From Molecular Interactions to Solubility in Deep Eutectic Solvents: Exploring Flufenamic Acid in Choline-Chloride- and Menthol-Based Systems
Abstract
1. Introduction
- To quantify and provide detailed concentration profiles of the most abundant species present in saturated DES systems across various HBA–HBD ratios.
- To investigate the less abundant solute-containing species and establish a direct correlation between their concentrations and the observed FlA solubility.
- To elucidate the distinct intermolecular interaction patterns and complex formation behaviors in menthol-based versus choline-chloride-based DESs and their direct impact on FlA solubilization.
- To identify optimal HBA–HBD ratios that maximize the formation of FlA-containing complexes, thereby enhancing API solubility.
2. Results and Discussion
- Experimental determination of flufenamic acid solubility across a broad range of deep eutectic solvent formulations, differing in hydrogen bond donor/acceptor type and composition, with particular emphasis on their relevance to pharmaceutical applications.
- Thermodynamic characterization of intermolecular interactions using COSMOtherm-derived descriptors, providing molecular-level insight into solute–solvent affinities and dominant association patterns within the systems.
- Application of a physically informed iterative algorithm to infer the equilibrium composition of saturated systems from computed association constants, ensuring chemically consistent distribution of molecular species.
- Interpretation of the predicted molecular distributions in relation to experimental solubility data to elucidate the mechanisms responsible for enhanced solubilization and to identify key interactions that promote the formation of solute-containing complexes.
2.1. Saturated FlA–DES Systems
2.2. Interaction Between DES Components
2.3. Inferring Molecular Composition from Equilibrium Constants: A Physically Guided Approach
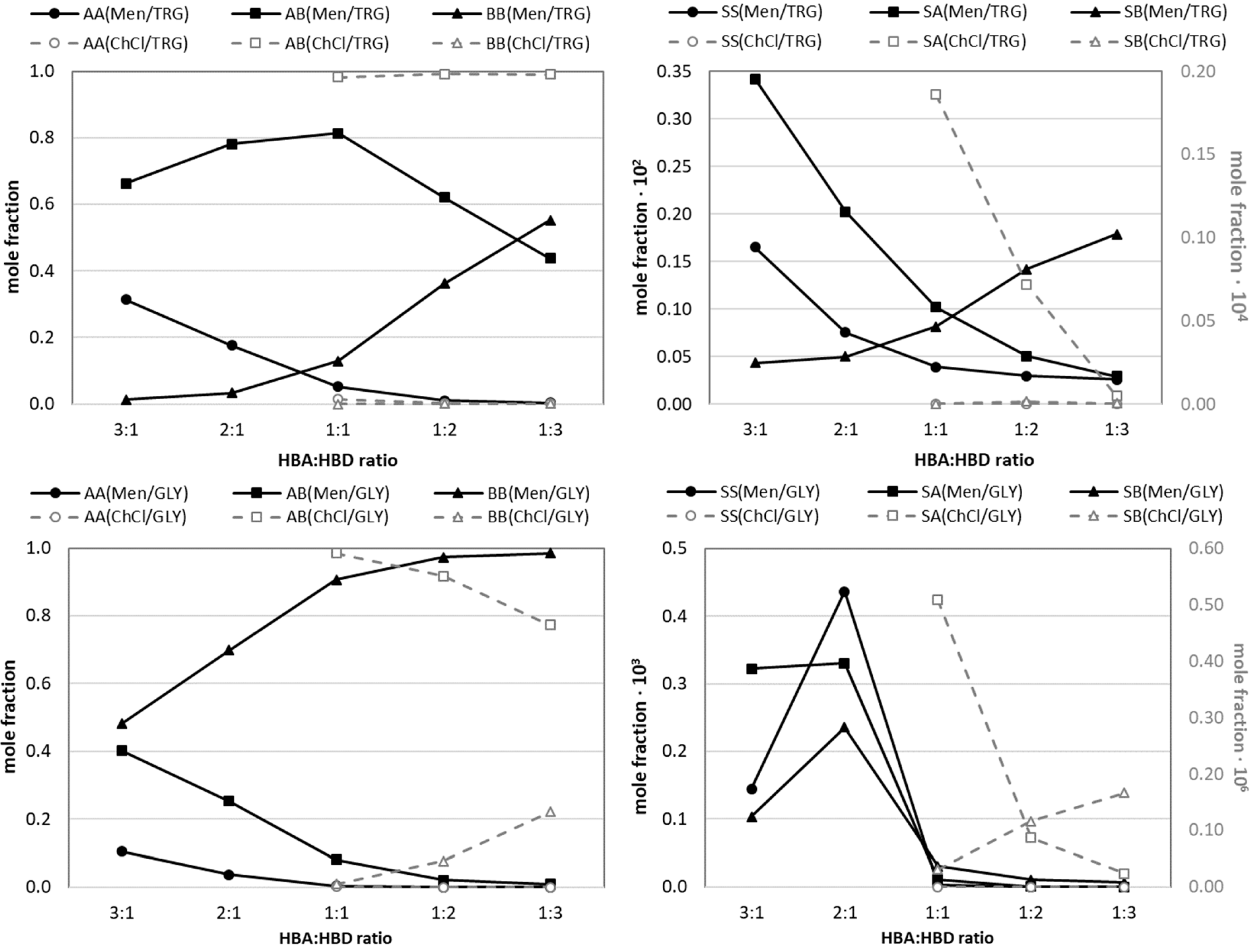
2.4. Concentration Profiles in the Saturated Systems
3. Materials and Methods
3.1. Materials
3.2. Experimental Solubility Measurements
3.3. Intermolecular Interactions Computations
3.4. DES Composition Determination
4. Conclusions
Supplementary Materials
Author Contributions
Funding
Institutional Review Board Statement
Informed Consent Statement
Data Availability Statement
Acknowledgments
Conflicts of Interest
Abbreviations
| AA | hydrogen bond acceptor dimer |
| AB | hydrogen bond acceptor–hydrogen bond donor pair |
| API | active pharmaceutical ingredient |
| B3D | 1,3-butanediol |
| BB | hydrogen bond donor dimer |
| BCS | Biopharmaceutics Classification System |
| BP86 | Becke–Perdew 1986 functional; GGA-type DFT functional |
