Synthesis and Biological Evaluation of New Dihydrofuro[3,2-b]piperidine Derivatives as Potent α-Glucosidase Inhibitors
Abstract
1. Introduction
2. Results and Discussion
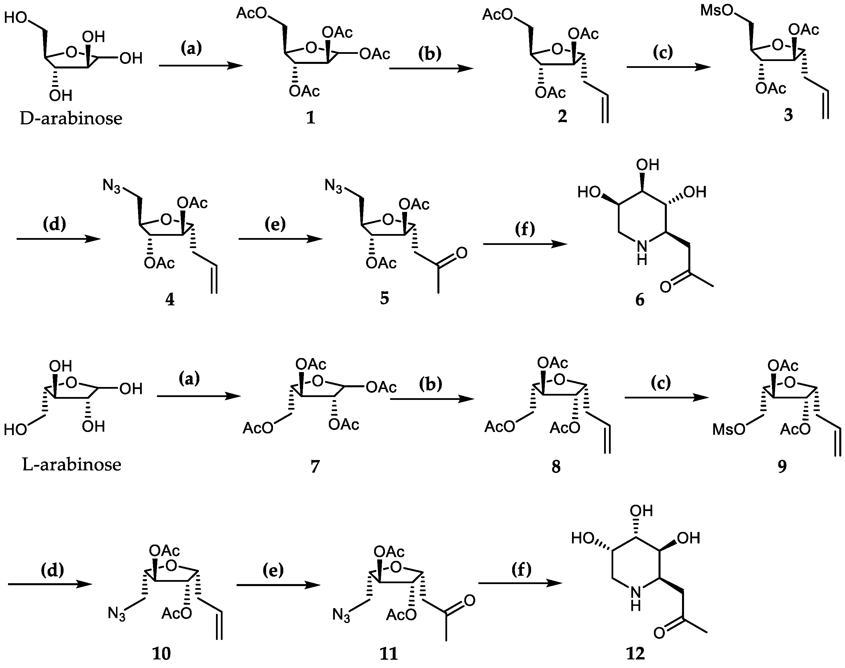
2.1. Chemistry
2.2. Structure–Activity Relationship
2.3. Drug Likeness
3. Materials and Methods
3.1. Molecular Docking
3.2. General Methods
3.3. General Procedure for α-Glucosidase Inhibition Assay
3.4. Synthesis Compounds 13–34
- (2R, 3aR, 6R, 7R, 7aR)-2,6,7-trihydroxy-2-methyl-4-(2-chlorobenzyl)-3a,7a-Dihydrofuro[3,2-b]piperidine (13) (Figures S21 and S22): A suspension of compound 6 (40 mg, 0.2 mmol) containing activated 4Å molecular sieves in anhydrous methanol (3 mL) was stirred at room temperature for 10 min. After cooling to −20 °C, the corresponding aldehydes (0.6 mmol, 3eq) and NaBH(OAc)3 (0.6 mmol, 3eq) were added, and the solution was stirred for 3 h under an argon atmosphere. The reaction solution was concentrated in vacuo and purified by silica gel flash column chromatography (dichloromethane/methanol, 25:1 → 5:1) to afford colorless, syrupy products. Colorless syrup, yield 49%, [α]25D + 35.5 (c 0.11, MeOH). 1H NMR (600 MHz, DMSO-d6) δ 7.39 (dd, J = 7.6, 1.6 Hz, 1H, HAr), 7.36–7.29 (m, 2H, 2 × HAr), 7.28–7.21 (m, 1H, HAr), 3.99 (d, J = 13.6 Hz, 1H, O-CH), 3.91 (s, 1H, O-CH), 3.80–3.70 (m, 3H, O-CH, ArCH2), 2.46 (dd, J = 10.6, 4.1 Hz, 1H, NCH), 2.38–2.26 (m, 2H, NCH2), 2.08 (d, J = 5.5 Hz, 1H, CH2), 1.98 (d, J = 7.0 Hz, 1H, CH2), 1.31 (s, 3H, CH3). 13C NMR (151 MHz, Acetone) δ 135.2 (CArCl), 134.2 (CAr), 131.5 (CAr), 129.6 (CAr), 129.0 (CAr), 127.1 (CAr), 104.5 (O-C-OH), 82.1(O-CH), 67.7(HO-CH), 65.9(HO-CH), 60.8(NCH), 55.9 (ArCH2), 49.9 (NCH2), 42.4 (CH2), 25.2 (CH3). ESI-HRMS: m/z calcd for C15H20O4NClNa [M + Na]+: 336.0973; found: 336.0957.
