Abstract
Malic acid-derived polyamides, polyhydrazides, and hydrazides exhibit strong potential for a variety of biological applications. This study demonstrates the synthesis of cobalt, silver, copper, zinc, and iron particles by a facile chemical reduction approach utilizing malic acid-derived polyamides, polyhydrazides, and hydrazides as stabilizing and reducing agents. Comprehensive characterization of the particles was performed using UV–Vis spectroscopy, FTIR, XRD, SEM, and EDX analysis. The synthesized particles included both zero-valent metals and oxides exhibiting mixed-phase compositions that may influence their functional properties. UV–vis analysis confirmed the formation of particles represented by the surface plasmon resonance (SPR) peaks specific to each metal particle. FTIR spectroscopy revealed the interaction of the metal particles with the polymer matrix owing to the significant contribution of functional groups in the processes of reduction and stabilization. Further structural insights were obtained via X-ray diffraction (XRD), which identified crystalline phases, and scanning electron microscopy (SEM), which demonstrated uniform morphologies. Additionally, energy-dispersive X-ray (EDX) analysis provided compositional details, affirming the purity and distribution of metallic elements. These findings highlight the potential of malic acid-derived polymers as versatile agents for nanoparticle synthesis with applications in catalysis, sensing, and biomedical technologies.
1. Introduction
Metal particles (MPs) have attracted much attention on account of their exceptional optical, catalytic, and electronic characteristics, making them suitable for a variety of applications such as medicine, electronics, and environmental remediation [1,2,3]. The processing methods used for synthesizing nanoparticles through conventional means typically involve stringent chemicals and conditions, leading to an environmental threat and safety issues [4,5]. Accordingly, a rapid demand exists for eco-friendly and sustainable synthesis of MPs using green nanotechnology [6]. One possible way is using natural/degradable materials and their derivatives instead of the production of synthetic, non-degradable agents for both reduction and stabilization [7,8]. Polyamides, polyhydrazides, and hydrazides are versatile polymers known for their robust mechanical properties, thermal stability, and ability to form strong interactions with metal ions [9,10,11]. The molecular weight distribution of these polymers significantly influences their ability to stabilize and control nanoparticle growth. Understanding the relationship between molecular weight and polymer functionality is essential for optimizing the reduction and stabilization of metal salts into nanoparticles. Polymeric amides and hydrazides are, apart from being interesting classes of polymers, also common building blocks in materials chemistry as these absorb metal cations to offer higher mechanical stability, contrasted with unmodified amides and hydrazides alongside degradation protection against light and oxidation, due to their thermal stability [12,13,14]. These attributes make them good choices to be used for the synthesis of metal particles.
Considering that malic acid is a naturally occurring dicarboxylic acid unfolding in various fruits, the use of this C4-diacid provides a green and biocompatible approach to generating these types of polymers [15,16]. Thanks to its non-toxic and biodegradable nature, it can be used as a stabilizing and reducing agent for producing metal particles, which are all beneficial aspects [17,18]. The green synthesis of particles using natural sources is crucial for advancing sustainable nanotechnology, as it minimizes environmental impact and leverages biodegradable materials, as highlighted in recent studies [19,20,21]. Among the several classes of polymers with amide groups (-CONH-) present in plastics are polyamides. These polymers are used in many different applications, especially in the industrial sector, because of their superior strength, modulus, thermal stability, and chemical resistance [22]. The second sort, hydrazides and polyhydrazides, are made up of hydrazine (-NH-NH-) groups with extra anchoring points for interaction with metal ions and subsequent substitution processes [23]. By adding malic acid to these polymers, more carboxylic and hydroxyl groups can potentially occupy these positions, enhancing the reactivity and capacity of polymeric molecular interactions [24,25]. Malic acid primarily reacts with diamines or dihydrazides for the synthesis of these polymers under certain conditions [26]. Briefly, the procedure includes the carboxylic acid reacting with an amine group to generate an amide bond by a condensation reaction, which is aided by the catalytic properties of malic acid [27]. It is quite appealing since it completely avoids using hazardous chemicals and solvents during the reaction process, which is in line with green chemistry [28,29,30].
For the intent of yielding metal particles, synthesized polyamide, polyhydrazide, and hydrazide can be utilized as both stabilizers and reducing agents [31]. It is significant from previous studies that the functional groups present in the polymers can donate electrons, which allows the metal ions (like Co2+ Ag+, Fe2+, Cu2+, Zn2+, and Fe2+) to be reduced to their metallic forms (Co, Ag, Cu, Zn, and Fe) [32,33]. Malic acid is crucial to this reduction process due to its capacity to donate electrons and its ability to stabilize particles. Uniform-sized particles can be produced as a result of the stabilizing effects of polyamide, polyhydrazide, and hydrazide effectively diminishing the probability of large, aggregated particle formation [26,34]. Through interactions with the surface of the particle, two additional functional groups (carboxylic and hydroxyl) on malic acid also contribute to additional stability. As a result, stable, homogenous particles with properties appropriate for multiple applications can be produced [35,36].
The present work attempts to determine whether malic acid-derived polyamide, polyhydrazide, and hydrazide may be used to prepare metal particles. Malic acid has two purposes: it accelerates the polymerization process to a significantly higher rate and helps with the environmentally friendly synthesis of metal particles. In this sense, using malic acid is advantageous because of its natural source, environmental friendliness, and capacity to operate as a multifunctional organic acid that may be employed in a variety of functional activities. Our goal, though, is to develop a synthesis method that is repeatable for producing metal particles at the polymer-malic acid phase level for biological applications.
2. Results and Discussion
2.1. Optical, Structural, Morphological, and Elemental Analysis of Cobalt Particles
Figure 1a displays ultraviolet-visible (UV–vis) absorption spectra of the cobalt particles synthesized from malic acid-treated polyamide, polyhydrazide, and hydrazide. For convenience, the samples were designated as CoNP-PA, CoNP-PH, and CoNP-H for polyamide, polyhydrazide, and hydrazide-mediated cobalt particles. The peak at 419 nm in the CoNP-PA sample points to the presence of cobalt particles. In contrast, the high absorption peak indicates a higher concentration of the particles in a solution with fair dispersion. For the CoNP-PH sample, the peak was slightly red-shifted (423 nm) relative to the CoNP-PA and it indicates that there was a difference in the size distribution or the surface environment of the CoNPs after polyhydrazide treatment. For the CoNP-H sample, the absorption intensity was further reduced, which might be due to poor dispersion. This implies a different attachment of cobalt particles to the hydrazide-treated metal particles sample. The primary peaks for all samples were within the range of 390–450 nm, characteristic of cobalt particles’ surface plasmon resonance (SPR) [37]. Fourier-transform infrared (FTIR) analysis was performed to recognize the various functional groups present in CoNP-PA, CoNP-PH, and CoNP-H samples, as shown in Figure 1b. The different functional groups can contribute to the synthesis, capping, and stabilization of particles [38]. The spectra exhibited similar peaks, with minor shifts and peak broadening observed in the polymer-mediated particles. A notable peak at 3450 cm−1 is characteristic of the hydroxyl group found in phenolic compounds. Additional significant peaks were observed at 1620 cm−1, 1375 cm−1, 1078 cm−1, and 533 cm−1, corresponding to the carbonyl group, amide group, C–O stretch of alcohols or phenols, and cobalt particles, respectively. Figure 1c shows the XRD measurements for each of the three samples (CoNP-PA, CoNP-PH, and CoNP-H). The formation of CoO identified by the strong diffraction peaks at 45°, 52°, and 76° matched well with the plane of (111), (200), and (220) of cubic phase particles (JCPDS:42-14670). XRD analysis revealed that the synthesized samples consisted of an undefined mixture of oxides, indicating the absence of a phase-pure oxide. The XRD patterns of the produced cobalt particles showed considerable modifications, including the disappearance of certain peaks and the introduction of other signals, indicating the formation of mixed oxide phases rather than a single-phase material. These differences are not simply attributable to the effect of the stabilizing agents, as XRD offers bulk structural information and is not very surface-sensitive. Instead, the changes were most likely caused by variations in nucleation and growth processes under varied synthesis conditions, which resulted in the production of undefined crystalline mixes. This structural complexity underscores the importance of carefully controlling reaction conditions in order to generate consistent and well-defined phase compositions. More research, such as improved structural characterization techniques, is needed to completely understand and optimize the formation process. Pure cobalt particles usually form in a spherical shape, according to earlier research [39]. The majority of the cobalt particles were spherical, as shown in Figure 1d, while a tiny percentage formed dendritic patterns that resembled flowers. Conversely, the sample exhibited cobalt particles with a pronounced dendritic morphology resembling leaves. Only the Co and O peaks were visible in the EDX spectrum with 74.84 wt.% of Co and 25.16 wt.% of O (Figure 1e,f). The spectrum once more demonstrated the pure cobalt and oxygen in the configuration of this nanostructure.