| COSMO-RS | Conductor-like Screening Model for Realistic Solvation |
| COX | cyclooxygenase |
| ChCl | choline chloride |
| DEG | diethylene glycol |
| DES | deep eutectic solvent |
| DFT | Density Functional Theory |
| ETG | ethylene glycol |
| FlA | flufenamic acid |
| GLY | glycerol |
| GRAS | Generally Recognized As Safe |
| HBA | hydrogen bond acceptor |
| HBD | hydrogen bond donor |
| LOD | limit of detection |
| LOQ | limit of quantification |
| Men | menthol |
| NSAID | non-steroidal anti-inflammatory drug |
| P2D | 1,2-propanediol |
| PTFE | polytetrafluoroethylene |
| RI-DFT | resolution of the identity density functional theory; approximation accelerating Coulomb integral evaluation in DFT |
| RMSD | root-mean-square deviation; measure of structural similarity between aligned molecular conformations |
| SA | solute–hydrogen bond acceptor pair |
| SB | solute–hydrogen bond donor pair |
| SLSQP | Sequential Least Squares Programming Method |
| SS | solute–solute dimer |
| TEG | triethylene glycol |
| TRG | tetraethylene glycol |
| TRP | transient receptor potential |
| def2-TZVP | split-valence triple-zeta basis set with polarization functions; part of the def2 family developed by Weigend and Ahlrichs |
References
- López-Mejías, V.; Kampf, J.W.; Matzger, A.J. Nonamorphism in flufenamic acid and a new record for a polymorphic compound with solved structures. J. Am. Chem. Soc. 2012, 134, 9872–9875. [Google Scholar] [CrossRef]
- Chi, Y.; Li, K.; Yan, Q.; Koizumi, S.; Shi, L.; Takahashi, S.; Zhu, Y.; Matsue, H.; Takeda, M.; Kitamura, M.; et al. Nonsteroidal Anti-Inflammatory Drug Flufenamic Acid Is a Potent Activator of AMP-Activated Protein Kinase. J. Pharmacol. Exp. Ther. 2011, 339, 257–266. [Google Scholar] [CrossRef]
- Lovering, A.L.; Ride, J.P.; Bunce, C.M.; Desmond, J.C.; Cummings, S.M.; White, S.A. Crystal Structures of Prostaglandin D2 11-Ketoreductase (AKR1C3) in Complex with the Nonsteroidal Anti-Inflammatory Drugs Flufenamic Acid and Indomethacin. Cancer Res. 2004, 64, 1802–1810. [Google Scholar] [CrossRef]
- Guinamard, R.; Simard, C.; Del Negro, C. Flufenamic acid as an ion channel modulator. Pharmacol. Ther. 2013, 138, 272. [Google Scholar] [CrossRef] [PubMed]
- Fang, J.; Orobator, O.N.; Olelewe, C.; Passeri, G.; Singh, K.; Awuah, S.G.; Suntharalingam, K. A Breast Cancer Stem Active Cobalt(III)-Cyclam Complex Containing Flufenamic Acid with Immunogenic Potential. Angew. Chemie 2024, 136, e202317940. [Google Scholar] [CrossRef]
- Alshehri, S.; Shakeel, F. Solubility measurement, thermodynamics and molecular interactions of flufenamic acid in different neat solvents. J. Mol. Liq. 2017, 240, 447–453. [Google Scholar] [CrossRef]
