Microwave and Steam Processing: A Novel Approach to Modifying the Characteristics of Reconstituted Whole Wheat Flour and Dough
Abstract
1. Introduction
2. Results and Discussion
2.1. Component Analysis of Reconstituted Whole Wheat Flour
2.2. Color Parameters of Reconstituted Whole Wheat Flour
2.3. Swelling Power and Solubility of the Reconstituted Whole Wheat Flour
2.4. Thermal Characterization of Reconstituted Whole Wheat Flour
2.5. Rheological Properties of Reconstituted Whole Wheat Flour
2.6. Microstructure of Reconstituted Whole Wheat Flour and Dough
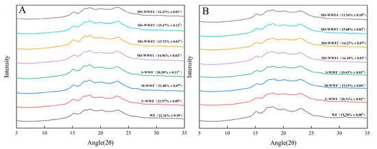
2.7. Crystalline Structure of Reconstituted Whole Wheat Flour and Dough
2.8. Protein Secondary Structure of Reconstituted Whole Wheat Flour and Dough
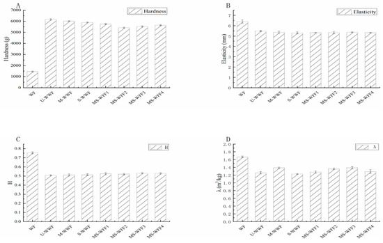
2.9. Texture, Height–Diameter Ratio, and Specific Volume of the Steamed Bun
3. Materials and Methods
3.1. Materials
3.2. Methods
3.2.1. Wheat Bran Modification
3.2.2. Preparation of Freeze-Dried Reconstituted Whole Wheat Dough
3.2.3. Gross Chemical Composition of Reconstituted Whole Wheat Flour
3.2.4. Color Measurement of Reconstituted Whole Wheat Flour
3.2.5. Swelling Power and Solubility of Reconstituted Whole Wheat Flour
3.2.6. Heat Stability Characterization of Reconstituted Whole Wheat Flour
3.2.7. Rheological Characteristics of Reconstituted Whole Wheat Flour
3.2.8. Determination of Microstructures of Reconstituted Whole Wheat Flour and Dough
3.2.9. X-Ray Diffraction of Reconstituted Whole Wheat Flour and Dough
3.2.10. Fourier Transform Infrared Spectroscopy (FTIR) of Whole Wheat Flour and Dough
3.2.11. Edible Quality of the Steamed Bun
3.2.12. Statistical Analysis
4. Conclusions
Author Contributions
Funding
Institutional Review Board Statement
Informed Consent Statement
Data Availability Statement
Conflicts of Interest
References
- Gómez, M.; Gutkoski, L.C.; Bravo-Núñez, Á. Understanding Whole-wheat Flour and Its Effect in Breads: A Review. Comp. Rev. Food Sci. Food Safe 2020, 19, 3241–3265. [Google Scholar] [CrossRef] [PubMed]
- Guo, H.; Wu, H.; Sajid, A.; Li, Z. Whole Grain Cereals: The Potential Roles of Functional Components in Human Health. Crit. Rev. Food Sci. Nutr. 2022, 62, 8388–8402. [Google Scholar] [CrossRef]
- Heiniö, R.L.; Noort, M.W.J.; Katina, K.; Alam, S.A.; Sozer, N.; de Kock, H.L.; Hersleth, M.; Poutanen, K. Sensory Characteristics of Wholegrain and Bran-Rich Cereal Foods—A Review. Trends Food Sci. Technol. 2016, 47, 25–38. [Google Scholar] [CrossRef]
- Khmeleva, E.; Berezina, N.; Khmelev, A.; Kunitsyna, T.; Makarova, N. Aspects of Environmental Safety Improving of Whole Grain Bakery Products. IOP Conf. Ser. Earth Environ. Sci. 2020, 421, 032062. [Google Scholar] [CrossRef]
- Niu, M.; Hou, G.G.; Li, X.; Wang, L.; Chen, Z. Inhibitory Effects of Ultrasound Combined with Ascorbic Acid or Glutathione on Enzymatic Darkening of Whole-Wheat Raw Noodles. LWT-Food Sci. Technol. 2014, 59, 901–907. [Google Scholar] [CrossRef]