Figure 1.
UV–vis absorption spectra of Co particles synthesized from malic acid-treated polyamide, polyhydrazide, and hydrazide (a), and IR spectra of the same (b). XRD pattern of the same (c), top-view SEM image of Co particles synthesized from malic acid-treated polyamide (d), elemental composition of Co particles synthesized from malic acid-treated polyamide (e), and EDX image of Co particles’ spectrum 2 (f).
2.2. Optical, Structural, Morphological, and Elemental Analysis of Silver Particles
Figure 2a displays the absorption spectra of the Ag particles produced from malic acid-treated polyamide, polyhydrazide, and hydrazide. The existence of AgNP was corroborated by the absorption peak position at 405 nm for AgNP-PA, 421 nm for Ag-PH, and 425 nm for AgNP-H samples. The intensity of the peak absorbance was lower in the AgNP-H samples as compared to the other two samples. However, the peak position indicated the subsistence of AgNP, and the relatively low intensity may indicate a lesser concentration or smaller size of the particles. Therefore, a high concentration of the produced silver particles was indicated by a high absorbance level, particularly in the AgNP-PA sample. All of the samples exhibited a peak in the 400–450 nm range, which corresponds to the usual silver particle surface plasmon resonance (SPR) [40]. This suggests that all of the samples included silver particles. The variations in peak intensities signified the variations in the treatments adopted in the formation of these particles. AgNP-PA was implied to form the most efficient and concentrated of the silver particles, as AgNP-PA > AgNP-PH > AgNP-H. It was also observed that the size distribution of the relevant particles could be obtained by utilizing the width of the peaks. Sharp peaks indicate a more constrained size range of the particles, whereas larger peaks indicate a wider particle size distribution. The AgNP-PA spectrum showed a more narrow and higher peak, indicating a more uniform and strongly condensed distribution of particles. The IR spectra of AgNP-PA, AgNP-PH, and AgNP-H are shown in Figure 2b. The precise IR characteristic vibration peak for AgNP-PA was identified to be at 1432 cm−1 which corresponds to NH bending vibration, 2836 cm−1 for CH2 extension, 3247 cm−1 for N-H stretching, and 590 cm−1 for N-H bending vibrations. The obtained vibrational peak of the amine group was quite close to that of the literature but shifted a little downward due to the manifestation of AgNPs at the PA surface, indicating that Ag NPs might have had some physical interaction with the amine group. Further, a peak at 557 cm−1 was assigned to the existence of Ag particles. In the case of the AgNP-PH sample, the IR peaks of silver particles were observed at 440 cm−1 and 509 cm−1. This slight variation in peak positioning can be attributed probably to the surface plasmon resonance of the AgNP [41]. The AgNP-H spectrum was similar to the AgNP-PH spectrum with fewer functional groups, suggesting less complex surface chemistry from the hydrazide treatment. However, AgNP-PA demonstrated a broad and complex spectrum with numerous functional groups, specifying a diverse surface chemistry from the polyamide treatment. The crystalline structure and phase composition of pre-synthesized silver particles are shown in Figure 2c. Following the standard reference (JCPDS No: 03-0931), the XRD pattern shows four different diffraction peaks at around 38°, 44°, 64°, and 77°. These peaks correspond to the (111), (200), (220), and (311) crystal planes. The face-centered cubic (fcc) structure of the produced silver particles indicated that the silver nitrate precursor was efficiently reduced by the addition of polyamide/polyhydrazide and hydrazide, resulting in the formation of crystalline Ag NPs. This SEM image exhibited silver particles synthesized using malic acid-treated polymers and silver nitrate, as shown in Figure 2d. Particles of different sizes seemed to be clustered together to produce a rough, porous structure. According to the scale bar, the typical particle size appeared to be in the nanometer range. These particles may have had a large surface area, as shown by the agglomeration, which might be advantageous for catalysis and other applications requiring high reactivity. Additionally, the varied particle shapes and irregular surface morphology indicate that the synthesis process likely produced a mixture of particle sizes and shapes, potentially due to the influence of malic acid-treated polymers in the reaction environment. The EDX spectrum indicated the presence of carbon (C), oxygen (O), and silver (Ag) with 21.36 wt.% of C, 30.56 wt.% of O, and 48.08 wt.% of Ag, respectively, as shown in Figure 2e,f. The presence of carbon and oxygen was likely due to the organic components from the malic acid-treated polymers used in synthesis, as well as any organic residues or stabilizers remaining on the particles. Ag particles, characterized by narrow SPR peaks and uniform size, are well-suited for biomedical applications such as antimicrobial agents or in sensing technologies.
Figure 2.
UV–vis absorption spectra of Ag particles synthesized from malic acid-treated polyamide, polyhydrazide, and hydrazide (a), and IR spectra of the same (b). XRD pattern of the same (c), top-view SEM image of Ag particles synthesized from malic acid-treated polyamide (d), elemental composition of Ag particles synthesized from malic acid-treated polyamide (e), and EDX image of Ag particles spectrum 3 (f).
