Choline Acetate/Water Mixtures: Physicochemical Properties and Structural Organization
Abstract
1. Introduction
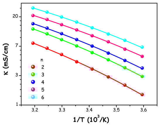
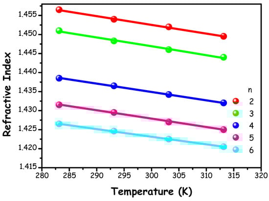
2. Results
3. Discussion
4. Experimental Methods
4.1. Chemicals
4.2. DSC Measurements
4.3. Density Measurements
4.4. Viscosity Measurements
4.5. Electrical Conductivity Measurements
4.6. Refractive Index Measurements
4.7. X-Ray Scattering Experiments
4.7.1. Small Angle X-Ray Scattering
4.7.2. Wide Angle X-Ray Scattering
4.8. NMR Measurements
4.9. Computational Details
Supplementary Materials
Author Contributions
Funding
Data Availability Statement
Acknowledgments
Conflicts of Interest
Correction Statement
References
- Smith, E.L.; Abbott, A.P.; Ryder, K.S. Deep Eutectic Solvents (DESs) and Their Applications. Chem. Rev. 2014, 114, 11060–11082. [Google Scholar] [CrossRef]
- Abbott, A.P. Deep Eutectic Solvents and Their Application in Electrochemistry. Curr. Opin. Green Sustain. Chem. 2022, 36, 100649. [Google Scholar] [CrossRef]
- Abbott, A.P.; Capper, G.; Davies, D.L.; Rasheed, R.K.; Tambyrajah, V. Novel Solvent Properties of Choline Chloride/Urea Mixtures. Chem. Commun. 2003, 70–71. [Google Scholar] [CrossRef]
- Martins, M.A.R.; Pinho, S.P.; Coutinho, J.A.P. Insights into the Nature of Eutectic and Deep Eutectic Mixtures. J. Solution. Chem. 2019, 48, 962–982. [Google Scholar] [CrossRef]
- Van den Bruinhorst, A.; Costa Gomes, M. Is There Depth to Eutectic Solvents? Curr. Opin. Green Sustain. Chem. 2022, 37, 100659. [Google Scholar] [CrossRef]
- Abranches, D.O.; Coutinho, J.A.P. Everything You Wanted to Know about Deep Eutectic Solvents but Were Afraid to Be Told. Annu. Rev. Chem. Biomol. Eng. 2023, 14, 141–163. [Google Scholar] [CrossRef]
- Wang, Z.; Zhao, X.; Chen, Y.; Wei, C.; Jiang, J. A Review of Designable Deep Eutectic Solvents for Green Fabrication of Advanced Functional Materials. RSC Sustain. 2025, 3, 738–756. [Google Scholar] [CrossRef]
- Abranches, D.O.; Coutinho, J.A.P. Type V Deep Eutectic Solvents: Design and Applications. Curr. Opin. Green Sustain. Chem. 2022, 35, 100612. [Google Scholar] [CrossRef]
- Gilmore, M.; Moura, L.M.; Turner, A.H.; Swadźba-Kwaśny, M.; Callear, S.K.; McCune, J.A.; Scherman, O.A.; Holbrey, J.D. A Comparison of Choline:Urea and Choline:Oxalic Acid Deep Eutectic Solvents at 338 K. J. Chem. Phys. 2018, 148, 193823. [Google Scholar] [CrossRef]
- Maugeri, Z.; de María, P. Novel Choline-Chloride-Based Deep-Eutectic-Solvents with Renewable Hydrogen Bond Donors: Levulinic Acid and Sugar-Based Polyols. RSC Adv. 2012, 2, 421–425. [Google Scholar] [CrossRef]
- Fanali, C.; Della Posta, S.; Dugo, L.; Gentili, A.; Mondello, L.; De Gara, L. Choline-Chloride and Betaine-Based Deep Eutectic Solvents for Green Extraction of Nutraceutical Compounds from Spent Coffee Ground. J. Pharm. Biomed. Anal. 2020, 189, 113421. [Google Scholar] [CrossRef]
- Gajardo-Parra, N.F.; Lubben, M.J.; Winnert, J.M.; Leiva, Á.; Brennecke, J.F.; Canales, R.I. Physicochemical Properties of Choline Chloride-Based Deep Eutectic Solvents and Excess Properties of Their Pseudo-Binary Mixtures with 1-Butanol. J. Chem. Thermodyn. 2019, 133, 272–284. [Google Scholar] [CrossRef]