- Wu, Y.; Ye, G.; Li, X.; Wang, L.; Liu, Y.; Tan, B.; Shen, W.; Zhou, J. Comparison of Quality Characteristics of Six Reconstituted Whole Wheat Flour with Different Modified Bran. LWT 2022, 153, 112543. [Google Scholar] [CrossRef]
- Tian, B.; Zhou, C.; Li, D.; Pei, J.; Guo, A.; Liu, S.; Li, H. Monitoring the Effects of Hemicellulase on the Different Proofing Stages of Wheat Aleurone-Rich Bread Dough and Bread Quality. Foods 2021, 10, 2427. [Google Scholar] [CrossRef]
- Qu, C.; Wang, H.; Liu, S.; Wang, F.; Liu, C. Effects of Microwave Heating of Wheat on Its Functional Properties and Accelerated Storage. J. Food Sci. Technol. 2017, 54, 3699–3706. [Google Scholar] [CrossRef] [PubMed]
- Seyer, M.; Gélinas, P. Bran Characteristics and Wheat Performance in Whole Wheat Bread. Int. J. Food Sci. Technol. 2009, 44, 688–693. [Google Scholar] [CrossRef]
- Ye, G.; Wu, Y.; Wang, L.; Tan, B.; Shen, W.; Li, X.; Liu, Y.; Tian, X.; Zhang, D. Comparison of Six Modification Methods on the Chemical Composition, Functional Properties and Antioxidant Capacity of Wheat Bran. LWT 2021, 149, 111996. [Google Scholar] [CrossRef]
- Zhang, H.; Wang, H.; Cao, X.; Wang, J. Preparation and Modification of High Dietary Fiber Flour: A Review. Food Res. Int. 2018, 113, 24–35. [Google Scholar] [CrossRef]
- Liu, C.; Liu, L.; Li, L.; Hao, C.; Zheng, X.; Bian, K.; Zhang, J.; Wang, X. Effects of Different Milling Processes on Whole Wheat Flour Quality and Performance in Steamed Bread Making. LWT-Food Sci. Technol. 2015, 62, 310–318. [Google Scholar] [CrossRef]
- Chen, Y.; Wu, Y.; Fu, J.; Fan, Q. Comparison of Different Rice Flour- and Wheat Flour-Based Butter Cookies for Acrylamide Formation. J. Cereal Sci. 2020, 95, 103086. [Google Scholar] [CrossRef]
- Devraj, L.; Natarajan, V.; Vadakkeppulpara Ramachandran, S.; Manicakam, L.; Sarvanan, S. Influence of Microwave Heating as Accelerated Aging on Physicochemical, Texture, Pasting Properties, and Microstructure in Brown Rice of Selected Indian Rice Varieties. J. Texture Stud. 2020, 51, 663–679. [Google Scholar] [CrossRef]
- Yang, L.; Wang, S.; Zhang, W.; Zhang, H.; Guo, L.; Zheng, S.; Du, C. Effect of Black Soybean Flour Particle Size on the Nutritional, Texture and Physicochemical Characteristics of Cookies. LWT 2022, 164, 113649. [Google Scholar] [CrossRef]
- Fang, C.; Huang, J.; Yang, Q.; Pu, H.; Liu, S.; Zhu, Z. Adsorption Capacity and Cold-Water Solubility of Honeycomb-like Potato Starch Granule. Int. J. Biol. Macromol. 2020, 147, 741–749. [Google Scholar] [CrossRef]
- Yang, L.; Wang, S.; Zhang, H.; Du, C.; Li, S.; Yang, J. Effects of Black Soybean Powder Particle Size on the Characteristics of Mixed Powder and Wheat Flour Dough. LWT 2022, 167, 113834. [Google Scholar] [CrossRef]