- Maestrelli, F.; Rossi, P.; Paoli, P.; De Luca, E.; Mura, P. The role of solid state properties on the dissolution performance of flufenamic acid. J. Pharm. Biomed. Anal. 2020, 180, 113058. [Google Scholar] [CrossRef]
- Amidon, G.L.; Lennernäs, H.; Shah, V.P.; Crison, J.R. A Theoretical Basis for a Biopharmaceutic Drug Classification: The Correlation of in Vitro Drug Product Dissolution and in Vivo Bioavailability. Pharm. Res. 1995, 12, 413–420. [Google Scholar] [CrossRef]
- Kurosaki, Y.; Nagahara, N.; Tanizawa, T.; Nishimura, H.; Nakayama, T.; Kimura, T. Use of lipid disperse systems in transdermal drug delivery: Comparative study of flufenamic acid permeation among rat abdominal skin, silicon rubber membrane and stratum corneum sheet isolated from hamster cheek pouch. Int. J. Pharm. 1991, 67, 1–9. [Google Scholar] [CrossRef]
- Kopečná, M.; Kováčik, A.; Novák, P.; Boncheva Bettex, M.; Vávrová, K. Transdermal Permeation and Skin Retention of Diclofenac and Etofenamate/Flufenamic Acid From Over-the-Counter Pain Relief Products. J. Pharm. Sci. 2021, 110, 2517–2523. [Google Scholar] [CrossRef]
- Santana-Mayor, Á.; Rodríguez-Ramos, R.; Herrera-Herrera, A.V.; Socas-Rodríguez, B.; Rodríguez-Delgado, M.Á. Deep eutectic solvents. The new generation of green solvents in analytical chemistry. TrAC Trends Anal. Chem. 2021, 134, 116108. [Google Scholar] [CrossRef]
- Vanda, H.; Dai, Y.; Wilson, E.G.; Verpoorte, R.; Choi, Y.H. Green solvents from ionic liquids and deep eutectic solvents to natural deep eutectic solvents. Comptes Rendus Chim. 2018, 21, 628–638. [Google Scholar] [CrossRef]
- Smith, E.L.; Abbott, A.P.; Ryder, K.S. Deep Eutectic Solvents (DESs) and Their Applications. Chem. Rev. 2014, 114, 11060–11082. [Google Scholar] [CrossRef] [PubMed]
- Ruß, C.; König, B. Low melting mixtures in organic synthesis – an alternative to ionic liquids? Green Chem. 2012, 14, 2969–2982. [Google Scholar] [CrossRef]
- Francisco, M.; Van Den Bruinhorst, A.; Kroon, M.C. Minireview. Angew. Chemie Int. Ed. 2013, 11, 3074–3085. [Google Scholar] [CrossRef]
- Omar, K.A.; Sadeghi, R. Physicochemical properties of deep eutectic solvents: A review. J. Mol. Liq. 2022, 360, 119524. [Google Scholar] [CrossRef]
- Paiva, A.; Craveiro, R.; Aroso, I.; Martins, M.; Reis, R.L.; Duarte, A.R.C. Natural Deep Eutectic Solvents – Solvents for the 21st Century. ACS Sustain. Chem. Eng. 2014, 2, 1063–1071. [Google Scholar] [CrossRef]
- Espino, M.; de los Ángeles Fernández, M.; Gomez, F.J.V.; Silva, M.F. Natural designer solvents for greening analytical chemistry. TrAC Trends Anal. Chem. 2016, 76, 126–136. [Google Scholar] [CrossRef]
- Xu, G.; Shi, M.; Zhang, P.; Tu, Z.; Hu, X.; Zhang, X.; Wu, Y. Tuning the composition of deep eutectic solvents consisting of tetrabutylammonium chloride and n-decanoic acid for adjustable separation of ethylene and ethane. Sep. Purif. Technol. 2022, 298, 121680. [Google Scholar] [CrossRef]