2.3. Optical, Structural, Morphological, and Elemental Analysis of Copper Particles
UV–visible absorption spectra of the synthesized copper particles are depicted in Figure 3a. The prompt and broad absorption maxima at 565 nm for CuNP-PA, 590 nm for CuNP-PH, and 582 nm for CuNP-H samples confirmed the surface plasmon resonance of copper colloids. The intense surface plasmon band was evidence of the formation of non-oxidized copper particles. The slight red shift and low absorption intensity in polyhydrazide and hydrazide-based samples suggested a variation in particle sizes or formation of the aggregation states. Figure 3b shows the IR spectra of Cu particles synthesized from malic acid-treated polyamide, polyhydrazide, and hydrazide. For the CuNP-PA sample, the broad peak was noted~3500 cm−1 and can be attributed to O-H stretching vibrations due to the presence of hydroxyl groups. The peak at 2912 cm−1 fitted well with C-H stretching vibrations. Similarly, the peaks~1648 cm−1 corresponded to C=O stretching vibrations that may imply that the compound contains carbonyl groups. The peaks from 1500–1000 cm−1 were attributed to the C-N stretching mode of amines or amides. The peaks below 1000 cm−1 displayed Cu-O bonds linked together, affirming the incorporation of the copper particles in the composites. For all three samples (CuNP-PA, CuNP-PH, and CuNP-H), peaks around 600–500 cm−1 were likely due to the Cu-O stretching vibrations. These peaks confirmed the presence of copper–oxygen bonds, suggesting the incorporation of copper particles in the composites. In the CuNP-H sample, the additional peaks at 500–400 cm−1 likely corresponded to further Cu-O interactions or lattice vibrations associated with copper oxide, reinforcing the presence of copper particles. Also, for the CuNP-PH sample, a broad peak around 3560 cm−1 for O-H stretching vibration similar to CuNP-PA was observed again. The additional peaks below 1000 cm−1 indicated the presence of copper particles. The CuNP-H peaks due to C-N stretching down to the range of 1650–1575 cm−1 comparable to the other samples and peaks below 1000 cm−1 revealed Cu particles in the sample. All the samples exhibited a diffuse band around 3500 cm−1 due to the presence of the OH group, which can be used as a capping or stabilizing agent. Specifically, the IR spectra of all samples showed copper particles in all samples with similar functional groups as capping and stabilizing agents crucial for the formation and stability of the particles. The XRD patterns of the CuNP-H, CuNP-PH, and CuNP-PA particles are shown in Figure 3d. At 19° and 23°, the CuNP-PA showed distinctive α-crystal peaks. Furthermore, as indicated by JCPDS No: 85-1326, the XRD peaks at 43° and 50° corresponded to the (111) and (200) planes, respectively, demonstrating the synthesis of Cu particles in the CuNP-PH and CuNP-H samples. The obtained structures were a mixture of oxides and not phase-pure materials. We can see a significant level of particle aggregation in this SEM image of Cu particles (Figure 3d). The particles were dispersed over the viewed area and appear as clusters of different sizes. Although some particles showed slight variations because of potential overlapping or aggregation, the morphology appeared to be spherical overall. This agglomeration may have resulted from particles’ inherent tendency to cluster in order to reduce surface energy. Like many other metallic particles, Cu particles frequently agglomerate unless an appropriate matrix or capping agent stabilizes them. Such agglomerations can affect characteristics including stability, surface area, and catalytic activity. Cu has a weight percentage of 53.04% and an atomic percentage of 22.27%, resulting in the primary peak in the EDX spectrum (Figure 3e,f). As would be predicted for copper particles, this verified that copper was the main component. The organic molecules utilized in the production process were probably the source of the carbon, which may indicate some surface passivation by the organic polymer to help stabilize the particles against further oxidation. Additionally, titanium was found. It may have been a result of contamination during the synthesis process, or it may have been a precursor or substrate material. The excellent integration of copper particles was confirmed by this elemental composition study, which also showed signs of surface oxidation and stabilization from the organic matrix obtained from malic acid. The uniform morphology of Cu nanoparticles also highlights their potential in electronic devices or as catalysts in organic transformations.
Figure 3.
UV–vis absorption spectra of Cu particles synthesized from malic acid-treated polyamide, polyhydrazide, and hydrazide (a). IR spectra of the same (b), XRD pattern of the same (c), top-view SEM image of Cu NPs synthesized from malic acid-treated polyamide (d), elemental composition of Cu NPs synthesized from malic acid-treated polyamide (e), and EDX image of Cu NPs spectrum 2 (f).
2.4. Optical, Structural, Morphological, and Elemental Analysis of Zinc (Zn) Particles
The absorption spectra of Zn particles with polyamide, polyhydrazide, and hydrazide are displayed in Figure 4a. The spectra of ZnNP-PA, ZnNP-PH, and ZnNP-H helped to probe the effective surface modification of Zn NPs. The ZnNP-PA, ZnNP-PH, and ZnNP-H samples exhibited sharp absorption peaks at 374 nm, 367 nm, and 365 nm, respectively. All Zn particles exhibited absorbance peaks in the range 350–375 nm due to facilitated charge transfer at the coordinated sites. The slight blue shift in ZnNP-PH and ZnNP-H samples can probably be ascribed to the decrease in particle sizes and the nature of the interaction of hydrazides with ZnO lattice sites. The IR spectra of ZnNP-PA, ZnNP-PH, and ZnNP-H samples are displayed in Figure 4b. The hydroxyl groups present at the surface of ZnO particles were responsible for the absorption band at 3477 cm−1. Four new, unique bands of absorption were revealed at 3031 cm−1, 1648 cm−1, 1475 cm−1, and 1210 cm−1. The double carbon–carbon bonds in aromatic rings, the carbon–oxygen link, and the aromatic CH groups were represented by these bands, in that order [42]. Additionally, a distinct absorption band at 1558 cm−1 was noted. This band was connected to the stretching vibration of the polymer chain carbon–carbon double bond. The carbonyl group absorption band in the IR spectra appeared at about 1660 cm−1 as a result of the amide group stretching vibration. Furthermore, Zn-O in the polymer structure was the basis of the absorption band at 537 cm−1 [43]. The XRD patterns of ZnNP synthesized from PA, PH, and H are shown in Figure 4c. The (100), (002), and (101) planes of ZnO are represented by the 2θ peaks in the XRD pattern for ZnNP-PH, and ZnNP-H, which are located at about 31°, 34°, and 36°, respectively (JCPDS-36-1451) [44]. When comparing the Zn-PA pattern, a shift in peaks was seen, most likely as a result of variations in the lattice properties. The existence of Zn particles is verified in both patterns despite this change. The XRD patterns further confirmed that the synthesized samples were composed of an undefined mixture of oxides, indicating that phase purity was not achieved. The Zn particles appeared to be uniformly distributed with generally spherical morphology, though some showed slight agglomeration, as manifested in Figure 4d. The surface texture suggests a high density of particles with varied sizes, potentially indicating a mixture of particle sizes or slight polydispersity. This morphology is typical for particles synthesized in polymer matrices, where the polymer can influence particle size and distribution. The relatively uniform particle distribution suggested effective stabilization by the malic acid-treated polymer, which likely helped control the nucleation and growth of the zinc particles. The elemental composition of Zn particles confirmed the presence of Zn with high weight concentration of 62.97%, as shown in Figure 4e,f.
Figure 4.
UV–vis absorption spectra of Zn particles synthesized from malic acid-treated polyamide, polyhydrazide, and hydrazide (a). IR spectra of the same (b), XRD pattern of the same (c), top-view SEM image of Zn NPs synthesized from malic acid-treated polyamide (d), elemental composition of Zn NPs synthesized from malic acid-treated polyamide (e), and EDX image of Zn NPs spectrum 2 (f).