- (2R, 3aR, 6R, 7R, 7aR)-2,6,7-trihydroxy-2-methyl-4-(4-hydroxylbenzyl)-3a,7a-Dihydrofuro[3,2-b]piperidine (14) (Figures S23 and S24): The synthesized procedure was the same as compound 13. Colorless syrup, yield 42%, [α]25D +50.0 (c 0.13, MeOH). 1H NMR (600 MHz, CD3OD) δ 7.09 (m, 2H, 2 × HAr), 6.74 (m, 2 × HAr), 4.05–4.00 (m, 2H, 2 × O-CH), 3.89(s, 1H, O-CH), 3.88–3.70 (m, 2H, ArCH2), 2.58 (dd, J = 10.8, 4.1 Hz, 1H, NCH), 2.47 (d, J = 13.5 Hz, 1H, NCH2), 2.32 (t, J = 10.9 Hz, 1H, NCH2), 2.18 (d, J = 12.9 Hz, 1H, CH2), 2.00 (d, J = 13.1 Hz, 1H, CH2), 1.44 (s, 3H, CH3). 13C NMR (151 MHz, CD3OD) δ 156.7 (CArOH), 130.2 (CAr), 127.6 (CAr), 127.6 (CAr), 114.9 (CAr), 114.6 (CAr), 105.3 (O-C-OH), 82.6(O-CH), 67.3(HO-CH), 65.8(HO-CH), 59.7 (NCH), 57.8 (ArCH2), 48.4 (NCH2), 41.5 (CH2), 24.0 (CH3). ESI-HRMS: m/z calcd for C15H21O5N [M + H]+: 296.1407; found: 296.1481.
- (2R, 3aR, 6R, 7R, 7aR)-2,6,7-trihydroxy-2-methyl-4-(2-hydroxylbenzyl)-3a,7a-Dihydrofuro[3,2-b]piperidine (15): The synthesized procedure was the same as compound 13. Colorless syrup, yield 41%, [α]25D +42.6 (c 0.46, MeOH). 1H NMR (600 MHz, CD3OD) δ 7.11 (m, 2H, 2 × HAr), 6.80–6.70 (m, 2H, 2 × HAr), 4.23 (s, 1H, O-CH), 4.02 (s, 1H, O-CH), 3.94 (d, J = 12.6 Hz, 2H, O-CH, ArCH2), 3.52 (s, 1H, ArCH2), 3.20 (d, J = 12.7 Hz, 1H, NCH), 2.61 (dd, J = 29.8, 7.9 Hz, 1H, NCH2), 2.50 (d, J = 13.0 Hz, 1H, NCH2), 2.44 (t, J = 10.5 Hz, 1H, CH2), 2.34 (t, J = 10.8 Hz, 1H, CH2), 1.44 (s, 3H, CH3). 13C NMR (151 MHz, CD3OD) δ 154.6 (CArOH), 129.3 (CAr), 127.2 (CAr), 127.0 (CAr), 117.6 (CAr), 113.4 (CAr), 103.0 (O-C-OH), 80.9 (O-CH), 78.3 (HO-CH), 66.0 (HO-CH), 64.5 (NCH), 58.6 (ArCH2), 53.2 (NCH2), 47.5 (CH2), 23.6 (CH3). ESI-HRMS: m/z calcd for C15H21O5NNa [M + Na]+: 318.1312; found: 318.1322.