- Cao, Y.; Tao, X.; Jiang, S.; Gao, N.; Sun, Z. Tuning thermodynamic properties of deep eutectic solvents for achieving highly efficient photothermal sensor. J. Mol. Liq. 2020, 308, 113163. [Google Scholar] [CrossRef]
- Kapre, S.; Palakurthi, S.S.; Jain, A.; Palakurthi, S. DES-igning the future of drug delivery: A journey from fundamentals to drug delivery applications. J. Mol. Liq. 2024, 400, 124517. [Google Scholar] [CrossRef]
- Jeliński, T.; Przybyłek, M.; Mianowana, M.; Misiak, K.; Cysewski, P. Deep Eutectic Solvents as Agents for Improving the Solubility of Edaravone: Experimental and Theoretical Considerations. Molecules 2024, 29, 1261. [Google Scholar] [CrossRef]
- Duarte, A.R.C.; Ferreira, A.S.D.; Barreiros, S.; Cabrita, E.; Reis, R.L.; Paiva, A. A comparison between pure active pharmaceutical ingredients and therapeutic deep eutectic solvents: Solubility and permeability studies. Eur. J. Pharm. Biopharm. 2017, 114, 296–304. [Google Scholar] [CrossRef]
- Nguyen, C.-H.; Augis, L.; Fourmentin, S.; Barratt, G.; Legrand, F.-X. Deep Eutectic Solvents for Innovative Pharmaceutical Formulations; Springer International Publishing: Cham, Switzerland, 2021. [Google Scholar]
- Liu, Y.; Wu, Y.; Liu, J.; Wang, W.; Yang, Q.; Yang, G. Deep eutectic solvents: Recent advances in fabrication approaches and pharmaceutical applications. Int. J. Pharm. 2022, 622, 121811. [Google Scholar] [CrossRef] [PubMed]
- Emami, S.; Shayanfar, A. Deep eutectic solvents for pharmaceutical formulation and drug delivery applications. Pharm. Dev. Technol. 2020, 25, 779–796. [Google Scholar] [CrossRef] [PubMed]
- Pedro, S.N.; Freire, M.G.; Freire, C.S.R.; Silvestre, A.J.D. Deep eutectic solvents comprising active pharmaceutical ingredients in the development of drug delivery systems. Expert Opin. Drug Deliv. 2019, 16, 497–506. [Google Scholar] [CrossRef] [PubMed]
- Mustafa, N.R.; Spelbos, V.S.; Witkamp, G.J.; Verpoorte, R.; Choi, Y.H. Solubility and stability of some pharmaceuticals in natural deep eutectic solvents-based formulations. Molecules 2021, 26, 2645. [Google Scholar] [CrossRef]
- Bakr El-Nassan, H. Applications of therapeutic deep eutectic solvents (THEDESs) as antimicrobial and anticancer agents. Pharm. Dev. Technol. 2024, 29, 1084–1092. [Google Scholar] [CrossRef]
- Sharma, A.; Park, Y.R.; Garg, A.; Lee, B.S. Deep Eutectic Solvents Enhancing Drug Solubility and Its Delivery. J. Med. Chem. 2024, 67, 14807–14819. [Google Scholar] [CrossRef]
- Florindo, C.; McIntosh, A.J.S.; Welton, T.; Branco, L.C.; Marrucho, I.M. A closer look into deep eutectic solvents: Exploring intermolecular interactions using solvatochromic probes. Phys. Chem. Chem. Phys. 2017, 20, 206–213. [Google Scholar] [CrossRef]