2.5. Optical, Structural, Morphological, and Elemental Analysis of Iron (Fe) Particles
Figure 5a shows the absorption spectra of iron particles synthesized from malic acid-treated polyamide, polyhydrazide, and hydrazide. The absorption intensity of FeNP-PA was found to be higher than in other samples. The higher absorption intensity can be noted due to the formation of smaller particle sizes with polyamide. The larger surface area of iron particles contributed to the enhanced absorption. Briefly, effective protection against harmful UV radiation damage is ensured by the integration of iron particles into the polymer matrix. The IR spectra of FeNP-PA, FeNP-PH, and FeNP-H particles are shown in Figure 5b. Fe–O stretching was indicated by a significant enlargement of peaks in the FeNP-PA spectra around the 400–700 cm−1 absorption bands. The existence of iron particles was confirmed by the peak at 566 cm−1, and amide stretching was responsible for the peak at 908 cm−1. FeNP-PH spectra demonstrated these peaks at 581 cm−1 and 692 cm−1. These peaks aligned with the bending and stretching vibrations of the Fe-O bonds assigned to the magnetite phase of the crystal lattice. Furthermore, there was a transitory, sharp peak at 1096 cm−1 in the FeNP-PH and FeNP-H spectra. Additionally, a large O-H stretching band at 3214 cm-1 was displayed by the polyhydrazide and hydrazide particles, showing the presence of O-H groups from the alcohol or water utilized. The O-H bending absorption band at 1640 cm−1 imparted further explanation for the presence of water. Finally, the hydroxyl group in Fe NPs was suggested by the C-O stretching absorption bands at 1087 cm−1, certainly due to the use of ethanol and water before drying. The crystalline nature of Fe particles was examined by XRD analysis, as shown in Figure 5d. In the XRD data of the as-synthesized samples FeNP-PA, FeNP-PH, and FeNP-H, the diffraction peaks may be ascribed to the different phases of iron oxide including hematite, magnetite, maghemite, and FeO particles, at different peak positions, respectively. The PH and H-based Fe NPs samples also show a peak around 22° because of the polymer network [2]. The SEM image in Figure 5d shows iron particles synthesized from malic acid-treated polymer and an iron precursor, exhibiting a rough, granular morphology with particles clustered in aggregates. The scale bar (500 nm) suggests that individual particle sizes were likely below 100 nm, though they were densely packed, forming larger aggregates. The rough texture may have been due to the influence of the polyamide matrix and malic acid treatment, possibly enhancing the surface area, which is favorable for catalytic or adsorption applications. The particle distribution appeared moderately uniform, although some aggregation was present, which might indicate partial oxidation or agglomeration during synthesis. This morphology suggests that the synthesis method successfully produced nanoscale particles with characteristics potentially suitable for applications requiring high surface area and reactivity. Iron (Fe) and oxygen (O) were represented by the two main peaks, with iron making up the bulk at 88.14% by weight and 64.03% by atomic percentage, and oxygen making up 13.86% by weight and 35.97% by atomic