as a colorless liquid (2 g, 92%). The purity of the product was checked by TLC and GC–MS.
2-Methoxy-4-methylacetophenone: colorless liquid; MS (EI): in complete agreement with the values published by Montel et al., 2010 [41].
3.12.4. Synthesis of Methyltriphenylphosphonium Iodide
Triphenylphosphine (10 g, 0.04 mol) was dissolved in 100 mL of benzene, and 3 mL of methyl iodide was added to the solution dropwise [42]. The mixture was stirred for 24 h under an inert atmosphere of argon. Then, the mixture was vacuum filtered, and the precipitate was washed several times with n-hexane. The precipitate of methyltriphenylphosphonium iodide was dried in an oven at 145 °C and stored in a desiccator. The yield of methyltriphenylphosphonium iodide was 14.8 g (96%), Mp = 186.8 °C.
3.12.5. Synthesis of Dehydrothymyl Methyl Ether (2-Methoxy-4-methyl-1-(prop-1-en-2-yl)benzene)
An oven-dried 100 mL three-neck flask, equipped with a magnetic stirring bar and a rubber septum, was charged with methyltriphenylphosphonium iodide (6.1 g, 15 mmol). The flask was evacuated and backfilled with nitrogen. THF (40 mL) was added, and the mixture was cooled to 0 °C in an ice/water bath. n-BuLi (6.5 mL, 2.3 M in hexane) was added to the flask, followed by the dropwise addition of 2-methoxy-4-methylacetophenone (1.7 g, 10 mmol) [43]. The ice/water bath was then removed, and the reaction mixture was stirred overnight at room temperature. A saturated aqueous sodium chloride solution was added to the flask, and the mixture was extracted three times with diethyl ether. The combined organic layers were washed with a saturated aqueous sodium chloride solution and dried over anhydrous MgSO4. The solvent was removed under reduced pressure, and the residue was purified by column chromatography on silica gel using an n-hexane/Et2O mixture (19:1, v/v) as the eluent. The yield of dehydrothymyl methyl ether (18) was 1.2 g (71%). The purity of the product was confirmed by TLC and GC–MS.
8,9-Dehydrothymyl methyl ether (18): colorless liquid; retention index (RI) = 1252 (DB-5MS column); UV (CH3CN) λmax(log ε) 282 (3.39), 237 (3.90), 204 (4.45) nm; FTIR (neat; cm−1) 3078, 2918, 2362, 2342, 1631, 1608, 1570, 1503, 1463, 1405, 1369, 1307, 1271, 1250, 1191, 1169, 1138, 1096, 1039, 1005, 935, 891, 847, 813, 755, 727, 594, 580; MS (EI): in complete agreement with the values published by Du et al., 2004 [44]; analyzed C 81.45, H 8.71, calculated for C11H14O, C 81.44, H 8.70, O 9.86%; 1H NMR (CDCl3) δ 2.1036 (dd, 3 J9A,10 = −1.5, 3 J9B,10 = −0.9, 3 H, CH3-10), 2.3461 (ddd, 4 J6,7 = −0.8, 4 J2,7 = −0.6, 5 J5,7 = 0.3, 3 H, CH3-7), 3.8152 (s, 3 H, CH3-11), 5.0462 (dq, 2 J9A,9B = 2.4, 3 J9B,10 = −0.9, 1 H, CH-9B), 5.1203 (dq, 2 J9A,9B = 2.4, 3 J9A,10 = −1.5, 1 H, CH-9A), 6.6951 (dq, 4 J2,6 = 1.5, 4 J2,7 = −0.6, 1 H, CH-2), 6.7314 (ddq, 3 J5,6 = 7.6, 4 J2,6 = 1.5, 4 J6,7 = −0.8, 1 H, CH-6), 7.0739 (dq, 3 J5,6 = 7.6, 5 J5,7 = 0.3, 1 H, CH-5); 13C NMR (CDCl3) δ 21.61 (C-7), 23.44 (C-10), 55.51 (C-11), 111.87 (C-2), 114.89 (C-9), 121.18 (C-6), 129.27 (C-5), 129.95 (C-4), 138.48 (C-1), 144.24 (C-8), 156.60 (C-3).
3.12.6. Synthesis of 2-(2-Methoxy-4-methylphenyl)propan-1-ol (Syn. 9-Hydroxythymyl Methyl Ether (19))
In a 100 mL dry three-necked flask filled with argon and equipped with an internal thermometer, a magnetic stirrer and a dropping funnel, 10 mL of dry tetrahydrofuran (THF) was added, followed by 2.5 mmol (100 mg) of finely powdered sodium borohydride. The mixture was stirred until a fine suspension formed. After cooling with an ice-salt mixture to −5 °C, a solution of 1 mmol (254 mg) of iodine in 10 mL of dry THF was added dropwise. Subsequently, a solution of 2 mmol (324 mg) of dehydrothymol methyl ether (18) in 10 mL of dry THF was added over 10 min, keeping the temperature below 30 °C. The reaction mixture was stirred for 2 h at 25 °C, then cooled in an ice bath to 0 °C and mixed with 8 mL of water. To the mixture, 10 mL of THF and 10 mL of 3 M sodium hydroxide solution were added, followed by the dropwise addition of 4 mmol (136 mg, 0.45 mL) of 30% hydrogen peroxide with stirring [45]. Stirring was continued for 20 min after the addition was complete. The reaction mixture was transferred to a separatory funnel, and the reaction vessel was rinsed with 30 mL of diethyl ether. The aqueous phase was saturated with sodium chloride and extracted three times with 30 mL portions of diethyl ether. The combined organic phases were washed twice with 30 mL portions of saturated sodium chloride solution and dried over anhydrous magnesium sulfate. The solvent was removed under reduced pressure, and the residue was purified by column chromatography on silica gel using an n-hexane/Et2O mixture (4:1, v/v) as the eluent. The yield of 2-(2-methoxy-4-methylphenyl)propan-1-ol (19) was 200 mg (56%). The purity of the product was confirmed by TLC and GC–MS.