- Liang, Y.; Tang, Y.; Feng, W. Non-covalent interactions in action: Advancing eutectogels for enhanced stability and performance. Polymer 2024, 307, 127262. [Google Scholar] [CrossRef]
- Wang, H.; Kang, X.; Han, B. Electrocatalysis in deep eutectic solvents: From fundamental properties to applications. Chem. Sci. 2024, 15, 9949–9976. [Google Scholar] [CrossRef]
- Maji, D.; Biswas, R. Solvation structure of paracetamol in ChCl-based polyol deep eutectic solvents: Microscopic insights into increased solubility. J. Mol. Liq. 2025, 423, 127042. [Google Scholar] [CrossRef]
- Hu, Y.; Liang, P.; Wang, Z.; Jiang, C.; Zeng, Q.; Shen, C.; Wu, Y.; Liu, L.; Yi, Y.; Zhu, H.; et al. Exploring the mechanism of solubilization and release of isoliquiritigenin in deep eutectic solvents. Int. J. Pharm. 2023, 644, 123298. [Google Scholar] [CrossRef]
- Hassan, S.A.; Zaater, M.A.; Abdel-Rahman, I.M.; Ibrahim, E.A.; El Kerdawy, A.M.; Abouelmagd, S.A. Piperine solubility enhancement via DES formation: Elucidation of intermolecular interactions and impact of counterpart structure via computational and spectroscopic approaches. Int. J. Pharm. 2024, 667, 124893. [Google Scholar] [CrossRef] [PubMed]
- Singh, M.B.; Prajapat, A.; Jain, P.; Kumar, A.; Singh, P.; Bahadur, I.; Kaushik, N.K.; Kaushik, N.; Mohammad, F.; Kumari, K. Investigate the significance of DES to enhance the solubility of noscapine: DFT calculations, MD simulations, and experimental approach. Ionics 2024, 30, 1795–1813. [Google Scholar] [CrossRef]
- Karimi, N.; Heydari Dokoohaki, M.; Zolghadr, A.R.; Klein, A. Solvation and aggregation of heteroaromatic drugs in the Reline deep eutectic solvent – a combined molecular dynamics simulation and DFT study. Phys. Chem. Chem. Phys. 2025, 27, 15527–15543. [Google Scholar] [CrossRef] [PubMed]
- Wang, Y.; Wang, H.; Yan, C.; Wang, W.; Jia, B.; Yao, Y.; Chen, L.; Hu, Q.; Xue, Z. Thermodynamics insights of lignin dissolution in deep eutectic solvents. Int. J. Biol. Macromol. 2025, 300, 140224. [Google Scholar] [CrossRef]
- Vardanjani, S.T.; Roosta, A.; Javanmardi, J. Natural deep eutectic solvents for enhancing the solubility of two B vitamins in aqueous solutions: Experimental study and thermodynamic aspects. Korean J. Chem. Eng. 2020, 37, 2307–2316. [Google Scholar] [CrossRef]
- Shekaari, H.; Mokhtarpour, M.; Mokhtarpour, F.; Faraji, S.; Martinez, F.; Zafarani-Moattar, M.T. Significant Increase in the Solubility of Celecoxib in Presence of Some Deep Eutectic Solvents as Novel Sustainable Solvents and the Thermodynamic Analysis of These Systems. Pharm. Sci. 2020, 26, 423–433. [Google Scholar] [CrossRef]