percentage, as depicted in Figure 5e,f. The sample was predominantly composed of iron particles, as confirmed by the high iron content. However, the presence of oxygen indicated partial oxidation, which was likely to generate iron oxide on the surfaces of the particles. This oxidation may have resulted from the iron particles’ frequent contact with air during production or preservation. For instance, the mixed-phase composition of Zn and Fe nanoparticles suggests potential utility in catalysis and environmental remediation due to their redox activity and stability.
Figure 5.
UV–vis absorption spectra of Fe particles synthesized from malic acid-treated polyamide, polyhydrazide, and hydrazide (a). IR spectra of the same (b), XRD pattern of the same (c), top-view SEM image of Fe NPs synthesized from malic acid-treated polyamide (d), elemental composition of Fe NPs synthesized from malic acid-treated polyamide (e), and EDX image of Fe NPs spectrum 2 (f).
In this study, SEM images provided an initial understanding of nanoparticle morphology, and UV–vis spectroscopy suggested size uniformity through narrow SPR peaks for specific metals (e.g., Ag and Cu). However, precise control over size and shape was not systematically explored or demonstrated. Quantitative size distribution analysis, statistical evaluation of particle dimensions, and high-resolution imaging are essential for establishing size and shape control. Future studies should focus on optimizing synthesis parameters, including polymer concentration, reaction temperature, and precursor ratios, to achieve reproducible and well-defined nanoparticle morphologies. These refinements are critical for enhancing the practical applicability of the synthesized nanoparticles in areas such as catalysis and biomedical technologies.
3. Experiment Section
3.1. Materials
Cobalt nitrate hexahydrate (Co(NO3)2·6H2O), silver nitrate (AgNO3), copper sulfate (CuSO4), zinc chloride (ZnCl2), L-malic acid (HO2CCH2CH(OH)CO2H), iron sulfate heptahydrate (FeSO4·7H2O), 1,3-diaminopropane (NH2(CH2)3NH2), phenyl hydrazine (C6H5NHNH2), and hydrazine monohydrate (NH2NH2·H2O) were obtained from Sigma Aldrich (St. Louis, MO, USA) with high purity. Similarly, solvents such as methanol and ethanol were also procured from Aldrich.
3.2. Synthesis of Malic Acid-Treated Polyamide, Polyhydrazide, and Hydrazide
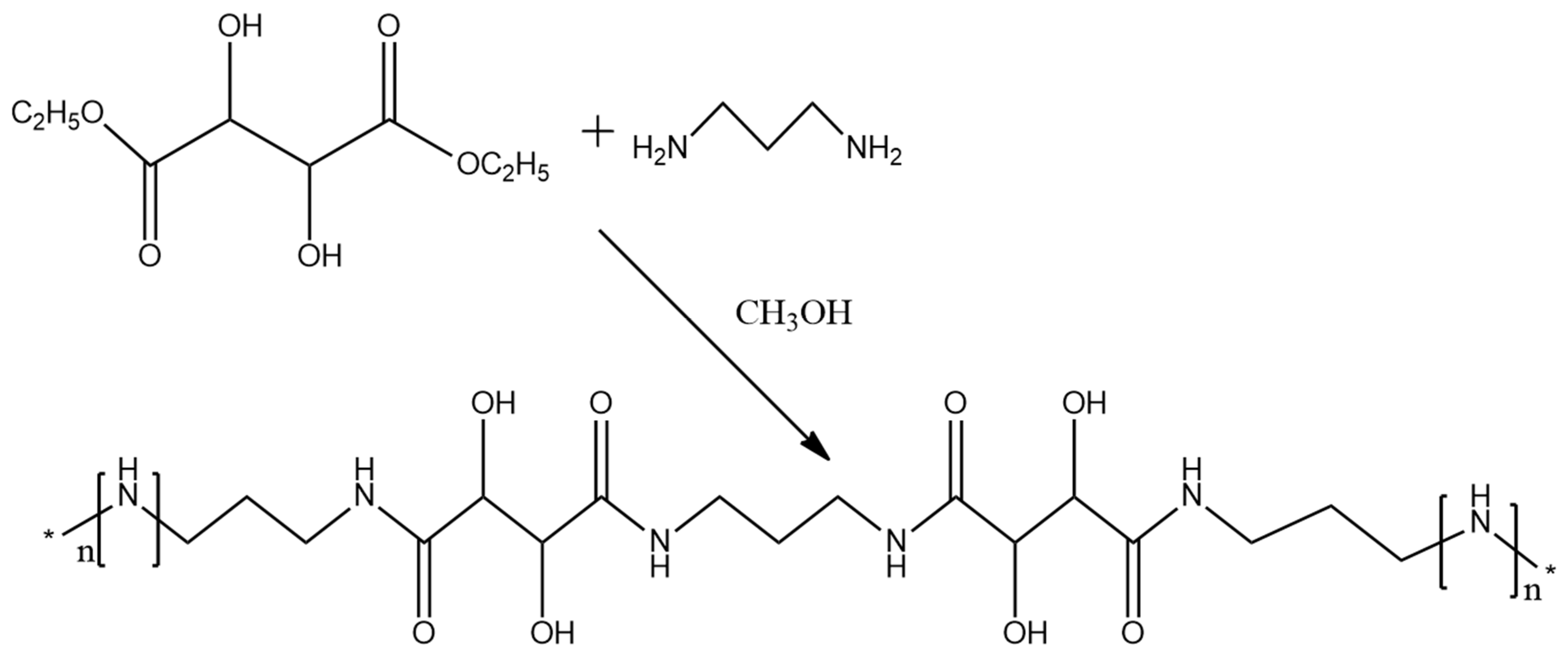
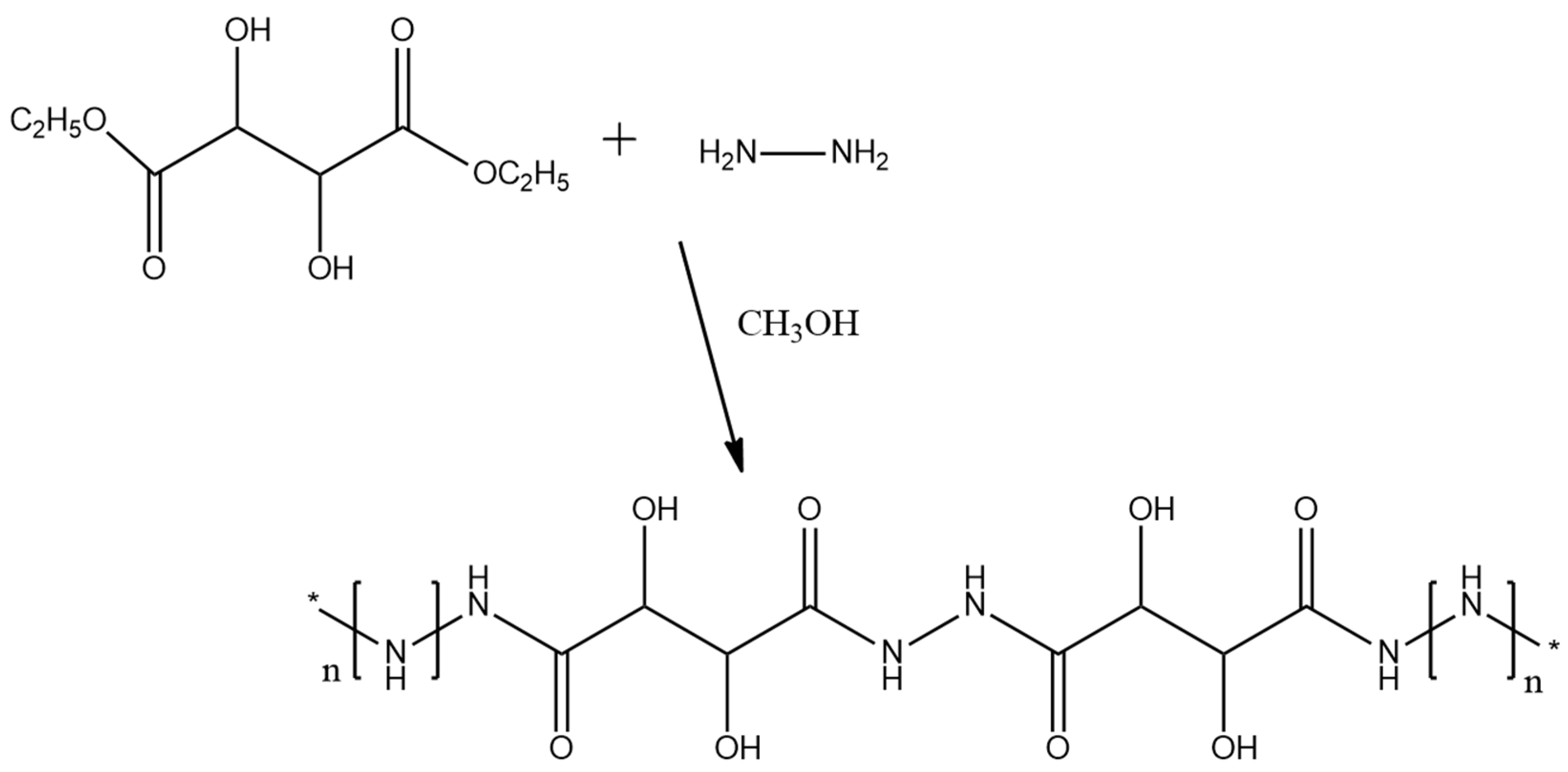
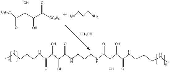
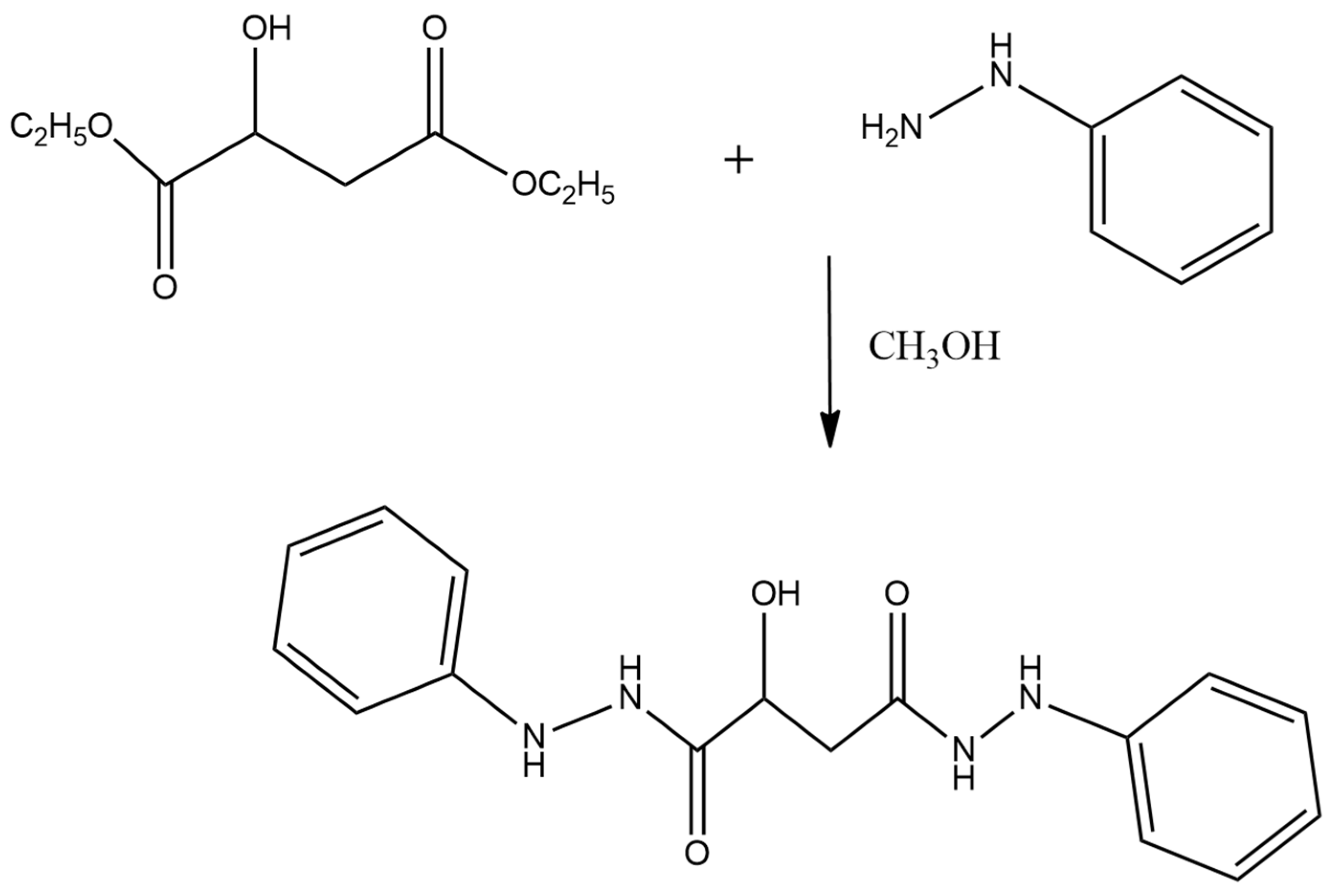
L-malic acid was directly reacted with 1,3-diaminopropane, hydrazine monohydrate, and phenyl hydrazine to produce polyamide, polyhydrazide, and hydrazide, respectively (Supplementary Materials). The acid-base reaction caused the solutions to turn pale yellow during the neutralization step regardless of the reaction temperature (80 °C). Polar solvents such as ethanol or methanol were gradually added to the solutions once cooled. A significant quantity of the intended product was obtained from this straightforward and cost-effective procedure, which yielded a yellow, sticky, gel-like substance that accumulated beneath the reaction flask. The synthesis of malic acid-treated polyamide, polyhydrazide, and hydrazide are shown in Scheme 1, Scheme 2, and Scheme 3, respectively.