2-(2-Methoxy-4-methylphenyl)propan-1-ol (syn. 9-hydroxythymyl methyl ether (19)): colorless liquid; retention index (RI) = 1485 (DB-5MS column); UV (CH3CN) λmax(log ε) 281 (3.32), 275 (3.34), 221 (3.88), 200 (4.64) nm; FTIR (neat; cm−1) 3352, 2933, 2872, 2358, 2341, 1611, 1578, 1505, 1463, 1409, 1286, 1255, 1190, 1158, 1136, 1101, 1038, 1014, 976, 927, 846, 809, 714, 594; MS (EI), m/z (%) 180 (15), 150 (10), 149 (100), 134 (8), 119 (16), 117 (11), 115 (11), 105 (9), 91 (29), 77 (11); analyzed C 73.25, H 8.98, calculated for C11H16O2, C 73.30, H 8.95, O 17.75%; 1H NMR (CDCl3) δ 1.2410 (d, 3 J8,10 = 7.1, 3 H, CH3-10), 1.5521 (dd, 3 J9A,OH = 0.5, 3 J9B,OH = 0.5, 1 H, OH), 2.3376 (ddd, 4 J6,7 = −0.7, 4 J2,7 = −0.6, 5 J5,7 = 0.3, 3 H, CH3-7), 3.3846 (qdddd, 3 J8,10 = 7.1, 3 J8,9A = 7.1, 3 J8,9B = 6.1, 4 J5,8 = −0.5, 5 J2,8 = 0.4, 5 J6,8 = 0.4, 1 H, CH-8), 3.6713 (ddd, 2 J9A,9B = −10.5, 3 J8,9B = 6.1, 3 J9B,OH = 0.5, 1 H, CH-9B), 3.7077 (ddd, 2 J9A,9B = −10.5, 3 J8,9A = 7.1, 3 J9A,OH = 0.5, 1 H, CH-9A), 3.8137 (s, 3 H, CH3-11), 6.7008 (dqd, 4 J2,6 = 1.6, 4 J2,7 = −0.6, 5 J2,8 = 0.4, 1 H, CH-2), 6.7706 (ddqd, 3 J5,6 = 7.7, 4 J2,6 = 1.6, 4 J6,7 = −0.7, 5 J6,8 = 0.4, 1 H, CH-6), 7.0788 (ddq, 3 J5,6 = 7.7, 4 J5,8 = −0.5, 5 J5,7 = 0.3, 1 H, CH-5); 13C NMR (CDCl3) δ 16.77 (C-10), 21.56 (C-7), 35.08 (C-8), 55.49 (C-11), 68.08 (C-9), 111.73 (C-2), 121.49 (C-6), 127.26 (C-5), 128.78 (C-4), 137.47 (C-1), 157.33 (C-3).
3.13. Synthesis of 2-(2-Methoxy-4-methylphenyl)propan-1-ol Esters
Esters of 2-(2-methoxy-4-methylphenyl)propan-1-ol (19) with isobutyric and 2-methylbutyric acids were prepared in analogy to the synthesis of 2-methoxycuminyl esters [29]. The yield of 2-(2-methoxy-4-methylphenyl)propyl isobutyrate (20) was 95% (26.4 mg), and of 2-(2-methoxy-4-methylphenyl)propyl 2-methylbutyrate (21) was 91% (26.7 mg).