- Harifi-Mood, A.R.; Buchner, R. Density, Viscosity, and Conductivity of Choline Chloride + Ethylene Glycol as a Deep Eutectic Solvent and Its Binary Mixtures with Dimethyl Sulfoxide. J. Mol. Liq. 2017, 225, 689–695. [Google Scholar] [CrossRef]
- Di Muzio, S.; Russina, O.; Mastrippolito, D.; Benassi, P.; Rossi, L.; Paolone, A.; Ramondo, F. Mixtures of Choline Chloride and Tetrabutylammonium Bromide with Imidazole as Examples of Deep Eutectic Solvents: Their Structure by Theoretical and Experimental Investigation. J. Mol. Liq. 2022, 352, 118427. [Google Scholar] [CrossRef]
- Radošević, K.; Cvjetko Bubalo, M.; Gaurina Srček, V.; Grgas, D.; Landeka Dragičević, T.; Radojčić Redovniković, I. Evaluation of Toxicity and Biodegradability of Choline Chloride Based Deep Eutectic Solvents. Ecotoxicol. Environ. Saf. 2015, 112, 46–53. [Google Scholar] [CrossRef]
- Mangiacapre, E.; Castiglione, F.; D’Aristotile, M.; Di Lisio, V.; Triolo, A.; Russina, O. Choline Chloride-Water Mixtures as New Generation of Green Solvents: A Comprehensive Physico-Chemical Study. J. Mol. Liq. 2023, 383, 122120. [Google Scholar] [CrossRef]
- Triolo, A.; Lo Celso, F.; Brehm, M.; Di Lisio, V.; Russina, O. Liquid Structure of a Choline Chloride-Water Natural Deep Eutectic Solvent: A Molecular Dynamics Characterization. J. Mol. Liq. 2021, 331, 115750. [Google Scholar] [CrossRef]
- Asakawa, A.; Kohara, M.; Sasaki, C.; Asada, C.; Nakamura, Y. Comparison of Choline Acetate Ionic Liquid Pretreatment with Various Pretreatments for Enhancing the Enzymatic Saccharification of Sugarcane Bagasse. Ind. Crops Prod. 2015, 71, 147–152. [Google Scholar] [CrossRef]
- Połomski, D.; Garbacz, P.; Czerwinski, K.; Chotkowski, M. Synthesis and Physicochemical Properties of the Mixtures Based on Choline Acetate or Choline Chloride. J. Mol. Liq. 2021, 327, 114820. [Google Scholar] [CrossRef]
- Triolo, A.; Di Pietro, M.E.; Mele, A.; Lo Celso, F.; Brehm, M.; Di Lisio, V.; Martinelli, A.; Chater, P.; Russina, O. Liquid Structure and Dynamics in the Choline Acetate:Urea 1:2 Deep Eutectic Solvent. J. Chem. Phys. 2021, 154, 244501. [Google Scholar] [CrossRef]
- Zhao, H.; Baker, G.A.; Holmes, S. New Eutectic Ionic Liquids for Lipase Activation and Enzymatic Preparation of Biodiesel. Org. Biomol. Chem. 2011, 9, 1908–1916. [Google Scholar] [CrossRef]
- Hoppe, J.; Drozd, R.; Byzia, E.; Smiglak, M. Deep Eutectic Solvents Based on Choline Cation—Physicochemical Properties and Influence on Enzymatic Reaction with β-Galactosidase. Int. J. Biol. Macromol. 2019, 136, 296–304. [Google Scholar] [CrossRef]
- Ma, Y.; Vernet, G.; Zhang, N.; Kara, S. Exploring DES-Water Mixtures for Improved ADH-CHMO Fusion Enzyme Performance in Linear Cascades. ChemCatChem 2025, 17, e202401792. [Google Scholar] [CrossRef]
- Huang, Z.L.; Wu, B.P.; Wen, Q.; Yang, T.X.; Yang, Z. Deep Eutectic Solvents Can Be Viable Enzyme Activators and Stabilizers. J. Chem. Technol. Biotechnol. 2014, 89, 1975–1981. [Google Scholar] [CrossRef]