Scheme 1.
The synthesis of malic acid-treated polyamide.
Scheme 2.
The synthesis of malic acid-treated polyhydrazide.
Scheme 3.
The synthesis of malic acid-treated hydrazide.
3.3. Synthesis of Metal Particles Using Malic Acid-Derived Polyamide, Polyhydrazide, and Hydrazide
Four hundred milligrams of each metal precursor, Co(NO3)2·6H2O, AgNO3, CuSO4, ZnCl2, and FeSO4·7H2O, was dissolved individually in several beakers each containing 600 mg of polyamide, 600 mg of polyhydrazide, and 600 mg of hydrazide with 6 mL of DIW. The polymers (polyamide, polyhydrazide), organic compound (hydrazide), and metal precursor mixture were transferred to a flask equipped with a condenser. The solution was heated up to 140 °C for 25 min using a magnetic stirrer. Afterwards, hydrazine monohydrate, serving as a reducing agent, was added to the above solution. The color of the solution changed as a result, appearing grayish for cobalt nitrate, light gray for silver nitrate, golden brown for copper sulfate, off-white for zinc chloride, and light black for iron sulfate precursor solutions, respectively. The ethanol was added to the above solution as a stabilizing agent. After that, the mixtures were condensed for 60 min under stirring. Lastly, the pre-synthesized particles were thoroughly washed several times with ethanol and DIW and dried for 2 h at 80 °C in a vacuum oven. The detailed description is listed in Table 1.
Table 1.
Synthesis of metal particles using malic acid-derived polyamide, polyhydrazide, and hydrazide.
3.4. Methods of Characterization
A UV–vis spectrophotometer (Shimadzu 1800, Kyoto, Japan) was used to record the optical features of metal particles, particularly the absorption characteristics. An IR spectrophotometer (Bruker Platinum-ATR, Temecula, CA, USA) was used to examine the surface characteristics and chemical composition of metal particles. Metal particle dispersions were used for the UV–vis and IR measurements. To identify surface morphology, the VEGA3 scanning electron microscope (Warrendale, PA, USA) was used to take the SEM images. Using energy dispersive spectroscopy (EDS), the elemental configuration of the produced nanocomposites was studied. The XRD diffractometer D8 Advance (Bruker, Germany) with Cu Kα (λ = 1.5406 Å) was used to analyze the crystalline structure.
4. Conclusions
In summary, we successfully synthesized cobalt, silver, copper, zinc, and iron particles using malic acid-derived polyamide, polyhydrazide, and hydrazide. These aforementioned polymers, synthesized via facile polycondensation reactions, act as effective stabilizing agents due to numerous functional groups. Utilizing cobalt nitrate, silver nitrate, copper sulfate, zinc chloride, and ferrous sulfate as metal precursors in the synthesis process aligns with green chemistry principles since no hazardous chemicals or solvents are used in the process. The SPR bands of each metal particle were made evident by the UV–vis spectroscopy successfully confirming the reduction of metal ions into metal particles. The IR spectra revealed the shift in the functional group positions of the polymers, which amply demonstrated the cause of the stability of the polymer-mediated metal particles. The XRD analysis confirmed the crystalline nature of the synthesized particles, and the results indicated the presence of undefined mixed phases. The disappearance and emergence of specific diffraction peaks suggested variations in the nucleation and growth processes during synthesis. Further improvement may be necessary for future applications to develop phase-pure materials, which would guarantee improved performance and dependability in biomedical, sensing, and catalysis technologies. It is crucial to comprehend the elements causing this phase variability to enhance the stability and synthesis of these metal oxides.
Supplementary Materials
The following supporting information can be downloaded at: https://www.mdpi.com/article/10.3390/molecules30010134/s1, synthesis of polyamide, synthesis of polyhydrazides, and ynthesis of hydrazide.
Author Contributions
M.F.Q.: conceptualization, methodology, investigation, validation, data curation, formal analysis, writing—original draft. S.A.: methodology, data curation. R.F.: methodology, data curation. N.U.: methodology, data curation. G.A.S.: resources, funding acquisition, writing—review, and editing. A.S.S.B.: formal analysis, writing—review, and editing. M.N.: validation, resources, writing—review, and editing. A.S.: validation, writing—review, and editing. T.A.S.: methodology, data curation. Y.Y.: conceptualization, project administration, supervision, validation, resources, funding acquisition, writing—review, and editing. All authors have read and agreed to the published version of the manuscript.
Funding
This research was funded by project number (RSPD2025R1118), King Saud University, Riyadh, Saudi Arabia.
Institutional Review Board Statement
Not applicable.
Informed Consent Statement
Not applicable.
Data Availability Statement
Data are contained within the article.
Acknowledgments
The authors would like to extend their sincere appreciation to the researchers supporting project number (RSPD2025R1118), King Saud University, Riyadh, Saudi Arabia for funding this study.
Conflicts of Interest
The authors declare no conflicts of interest.