2-(2-Methoxy-4-methylphenyl)propyl isobutyrate (syn. 9-isobutyryloxythymyl methyl ether (20)): colorless liquid; retention index (RI) = 1716 (DB-5MS column); UV (CH3CN) λmax(log ε) 281 (3.32), 274 (3.33), 220 (3.88), 199 (4.64) nm; FTIR (neat; cm−1) 2969, 2934, 2874, 2363, 2341, 2042, 1991, 1974, 1731, 1612, 1580, 1507, 1465, 1411, 1389, 1342, 1287, 1259, 1190, 1157, 1096, 1072, 1041, 984, 928, 846, 809, 752, 713, 595; MS (EI): in complete agreement with the values published by Weremczuk-Jezyna et al., 2011 [30]; analyzed C 71.96, H 8.85, calculated for C15H22O3, C 71.97, H 8.86, O 19.17%; 1H NMR (CDCl3) δ 1.1174/1.1228 (d, 3 J12,13/14 = 7.0, 6 H, CH3-13 and CH3-14), 1.2548 (d, 3 J8,10 = 7.0, 3 H, CH3-10), 2.3289 (ddd, 4 J6,7 = −0.7, 4 J2,7 = −0.6, 5 J5,7 = 0.3, 3 H, CH3-7), 2.5054 (sept, 3 J12,13/14 = 7.0, 1 H, CH-12), 3.4845 (dqdddd, 3 J8,9B = 7.7, 3 J8,10 = 7.0, 3 J8,9A = 5.9, 4 J5,8 = −0.5, 5 J2,8 = 0.4, 5 J6,8 = 0.3, 1 H, CH-8), 3.8033 (s, 3 H, CH3-15), 4.1083 (dd, 2 J9A,9B = −10.6, 3 J8,9B = 7.7, 1 H, CH-9B), 4.1977 (dd, 2 J9A,9B = −10.6, 3 J8,9A = 5.9, 1 H, CH-9A), 6.6744 (dqd, 4 J2,6 = 1.6, 4 J2,7 = −0.6, 5 J2,8 = 0.4, 1 H, CH-2), 6.7352 (ddqd, 3 J5,6 = 7.7, 4 J2,6 = 1.6, 4 J6,7 = −0.7, 5 J6,8 = 0.3, 1 H, CH-6), 7.0569 (ddq, 3 J5,6 = 7.7, 4 J5,8 = −0.5, 5 J5,7 = 0.3, 1 H, CH-5); 13C NMR (CDCl3) δ 17.07 (C-10), 19.10/19.12 (C-13 and C-14), 21.57 (C-7), 31.98 (C-8), 34.20 (C-12), 55.39 (C-15), 68.39 (C-9), 111.55 (C-2), 121.16 (C-6), 127.35 (C-5), 128.30 (C-4), 137.45 (C-1), 157.12 (C-3), 177.28 (C-11).
2-(2-Methoxy-4-methylphenyl)propyl 2-methylbutyrate (syn. 9-(2-methylbutyryloxy)thymyl methyl ether (21)): colorless liquid; retention index (RI) = 1801 (DB-5MS column); UV (CH3CN) λmax(log ε) 281 (3.29), 274 (3.30), 220 (3.85), 199 (4.61) nm; FTIR (neat; cm−1) 2966, 2934, 2876, 2362, 2339, 1730, 1612, 1580, 1507, 1461, 1412, 1386, 1287, 1260, 1181, 1146, 1080, 1041, 1012, 979, 928, 846, 809, 751, 669, 595; MS (EI), in complete agreement with the values published by Weremczuk-Jezyna et al., 2011 [30]; analyzed C 72.70, H 9.12, calculated for C16H24O3, C 72.69, H 9.15, O 18.16%; 1H NMR (CDCl3) δ 0.8560/0.8460 (ddd, 3 J13A,14 = 7.5, 3 J13B,14 = 7.5, 4 J12,14 = 0.3, 3 H, CH3-14), 1.0962/1.0927 (d, 3 J12,15 = 7.0, 3 H, CH3-15), 1.2559 (d, 3 J8,10 = 7.0, 3 H, CH3-10), 1.4272/1.4199 (dqd, 2 J13A,13B = −13.7, 3 J13B,14 = 7.5, 3 J12,13B = 6.5, 1 H, CH-13B), 1.6333/1.6276 (ddq, 2 J13A,13B = −13.7, 3 J12,13A = 7.5, 3 J13A,14 = 7.5, 1 H, CH-13A), 2.3276 (ddd, 4 J6,7 = −0.7, 4 J2,7 = −0.6, 5 J5,7 = 0.3, 3 H, CH3-7), 2.3326/2.3288 (dqdq, 3 J12,13A = 7.5, 3 J12,15 = 7.0, 3 J12,13B = 6.5, 4 J12,14 = 0.3, 1 H, CH-12), 3.4820 (dqdddd, 3 J8,9B = 7.7, 3 J8,10 = 7.0, 3 J8,9A = 6.0, 4 J5,8 = −0.5, 5 J2,8 = 0.4, 5 J6,8 = 0.3, 1 H, CH-8), 3.8032 (s, 3 H, CH3-16), 4.1167/4.1099 (dd, 2 J9A,9B = −10.6, 3 J8,9B = 7.7, 1 H, CH-9B), 4.2219/4.2078 (dd, 2 J9A,9B = −10.6, 3 J8,9A = 6.0, 1 H, CH-9A), 6.6729 (dqd, 4 J2,6 = 1.6, 4 J2,7 = −0.6, 5 J2,8 = 0.4, 1 H, CH-2), 6.7331 (ddqd, 3 J5,6 = 7.7, 4 J2,6 = 1.6, 4 J6,7 = −0.7, 5 J6,8 = 0.3, 1 H, CH-6), 7.0559 (ddq, 3 J5,6 = 7.7, 4 J5,8 = −0.5, 5 J5,7 = 0.3, 1 H, CH-5); 13C NMR (CDCl3) δ 11.72/11.69 (C-14), 16.72 (C-15), 17.16/17.14 (C-10), 21.56 (C-7), 26.87/26.85 (C-13), 32.02 (C-8), 41.29/41.27 (C-12), 55.39 (C-16), 68.31 (C-9), 111.55 (C-2), 121.17 (C-6), 127.37 (C-5), 128.33/128.31 (C-4), 137.44 (C-1), 157.12 (C-3), 176.89 (C-11).