- Pycia, K.; Kaszuba, J.; Posadzka, Z.; Juszczak, L. Influence of the Addition of Vital Wheat Gluten on Thermal and Rheological Properties of Triticale Flour. Polymers 2023, 15, 1870. [Google Scholar] [CrossRef] [PubMed]
- AL-Ansi, W.; Fadhl, J.A.; Abdullah, A.B.; Al-Adeeb, A.; Mahdi, A.A.; Al-Maqtari, Q.A.; Mushtaq, B.S.; Fan, M.; Li, Y.; Qian, H.; et al. Effect of Highland Barely Germination on Thermomechanical, Rheological, and Micro-Structural Properties of Wheat-Oat Composite Flour Dough. Food Biosci. 2023, 53, 102521. [Google Scholar] [CrossRef]
- Bai, X.; Yang, S.; Zeng, L.; Han, W.; Ran, X. Study on Physicochemical Properties of Purple Waxy Wheat Starch. Int. J. Food Prop. 2021, 24, 471–481. [Google Scholar] [CrossRef]
- Erukainure, O.L.; Okafor, J.N.C.; Ogunji, A.; Ukazu, H.; Okafor, E.N.; Eboagwu, I.L. Bambara–Wheat Composite Flour: Rheological Behavior of Dough and Functionality in Bread. Food Sci. Nutr. 2016, 4, 852–857. [Google Scholar] [CrossRef] [PubMed]
- Liu, T.; Hou, G.G.; Cardin, M.; Marquart, L.; Dubat, A. Quality Attributes of Whole-Wheat Flour Tortillas with Sprouted Whole-Wheat Flour Substitution. LWT 2017, 77, 1–7. [Google Scholar] [CrossRef]
- Gujral, H.S.; Sharma, B.; Kapoor, S. Gluten and Starch Mixing and Pasting Behaviour as Affected by Replacing Sodium Chloride with Sodium Replacers in Wheat Flour Dough. Int. J. Food Sci. Technol. 2022, 57, 5642–5649. [Google Scholar] [CrossRef]
- Cheng, J.; Lei, S.; Gao, L.; Zhang, Y.; Cheng, W.; Wang, Z.; Tang, X. Effects of Jet Milling on the Physicochemical Properties of Buckwheat Flour and the Quality Characteristics of Extruded Whole Buckwheat Noodles. Foods 2022, 11, 2722. [Google Scholar] [CrossRef]
- Hsieh, P.-H.; Weng, Y.-M.; Yu, Z.-R.; Wang, B.-J. Substitution of Wheat Flour with Wholegrain Flours Affects Physical Properties, Sensory Acceptance, and Starch Digestion of Chinese Steam Bread (Mantou). LWT 2017, 86, 571–576. [Google Scholar] [CrossRef]
- Ghoshal, G.; Shivhare, U.S.; Banerjee, U.C. Rheological Properties and Microstructure of Xylanase Containing Whole Wheat Bread Dough. J. Food Sci. Technol. 2017, 54, 1928–1937. [Google Scholar] [CrossRef] [PubMed]
- Pourmohammadi, K.; Abedi, E.; Amiri, M.J.; Daneshgar, M.H.; Torri, L. The Effect of Thermal Processing and Different Concentrations of Resistant Starch on X-Ray Pattern, Crystallization Kinetics and Morphological Properties of Noodles Supplemented with Wheat and Corn Resistant Starch. Food Meas. 2019, 13, 3149–3161. [Google Scholar] [CrossRef]
- Patil, S.P.; Arya, S.S. Nutritional, Functional, Phytochemical and Structural Characterization of Gluten-Free Flours. Food Meas. 2017, 11, 1284–1294. [Google Scholar] [CrossRef]
- Warren, F.J.; Gidley, M.J.; Flanagan, B.M. Infrared Spectroscopy as a Tool to Characterise Starch Ordered Structure—A Joint FTIR–ATR, NMR, XRD and DSC Study. Carbohydr. Polym. 2016, 139, 35–42. [Google Scholar] [CrossRef]