- (2R, 3aR, 6R, 7R, 7aR)-2,6,7-trihydroxy-2-methyl-4-(3-hydroxylbenzyl)-3a,7a-Dihydrofuro[3,2-b]piperidine (16) (Figures S25 and S26): The synthesized procedure was the same as compound 13. Colorless syrup, yield 45%, [α]25D +61.5 (c 0.16, MeOH). 1H NMR (600 MHz, CD3OD) δ 7.14–7.10 (m, 1H, HAr), 6.78–6.66 (m, 3H, 3×HAr), 4.20–3.80 (m, 2H, ArCH2), 4.07 (d, J = 13.1 Hz, 1H, O-CH), 3.91–3.80 (m, 2H, 2 × O-CH), 2.60 (d, J = 7.4 Hz, 1H, NCH), 2.46 (d, J = 13.4 Hz, 1H, NCH2), 2.33 (t, J = 11.0 Hz, 1H, NCH2), 2.16 (d, J = 9.0 Hz, 1H, CH2), 2.01 (d, J = 11.3 Hz, 1H, CH2), 1.44 (s, 3H, CH3). 13C NMR (151 MHz, CD3OD) δ 155.9 (CArOH), 137.0 (CAr), 127.7 (CAr), 118.5 (CAr), 114.2 (CAr), 112.7 (CAr), 103.8 (O-C-OH), 81.1(O-CH), 65.8(HO-CH), 64.3(HO-CH), 58.4 (NCH), 56.9 (ArCH2), 47.4 (NCH2), 40.0 (CH2), 22.6 (CH3). ESI-HRMS: m/z calcd for C15H21O5NNa [M + Na]+: 318.1312; found: 318.1317.
- (2R, 3aR, 6R, 7R, 7aR)-2,6,7-trihydroxy-2-methyl-4-(3-chloro-4-hydroxylbenzyl)-3a,7a-Dihydrofuro[3,2-b]piperidine (17) (Figures S27 and S28): The synthesized procedure was the same as compound 13. Colorless syrup, yield 35%, [α]25D +38.0 (c 0.10, MeOH). 1H NMR (600 MHz, CD3OD) δ 7.06–7.01 (m, 1H, HAr), 6.88 (d, J = 8.3 Hz, 1H, HAr), 6.84 (d, J = 8.2 Hz, 1H, HAr), 4.19–3.96 (m, 3H, 3 × O-CH), 3.92–3.82 (m, 2H, ArCH2), 2.56 (dd, J = 10.8, 4.1 Hz, 1H, NCH), 2.47 (d, J = 13.5 Hz, 1H, NCH2), 2.35 (t, J = 10.9 Hz, 1H, NCH2), 2.16 (d, J = 8.1 Hz, 1H, CH2), 2.03–1.98 (m, 1H, CH2), 1.44 (s, 3H, CH3). 13C NMR (151 MHz, CD3OD) δ 152.5 (CArOH), 130.4 (CAr), 129.1 (CAr), 128.5 (CAr), 120.3 (CArCl), 116.2 (CAr), 105.3 (O-C-OH), 82.6(O-CH), 67.3(HO-CH), 65.8(HO-CH), 59.7 (NCH), 57.2 (ArCH2), 48.7 (NCH2), 41.5 (CH2), 24.1 (CH3). ESI-HRMS: m/z calcd for C15H20O5NClNa [M + Na]+: 352.0922; found: 352.0917.
- (2R, 3aR, 6R, 7R, 7aR)-2,6,7-trihydroxy-2-methyl-4-(3-bromo-4-hydroxylbenzyl)-3a,7a-Dihydrofuro[3,2-b]piperidine (18) (Figures S29 and S30): The synthesized procedure was the same as compound 13. Colorless syrup, yield 46%, [α]25D +37.3 (c 0.26, MeOH). 1H NMR (600 MHz, CD3OD) δ 7.08–7.04 (m, 1H, HAr), 6.86 (d, J = 8.2 Hz, 1H, HAr), 6.84 (d, J = 8.2 Hz, 1H, HAr), 4.05–4.01 (m, 2H, 2 × O-CH), 3.96 (s, 1H, O-CH), 3.90–3.75 (m, 2H, ArCH2), 2.56 (dd, J = 10.7, 4.1 Hz, 1H, NCH), 2.47 (d, J = 13.5 Hz, 1H, NCH2), 2.31 (t, J = 10.9 Hz, 1H, NCH2), 2.16 (d, J = 9.2 Hz, 1H, CH2), 2.00 (dd, J = 13.5, 3.8 Hz, 1H, CH2), 1.44 (s, 3H, CH3). 13C NMR (151 MHz, CD3OD) δ 153.6 (CArOH), 133.5 (CAr), 129.4 (CAr), 129.3 (CAr), 115.9 (CAr), 109.4 (CArBr), 105.3 (O-C-OH), 82.6(O-CH), 67.3(HO-CH), 65.8(HO-CH), 59.7 (NCH), 57.1 (ArCH2), 48.7 (NCH2), 41.5 (CH2), 24.1 (CH3). ESI-HRMS: m/z calcd for C15H20O5NBrNa [M + Na]+: 396.0417; found: 396.0415.