- Wu, B.P.; Wen, Q.; Xu, H.; Yang, Z. Insights into the Impact of Deep Eutectic Solvents on Horseradish Peroxidase: Activity, Stability and Structure. J. Mol. Catal. B Enzym. 2014, 101, 101–107. [Google Scholar] [CrossRef]
- Colombo Dugoni, G.; Mezzetta, A.; Guazzelli, L.; Chiappe, C.; Ferro, M.; Mele, A. Purification of Kraft Cellulose under Mild Conditions Using Choline Acetate Based Deep Eutectic Solvents. Green Chem. 2020, 22, 8680–8691. [Google Scholar] [CrossRef]
- Segatto, M.L.; Schnarr, L.; Olsson, O.; Kümmerer, K.; Zuin, V.G. Ionic Liquids vs. Ethanol as Extraction Media of Algicidal Compounds from Mango Processing Waste. Front. Chem. 2022, 10, 986987. [Google Scholar] [CrossRef]
- Kaur, A.; Bansal, S.; Chauhan, D.; Bhasin, K.K.; Chaudhary, G.R. The Study of Molecular Interactions of Aqueous Solutions of Choline Acetate at Different Temperatures. J. Mol. Liq. 2019, 286, 110878. [Google Scholar] [CrossRef]
- Eckert, M.; Peters, W.; Drillet, J.F. Fast Microwave-Assisted Hydrothermal Synthesis of Pure Layered δ-MnO2 for Multivalent Ion Intercalation. Materials 2018, 11, 2399. [Google Scholar] [CrossRef]
- Sakthivel, M.; Batchu, S.P.; Shah, A.A.; Kim, K.; Peters, W.; Drillet, J.F. An Electrically Rechargeable Zinc/Air Cell with an Aqueous Choline Acetate Electrolyte. Materials 2020, 13, 2975. [Google Scholar] [CrossRef]
- Veroutis, E.; Merz, S.; Eichel, R.-A.; Granwehr, J. Solvation and Ion-Pairing Effects of Choline Acetate Electrolyte in Protic and Aprotic Solvents Studied by NMR Titrations. ChemPhysChem 2022, 23, e202100602. [Google Scholar] [CrossRef]
- Miao, S.; Jiang, H.J.; Imberti, S.; Atkin, R.; Warr, G. Aqueous Choline Amino Acid Deep Eutectic Solvents. J. Chem. Phys. 2021, 154, 214504. [Google Scholar] [CrossRef]
- Triolo, A.; Lo Celso, F.; Russina, O. Liquid Structure of a Water-Based, Hydrophobic and Natural Deep Eutectic Solvent: The Case of Thymol-Water. A Molecular Dynamics Study. J. Mol. Liq. 2023, 372, 121151. [Google Scholar] [CrossRef]
- Xie, Y.; Dong, H.; Zhang, S.; Lu, X.; Ji, X. Effect of Water on the Density, Viscosity, and CO2 Solubility in Choline Chloride/Urea. J. Chem. Eng. Data 2014, 59, 3344–3352. [Google Scholar] [CrossRef]
- Agieienko, V.; Buchner, R. Variation of Density, Viscosity, and Electrical Conductivity of the Deep Eutectic Solvent Reline, Composed of Choline Chloride and Urea at a Molar Ratio of 1:2, Mixed with Dimethylsulfoxide as a Cosolvent. J. Chem. Eng. Data 2020, 65, 1900–1910. [Google Scholar] [CrossRef]
- Leron, R.B.; Li, M.H. High-Pressure Density Measurements for Choline Chloride: Urea Deep Eutectic Solvent and Its Aqueous Mixtures at T = (298.15 to 323.15) K and up to 50 MPa. J. Chem. Thermodyn. 2012, 54, 293–301. [Google Scholar] [CrossRef]
- Andreani, C.; Corsaro, C.; Mallamace, D.; Romanelli, G.; Senesi, R.; Mallamace, F. The Onset of the Tetrabonded Structure in Liquid Water. Sci. China Phys. Mech. Astron. 2019, 62, 107008. [Google Scholar] [CrossRef]