References
- Burlec, A.F.; Corciova, A.; Boev, M.; Batir-Marin, D.; Mircea, C.; Cioanca, O.; Danila, G.; Danila, M.; Bucur, A.F.; Hancianu, M. Current Overview of Metal Nanoparticles’ Synthesis, Characterization, and Biomedical Applications, with a Focus on Silver and Gold Nanoparticles. Pharmaceuticals 2023, 16, 1410. [Google Scholar] [CrossRef] [PubMed]
- Dhaka, A.; Chand Mali, S.; Sharma, S.; Trivedi, R. A review on biological synthesis of silver nanoparticles and their potential applications. Results Chem. 2023, 6, 101108. [Google Scholar] [CrossRef]
- de Jesus, R.A.; de Assis, G.C.; de Oliveira, R.J.; Costa, J.A.S.; da Silva, C.M.P.; Bilal, M.; Iqbal, H.M.N.; Ferreira, L.F.R.; Figueiredo, R.T. Environmental remediation potentialities of metal and metal oxide nanoparticles: Mechanistic biosynthesis, influencing factors, and application standpoint. Environ. Technol. Innov. 2021, 24, 101851. [Google Scholar] [CrossRef]
- Khan, I.; Saeed, K.; Khan, I. Nanoparticles: Properties, applications and toxicities. Arab. J. Chem. 2019, 12, 908–931. [Google Scholar] [CrossRef]
- Abuzeid, H.M.; Julien, C.M.; Zhu, L.; Hashem, A.M. Green Synthesis of Nanoparticles and Their Energy Storage, Environmental, and Biomedical Applications. Crystals 2023, 13, 1576. [Google Scholar] [CrossRef]
- Kazemi, S.; Hosseingholian, A.; Gohari, S.D.; Feirahi, F.; Moammeri, F.; Mesbahian, G.; Moghaddam, Z.S.; Ren, Q. Recent advances in green synthesized nanoparticles: From production to application. Mater. Today Sustain. 2023, 24, 100500. [Google Scholar] [CrossRef]
- Aswathi, V.P.; Meera, S.; Maria, C.G.A.; Nidhin, M. Green synthesis of nanoparticles from biodegradable waste extracts and their applications: A critical review. Nanotechnol. Environ. Eng. 2023, 8, 377–397. [Google Scholar] [CrossRef]
- Alqarni, L.S.; Alghamdi, M.D.; Alshahrani, A.A.; Nassar, A.M. Green Nanotechnology: Recent Research on Bioresource-Based Nanoparticle Synthesis and Applications. J. Chem. 2022, 2022, 4030999. [Google Scholar] [CrossRef]
- Fatima, R.; Ullah, N.; Bilal, U.; Khan, H.A.; Almutairi, T.M.; Saleem, S. Facile and sustainable synthesis of metal nanoparticles (Ag, Fe, Cu, and Zn) using polyamide and polyhydrazide. J. Sol-Gel Sci. Technol. 2024, 111, 166–176. [Google Scholar] [CrossRef]
- Delidovich, I.; Hausoul, P.J.C.; Deng, L.; Pfützenreuter, R.; Rose, M.; Palkovits, R. Alternative Monomers Based on Lignocellulose and Their Use for Polymer Production. Chem. Rev. 2016, 116, 1540–1599. [Google Scholar] [CrossRef]
- Elsabee, M.Z.; Morsi, R.E.; Selim, S. High-performance wholly aromatic polyamide–hydrazides: Achievements and future prospects. High. Perform. Polym. 2017, 30, 387–405. [Google Scholar] [CrossRef]
- Wieszczycka, K.; Staszak, K.; Woźniak-Budych, M.J.; Litowczenko, J.; Maciejewska, B.M.; Jurga, S. Surface functionalization—The way for advanced applications of smart materials. Coord. Chem. Rev. 2021, 436, 213846. [Google Scholar] [CrossRef]
- Tardy, B.L.; Mattos, B.D.; Otoni, C.G.; Beaumont, M.; Majoinen, J.; Kämäräinen, T.; Rojas, O.J. Deconstruction and Reassembly of Renewable Polymers and Biocolloids into Next Generation Structured Materials. Chem. Rev. 2021, 121, 14088–14188. [Google Scholar] [CrossRef]
- Trombino, S.; Sole, R.; Di Gioia, M.L.; Procopio, D.; Curcio, F.; Cassano, R. Green Chemistry Principles for Nano- and Micro-Sized Hydrogel Synthesis. Molecules 2023, 28, 2107. [Google Scholar] [CrossRef]
- Sharma, R.; Dhamodharan, R. Synthesis and characterization of material derived from Chitosan, malic acid and urea. J. Polym. Res. 2024, 31, 46. [Google Scholar] [CrossRef]
- Khandelwal, R.; Srivastava, P.; Bisaria, V.S. Recent advances in the production of malic acid by native fungi and engineered microbes. World J. Microbiol. Biotechnol. 2023, 39, 217. [Google Scholar] [CrossRef]
- Ghai, M.; Agnihotri, N.; Kumar, V.; Agnihotri, R.; Kumar, A.; Sahu, K. Global organic acids production and their industrial applications. Phys. Sci. Rev. 2023, 9, 3097–3115. [Google Scholar] [CrossRef]
- Durán-Lara, E.F.; Carreño, G.; Pereira, A.; Guerrero, M.; Valdés, O.; Bustos, D.; Rivas, J.; Villaseñor, J.; Castro, R.I.; Marican, A. Removal of two carbamate pesticides from aqueous solutions using an adsorbent material based on poly(vinyl alcohol) and malic acid hydrogels. Polym. Bull. 2024, 81, 9831–9849. [Google Scholar] [CrossRef]
- Ullah, S.; Shaban, M.; Siddique, A.B.; Zulfiqar, A.; Lali, N.S.; Naeem-ul-Hassan, M.; Irfan, M.I.; Sher, M.; Fayyaz ur Rehman, M.; Hanbashi, A.; et al. Greenly synthesized zinc oxide nanoparticles: An efficient, cost-effective catalyst for dehydrogenation of formic acid and with improved antioxidant and phyto-toxic properties. J. Environ. Chem. Eng. 2024, 12, 113350. [Google Scholar] [CrossRef]
- Khan, A.W.; Lali, N.S.; Sabei, F.Y.; Irfan, M.I.; Naeem-ul-Hassan, M.; Sher, M.; Safhi, A.Y.; Alsalhi, A.; Albariqi, A.H.; Kamli, F.; et al. Sunlight-assisted green synthesis of gold nanocubes using horsetail leaf extract: A highly selective colorimetric sensor for Pb2+, photocatalytic and antimicrobial agent. J. Environ. Chem. Eng. 2024, 12, 112576. [Google Scholar] [CrossRef]
- Shah, A.; Akhtar, S.; Mahmood, F.; Urooj, S.; Siddique, A.B.; Irfan, M.I.; Naeem-ul-Hassan, M.; Sher, M.; Alhoshani, A.; Rauf, A.; et al. Fagonia arabica extract-stabilized gold nanoparticles as a highly selective colorimetric nanoprobe for Cd2+ detection and as a potential photocatalytic and antibacterial agent. Surf. Interfaces 2024, 51, 104556. [Google Scholar] [CrossRef]
- Al-Shawabkeh, A.F. Thermodynamic characteristics of the aliphatic polyamide crystal structures: Enhancement of nylon 66α, 610α and 77γ polymers. Heliyon 2023, 9, 21042. [Google Scholar] [CrossRef]
- Mali, S.N.; Thorat, B.R.; Gupta, D.R.; Pandey, A. Mini-Review of the Importance of Hydrazides and Their Derivatives—Synthesis and Biological Activity. Eng. Proc. 2021, 11, 21. [Google Scholar] [CrossRef]