3.14. Synthesis of 4-Isopropyl-3-methoxybenzaldehyde (Syn. 3-Methoxycuminaldehyde (24))
A solution of 3-methoxycuminol (22) (50 mg, 0.28 mmol) and PCC (90 mg, 0.42 mmol) in 20 mL of dry CH2Cl2 was stirred at room temperature for 2 h [46]. Then, the mixture was filtered over silica gel, and the filtrate was concentrated under reduced pressure. The yield of 4-isopropyl-3-methoxybenzaldehyde (24) (40 mg) was 81%.
4-Isopropyl-3-methoxybenzaldehyde (syn. 3-methoxycuminaldehyde (24)): yellowish liquid; retention index (RI) = 1435 (DB-5MS column); UV (CH3CN) λmax(log ε) 310 (3.57), 262 (4.02), 222 (4.22), 200 (4.08) nm; FTIR (neat; cm−1) 2960, 2927, 2870, 2722, 2364, 2338, 1687, 1602, 1577, 1497, 1461, 1419, 1386, 1361, 1300, 1285, 1257, 1190, 1151, 1115, 1091, 1061, 1037, 964, 866, 820, 780, 734, 627, 593, 565; MS (EI), in complete agreement with the values published by Warning et al., 1988 [47]; analyzed C 74.14, H 7.93, calculated for C11H14O2, C 74.13, H 7.92, O 17.95%; 1H NMR (CDCl3) δ 1.2329 (d, 3 J8,9/10 = 6.9, 6 H, CH3-9 and CH3-10), 3.3799 (septddd, 3 J8,9/10 = 6.9, 4 J5,8 = −0.5, 5 J2,8 = 0.3, 5 J6,8 = 0.3, 1 H, CH-8), 3.8997 (s, 3 H, CH3-11), 7.3568 (dddd, 4 J2,6 = 1.6, 5 J2,5 = 0.3, 4 J2,7 = −0.3, 5 J2,8 = 0.3, 1 H, CH-2), 7.3752 (ddd, 3 J5,6 = 7.7, 4 J5,8 = −0.5, 5 J2,5 = 0.3, 1 H, CH-5), 7.4301 (dddd, 3 J5,6 = 7.7, 4 J2,6 = 1.6, 4 J6,7 = −0.3, 5 J6,8 = 0.3, 1 H, CH-6), 9.9366 (dd, 4 J2,7 = −0.3, 4 J6,7 = −0.3, 1 H, CH-7); 13C NMR (CDCl3) δ 22.45 (C-9, and C-10), 27.32 (C-8), 55.63 (C-11), 108.47 (C-2), 124.92 (C-6), 126.52 (C-5), 135.54 (C-1), 145.06 (C-4), 157.47 (C-3), 192.19 (C-7).
3.15. Synthesis of Methyl-4-isopropyl-3-methoxybenzoate (Syn. Methyl 3-Methoxycuminate (23))
3.15.1. Oxidation of 3-Methoxycuminol with the Jones Reagent
Chromium trioxide (2.5 g, 25 mmol) was dissolved in 7.5 mL water in an Erlenmeyer flask, and concentrated sulfuric acid (2.5 mL) was added slowly with careful stirring in an ice/water bath. The compound 3-methoxycuminol (22) (33 mg, 0.18 mmol) was dissolved in 10 mL acetone, and to this solution was added dropwise the Jones reagent (0.1 mL, 0.25 mmol) at 0 °C [48]. After being stirred for 2 h at room temperature, the mixture was diluted with water, and most of the acetone was evaporated under reduced pressure. The residue was extracted with diethyl ether, and the combined organic layers were washed with a saturated aqueous NaHCO3 solution. The combined aqueous layers were acidified with a 2 M aqueous HCl solution to pH 3 and then extracted again with diethyl ether. The extract was successively washed with water and brine, dried (MgSO4), and concentrated under reduced pressure. The yield of 4-isopropyl-3-methoxybenzoic acid (28 mg) was 79%.
4-Isopropyl-3-methoxybenzoic acid (syn. 3-methoxycumic acid): white solid; analyzed C 68.04, H 7.26, calculated for C11H14O3, C 68.02, H 7.27, O 24.71%; 1H NMR (CDCl3) δ 1.2315 (d, 3 J8,9/10 = 6.9, 6 H, CH3-9 and CH3-10), 3.3770 (septddd, 3 J8,9/10 = 6.9, 5 J2,8 = 0.5, 4 J5,8 = −0.5, 5 J6,8 = 0.5, 1 H, CH-8), 3.9016 (s, 3 H, CH3-11), 7.3036 (ddd, 3 J5,6 = 7.9, 4 J5,8 = −0.5, 5 J2,5 = 0.3, 1 H, CH-5), 7.5560 (ddd, 4 J2,6 = 1.6, 5 J2,8 = 0.5, 5 J2,5 = 0.3, 1 H, CH-2), 7.7109 (ddd, 3 J5,6 = 7.9, 4 J2,6 = 1.6, 5 J6,8 = 0.5, 1 H, CH-6), 11.5910 (brs, 1 H, COOH); 13C NMR (CDCl3) δ 22.51 (C-9, and C-10), 27.19 (C-8), 55.66 (C-11), 111.43 (C-2), 123.13 (C-6), 126.18 (C-5), 127.65 (C-1), 143.89 (C-4), 156.84 (C-3), 171.73 (C-7).
