Improving Anti-Corrosion Property of Aluminium Alloy by Fabrication MAO Coating via Mixing Titanium Potassium Oxalate into Electrolyte
Abstract
1. Introduction
2. Results and Discussion
2.1. Influence of Titanium Oxalate Potassium Concentration on the Micro Surface Morphology of the Coating
2.2. Influence of Titanium Oxalate Potassium Concentration on the Crystalline of the Coating
2.3. Influence of Titanium Oxalate Potassium Concentration on the Open Circuit Voltage of the Coating
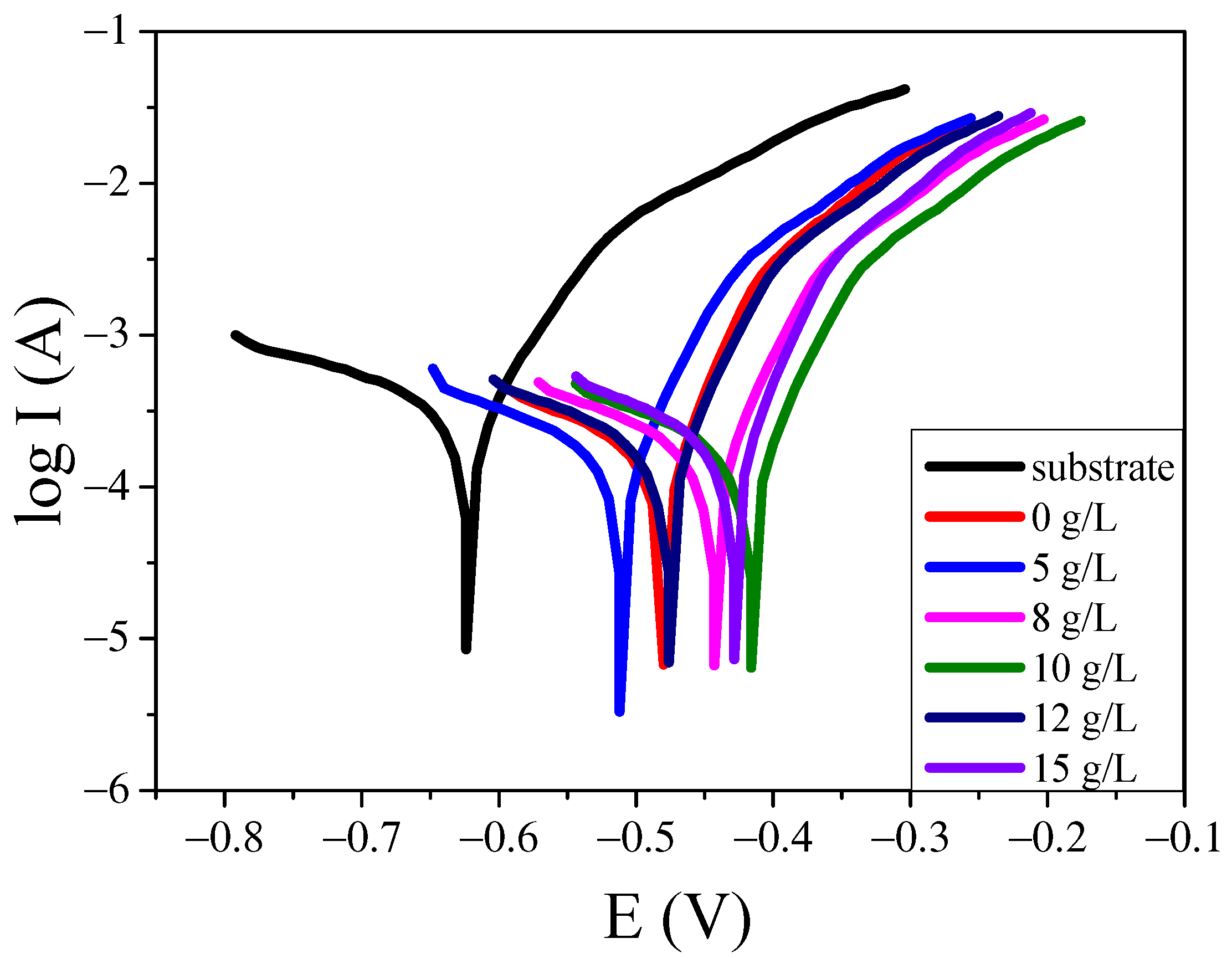
2.4. Influence of Titanium Oxalate Potassium Concentration on the Corrosion Current and Corrosion Potential of the Coating
2.5. Influence of Titanium Oxalate Potassium Concentration on the Impedance of the Coating
3. Experiment
3.1. Materials and Reagents
3.2. Experimental Process
3.3. Characterization
4. Conclusions
- (1)
- To improve the anti-corrosion properties of the aluminium alloy, 10 g/L titanium potassium oxalate was mixed into the electrolyte, and a micro arc oxidation coating was prepared on the surface of the aluminium alloy. The SEM and EDS results demonstrated that the compactness of the coating was improved.