- Jin, H.; O’Hare, B.; Dong, J.; Arzhantsev, S.; Baker, G.A.; Wishart, J.F.; Benesi, A.J.; Maroncelli, M. Physical Properties of Ionic Liquids Consisting of the 1-Butyl-3- Methylimidazolium Cation with Various Anions and the Bis(Trifluoromethylsulfonyl)Imide Anion with Various Cations. J. Phys. Chem. B 2008, 112, 81–92. [Google Scholar] [CrossRef]
- Piacentini, V.; Simari, C.; Mangiacapre, E.; Pierini, A.; Gentile, A.; Marchionna, S.; Nicotera, I.; Brutti, S.; Bodo, E. Aprotic Electrolytes Beyond Organic Carbonates: Transport Properties of LiTFSI Solutions in S-Based Solvents. ChemSusChem 2024, 18, e202402273. [Google Scholar] [CrossRef]
- Lee, S.-Y.; Ueno, K.; Angell, C.A. Lithium Salt Solutions in Mixed Sulfone and Sulfone-Carbonate Solvents: A Walden Plot Analysis of the Maximally Conductive Compositions. J. Phys. Chem. C 2012, 116, 23915–23920. [Google Scholar] [CrossRef]
- Dahbi, M.; Ghamouss, F.; Tran-Van, F.; Lemordant, D.; Anouti, M. Comparative Study of EC/DMC LiTFSI and LiPF6 Electrolytes for Electrochemical Storage. J. Power Sources 2011, 196, 9743–9750. [Google Scholar] [CrossRef]
- Triolo, A.; Lo Celso, F.; Ottaviani, C.; Ji, P.; Appetecchi, G.B.; Leonelli, F.; Keeble, D.S.; Russina, O. Structural Features of Selected Protic Ionic Liquids Based on a Super-Strong Base. Phys. Chem. Chem. Phys. 2019, 21, 25369–25378. [Google Scholar] [CrossRef]
- De Araujo Lima, E.; Souza, G.; Di Pietro, M.E.; Castiglione, F.; Marques Mezencio, P.H.; Fazzio Martins Martinez, P.; Mariani, A.; Schütz, H.M.; Passerini, S.; Middendorf, M.; et al. Implications of Anion Structure on Physicochemical Properties of DBU-Based Protic Ionic Liquids. J. Phys. Chem. B 2022, 126, 7006–7014. [Google Scholar] [CrossRef]
- Russina, O.; Caminiti, R.; Triolo, A.; Rajamani, S.; Melai, B.; Bertoli, A.; Chiappe, C. Physico-Chemical Properties and Nanoscale Morphology in N-Alkyl-N-Methylmorpholinium Dicyanamide Room Temperature Ionic Liquids. J. Mol. Liq. 2013, 187, 252–259. [Google Scholar] [CrossRef]
- Russina, O.; Triolo, A.; Gontrani, L.; Caminiti, R. Mesoscopic Structural Heterogeneities in Room-Temperature Ionic Liquids. J. Phys. Chem. Lett. 2012, 3, 27–33. [Google Scholar] [CrossRef]
- Chen, W.; Bai, X.; Xue, Z.; Mou, H.; Chen, J.; Liu, Z.; Mu, T. The Formation and Physicochemical Properties of PEGylated Deep Eutectic Solvents. New J. Chem. 2019, 43, 8804–8810. [Google Scholar] [CrossRef]
- Hayyan, M.; Aissaoui, T.; Hashim, M.A.; AlSaadi, M.A.; Hayyan, A. Triethylene Glycol Based Deep Eutectic Solvents and Their Physical Properties. J. Taiwan Inst. Chem. Eng. 2015, 50, 24–30. [Google Scholar] [CrossRef]
- Cui, Y.; Li, C.; Yin, J.; Li, S.; Jia, Y.; Bao, M. Design, Synthesis and Properties of Acidic Deep Eutectic Solvents Based on Choline Chloride. J. Mol. Liq. 2017, 236, 338–343. [Google Scholar] [CrossRef]
- Wang, Y.; Chen, W.; Zhao, Q.; Jin, G.; Xue, Z.; Wang, Y.; Mu, T. Ionicity of Deep Eutectic Solvents by Walden Plot and Pulsed Field Gradient Nuclear Magnetic Resonance (PFG-NMR). Phys. Chem. Chem. Phys. 2020, 22, 25760–25768. [Google Scholar] [CrossRef]