- (2R, 3aR, 6R, 7R, 7aR)-2,6,7-trihydroxy-2-methyl-4-(3-fluoro-4-hydroxylbenzyl)-3a,7a-Dihydrofuro[3,2-b]piperidine (19) (Figures S31 and S32): The synthesized procedure was the same as compound 13. Colorless syrup, yield 40%, [α]25D +43.9 (c 0.19, MeOH). 1H NMR (600 MHz, CD3OD) δ 7.10–6.75 (m, 3H, 3×HAr), 4.03 (t, J = 3.2 Hz, 1H, OH), 3.90–3.85 (m, 2H, 2 × O-CH), 3.75–3.60(m, 2H, ArCH2), 2.56 (dd, J = 10.7, 4.0 Hz, 1H, NCH), 2.47 (d, J = 13.5 Hz, 1H, NCH2), 2.34 (t, J = 10.9 Hz, 1H, NCH2), 2.15 (d, J = 9.3 Hz, 1H, CH2), 2.01 (dd, J = 13.5, 3.9 Hz, 1H, CH2), 1.44 (s, 3H, CH3). 13C NMR (151 MHz, CD3OD) δ 151.4 (CArF), 144.3 (CArOH), 128.8 (CAr), 125.1 (CAr), 117.3 (CAr), 116.3 (CAr), 105.3 (O-C-OH), 82.6(O-CH), 67.3(HO-CH), 65.8(HO-CH), 59.7 (NCH), 57.4 (ArCH2), 48.6 (NCH2), 41.5 (CH2), 24.1 (CH3). ESI-HRMS: m/z calcd for C15H20O5NFNa [M + Na]+: 336.1218; found: 336.1211.
- (2R, 3aR, 6R, 7R, 7aR)-2,6,7-trihydroxy-2-methyl-4-(2-chloro-4-hydroxylbenzyl)-3a,7a-Dihydrofuro[3,2-b]piperidine (20) (Figures S33 and S34): The synthesized procedure was the same as compound 13. Colorless syrup, yield 44%, [α]25D +30.6 (c 0.11, MeOH). 1H NMR (600 MHz, CD3OD) δ 7.16 (d, J = 8.4 Hz, 1H, HAr), 6.83 (d, J = 2.4 Hz, 1H, HAr), 6.72 (dd, J = 8.5, 2.4 Hz, 1H, HAr), 4.08–4.01 (m, 2H, 2 × O-CH), 3.96 (s, 1H, O-CH), 3.91–3.70 (m, 2H, ArCH2), 2.53 (dd, J = 10.7, 3.9 Hz, 1H, NCH), 2.48 (d, J = 13.5 Hz, 1H, NCH2), 2.37 (t, J = 10.9 Hz, 1H, NCH2), 2.16 (d, J = 12.8 Hz, 1H, CH2), 2.01 (d, J = 4.0 Hz, 1H, CH2), 1.42 (s, 3H, CH3). 13C NMR (151 MHz, CD3OD) δ 157.9 (CArOH), 134.7 (CArCl), 132.5 (CAr), 124.7 (CAr), 115.9 (CAr), 114.0 (CAr), 105.0 (O-C-OH), 82.6(O-CH), 67.3(HO-CH), 65.8(HO-CH), 60.6 (ArCH2), 55.5 (NCH2), 48.7 (NCH), 41.5 (CH2), 24.2 (CH3). ESI-HRMS: m/z calcd for C15H21O5NCl [M + H]+: 330.1103; found: 330.1104.