- (2)
- The results of XRD indicated that the coating consisted of Al2O3 and TiO2. Moreover, the electrochemical workstation was used to test the anti-corrosion of the coating, showing that the open circuit potential, corrosion potential, corrosion current, and impedance of the coating were −0.32 V, −0.32 V, 5.98 × 10−7 A/cm2, and 55 kΩ, respectively. Compared with the substrate, the corrosion potential shifted to 0.2141 V, the corrosion current decreased to 4.6246 × 10−7 A/cm2, the impedance of the coating increased to 53 kΩ, and the anti-corrosion property of the aluminium alloy was improved.
Author Contributions
Funding
Institutional Review Board Statement
Informed Consent Statement
Data Availability Statement
Acknowledgments
Conflicts of Interest
References
- Moura, S.J.; Callaway, D.S.; Fathy, H.K.; Stein, J.L. Tradeoffs between battery energy capacity and stochastic optimal power management in plug-in hybrid electric vehicles. J. Power Sources 2010, 195, 2979–2988. [Google Scholar] [CrossRef]
- Venugopal, L.; Satyanarayana, K. Effect of heat treatment process on end forming behavior of 2014 aluminium alloy tubes. Adv. Mater. Process. Technol. 2022, 8, 1888498. [Google Scholar] [CrossRef]
- Arvind, T.R.; Dayal, D.R.R.; Krishna, K.L.H.; Survesh, S. Mechanical characterization and comparison of glass fibre and glass fibre reinforced with aluminium alloy (GFRAA) for automotive application. Mater. Today Proc. 2021, 46, 1181–1186. [Google Scholar] [CrossRef]
- Dabala, M.; Ramous, E.; Magrini, M. Corrosion resistance of cerium-based chemical conversion coatings on AA5083 aluminium alloy. Mater. Corros. 2004, 55, 381–386. [Google Scholar] [CrossRef]
- Narayanan, T.S.; Park, I.S.; Lee, M.H. Strategies to improve the corrosion resistance of microarc oxidation (MAO) coated magnesium alloys for degradable implants: Prospects and challenges. Prog. Mater. Sci. 2014, 60, 1–71. [Google Scholar] [CrossRef]
- Trdan, U.; Grum, J. Evaluation of corrosion resistance of AA6082-T651 aluminium alloy after laser shock peening by means of cyclic polarisation and ElS methods. Corros. Sci. 2012, 59, 324–333. [Google Scholar] [CrossRef]
- Liu, S.D.; Chen, B.; Li, C.B.; Dai, Y.; Deng, Y.L.; Zhang, X.M. Mechanism of low exfoliation corrosion resistance due to slow quenching in high strength aluminium alloy. Corros. Sci. 2015, 91, 203–212. [Google Scholar] [CrossRef]
- Gencer, Y.; Tarakci, M.; Cengiz, S.; Gunduz, K.O. The effect of sodium silicate concentration on the properties of the coating formed on pure zirconium by microarc oxidation coating technique. Adv. Mater. Res. 2012, 445, 637–642. [Google Scholar] [CrossRef]
- Riley, D.J.; Bavastrello, V.; Covani, U.; Barone, A.; Nicolini, C. An in-vitro study of the sterilization of titanium dental implants using low intensity UV-radiation. Dent. Mater. 2005, 21, 756–760. [Google Scholar] [CrossRef]
- Wu, W.X.; Wang, W.P.; Lin, H.C. A study on corrosion behavior of micro-arc oxidation coatings doped with 2-aminobenzimidazole loaded halloysite nanotubes on AZ31 magnesium alloys. Surf. Coat. Technol. 2021, 416, 127116. [Google Scholar] [CrossRef]