- Kong, X.; Zhou, X.; Sui, Z.; Bao, J. Effects of Gamma Irradiation on Physicochemical Properties of Native and Acetylated Wheat Starches. Int. J. Biol. Macromol. 2016, 91, 1141–1150. [Google Scholar] [CrossRef]
- Wang, J.; Yue, Y.; Liu, T.; Zhang, B.; Wang, Z.; Zhang, C. Change in Glutenin Macropolymer Secondary Structure in Wheat Sourdough Fermentation by FTIR. Interdiscip. Sci. Comput. Life Sci. 2017, 9, 247–253. [Google Scholar] [CrossRef] [PubMed]
- Krekora, M.; Nawrocka, A. The Influence of Selected Polyphenols on the Gluten Structure—A Study on Gluten Dough with Application of FT-IR and FT-Raman Spectroscopy. J. Cereal Sci. 2022, 108, 103570. [Google Scholar] [CrossRef]
- Bock, J.E.; Damodaran, S. Bran-Induced Changes in Water Structure and Gluten Conformation in Model Gluten Dough Studied by Fourier Transform Infrared Spectroscopy. Food Hydrocoll. 2013, 31, 146–155. [Google Scholar] [CrossRef]
- Bourekoua, H.; Benatallah, L.; Zidoune, M.N.; Rosell, C.M. Developing Gluten Free Bakery Improvers by Hydrothermal Treatment of Rice and Corn Flours. LWT 2016, 73, 342–350. [Google Scholar] [CrossRef]
- Neeraj; Siddiqui, S.; Srivastva, A.; Bindu, B.; Pathera, A.K. Physico-Chemical and Functional Properties of Starch from Stored Potato: Effect of Anti-Sprouting Treatments. Food Meas. 2023, 17, 2224–2232. [Google Scholar] [CrossRef]
- Pozo, C.; Rodríguez-Llamazares, S.; Bouza, R.; Barral, L.; Castaño, J.; Müller, N.; Restrepo, I. Study of the Structural Order of Native Starch Granules Using Combined FTIR and XRD Analysis. J. Polym. Res. 2018, 25, 266. [Google Scholar] [CrossRef]




| Samples | WF | U-WWF | M-WWF | S-WWF | MS-WWF1 | MS-WWF2 | MS-WWF3 | MS-WWF4 |
|---|---|---|---|---|---|---|---|---|
| Water (%) | 12.4 ± 0.01 a | 12.1 ± 0.04 c | 11.7 ± 0.00 b | 12.3 ± 0.01 f | 12.1 ± 0.02 c | 12.0 ± 0.00 d | 12.0 ± 0.02 d | 11.9 ± 0.00 e |
| Ash (%) | 0.48% ± 0.00 e | 1.82% ± 0.00 d | 1.85% ± 0.00 c d | 1.86% ± 0.00 c | 1.88% ± 0.00 b c | 1.88% ± 0.00 b c | 1.91% ± 0.00 a b | 1.94% ± 0.00 a |
| Fat (%) | 5.82% ± 0.21 e | 9.55% ± 0.07 a | 9.54% ± 0.13 a | 9.01% ± 0.11 b | 9.06% ± 0.19 b | 8.38% ± 0.26 c | 8.15% ± 0.21 c d | 7.95% ± 0.16 d |
| Protein (%) | 8.93 ± 0.01 f | 11.26 ± 0.02 e | 11.70 ± 0.05 d | 12.04 ± 0.05 a | 11.73 ± 0.05 d | 11.91 ± 0.03 b | 12.02 ± 0.03 a | 11.85 ± 0.02 c |
| Dietary fiber (%) | 0.037 ± 0.13 g | 12.27 ± 0.15 e | 16.13 ± 0.20 a | 13.10 ± 0.10 d | 14.77 ± 0.21 b | 13.03 ± 0.15 d | 11.63 ± 0.15 f | 14.37 ± 0.19 c |
| L* | 95.49 ± 0.16 a | 87.58 ± 0.34 b | 87.19 ± 0.27 b c | 86.80 ± 0.11 d e | 86.65 ± 0.11 c d | 86.62 ± 0.17 d e | 86.22 ± 0.18 e | 86.23 ± 0.16 e |
| a* | 0.44 ± 0.10 d | 3.62 ± 0.13 c | 3.61 ± 0.05 c | 3.75 ± 0.14 c b | 3.74 ± 0.12 c b | 3.82 ± 0.04 b | 3.88 ± 0.11 b a | 4.04 ± 0.03 a |