- (2R, 3aR, 6R, 7R, 7aR)-2,6,7-trihydroxy-2-methyl-4-(2,6-dichloro-4-hydroxylbenzyl)-3a,7a-Dihydrofuro[3,2-b]piperidine (21) (Figures S35 and S36): The synthesized procedure was the same as compound 13. Colorless syrup, yield 31%, [α]25D +6.78 (c 0.12, MeOH). 1H NMR (600 MHz, CD3OD) δ 6.84 (s, 1H, HAr), 6.80 (d, J = 3.6 Hz, 1H, HAr), 4.11 (d, J = 12.7 Hz, 1H, O-CH), 4.04–4.01 (m, 1H, O-CH), 3.95 (s, 1H, O-CH), 3.85–3.40 (m, 2H, ArCH2), 2.62 (t, J = 10.8 Hz, 1H, NCH), 2.50 (d, J = 5.7 Hz, 1H, NCH2), 2.43 (dd, J = 10.6, 4.1 Hz, 1H, NCH2), 2.21 (d, J = 3.1 Hz, 1H, CH2), 1.98(m, 1H, CH2), 1.39 (s, 3H, CH3). 13C NMR (151 MHz, CD3OD) δ 157.8 (CArOH), 136.9 (CArCl), 136.9 (CArCl), 122.7 (CAr),115.5 (CAr), 115.4 (CAr), 104.7 (O-C-OH), 82.6(O-CH), 67.3(HO-CH), 66.0(HO-CH), 61.6 (NCH), 53.7 (ArCH2), 48.7 (NCH2), 41.3 (CH2), 20.1 (CH3). ESI-HRMS: m/z calcd for C15H21O5NCl2 [M + H]+: 364.0719; found: 364.0713.
- (2R, 3aR, 6R, 7R, 7aR)-2,6,7-trihydroxy-2-methyl-4-(4-hydroxyl-methoxylbenzyl)-3a,7a-Dihydrofuro[3,2-b]piperidine (22) (Figures S37 and S38): The synthesized procedure was the same as compound 13. Colorless syrup, yield 47%, [α]25D +36.4 (c 0.06, MeOH). 1H NMR (600 MHz, CD3OD) δ 6.83–6.70 (m, 3H, 3×HAr), 4.05 (d, J = 11.9 Hz, 2H, 2 × O-CH), 3.97 (s, 1H, O-CH), 3.85–3.75 (m, 2H, ArCH2), 3.83 (s, 3H, OCH3), 2.61 (dd, J = 10.8, 4.0 Hz, 1H, NCH), 2.50 (d, J = 13.5 Hz, 1H, NCH2), 2.34 (t, J = 11.0 Hz, 1H, NCH2), 2.21 (d, J = 6.6 Hz, 1H, CH2), 2.01 (dd, J = 13.5, 3.8 Hz, 1H, CH2), 1.45 (s, 3H, CH3). 13C NMR (151 MHz, CD3OD) δ 147.8 (CArOCH3), 145.9 (CArOH), 128.3 (CAr), 121.8(CAr), 114.7(CAr), 112.3(CAr), 105.8 (O-C-OH), 82.6 (O-CH), 67.3 (HO-CH), 66.5(HO-CH), 65.7 (NCH), 58.2 (ArCH2), 54.9 (OCH3), 48.7 (NCH2), 24.0 (CH2), 20.1 (CCH3). ESI-HRMS: m/z calcd for C16H23O6NNa [M + Na]+: 348.1418; found: 348.1427.
- (2R, 3aR, 6R, 7R, 7aR)-2,6,7-trihydroxy-2-methyl-4-(4-hydroxyl-3-ethyoxylbenzyl)-3a,7a-Dihydrofuro[3,2-b]piperidine (23) (Figures S39 and S40): The synthesized procedure was the same as compound 13. Colorless syrup, yield 50%, [α]25D +40.6 (c 0.11, MeOH). 1H NMR (600 MHz, CD3OD) δ 6.80 (s, 1H, phOHAr), 6.77–6.65 (m, 3H, 3×HAr), 4.11–3.99 (m, 5H, OCH2, 3 × O-CH), 3.90–3.75 (m, 2H, ArCH2), 2.60 (dd, J = 10.6, 4.0 Hz, 1H, NCH), 2.31 (m, 1H, NCH2), 2.22–2.16 (m, 1H, NCH2), 2.02–1.95 (m, 2H, CCH2), 1.45 (s, 3H, CCH3), 1.41 (t, J = 9.0 Hz, 3H, CH2CH3). 13C NMR (151 MHz, CD3OD) δ 146.8 (CArOEt), 146.1 (CArOH), 128.3 (CAr), 121.8 (CAr), 114.6 (CAr), 113.6 (CAr), 105.3 (O-C-OH), 82.6 (O-CH), 67.3 (HO-CH), 65.8 (HO-CH), 64.2 (OCH2), 59.7(NCH), 58.2 (ArCH2), 48.7 (NCH2), 48.2 (CCH2), 24.1 (CCH3), 13.7 (CH2CH3). ESI-HRMS: m/z calcd for C17H25O6NNa [M + Na]+: 362.1574; found: 362.1579.