3.15.2. Esterification of 4-Isopropyl-3-methoxybenzoic Acid with Diazomethane
The solution of 4-isopropyl-3-methoxybenzoic acid (28 mg, 0.15 mmol) in diethyl ether was treated with a solution of diazomethane dropwise until the evolution of gas ceased [49]. After that, diethyl ether was removed under reduced pressure. The yield of methyl 4-isopropyl-3-methoxybenzoate (23) (30 mg) was quantitative.
Methyl 4-isopropyl-3-methoxybenzoate (syn. methyl 3-methoxycuminate (23)): yelowish liquid; retention index (RI) = 1564 (DB-5MS column); UV (CH3CN) λmax(log ε) 294 (2.60), 246 (3.07), 212 (3.46) nm; FTIR (neat; cm−1) 2958, 2870, 1719, 1637, 1608, 1578, 1502, 1451, 1434, 1409, 1351, 1288, 1268, 1227, 1190, 1176, 1106, 1091, 1037, 901, 899, 874, 837, 786, 765, 744, 630; MS (EI), m/z (%) 208 (31), 194 (12), 193 (100), 177 (10), 131 (8), 115 (8), 103 (9), 91 (22), 77 (8), 59 (8); analyzed C 69.22, H 7.75, calculated for C12H16O3, C 69.21, H 7.74, O 23.05%; 1H NMR (CDCl3) δ 1.2161 (d, 3 J8,9/10 = 6.9, 6 H, CH3-9 and CH3-10), 3.3523 (septddd, 3 J8,9/10 = 6.9, 4 J5,8 = −0.5, 5J6,8 = 0.5, 5 J2,8 = 0.5, 1 H, CH-8), 3.8837 (s, 3 H, CH3-12), 3.9067 (s, 3 H, CH3-11), 7.2595 (ddd, 3 J5,6 = 7.9, 4 J5,8 = −0.5, 5 J2,5 = 0.3, 1 H, CH-5), 7.4988 (ddd, 4 J2,6 = 1.6, 5 J2,8 = 0.5, 5 J2,5 = 0.3, 1 H, CH-2), 7.6186 (ddd, 3 J5,6 = 7.9, 4 J2,6 = 1.6, 5 J6,8 = 0.5, 1 H, CH-6); 13C NMR (CDCl3) δ 22.53 (C-9, and C-10), 27.09 (C-8), 52.19 (C-11), 55.64 (C-12), 111.06 (C-2), 122.32 (C-6), 126.02 (C-5), 128.63 (C-1), 142.79 (C-4), 156.76 (C-3), 167.38 (C-7).
4. Conclusions
In conclusion, the essential oil of Doronicum columnae roots was subjected to comprehensive chemical analysis, resulting in the identification of 83 components, representing 98.1% of the total composition. Oxygenated monoterpenoids and sesquiterpene hydrocarbons emerged as the predominant classes, with thymyl isobutyrate and thymyl 2-methylbutyrate identified as the principal constituents. In this study, our main focus was on a less abundant class of related and isomeric compounds that proved impossible to be distinguished by means of mass spectra or retention indices alone. These were, namely, a group of multiply oxygenated aromatic isomers related to p-cymene, thymol, and carvacrol—the dominant constituents of the essential oil. To identify as many essential oil constituents as possible in such a complex mixture, we opted for a multifaceted approach, starting from reasoning based on biosynthetic relationships and structure-retention index correlations, followed by chromatographic separation. After obtaining a fraction rich in the unknown constituents, detailed GC-MS and NMR analyses hinted towards the presence of certain structural motifs, which guided our synthesis efforts. As a result, a small synthetic library of esters of 2-methoxycuminol, 3-methoxycuminol, 6-methoxythymol, 6-hydroxythymyl methyl ether, and 9-hydroxythymyl methyl ether was prepared (12 compounds in total). Among them, the esters of 2-methoxycuminol (isobutyrate (3), 2-methylbutyrate (4), and isovalerate (5)), 6-methoxythymyl 2-methylbutyrate (13), and 6-(2-methylbutyryloxy)thymyl methyl ether (15) represent newly identified, synthesized, and spectrally characterized natural products. Additionally, methyl 3-methoxycuminate (24), which is another new natural product, was tentatively identified through detailed NMR analysis of an essential oil fraction and later definitively confirmed as a constituent by GC co-chromatography of the synthesized standard with an essential oil sample. Looking ahead, it seems that the investigation or reanalysis of Doronicum species using the proposed methodology has great potential, especially considering the critical role of minor constituents in essential oil chemistry and pharmacology. The results of this study further expand the already significant molecular diversity of Doronicum secondary metabolites and related compounds. It would not be surprising if future research on such essential oils returns further new oxygenated aromatic derivatives and other distinctive compounds.
Supplementary Materials
The following supporting information can be downloaded at: https://www.mdpi.com/article/10.3390/molecules30020302/s1, Figures S1–S96 and Tables S1–S23.