| b* | 8.61 ± 0.16 g | 13.74 ± 0.07 e | 13.44 ± 0.15 f | 13.95 ± 0.09 c d | 14.27 ± 0.14 d | 14.46 ± 0.04 b c | 14.68 ± 0.19 b | 15.07 ± 0.06 a |
| C* | 8.63 ± 0.16 f | 14.21 ± 0.09 d e | 13.91 ± 0.14 e | 14.74 ± 0.21 c | 14.56 ± 0.17 c d | 14.96 ± 0.05 b c | 15.19 ± 0.21 b | 15.70 ± 0.24 a |
| ΔE | 9.69 ± 0.21 d | 18.70 ± 0.41 c | 18.73 ± 0.11 c | 19.70 ± 0.21 b | 19.47 ± 0.27 b | 19.88 ± 0.13 b | 20.32 ± 0.26 a | 20.71 ± 0.12 a |
| S 1 (%) | 15.80 ± 0.17 a | 14.65 ± 0.23 d | 13.86 ± 0.65 e | 15.06 ± 0.26 c | 15.03 ± 0.19 c | 15.20 ± 0.27 b | 14.66 ± 0.21 d | 15.16 ± 0.18 b |
| SP 2 (%) | 4.24 ± 0.01 a | 3.71 ± 0.03 e | 3.61 ± 0.12 f | 4.05 ± 0.03 d | 4.06 ± 0.04 d | 4.12 ± 0.02 c | 4.17 ± 0.12 b | 4.12 ± 0.03 c |
| Samples | WF | U-WWF | M-WWF | S-WWF | MS-WWF1 | MS-WWF2 | MS-WWF3 | MS-WWF4 |
|---|---|---|---|---|---|---|---|---|
| To (°C) | 57.75 ± 0.03 h | 59.53 ± 0.65 a | 59.50 ± 0.06 b | 59.48 ± 0.01 c | 59.26 ± 0.00 d | 59.21 ± 0.03 e | 59.07 ± 0.04 g | 59.18 ± 0.00 f |
| Tp (°C) | 62.45 ± 0.01 h | 64.39 ± 0.05 a | 64.23 ± 0.07 c | 64.27 ± 0.00 b | 63.92 ± 0.01 e | 63.77 ± 0.00 f | 63.67 ± 0.05 g | 63.93 ± 0.04 d |
| Tc (°C) | 66.98 ± 0.02 g | 68.97 ± 0.05 a | 68.89 ± 0.14 c | 68.91 ± 0.00 b | 68.73 ± 0.03 d | 68.54 ± 0.02 e | 68.29 ± 0.03 f | 68.54 ± 0.05 e |
| Hp (J/g) | 3.45 ± 0.01 a | 2.60 ± 0.04 c | 1.84 ± 0.00 g | 2.59 ± 0.13 d | 2.32 ± 0.02 f | 1.69 ± 0.10 h | 2.34 ± 0.02 e | 2.89 ± 0.05 b |
| WA (%) 1 | 58.4 ± 0.00 g | 67.7 ± 0.00 f | 68.7 ± 0.00 e | 68.9 ± 0.00 c | 68.8 ± 0.00 d | 69.4 ± 0.00 b | 69.4 ± 0.00 b | 69.5 ± 0.00 a |
| ST (min) 2 | 6.100 ± 0.01 d | 7.400 ± 0.20 c d | 7.533 ± 0.12 a | 7.767 ± 0.61 e | 7.500 ± 0.36 e | 8.367 ± 0.35 a b | 7.733 ± 0.06 b c d | 7.900 ± 0.10 b c |
| C1 (N/m) | 1.119 ± 0.01 a | 1.118 ± 0.01 a | 1.089 ± 0.00 b c | 1.115 ± 0.03 a b | 1.108 ± 0.00 a b | 1.068 ± 0.00 c | 1.086 ± 0.01 b c | 1.118 ± 0.01 b |
| C3 (N/m) | 1.804 ± 0.00 a | 1.771 ± 0.01 b | 1.740 ± 0.01 c | 1.797 ± 0.01 a | 1.762 ± 0.02 b | 1.756 ± 0.01 b c | 1.748 ± 0.02 b c | 1.763 ± 0.02 b c |
| C5-C4 (N/m) | 1.061 ± 0.01 a | 0.834 ± 0.16 b c | 0.650 ± 0.02 c | 0.821 ± 0.15 b c | 0.735 ± 0.14 b c | 0.694 ± 0.01 c | 0.769 ± 0.18 b c | 0.946 ± 0.01 b |
| C3-C4 (N/m) | 0.060 ± 0.00 h | 0.317 ± 0.01 b | 0.237 ± 0.01 g | 0.290 ± 0.01 e | 0.299 ± 0.02 d | 0.307 ± 0.01 c | 0.323 ± 0.01 a | 0.288 ± 0.02 f |
| C4/C3 | 0.967 ± 0.01 a | 0.834 ± 0.00 c | 0.864 ± 0.01 b | 0.839 ± 0.01 c | 0.830 ± 0.01 c d | 0.825 ± 0.01 c d | 0.819 ± 0.02 d | 0.837 ± 0.01 c |
| Samples | β-Sheet (%) | Random Coil (%) | α-Helix (%) | β-Turn (%) | |
|---|---|---|---|---|---|
| The reconstituted whole wheat flour | WF | 30.66 ± 0.03 h | 16.68 ± 0.01 f | 16.10 ± 0.02 e | 36.56 ± 0.02 a |
| U-WWF | 32.37 ± 0.01 e | 18.01 ± 0.02 b | 17.56 ± 0.04 a | 32.06 ± 0.08 e | |
| M-WWF | 37.81 ± 0.02 c | 14.59 ± 0.00 h | 14.87 ± 0.01 f | 32.73 ± 0.03 d | |