- MacFarlane, D.R.; Forsyth, M.; Izgorodina, E.I.; Abbott, A.P.; Annat, G.; Fraser, K. On the Concept of Ionicity in Ionic Liquids. Phys. Chem. Chem. Phys. 2009, 11, 4962–4967. [Google Scholar] [CrossRef]
- Angell, C.A.; Byrne, N.; Belieres, J.-P. Parallel Developments in Aprotic and Protic Ionic Liquids: Physical Chemistry and Applications. Acc. Chem. Res. 2007, 40, 1228–1236. [Google Scholar] [CrossRef]
- Nanda, R.; Damodaran, K. A Review of NMR Methods Used in the Study of the Structure and Dynamics of Ionic Liquids. Magn. Reson. Chem. 2018, 56, 62–72. [Google Scholar] [CrossRef]
- Zubkov, M.; Dennis, G.R.; Stait-Gardner, T.; Torres, A.M.; Willis, S.A.; Zheng, G.; Price, W.S. Physical Characterization Using Diffusion NMR Spectroscopy. Magn. Reson. Chem. 2017, 55, 414–424. [Google Scholar] [CrossRef]
- Lepore, E.; Ciancaleoni, G.; Perinelli, D.R.; Bonacucina, G.; Gabrielli, S.; de Simone, G.; Gabbianelli, R.; Bordoni, L.; Tiecco, M. Cluster Aggregation of Water-Based Deep Eutectic Solvents in Water and Evaluation of Their Cytotoxicity. J. Mol. Liq. 2024, 415, 126427. [Google Scholar] [CrossRef]
- Allegretti, C.; D’Arrigo, P.; Gatti, F.G.; Rossato, L.A.M.; Ruffini, E. Dependence of 1H-NMR T1 Relaxation Time of Trimethylglycine Betaine Deep Eutectic Solvents on the Molar Composition and on the Presence of Water. RSC Adv. 2023, 13, 3004–3007. [Google Scholar] [CrossRef]
- Hammond, O.S.; Bowron, D.T.; Edler, K.J. Liquid Structure of the Choline Chloride-Urea Deep Eutectic Solvent (Reline) from Neutron Diffraction and Atomistic Modelling. Green Chem. 2016, 18, 2736–2744. [Google Scholar] [CrossRef]
- Turner, A.H.; Holbrey, J.D. Investigation of Glycerol Hydrogen-Bonding Networks in Choline Chloride/Glycerol Eutectic-Forming Liquids Using Neutron Diffraction. Phys. Chem. Chem. Phys. 2019, 21, 21782–21789. [Google Scholar] [CrossRef]
- Zhang, Y.; Poe, D.; Heroux, L.; Squire, H.; Doherty, B.W.; Long, Z.; Dadmun, M.; Gurkan, B.; Tuckerman, M.E.; Maginn, E.J. Liquid Structure and Transport Properties of the Deep Eutectic Solvent Ethaline. J. Phys. Chem. B 2020, 124, 5251–5264. [Google Scholar] [CrossRef]
- Kaur, S.; Sharma, S.; Kashyap, H.K. Bulk and Interfacial Structures of Reline Deep Eutectic Solvent: A Molecular Dynamics Study. J. Chem. Phys. 2017, 147, 194507. [Google Scholar] [CrossRef]
- Hammond, O.S.; Bowron, D.T.; Edler, K.J. The Effect of Water upon Deep Eutectic Solvent Nanostructure: An Unusual Transition from Ionic Mixture to Aqueous Solution. Angew. Chem.—Int. Ed. 2017, 56, 9782–9785. [Google Scholar] [CrossRef]
- Basham, M.; Filik, J.; Wharmby, M.T.; Chang, P.C.Y.; El Kassaby, B.; Gerring, M.; Aishima, J.; Levik, K.; Pulford, B.C.A.; Sikharulidze, I.; et al. Data Analysis WorkbeNch (DAWN). J. Synchrotron Radiat. 2015, 22, 853–858. [Google Scholar] [CrossRef]
- Soper, A.K. GudrunN and GudrunX: Programs for Correcting Raw Neutron and X-Ray Diffraction Data to Differential Scattering Cross Section. 2017. Available online: https://github.com/disorderedmaterials/Gudrun (accessed on 18 August 2022).