- Akbarzadeh Gondoghdi, P.; Khorsandi, M.; Shekaari, H.; Mokhtarpour, M. Solubility improvement of indomethacin by novel biodegradable eutectic solvents based on protic ionic liquid monoethanolamine carboxylate/ethylene glycol. J. Drug Deliv. Sci. Technol. 2023, 86, 104564. [Google Scholar] [CrossRef]
- Kamal, A.; Haghtalab, A. Experimental and thermodynamic modeling of cefixime trihydrate solubility in an aqueous deep eutectic system. J. Mol. Liq. 2020, 304, 112727. [Google Scholar] [CrossRef]
- Deng, D.; Jiang, Y.; Liu, X.; Zhang, Z.; Ai, N. Investigation of solubilities of carbon dioxide in five levulinic acid-based deep eutectic solvents and their thermodynamic properties. J. Chem. Thermodyn. 2016, 103, 212–217. [Google Scholar] [CrossRef]
- Moufawad, T.; Moura, L.; Ferreira, M.; Bricout, H.; Tilloy, S.; Monflier, E.; Costa Gomes, M.; Landy, D.; Fourmentin, S. First Evidence of Cyclodextrin Inclusion Complexes in a Deep Eutectic Solvent. ACS Sustain. Chem. Eng. 2019, 7, 6345–6351. [Google Scholar] [CrossRef]
- Liu, Y.; Xu, S.; Zhang, X.; Tang, W.; Gong, J. Unveiling the critical roles of aromatic interactions in the crystal nucleation pathway of flufenamic acid. Cryst. Growth Des. 2019, 19, 7175–7184. [Google Scholar] [CrossRef]
- Yalkowsky, S.H.; Dannenfelser, R.M. The Aqueous Solubility of Chemical Compounds: A Data Compilation; University of Arizona: Tucson, AZ, USA, 1992. [Google Scholar]
- Li, X.; Ma, N.; Zhang, L.; Ling, G.; Zhang, P. Applications of choline-based ionic liquids in drug delivery. Int. J. Pharm. 2022, 612, 121366. [Google Scholar] [CrossRef] [PubMed]
- Choonara, B.F.; Choonara, Y.E.; Kumar, P.; du Toit, L.C.; Tomar, L.K.; Tyagi, C.; Pillay, V. A Menthol-Based Solid Dispersion Technique for Enhanced Solubility and Dissolution of Sulfamethoxazole from an Oral Tablet Matrix. AAPS PharmSciTech 2015, 16, 771–786. [Google Scholar] [CrossRef] [PubMed]
- Dehghani, H.; Taheri, A.; Homayouni, A. Design, Optimization and Evaluation of Orally Disintegrating Tablet of Meloxicam Using Its Menthol Based Solid Dispersions. Curr. Drug Deliv. 2017, 14, 709–717. [Google Scholar] [CrossRef] [PubMed]
- Attebäck, M.; Hedin, B.; Mattsson, S. Formulation Optimization of Extemporaneous Oral Liquids Containing Naloxone and Propranolol for Pediatric Use. Sci. Pharm. 2022, 90, 15. [Google Scholar] [CrossRef]
- Asfour, M.H.; Abd El-Alim, S.H.; Kassem, A.A.; Salama, A.; Gouda, A.S.; Nazim, W.S.; Nashaat, N.H.; Hemimi, M.; Abdel Meguid, N. Vitamin D3-Loaded Nanoemulsions as a Potential Drug Delivery System for Autistic Children: Formulation Development, Safety, and Pharmacokinetic Studies. AAPS PharmSciTech 2023, 24, 58. [Google Scholar] [CrossRef]
- Madhavan, M.; Hwang, G.C.C. Design and evaluation of transdermal flufenamic acid delivery system. Drug Dev. Ind. Pharm. 1992, 18, 617–626. [Google Scholar] [CrossRef]