- Błoniarz, A.; Marchewka, J.; Sitarz, M.; Drożdż, K.; Gosiewski, T.; Brzychczy-Włoch, M.; Moskalewicz, T. Effect of adding selected carboxylic acids to the solution on electrophoretic deposition, adhesion strength, morphology and antibacterial properties of chitosan coatings on titanium. Prog. Progress. Org. Coat. 2024, 189, 108258. [Google Scholar] [CrossRef]
- Poon, Y.F.; Cao, Y.; Zhu, Y.; Judeh, Z.M.A.; Chan-Park, M.B. Addition of β-Malic Acid-Containing Poly(ethylene glycol) Dimethacrylate To Form Biodegradable and Biocompatible Hydrogels. Biomacromolecules 2009, 10, 2043–2052. [Google Scholar] [CrossRef]
- Brossard, C.; Vlach, M.; Vène, E.; Ribault, C.; Dorcet, V.; Noiret, N.; Loyer, P. Synthesis of Poly(Malic Acid) Derivatives End-Functionalized with Peptides and Preparation of Biocompatible Nanoparticles to Target Hepatoma Cells. Nanomaterials 2021, 11, 958. [Google Scholar] [CrossRef] [PubMed]
- Rivas, M.V.; Arenas Muñetón, M.J.; Bordoni, A.V.; Lombardo, M.V.; Spagnuolo, C.C.; Wolosiuk, A. Revisiting carboxylic group functionalization of silica sol–gel materials. J. Mater. Chem. B 2023, 11, 1628–1653. [Google Scholar] [CrossRef] [PubMed]
- Suherman, A.L.; Zampardi, G.; Kuss, S.; Tanner, E.E.L.; Amin, H.M.A.; Young, N.P.; Compton, R.G. Understanding gold nanoparticle dissolution in cyanide-containing solution via impact-chemistry. Phys. Chem. Chem. Phys. 2018, 20, 28300–28307. [Google Scholar] [CrossRef] [PubMed]
- Suherman, A.L.; Zampardi, G.; Amin, H.M.A.; Young, N.P.; Compton, R.G. Tannic acid capped gold nanoparticles: Capping agent chemistry controls the redox activity. Phys. Chem. Chem. Phys. 2019, 21, 4444–4451. [Google Scholar] [CrossRef]
- Abbas, A.; Amin, H.; Akhtar, M.; Hussain, M.A.; Batchelor-McAuley, C.; Compton, R.G. Eco-friendly polymer succinate capping on silver nano-particles for enhanced stability: A UV-Vis and electrochemical particle impact study. Chem. Naissensis 2020, 3, 50–70. [Google Scholar] [CrossRef]
- Madkour, M.; Bumajdad, A.; Al-Sagheer, F. To what extent do polymeric stabilizers affect nanoparticles characteristics? Adv. Colloid. Interface Sci. 2019, 270, 38–53. [Google Scholar] [CrossRef] [PubMed]
- Kathiresan, M. Metal-Ion/Metal Nanoparticle-Anchored Porous Organic Polymers as Efficient Catalysts for Organic Transformations—A Recent Overview. Chem.-An. Asian J. 2023, 18, e202201299. [Google Scholar] [CrossRef] [PubMed]
- Ahmadian, Z.; Kazeminava, F.; Afrouz, M.; Abbaszadeh, M.; Mehr, N.T.; Shiran, J.A.; Gouda, C.; Adeli, M.; Kafil, H.S. A review on the impacts of metal/metal nanoparticles on characteristics of hydrogels: Special focus on carbohydrate polymers. Int. J. Biol. Macromol. 2023, 253, 126535. [Google Scholar] [CrossRef] [PubMed]
- Yadav, M.; Sehrawat, N.; Kumar, S.; Sharma, A.K.; Singh, M.; Kumar, A. Malic acid: Fermentative production and applications. Phys. Sci. Rev. 2024, 9, 187–199. [Google Scholar]
- Guerrini, L.; Alvarez-Puebla, R.A.; Pazos-Perez, N. Surface Modifications of Nanoparticles for Stability in Biological Fluids. Materials 2018, 11, 1154. [Google Scholar] [CrossRef] [PubMed]
- Kost, B.; Basko, M.; Bednarek, M.; Socka, M.; Kopka, B.; Łapienis, G.; Biela, T.; Kubisa, P.; Brzeziński, M. The influence of the functional end groups on the properties of polylactide-based materials. Prog. Progress. Polym. Sci. 2022, 130, 101556. [Google Scholar] [CrossRef]
- Dayekh, M.L.; Ghadi, A.; Hussain, S.A. Preparation and investigation of cobalt nanoparticles by laser ablation: Structure, linear, and nonlinear optical properties. Open Eng. 2024, 14, 20240002. [Google Scholar] [CrossRef]
- Javed, R.; Zia, M.; Naz, S.; Aisida, S.O.; Ain, N.U.; Ao, Q. Role of capping agents in the application of nanoparticles in biomedicine and environmental remediation: Recent trends and future prospects. J. Nanobiotechnol. 2020, 18, 172. [Google Scholar] [CrossRef] [PubMed]
- Hong, W.-L.; Lin, L.-Y.; Liu, Y.-B.; Lin, L.-Y.; Tu, C.-C. Application of novel multiple-dimensional cobalt oxides as the electroactive material on supercapacitors. RSC Adv. 2016, 6, 72845–72851. [Google Scholar] [CrossRef]
- de Souza, M.G.M.; Batista, J.P.; de Faria, E.H.; Ciuffi, K.J.; Rocha, L.A.; Nassar, E.J.; da Silva, J.V.L.; Oliveira, M.F.; Maia, I.A. Silver nanoparticle incorporation into flexible polyamide 12 membranes. J. Sol-Gel Sci. Technol. 2022, 102, 219–228. [Google Scholar] [CrossRef]
- Ullah, S.; Khalid, R.; Rehman, M.F.; Irfan, M.I.; Abbas, A.; Alhoshani, A.; Anwar, F.; Amin, H.M.A. Biosynthesis of phyto-functionalized silver nanoparticles using olive fruit extract and evaluation of their antibacterial and antioxidant properties. Front. Chem. 2023, 11, 1202252. [Google Scholar] [CrossRef] [PubMed]
- Amin, S.; Sher, M.; Ali, A.; Rehman, M.F.; Hayat, A.; Ikram, M.; Abbas, A.; Amin, H.M.A. Sulfonamide-functionalized silver nanoparticles as an analytical nanoprobe for selective Ni(II) sensing with synergistic antimicrobial activity. Environ. Nanotechnol. Monit. Manag. 2022, 18, 100735. [Google Scholar] [CrossRef]
- Hajibeygi, M.; Shabanian, M.; Omidi-Ghallemohamadi, M.; Khonakdar, H.A. Optical, thermal and combustion properties of self-colored polyamide nanocomposites reinforced with azo dye surface modified ZnO nanoparticles. Appl. Surf. Sci. 2017, 416, 628–638. [Google Scholar] [CrossRef]
- Shahzad, R.; Muneer, M.; Khalid, R.; Amin, H.M.A. ZnO-Bi2O3 Heterostructured Composite for the Photocatalytic Degradation of Orange 16 Reactive Dye: Synergistic Effect of UV Irradiation and Hydrogen Peroxide. Catalysts 2023, 13, 1328. [Google Scholar] [CrossRef]
Disclaimer/Publisher’s Note: The statements, opinions and data contained in all publications are solely those of the individual author(s) and contributor(s) and not of MDPI and/or the editor(s). MDPI and/or the editor(s) disclaim responsibility for any injury to people or property resulting from any ideas, methods, instructions or products referred to in the content. |
© 2024 by the authors. Licensee MDPI, Basel, Switzerland. This article is an open access article distributed under the terms and conditions of the Creative Commons Attribution (CC BY) license (https://creativecommons.org/licenses/by/4.0/).