- Hutter, J.; Iannuzzi, M.; Schiffmann, F.; Vandevondele, J. Cp2k: Atomistic Simulations of Condensed Matter Systems. Wiley Interdiscip. Rev. Comput. Mol. Sci. 2014, 4, 15–25. [Google Scholar] [CrossRef]
- Kühne, T.D.; Iannuzzi, M.; Del Ben, M.; Rybkin, V.V.; Seewald, P.; Stein, F.; Laino, T.; Khaliullin, R.Z.; Schütt, O.; Schiffmann, F.; et al. CP2K: An Electronic Structure and Molecular Dynamics Software Package -Quickstep: Efficient and Accurate Electronic Structure Calculations. J. Chem. Phys. 2020, 152, 194103. [Google Scholar] [CrossRef]
- Vandevondele, J.; Krack, M.; Mohamed, F.; Parrinello, M.; Chassaing, T.; Hutter, J. Quickstep: Fast and Accurate Density Functional Calculations Using a Mixed Gaussian and Plane Waves Approach. Comput. Phys. Commun. 2005, 167, 103–128. [Google Scholar] [CrossRef]
- VandeVondele, J.; Hutter, J. An Efficient Orbital Transformation Method for Electronic Structure Calculations. J. Chem. Phys. 2003, 118, 4365–4369. [Google Scholar] [CrossRef]
- Hohenberg, P.; Kohn, W. Inhomogeneous Electron Gas. Phys. Rev. 1964, 136, B864–B871. [Google Scholar] [CrossRef]
- Kohn, W.; Sham, L.J. Self-Consistent Equations Including Exchange and Correlation Effects. Phys. Rev. 1965, 140, A1133–A1138. [Google Scholar] [CrossRef]
- Lee, C.; Yang, W.; Parr, R.G. Development of the Colle-Salvetti Correlation-Energy Formula into a Functional of the Electron Density. Phys. Rev. B 1988, 37, 785–789. [Google Scholar] [CrossRef]
- Becke, A.D. Density-Functional Exchange-Energy Approximation with Correct Asymptotic Behavior. Phys. Rev. A 1988, 38, 3098–3100. [Google Scholar] [CrossRef]
- Grimme, S.; Ehrlich, S.; Goerigk, L. Effect of the Damping Function in Dispersion Corrected Density Functional Theory. J. Comput. Chem. 2011, 32, 1456–1465. [Google Scholar] [CrossRef]
- Grimme, S.; Antony, J.; Ehrlich, S.; Krieg, H. A Consistent and Accurate Ab Initio Parametrization of Density Functional Dispersion Correction (DFT-D) for the 94 Elements H-Pu. J. Chem. Phys. 2010, 132, 154104. [Google Scholar] [CrossRef]
- Smith, D.G.A.; Burns, L.A.; Patkowski, K.; Sherrill, C.D. Revised Damping Parameters for the D3 Dispersion Correction to Density Functional Theory. J. Phys. Chem. Lett. 2016, 7, 2197–2203. [Google Scholar] [CrossRef]
- VandeVondele, J.; Hutter, J. Gaussian Basis Sets for Accurate Calculations on Molecular Systems in Gas and Condensed Phases. J. Chem. Phys. 2007, 127, 114105. [Google Scholar] [CrossRef]
- Hartwigsen, C.; Goedecker, S.; Hutter, J. Relativistic Separable Dual-Space Gaussian Pseudopotentials from H to Rn. Phys. Rev. B 1998, 58, 3641–3662. [Google Scholar] [CrossRef]
- Goedecker, S.; Teter, M.; Hutter, J. Separable Dual-Space Gaussian Pseudopotentials. Phys. Rev. B 1996, 54, 1703–1710. [Google Scholar] [CrossRef]