- Wagner, H.; Kostka, K.-H.; Adelhardt, W.; Schaefer, U.F. Effects of various vehicles on the penetration of flufenamic acid into human skin. Eur. J. Pharm. Biopharm. 2004, 58, 121–129. [Google Scholar] [CrossRef] [PubMed]
- Muslim, R.K.; Maraie, N.K. Perspective Impact of Gelling Agents on the Mechanistic Behavior for the Topical Delivery of Flufenamic Acid Nano-Ethosomal Dispersion. Int. J. Drug Deliv. Technol. 2022, 12, 789–797. [Google Scholar] [CrossRef]
- Mokhtarpour, M.; Shekaari, H.; Martinez, F.; Zafarani-Moattar, M.T. Performance of Local Composition Models to Correlate the Aqueous Solubility of Naproxen in Some Choline Based Deep Eutectic Solvents at T = (298.15-313.15) K. Pharm. Sci. 2019, 25, 244–253. [Google Scholar] [CrossRef]
- Bhola, R.; Vaghani, H.; Bhatt, K.; Ghumara, R. Drug solubility and dissolution thermodynamic approach in various solvents at different temperatures: A review. Biointerface Res. Appl. Chem. 2022, 12, 4374–4383. [Google Scholar]
- Li, X.; Du, C.; Cong, Y.; Wang, J.; Zhao, H. Solubility determination and thermodynamic modeling of paclobutrazol in nine organic solvents from T = (278.15 to 318.15) K and mixing properties of solutions. J. Chem. Thermodyn. 2017, 104, 261–273. [Google Scholar] [CrossRef]
- Shakeel, F.; Mothana, R.A.; Haq, N.; Siddiqui, N.A.; Al-Oqail, M.M.; Al-Rehaily, A.J. Solubility and thermodynamic function of bergenin in different (DMSO + water) mixtures at different temperatures. J. Mol. Liq. 2016, 220, 823–828. [Google Scholar] [CrossRef]
- Tajmir, F.; Roosta, A. Solubility of cefixime in aqueous mixtures of deep eutectic solvents from experimental study and modeling. J. Mol. Liq. 2020, 303, 112636. [Google Scholar] [CrossRef]
- Barzegar-Jalali, M.; Jafari, P.; Jouyban, A. Experimental determination and correlation of naproxen solubility in biodegradable low-toxic betaine-based deep eutectic solvents and water mixtures at 293.15 K to 313.15 K. Fluid Phase Equilib. 2022, 560, 113508. [Google Scholar] [CrossRef]
- Przybyłek, M.; Recki, Ł.; Mroczyńska, K.; Jeliński, T.; Cysewski, P. Experimental and theoretical solubility advantage screening of bi-component solid curcumin formulations. J. Drug Deliv. Sci. Technol. 2019, 50, 125–135. [Google Scholar] [CrossRef]
- Jeliński, T.; Przybyłek, M.; Cysewski, P. Solubility advantage of sulfanilamide and sulfacetamide in natural deep eutectic systems: Experimental and theoretical investigations. Drug Dev. Ind. Pharm. 2019, 45, 1120–1129. [Google Scholar] [CrossRef] [PubMed]
- Jeliński, T.; Stasiak, D.; Kosmalski, T.; Cysewski, P. Experimental and theoretical study on theobromine solubility enhancement in binary aqueous solutions and ternary designed solvents. Pharmaceutics 2021, 13, 1118. [Google Scholar] [CrossRef] [PubMed]