Author Contributions
Conceptualization, N.S.R.; Methodology, N.S.R. and M.Ž.D.; Software, M.D.N., M.Ž.D. and M.Z.M.; Formal Analysis, N.S.R., M.S.D. and M.Z.M.; Investigation, M.D.N., M.Ž.D. and M.Z.M.; Data Curation, N.S.R., M.Ž.D., M.D.N. and M.Z.M.; Writing—Original Draft Preparation, M.D.N., M.S.D., M.Ž.D., M.Z.M. and V.N.R.; Writing—Review and Editing, N.S.R., M.S.D. and V.N.R.; Supervision, N.S.R.; Funding Acquisition, N.S.R. All authors have read and agreed to the published version of the manuscript.
Funding
This work was supported by the Ministry of Science, Technological Development, and Innovation of the Republic of Serbia (Grant Nos. 451-03-66/2024-03/200124 and 451-03-65/2024-03/200124).
Institutional Review Board Statement
Not applicable.
Informed Consent Statement
Not applicable.
Data Availability Statement
Data are contained within the article and supplementary materials.
Conflicts of Interest
All authors declare that there are no conflicts of interest regarding this submission.
References
- Badalamenti, N.; Modica, A.; Ilardi, V.; Bruno, M. Chemical Constituents and Biological Properties of Genus Doronicum (Asteraceae). Chem. Biodivers. 2021, 18, e2100631. [Google Scholar] [CrossRef] [PubMed]
- Josifović, M. (Ed.) Flora SR Srbije; Srpska Akademija Nauka i Umetnosti: Belgrade, Serbia, 1975. [Google Scholar]
- Shaimerdenova, Z.R.; Makubaeva, A.I.; Ozek, T.; Ozek, G.; Atazhanova, G.A.; Adekenov, S.M. Volatile Constituents of Doronicum altaicum. Chem. Nat. Compd. 2019, 55, 968–969. [Google Scholar] [CrossRef]
- Lazarević, J.; Radulović, N.; Palić, R.; Zlatković, B. Chemical Composition of the Essential Oil of Doronicum austriacum Jacq. Subsp. giganteum (Griseb) Stoj. Et Stef. (Compositae) from Serbia. J. Essent. Oil Res. 2019, 21, 507–510. [Google Scholar] [CrossRef]
- Akpinar, K.; Yildirim, N.; Ucuncu, O.; Yayli, N.; Terziogly, S.; Yayli, N. Volatile Constituents of the Flowers and Leaves-Stems of Three Doronicum Taxa from Turkey. Asian J. Chem. 2009, 21, 1225–1229. [Google Scholar]
- Paolini, J.; Muselli, A.; Bernardini, A.F.; Bighelli, A.; Casanova, J.; Costa, J. Thymol Derivatives from Essential Oil of Doronicum corsicum L. Flavour Fragr. J. 2007, 22, 479–487. [Google Scholar] [CrossRef]
- Özcan, K. Antibacterial, Antioxidant and Enzyme Inhibition Activity Capacities of Doronicum macrolepis (Freyn & Sint): An Endemic Plant from Turkey. Saudi Pharm. J. 2020, 28, 95–100. [Google Scholar] [CrossRef]
- David, J.R. The Biology and Chemistry of the Compositae. In The Biology and Chemistry of the Compositae; Heywood, V.H., Harborne, J.B., Turner, B.L., Eds.; Academic Press: London, UK; New York, NY, USA, 1977; Volume II, pp. 831–850. [Google Scholar]
- Bohlmann, F.; Zdero, C. Neue Thymol-Derivate aus Arnica amplexicaulis. Tetrahedron Lett. 1972, 28, 2827–2828. [Google Scholar] [CrossRef]
- Willuhn, G.; Junior, I.; Wendisch, D. Desmethoxy-encecalin and Thymol Derivative from Arnica sachalinensis. Planta Med. 1986, 52, 349–351. [Google Scholar] [CrossRef]
- Passreiter, C.M.; Matthiesen, U.; Willuhn, G. 10-Acetoxy-9-chloro-8,9-dehydrothymol and Further Thymol Derivatives from Arnica sachalinensis. Phytochemistry 1998, 49, 777–781. [Google Scholar] [CrossRef]
- Passreiter, C.M.; Florack, M.; Willuhn, G.; Goerz, G. Allergic Contact Dermatitis Caused by Asteraceae. Identification of an 8,9-Epoxythymol-Diester as the Contact Allergen of Arnica sachalinensis. Derm. Beruf Umwelt. 1988, 36, 79–82. [Google Scholar] [PubMed]
- Mączka, W.; Twardawska, M.; Grabarczyk, M.; Wińska, K. Carvacrol—A Natural Phenolic Compound with Antimicrobial Properties. Antibiotics 2023, 12, 824. [Google Scholar] [CrossRef]
- Bohlmann, F.; Zdero, C. Neue Benzofuranderivate aus Doronicum austriacum Jacq. Tetrahedron Lett. 1970, 11, 3575–3576. [Google Scholar] [CrossRef]
- Bohlmann, F.; Dhar, A.K.; Ahmed, M. Thymol Derivatives from Doronicum hungaricum. Phytochemistry 1980, 19, 1850–1851. [Google Scholar] [CrossRef]