- Nosé, S. A Unified Formulation of the Constant Temperature Molecular Dynamics Methods. J. Chem. Phys. 1984, 81, 511–519. [Google Scholar] [CrossRef]
- Martyna, G.J.; Klein, M.L.; Tuckerman, M. Nosé-Hoover Chains: The Canonical Ensemble via Continuous Dynamics. J. Chem. Phys. 1992, 97, 2635–2643. [Google Scholar] [CrossRef]
- Martinez, L.; Andrade, R.; Birgin, E.G.; Martínez, J.M. PACKMOL: A Package for Building Initial Configurations for Molecular Dynamics Simulations. J. Comput. Chem. 2009, 30, 2157–2164. [Google Scholar] [CrossRef]
- Plimpton, S. Fast Parallel Algorithms for Short-Range Molecular Dynamics. J. Comput. Phys. 1995, 117, 1–19. [Google Scholar] [CrossRef]
- Horn, H.W.; Swope, W.C.; Pitera, J.W.; Madura, J.D.; Dick, T.J.; Hura, G.L.; Head-Gordon, T. Development of an Improved Four-Site Water Model for Biomolecular Simulations: TIP4P-Ew. J. Chem. Phys. 2004, 120, 9665–9678. [Google Scholar] [CrossRef]
- Doherty, B.; Acevedo, O. OPLS Force Field for Choline Chloride-Based Deep Eutectic Solvents. J. Phys. Chem. B 2018, 122, 9982–9993. [Google Scholar] [CrossRef]
- Andersen, H.C. Rattle: A “Velocity” Version of the Shake Algorithm for Molecular Dynamics Calculations. J. Comput. Phys. 1983, 52, 24–34. [Google Scholar] [CrossRef]
- Ryckaert, J.-P.; Ciccotti, G.; Berendsen, H.J.C. Numerical Integration of the Cartesian Equations of Motion of a System with Constraints: Molecular Dynamics of n-Alkanes. J. Comput. Phys. 1977, 23, 327–341. [Google Scholar] [CrossRef]
- Berendsen, H.J.C.; Postma, J.P.M.; Van Gunsteren, W.F.; Dinola, A.; Haak, J.R. Molecular Dynamics with Coupling to an External Bath. J. Chem. Phys. 1984, 81, 3684–3690. [Google Scholar] [CrossRef]
- Schneider, T.; Stoll, E. Molecular-Dynamics Study of a Three-Dimensional One-Component Model for Distortive Phase Transitions. Phys. Rev. B 1978, 17, 1302–1322. [Google Scholar] [CrossRef]
- Dünweg, B.; Paul, W. Brownian dynamics simulations without gaussian random numbers. Int. J. Mod. Phys. C 1991, 02, 817–827. [Google Scholar] [CrossRef]
- Brehm, M.; Kirchner, B. TRAVIS—A Free Analyzer and Visualizer for Monte Carlo and Molecular Dynamics Trajectories. J. Chem. Inf. Model. 2011, 51, 2007–2023. [Google Scholar] [CrossRef] [PubMed]
- Brehm, M.; Thomas, M.; Gehrke, S.; Kirchner, B. TRAVIS—A Free Analyzer for Trajectories from Molecular Simulation. J. Chem. Phys. 2020, 152, 164105. [Google Scholar] [CrossRef]
- Hollõczki, O.; Macchiagodena, M.; Weber, H.; Thomas, M.; Brehm, M.; Stark, A.; Russina, O.; Triolo, A.; Kirchner, B. Triphilic Ionic-Liquid Mixtures: Fluorinated and Non-Fluorinated Aprotic Ionic-Liquid Mixtures. ChemPhysChem 2015, 16, 3325–3333. [Google Scholar] [CrossRef]

