- Han, J.; Wan, P.; Sun, Y.; Liu, Z.; Fan, X.; Tan, L.; Yang, K. Fabrication and Evaluation of a Bioactive Sr–Ca–P Contained Micro-Arc Oxidation Coating on Magnesium Strontium Alloy for Bone Repair Application. J. Mater. Sci. Technol. 2016, 32, 233–244. [Google Scholar] [CrossRef]
- Li, W.P.; Qian, Z.Y.; Liu, X.H.; Zhu, L.Q.; Liu, H.C. Investigation of micro-arc oxidation coating growth patterns of aluminum alloy by two-step oxidation method. Appl. Surf. Sci. 2015, 356, 581–586. [Google Scholar] [CrossRef]
- Duan, N.Q.; Ren, J.L.; Pang, R.Q. The experimental study of diffraction angle of aluminum alloy 3003. Adv. Mater. Res. 2013, 625, 291–296. [Google Scholar] [CrossRef]
- Li, H.X.; Rudnev, V.S.; Zheng, X.H.; Yarovaya, T.P.; Song, R.G. Characterization of Al2O3 ceramic coatings on 6063 aluminum alloy prepared in borate electrolytes by micro-arc oxidation. J. Alloys Compd. 2008, 462, 99–102. [Google Scholar] [CrossRef]
- Han, Y.; Chen, D.H.; Zhang, L. Nanocrystallized SrHA/SrHA–SrTiO3/SrTiO3–TiO2 multilayer coatings formed by micro-arc oxidation for photocatalytic application. Nanotechnology 2008, 19, 335705. [Google Scholar] [CrossRef]
- Sugimura, S.; Liao, J.S. Long-term corrosion protection of arc spray Zn-Al-Si coating system in dilute chloride solutions and sulfate solutions. Surf. Coat. Technol. 2016, 302, 398–409. [Google Scholar] [CrossRef]
- Shen, Y.; Wang, H.X.; Pan, Y.P. Effect of Current Density on the Microstructure and Corrosion Properties of MAO Coatings on Aluminum Alloy Shock Absorber. Key Eng. Mater. 2018, 764, 28–38. [Google Scholar] [CrossRef]
- Su, Z.W.; Mu, R.; Cui, Y.H.; Zhu, H.D.; Li, X.T.; Shao, Z.C. Study on micro-arc oxidation coating of magnetic metal powder composite magnesium alloy. Anti Corros. Methods Mater. 2020, 67, 501–508. [Google Scholar] [CrossRef]
- Huang, H.; Qiu, J.; Sun, M.; Liu, W.; Wei, X.; Sakai, E.; Ito, K. A hard coating with MAO/AAO double layers prepared on aluminum in etidronic acid by DC oxidation. Surf. Coat. Technol. 2019, 360, 307–317. [Google Scholar] [CrossRef]
- Lett, J.A.; Sagadevan, S.; Kaliaraj, G.S.; Alagarsamy, K.; Arumugam, S.; Sivaprakash, P.; Muthukumaran, S.; Paiman, S.; Mohammad, F.; Al-Lohedan, H.; et al. Synthesis, characterization, and electrical properties of alkali earth metal-doped bioceramics. Mater. Chem. Phys. 2020, 249, 123141. [Google Scholar] [CrossRef]
- González, F.; Greiner, D.; Mena, V.; Souto, R.M.; Santana, J.J.; Aznárez, J.J. Fitting procedure based on differential evolution to evaluate impedance parameters of metal–coating systems. Eng. Comput. 2019, 36, 2960–2982. [Google Scholar] [CrossRef]
- Lou, B.Y.; Tang, Y.X.; Li, X. The research on anticorrosion and abrasion behavior in corrosive medium of micro-arc oxidation film on magnesium alloy. Key Eng. Mater. 2011, 474–476, 123–126. [Google Scholar] [CrossRef]