- Bohlmann, F.; Grenz, M. Neue Tremeton-derivate aus Doronicum macrophyllum. Phytochemistry 1979, 18, 179–181. [Google Scholar] [CrossRef]
- Bohlmann, F.; Abraham, W.R. Ein neuer Sesquiterpenalkohol und andere Inhaltsstoffe aus Doronicum pardalianches. Phytochemistry 1979, 18, 668–671. [Google Scholar] [CrossRef]
- Reynaud, J.; Becchi, M.; Raynaud, J. p-Hydroxyacetophenone Derivatives from Doronicum grandiflorum. J. Nat. Prod. 1985, 48, 331. [Google Scholar] [CrossRef]
- Clarke, C.B.; Yadava, R.N.; Patil, G. Isolation and Characterization of a New Allelochemical from the Flower of Doronicum hookeri. Res. J. Chem. Environ. 2013, 17, 22–25. [Google Scholar]
- Alieva, S.A.; Omurkamzinova, V.B.; Glyzin, V.I. Flavonoids of Doronicum macrophyllum and D. oblongifolium. Chem. Nat. Compd. 1979, 15, 82. [Google Scholar] [CrossRef]
- Reynaud, J.; Raynaud, J. Les Flavonoïdes de Doronicum grandiflorum. Biochem. Syst. Ecol. 1986, 14, 191–193. [Google Scholar] [CrossRef]
- Arumugam, R.; Sarikurkcu, C.; Ozer, M.S. Comparison of Methanolic Extracts of Doronicum orientale and Echium angustifolium in Terms of Chemical Composition and Antioxidant Activities. Biocatal. Agric. Biotechnol. 2021, 33, 101984. [Google Scholar] [CrossRef]
- Šilić, Č. Šumske Zeljaste Biljke; Svjetlost: Sarajevo Bosnia and Herzegovina; Zavod za udžbenike: Beograd, Serbia, 1990. [Google Scholar]
- Mroczek, T.; Glowniak, K.; Wlaszcszyk, A. Simultaneous Determination of N-Oxides and Free Bases of Pyrrolizidine Alkaloids by Cation-Exchange Solid-Phase Extraction and Ion-Pair High-Performance Liquid Chromatography. J. Chromatogr. A 2002, 949, 249. [Google Scholar] [CrossRef] [PubMed]
- Stojanovic, G.S.; Mitic, V.D.; Stankov-Jovanovic, V.P.; Ilic, M.D.; Jovanovic, O.P.; Petrovic, G.M. Antioxidant Characteristics of Selected Plant Species Growing under Post-Fire Environmental Conditions. Oxid. Commun. 2013, 36, 26–32. [Google Scholar]
- Markovic, M.S.; Ilic, B.S.; Miladinovic, D.L.; Stamenkovic, S.M.; Trajkovic, R.; Stankov-Jovanovic, V.P.; Djelic, G.T. Activity of a Catalase Enzyme in Plants from the Burned Areas of the Vidlic Mountain Beech Forest. Oxid. Commun. 2015, 38, 860–868. [Google Scholar]
- Cerutti-Delasalle, C.; Mehiri, M.; Cagliero, C.; Rubiolo, P.; Bicchi, C.; Meierhenrich, U.J.; Baldovini, N. The (+)-cis- and (+)-trans-Olibanic Acids: Key Odorants of Frankincense. Angew. Chem. Int. Ed. 2016, 55, 13719–13723. [Google Scholar] [CrossRef]
- NIST 17; Mass Spectral Library (NIST/EPA/NIH). National Institute of Standards and Technology: Gaithersburg, MD, USA, 2017.
- Radulović, N.S.; Mladenović, M.Z.; Vukićević, D.R.; Stojanović, N.M.; Randjelović, P.J.; Stojanović-Radić, Z.Z.; Boylan, F. Pulicaria dysenterica (L.) Bernh.—Rightfully Earned Name? Identification and Biological Activity of New 3-Methoxycuminyl Esters from P. dysenterica Essential Oil. Plants 2022, 11, 3340. [Google Scholar] [CrossRef]
- Weremczuk-Jeżyna, I.; Wysokińska, H.; Kalemba, D. Constituents of the Essential Oil from Hairy Roots and Plant Roots of Arnica montana L. J. Essent. Oil Res. 2011, 23, 91–97. [Google Scholar] [CrossRef]
- Weyerstahl, P.; Marschall, H.; Seelmann, I.; Kaul, V.K. Constituents of the Flower Essential Oil of Ageratina adenophora (Spreng.) K. et R. from India. Flavour Fragr. J. 1997, 12, 387–396. [Google Scholar] [CrossRef]
- Mladenović, M.Z.; Radulović, N.S. The Essential Oil of Achillea ageratifolia (Sm.) Boiss. subsp. serbica (Nyman) Heimerl (Asteraceae) Revisited: The Stereochemical Nomenclature Issues, Structural Elucidation, and Synthesis of (New) Sabinyl Esters. Flavour Fragr. J. 2017, 32, 5–23. [Google Scholar] [CrossRef]
- Radulović, N.S.; Filipović, S.I.; Nešić, M.S.; Stojanović, N.M.; Mitić, K.V.; Mladenović, M.Z.; Ranđelović, V.N. Immunomodulatory Constituents of Conocephalum conicum (Snake Liverwort) and the Relationship of Isolepidozenes to Germacranes and Humulanes. J. Nat. Prod. 2020, 83, 3554–3563. [Google Scholar] [CrossRef] [PubMed]