| S-WWF | 39.82 ± 0.09 a | 16.76 ± 0.01 e | 13.23 ± 0.03 g | 30.18 ± 0.04 g | |
| MS-WWF1 | 31.19 ± 0.00 g | 17.71 ± 0.06 d | 17.15 ± 0.06 c | 33.94 ± 0.00 b | |
| MS-WWF2 | 31.59 ± 0.03 f | 17.82 ± 0.07 c | 17.47 ± 0.01 b | 33.12 ± 0.01 c | |
| MS-WWF3 | 34.82 ± 0.06 d | 22.25 ± 0.01 a | 12.27 ± 0.02 h | 30.66 ± 0.02 f | |
| MS-WWF4 | 38.67 ± 0.02 b | 16.20 ± 0.03 g | 16.32 ± 0.01 d | 28.81 ± 0.01 h | |
| The reconstituted whole wheat dough | WF | 34.19 ± 0.06 f | 18.53 ± 0.03 a | 14.04 ± 0.04 g | 33.24 ± 0.02 a |
| U-WWF | 36.35 ± 0.02 e | 14.15 ± 0.02 g | 16.81 ± 0.03 c | 32.69 ± 0.01 d | |
| M-WWF | 37.81 ± 0.01 d | 14.59 ± 0.09 e | 14.87 ± 0.08 d | 32.73 ± 0.07 c | |
| S-WWF | 39.66 ± 0.04 b | 14.66 ± 0.04 d | 14.01 ± 0.01 h | 31.67 ± 0.03 e | |
| MS-WWF1 | 32.25 ± 0.01 h | 17.86 ± 0.02 c | 17.13 ± 0.05 a | 32.76 ± 0.02 b | |
| MS-WWF2 | 33.61 ± 0.03 g | 17.99 ± 0.03 b | 17.04 ± 0.01 b | 31.36 ± 0.05 f | |
| MS-WWF3 | 38.46 ± 0.02 c | 13.86 ± 0.04 h | 14.43 ± 0.05 f | 33.24 ± 0.01 a | |
| MS-WWF4 | 45.09 ± 0.03 a | 14.55 ± 0.01 f | 14.70 ± 0.02 e | 25.66 ± 0.00 g | |
Disclaimer/Publisher’s Note: The statements, opinions and data contained in all publications are solely those of the individual author(s) and contributor(s) and not of MDPI and/or the editor(s). MDPI and/or the editor(s) disclaim responsibility for any injury to people or property resulting from any ideas, methods, instructions or products referred to in the content. |
© 2025 by the authors. Licensee MDPI, Basel, Switzerland. This article is an open access article distributed under the terms and conditions of the Creative Commons Attribution (CC BY) license (https://creativecommons.org/licenses/by/4.0/).
Share and Cite
Liu, X.; Sun, Q.; Yan, R.; Wang, Y.; Wang, J.; Yang, L.; Zhai, L. Microwave and Steam Processing: A Novel Approach to Modifying the Characteristics of Reconstituted Whole Wheat Flour and Dough. Molecules 2025, 30, 203. https://doi.org/10.3390/molecules30020203
Liu X, Sun Q, Yan R, Wang Y, Wang J, Yang L, Zhai L. Microwave and Steam Processing: A Novel Approach to Modifying the Characteristics of Reconstituted Whole Wheat Flour and Dough. Molecules. 2025; 30(2):203. https://doi.org/10.3390/molecules30020203
Chicago/Turabian StyleLiu, Xuhua, Qiangqiang Sun, Rong Yan, Yaqing Wang, Junying Wang, Liping Yang, and Ligong Zhai. 2025. "Microwave and Steam Processing: A Novel Approach to Modifying the Characteristics of Reconstituted Whole Wheat Flour and Dough" Molecules 30, no. 2: 203. https://doi.org/10.3390/molecules30020203
APA StyleLiu, X., Sun, Q., Yan, R., Wang, Y., Wang, J., Yang, L., & Zhai, L. (2025). Microwave and Steam Processing: A Novel Approach to Modifying the Characteristics of Reconstituted Whole Wheat Flour and Dough. Molecules, 30(2), 203. https://doi.org/10.3390/molecules30020203