| Correlation | Peak Position (Å) | Integration Distance (Å) | N(r) |
|---|---|---|---|
| Ch–Ch | 6.4 | 8.0 | 6.2 |
| Ch–Ac | 4.9 | 7.0 | 5.3 |
| Ch–W | 4.6 | 6.3 | 7.5 |
| W–Ch | 4.6 | 6.3 | 3.7 |
| Ac–Ac | 8.0 | 9.0 | 9.1 |
| Ac–W | 3.5 | 4.3 | 2.5 |
| W–Ac | 3.5 | 4.3 | 1.2 |
| W–W | 2.8 | 3.5 | 1.4 |
| Correlation | Peak Position (Å) | Integration Distance (Å) | N(r) |
|---|---|---|---|
| Och–Oac | 2.6 | 3.5 | 0.83 |
| Och–Ow | 2.7 | 3.5 | 0.77 |
| Och–Cch | 3.4 | 4.3 | 1.70 |
| Och–Cac | 3.6 | 4.3 | 0.74 |
| Nch–Och | 4.4 | 5.5 | 0.63 |
| Nch–Oac | 4.3 | 5.5 | 2.20 |
| Nch–Ow | 4.5 | 5.5 | 2.30 |
| Nch–Cch | 5.1 | 5.5 | 1.03 |
| Nch–Cac | 5.0 | 7.5 | 2.50 |
| Correlation | Peak Position (Å) | Integration Distance (Å) | N(r) |
|---|---|---|---|
| Ow–Hw | 1.8 | 2.5 | 0.62 |
| Ow–Ow | 2.8 | 3.5 | 1.4 |
| Ow–Hch | 1.7 | 2.5 | 0.16 |
| Hw–Och | 1.9 | 2.5 | 0.10 |
| Hch–Ow | 1.7 | 2.5 | 0.31 |
| Och–Hw | 1.9 | 2.5 | 0.37 |
| Oac–Hw | 1.7 | 2.5 | 1.16 |
| Oac–Hch | 1.7 | 2.5 | 0.36 |
| Hw–Oac | 1.7 | 2.5 | 0.58 |
| Hch–Oac | 1.7 | 2.5 | 0.71 |
| Och–Hch | 1.8 | 2.5 | 0.02 |
Disclaimer/Publisher’s Note: The statements, opinions and data contained in all publications are solely those of the individual author(s) and contributor(s) and not of MDPI and/or the editor(s). MDPI and/or the editor(s) disclaim responsibility for any injury to people or property resulting from any ideas, methods, instructions or products referred to in the content. |
© 2025 by the authors. Licensee MDPI, Basel, Switzerland. This article is an open access article distributed under the terms and conditions of the Creative Commons Attribution (CC BY) license (https://creativecommons.org/licenses/by/4.0/).
Share and Cite
Mangiacapre, E.; Barhoumi, Z.; Brehm, M.; Castiglione, F.; Di Lisio, V.; Triolo, A.; Russina, O. Choline Acetate/Water Mixtures: Physicochemical Properties and Structural Organization. Molecules 2025, 30, 3403. https://doi.org/10.3390/molecules30163403
Mangiacapre E, Barhoumi Z, Brehm M, Castiglione F, Di Lisio V, Triolo A, Russina O. Choline Acetate/Water Mixtures: Physicochemical Properties and Structural Organization. Molecules. 2025; 30(16):3403. https://doi.org/10.3390/molecules30163403
Chicago/Turabian StyleMangiacapre, Emanuela, Zina Barhoumi, Martin Brehm, Franca Castiglione, Valerio Di Lisio, Alessandro Triolo, and Olga Russina. 2025. "Choline Acetate/Water Mixtures: Physicochemical Properties and Structural Organization" Molecules 30, no. 16: 3403. https://doi.org/10.3390/molecules30163403
APA StyleMangiacapre, E., Barhoumi, Z., Brehm, M., Castiglione, F., Di Lisio, V., Triolo, A., & Russina, O. (2025). Choline Acetate/Water Mixtures: Physicochemical Properties and Structural Organization. Molecules, 30(16), 3403. https://doi.org/10.3390/molecules30163403