- (2R, 3aR, 6R, 7R, 7aR)-2,6,7-trihydroxy-2-methyl-4-(3,5-dibromo-4-hydroxyl-benzyl)-3a,7a-Dihydrofuro[3,2-b]piperidine (24) (Figures S41 and S42): The synthesized procedure was the same as compound 13. Colorless syrup, yield 37%, [α]25D +18.6 (c 0.10, MeOH). 1H NMR (600 MHz, CD3OD) δ 7.44 (s, 1H, HAr), 7.40 (s, 1H, HAr), 4.02 (dd, J = 12.0, 8.5 Hz, 2H, 2 × O-CH), 3.96 (s, 1H, O-CH), 3.90–3.80 (m, 2H, ArCH2), 2.55 (d, J = 10.7 Hz, 1H, NCH), 2.46 (m, 1H, NCH2), 2.36 (t, J = 10.8 Hz, 1H, NCH2), 2.18 (s, 1H, CH2), 2.00 (d, J = 4.0 Hz, 1H, CH2), 1.45 (s, 3H, CH3). 13C NMR (151 MHz, CD3OD) δ 150.7(CArOH), 132.8 (CAr), 132.1(CAr), 131.4(CAr), 111.0 (CArBr), 110.8 (CArBr), 105.3 (O-C-OH), 82.5 (O-CH), 67.3 (HO-CH), 65.8 (HO-CH), 59.6(NCH), 56.6 (ArCH2), 48.6(NCH2), 41.4 (CH2), 24.1(CH3). ESI-HRMS: m/z calcd for C15H20O5NBr2[M + H]+: 451.9703; found: 451.9698.
- (2R, 3aR, 6S, 7S, 7aS)-2,6,7-trihydroxy-2-methyl-4-(4-hydroxylbenzyl)-3a,7a-di-hydrofuro[3,2-b]piperidine (25) (Figures S43 and S44): A suspension of compound 12 (40 mg, 0.2 mmol) containing activated 4Å molecular sieves in anhydrous methanol (3 mL) was stirred at room temperature for 10 min. After cooling to −20 °C, the corresponding aldehydes (0.6 mmol, 3eq) and NaBH(OAc)3 (0.6 mmol, 3eq) were added, and the solution was stirred for 3 h under an argon atmosphere. The reaction solution was concentrated in vacuo and purified by silica gel flash column chromatography (dichloromethane/methanol, 25:1 → 5:1) to afford 25. Colorless syrup, yield 45%, [α]25D−16.0 (c 0.10, MeOH). 1H NMR (600 MHz, CD3OD) δ 7.08 (d, J = 8.3 Hz, 2H, 2 × HAr), 6.74 (dd, J = 11.3, 2.9 Hz, 2H, 2 × HAr), 4.06–4.00 (m, 2H, 2 × O-CH), 3.96 (s, 1H, O-CH), 3.89–3.75 (m, 2H, ArCH2), 2.59 (dd, J = 10.9, 4.2 Hz, 1H, NCH), 2.49 (d, J = 13.5 Hz, 1H, NCH2), 2.31 (t, J = 8.4 Hz, 1H, NCH2), 2.20 (d, J = 8.5 Hz, 1H, CH2), 2.04–1.98 (m, 1H, CH2), 1.44 (s, 3H, CH3). 13C NMR (151 MHz, CD3OD) δ 156.7 (CArOH), 130.2 (CAr), 129.9 (CAr), 127.5 (CAr), 114.9 (CAr), 114.6 (CAr), 105.2 (O-C-OH), 82.6 (O-CH), 67.3 (HO-CH), 65.8 (HO-CH), 59.6 (NCH), 57.8 (ArCH2), 48.6 (NCH2), 42.5 (CH2), 24.0 (CH3). ESI-HRMS: m/z calcd for C15H22O5NNa [M + Na]+: 296.1492; found: 296.1501.