- Schreiner, L.; Bauer, J.; Ortner, E.; Buettner, A. Structure-Odor Activity Studies on Derivatives of Aromatic and Oxygenated Monoterpenoids Synthesized by Modifying p-Cymene. J. Nat. Prod. 2020, 83, 834–842. [Google Scholar] [CrossRef]
- Wheeler, O.H. Etard Reaction: I. Its Scope and Limitation with Substituted Toluenes. Can. J. Chem. 1958, 36, 667–671. [Google Scholar] [CrossRef]
- Kremers, E.; Wakeman, N.; Hixon, R.M. Thymoquinone. Org. Synth. 1926, 6, 92. [Google Scholar] [CrossRef]
- Sumerford, W.T.; Dalton, D.N. The Hydrolysis of Some Quinone Oximes. J. Am. Chem. Soc. 1944, 66, 1330–1331. [Google Scholar] [CrossRef]
- Bohlmann, F.; Mahanta, P.K.; Jakupovic, J.; Rastogi, R.C.; Nath, A.A. New Sesquiterpene Lactones from Inula Species. Phytochemistry 1978, 17, 1165–1172. [Google Scholar] [CrossRef]
- Weyerstahl, P.; Wahlburg, H.-C.; Marschall, H.; Rustaiyan, A. New Cadinene and Bisabolene Derivatives from the Essential Oil of Pulicaria gnaphalodes. Liebigs Ann. Chem. 1993, 1993, 1239–1246. [Google Scholar] [CrossRef]
- Rosenmund, K.W.; Schnurr, W. Über Acylwanderungen an Phenolen. Liebigs Ann. Chem. 1928, 460, 56–98. [Google Scholar] [CrossRef]
- Montiel, L.E.; Zepeda, L.G.; Tamariz, J.N. Efficient Total Synthesis of Racemic Bisabolane Sesquiterpenes Curcuphenol and Xanthorrhizol Starting from Substituted Acetophenones. Helv. Chim. Acta 2010, 93, 1261–1273. [Google Scholar] [CrossRef]
- Bestmann, H.J. Reaktionen mit Phosphin-alkylenen, I. Intermolekulare Umylidierung zwischen Phosphoniumsalzen und Phosphin-alkylenen. Chem. Ber. 1962, 95, 58–63. [Google Scholar] [CrossRef]
- Ohmura, T.; Kusaka, S.; Torigoe, T.; Suginome, M. Iridium-Catalyzed C(sp3)−H Addition of Methyl Ethers across Intramolecular Carbon–Carbon Double Bonds Giving 2,3-Dihydrobenzofurans. Adv. Synth. Catal. 2019, 361, 4448–4453. [Google Scholar] [CrossRef]
- Du, Z.-T.; Li, A.-P.; Wu, T.-X.; Peng, K.; Pan, X.-F. Facile Synthesis of (±)-Parahigginone Methyl Ether and (±)-Curcuphenol. J. Chin. Chem. Soc. 2004, 51, 571–574. [Google Scholar] [CrossRef]
- Prasad, A.S.B.; Kanth, J.V.B.; Periasamy, M. Convenient Methods for the Reduction of Amides, Nitriles, Carboxylic Esters, Acids and Hydroboration of Alkenes Using NaBH4/I2 System. Tetrahedron 1992, 48, 4623–4628. [Google Scholar] [CrossRef]
- Corey, E.J.; Suggs, J.W. Pyridinium Chlorochromate. An Efficient Reagent for Oxidation of Primary and Secondary Alcohols to Carbonyl Compounds. Tetrahedron Lett. 1975, 16, 2647–2650. [Google Scholar] [CrossRef]
- Warning, U.; Bohlmann, F.; King, R.M.; Haegi, L. Diterpenes from Olearia Species. J. Nat. Prod. 1988, 51, 513–516. [Google Scholar] [CrossRef]
- Nakahata, T.; Itagaki, N.; Arai, T.; Sugie, H.; Kuwahara, S. Synthesis of the Sex Pheromone of the Citrus Mealybug, Pseudococcus cryptus. Biosci. Biotechnol. Biochem. 2003, 67, 2627–2631. [Google Scholar] [CrossRef] [PubMed]
- Lee, H.J.; Ravn, M.R.; Coates, R.M. Synthesis and characterization of abietadiene, levopimaradiene, palustradiene, and neoabietadiene: Hydrocarbon precursors of the abietane diterpene resin acids. Tetrahedron 2001, 57, 6155–6167. [Google Scholar] [CrossRef]
Disclaimer/Publisher’s Note: The statements, opinions and data contained in all publications are solely those of the individual author(s) and contributor(s) and not of MDPI and/or the editor(s). MDPI and/or the editor(s) disclaim responsibility for any injury to people or property resulting from any ideas, methods, instructions or products referred to in the content. |
© 2025 by the authors. Licensee MDPI, Basel, Switzerland. This article is an open access article distributed under the terms and conditions of the Creative Commons Attribution (CC BY) license (https://creativecommons.org/licenses/by/4.0/).