- Song, W.; Jiang, B.L.; Ji, D.D. Improving the Tribological Performance of MAO Coatings by Using a Stable Sol Electrolyte Mixed with Cellulose Additive. Materials 2019, 12, 4226. [Google Scholar] [CrossRef] [PubMed]









| C4H2K2O10Ti Concentration (g/L) | Element Content | ||||
|---|---|---|---|---|---|
| O | Al | Si | P | Ti | |
| 0 | 40.08 | 48.37 | 2.66 | 8.89 | 0 |
| 2 | 37.82 | 47.02 | 3.23 | 8.08 | 3.82 |
| 5 | 37.90 | 41.81 | 3.34 | 7.92 | 9.03 |
| 8 | 38.26 | 35.35 | 3.92 | 8.35 | 12.47 |
| 10 | 40.74 | 32.83 | 1.95 | 9.05 | 15.43 |
| 12 | 40.56 | 32.21 | 2.12 | 9.12 | 17.11 |
| 15 | 40.09 | 29.59 | 1.18 | 8.55 | 20.59 |
| C4H2K2O10Ti Concentration (g/L) | Corrosion Potential (V) | Corrosion Current (×10−7 A/cm2) |
|---|---|---|
| substrate | −0.6215 | 10.608 |
| 0 | −0.4754 | 12.594 |
| 5 | −0.5139 | 7.8901 |
| 8 | −0.4322 | 14.261 |
| 10 | −0.4074 | 5.9834 |
| 12 | −0.4725 | 9.2599 |
| 15 | −0.4238 | 7.5732 |
| Potassium Titanium Oxalate Concentration (g/L) | Resistance (Ω) | ||||
|---|---|---|---|---|---|
| RL | R1 | Q1 | C2 | R2 | |
| 0 | 0.214 × 10−7 | 91 | 4.659 × 10−7 | 0.6478 | 2174 |
| 5 | 65.25 × 10−7 | 154.5 | 1.169 × 10−5 | 0.8 | 280.4 |
| 8 | 2967 × 10−7 | 5410 | 3.927 × 10−7 | 0.937 | 154.5 |
| 10 | 1866 × 10−7 | 18,920 | 2.768 × 10−7 | 1 | 36,430 |
| 12 | 3.128 × 10−7 | 8392 | 1.968 × 10−5 | 0.8864 | 254.1 |
| 15 | 3.128 × 10−7 | 346.9 | 2.56 × 10−5 | 0.8949 | 1418 |
Disclaimer/Publisher’s Note: The statements, opinions and data contained in all publications are solely those of the individual author(s) and contributor(s) and not of MDPI and/or the editor(s). MDPI and/or the editor(s) disclaim responsibility for any injury to people or property resulting from any ideas, methods, instructions or products referred to in the content. |
© 2025 by the authors. Licensee MDPI, Basel, Switzerland. This article is an open access article distributed under the terms and conditions of the Creative Commons Attribution (CC BY) license (https://creativecommons.org/licenses/by/4.0/).
Share and Cite
Song, W.; Xing, Y.; Song, Z. Improving Anti-Corrosion Property of Aluminium Alloy by Fabrication MAO Coating via Mixing Titanium Potassium Oxalate into Electrolyte. Molecules 2025, 30, 153. https://doi.org/10.3390/molecules30010153
Song W, Xing Y, Song Z. Improving Anti-Corrosion Property of Aluminium Alloy by Fabrication MAO Coating via Mixing Titanium Potassium Oxalate into Electrolyte. Molecules. 2025; 30(1):153. https://doi.org/10.3390/molecules30010153
Chicago/Turabian StyleSong, Wei, Yasheng Xing, and Zhen Song. 2025. "Improving Anti-Corrosion Property of Aluminium Alloy by Fabrication MAO Coating via Mixing Titanium Potassium Oxalate into Electrolyte" Molecules 30, no. 1: 153. https://doi.org/10.3390/molecules30010153
APA StyleSong, W., Xing, Y., & Song, Z. (2025). Improving Anti-Corrosion Property of Aluminium Alloy by Fabrication MAO Coating via Mixing Titanium Potassium Oxalate into Electrolyte. Molecules, 30(1), 153. https://doi.org/10.3390/molecules30010153