- Cysewski, P.; Jeliński, T.; Przybyłek, M. Application of COSMO-RS-DARE as a Tool for Testing Consistency of Solubility Data: Case of Coumarin in Neat Alcohols. Molecules 2022, 27, 5274. [Google Scholar] [CrossRef] [PubMed]
- Klamt, A. Conductor-like screening model for real solvents: A new approach to the quantitative calculation of solvation phenomena. J. Phys. Chem. 1995, 99, 2224–2235. [Google Scholar] [CrossRef]
- Cysewski, P.; Jeliński, T.; Przybyłek, M.; Mai, A.; Kułak, J. Experimental and Machine-Learning-Assisted Design of Pharmaceutically Acceptable Deep Eutectic Solvents for the Solubility Improvement of Non-Selective COX Inhibitors Ibuprofen and Ketoprofen. Molecules 2024, 29, 2296. [Google Scholar] [CrossRef]
- Cysewski, P.; Jeliński, T.; Przybyłek, M. Experimental and Theoretical Insights into the Intermolecular Interactions in Saturated Systems of Dapsone in Conventional and Deep Eutectic Solvents. Molecules 2024, 29, 1743. [Google Scholar] [CrossRef]






Disclaimer/Publisher’s Note: The statements, opinions and data contained in all publications are solely those of the individual author(s) and contributor(s) and not of MDPI and/or the editor(s). MDPI and/or the editor(s) disclaim responsibility for any injury to people or property resulting from any ideas, methods, instructions or products referred to in the content. |
© 2025 by the authors. Licensee MDPI, Basel, Switzerland. This article is an open access article distributed under the terms and conditions of the Creative Commons Attribution (CC BY) license (https://creativecommons.org/licenses/by/4.0/).
Share and Cite
Cysewski, P.; Jeliński, T.; Kukwa, O.; Przybyłek, M. From Molecular Interactions to Solubility in Deep Eutectic Solvents: Exploring Flufenamic Acid in Choline-Chloride- and Menthol-Based Systems. Molecules 2025, 30, 3434. https://doi.org/10.3390/molecules30163434
Cysewski P, Jeliński T, Kukwa O, Przybyłek M. From Molecular Interactions to Solubility in Deep Eutectic Solvents: Exploring Flufenamic Acid in Choline-Chloride- and Menthol-Based Systems. Molecules. 2025; 30(16):3434. https://doi.org/10.3390/molecules30163434
Chicago/Turabian StyleCysewski, Piotr, Tomasz Jeliński, Oliwia Kukwa, and Maciej Przybyłek. 2025. "From Molecular Interactions to Solubility in Deep Eutectic Solvents: Exploring Flufenamic Acid in Choline-Chloride- and Menthol-Based Systems" Molecules 30, no. 16: 3434. https://doi.org/10.3390/molecules30163434
APA StyleCysewski, P., Jeliński, T., Kukwa, O., & Przybyłek, M. (2025). From Molecular Interactions to Solubility in Deep Eutectic Solvents: Exploring Flufenamic Acid in Choline-Chloride- and Menthol-Based Systems. Molecules, 30(16), 3434. https://doi.org/10.3390/molecules30163434