- (2R, 3aR, 6S, 7S, 7aS)-2,6,7-trihydroxy-2-methyl-4-(2-hydroxylbenzyl)-3a,7a-di-hydrofuro[3,2-b]piperidine (26) (Figures S45 and S46): The synthesized procedure was the same as compound 25. Colorless syrup, yield 47%, [α]25D−35.0 (c 0.10, MeOH). 1H NMR (600 MHz, CD3OD) δ 7.12–7.09 (m, 1H, HAr), 6.78–6.75 (m, 2H, 2 × HAr), 6.72 (dd, J = 8.1, 4.3 Hz, 1H, HAr), 4.01 (d, J = 3.3 Hz, 1H, O-CH), 3.98–3.93 (m, 1H, O-CH), 3.92–3.80 (m, 3H, O-CH, ArCH2), 2.61 (dd, J = 11.3, 3.8 Hz, 1H, NCH), 2.57 (t, J = 6 Hz, 1H, NCH2), 2.51 (d, J = 4.8 Hz, 1H, NCH2), 2.45 (dd, J = 17.2, 6.9 Hz, 1H, CH2), 2.32 (t, J = 10.8 Hz, 1H, CH2), 1.44 (s, 3H, CH3). 13C NMR (151 MHz, CD3OD) δ 156.1 (CArOH), 130.9 (CAr), 128.6 (CAr), 123.0 (CAr), 118.7 (CAr), 114.7 (CAr), 104.5 (O-C-OH), 82.5 (O-CH), 67.7 (HO-CH), 66.5 (HO-CH), 60.3 (NCH), 54.7 (ArCH2), 49.0 (NCH2), 41.5 (CH2), 25.1 (CH3). ESI-HRMS: m/z calcd for C15H22O5N [M + H]+: 296.1492; found: 296.1493.
- (2R, 3aR, 6S, 7S, 7aS)-2,6,7-trihydroxy-2-methyl-4-(3-hydroxylbenzyl)-3a,7a-di-hydrofuro[3,2-b]piperidine (27) (Figures S47 and S48): The synthesized procedure was the same as compound 25. Colorless syrup, yield 48%, [α]25D−32.8 (c 0.08, MeOH). 1H NMR (600 MHz, CD3OD) δ 7.15–7.10 (m, 1H, HAr), 6.80–6.30 (m, 3H, HAr), 4.08–4.02 (m, 2H, 2 × O-CH), 3.97 (s, 1H, O-CH), 3.90–3.75 (m, 2H, ArCH2), 2.59 (d, J = 4.1 Hz, 1H, NCH), 2.47 (d, J = 13.5 Hz, 1H, NCH2), 2.32 (t, J = 10.9 Hz, 1H, NCH2), 2.14 (d, J = 9.2 Hz, 1H, CH2), 2.01 (d, J = 9.6 Hz, 1H, CH2), 1.44 (s, 3H, CH3). 13C NMR (151 MHz, CD3OD) δ 157.4 (CArOH), 138.5 (CAr), 129.2 (CAr), 120.0 (CAr), 115.6 (CAr), 114.1 (CAr), 105.3 (O-C-OH), 82.6 (O-CH), 67.3 (HO-CH), 65.8 (HO-CH), 59.9 (NCH), 58.4 (ArCH2), 48.9 (NCH2), 41.5 (CH2), 24.1 (CH3). ESI-HRMS: m/z calcd for C15H22O5N [M + H]+: 296.1492; found: 296.1493.
- (2R, 3aR, 6S, 7S, 7aS)-2,6,7-trihydroxy-2-methyl-4-(3-chloro-4-hydroxylbenzyl)-3a,7a-Dihydrofuro[3,2-b]piperidine (28) (Figures S49 and S50): The synthesized procedure was the same as compound 25. Colorless syrup, yield 37%, [α]25D−23.7 (c 0.19, MeOH). 1H NMR (600 MHz, CD3OD) δ 7.25–7.15 (m, 1H, HAr), 7.10–7.00 (m, 1H, HAr), 6.90–6.80 (m, 1H, HAr), 4.04–4.00 (m, 1H, O-CH), 4.00 (s, 1H, O-CH), 3.96 (s, 1H, O-CH), 3.86–3.65 (m, 2H, ArCH2), 2.55 (dd, J = 10.7, 4.1 Hz, 1H, NCH), 2.47 (d, J = 13.5 Hz, 1H, NCH2), 2.30 (t, J = 10.9 Hz, 1H, NCH2), 2.15 (d, J = 11.1 Hz, 1H, CH2), 2.00 (dd, J = 13.5, 3.9 Hz, 1H, CH2), 1.44 (s, 3H, CH3). 13C NMR (151 MHz, CD3OD) δ 152.5 (CArOH), 130.4 (CAr), 128.5 (CAr), 128.5 (CAr), 120.3 (CArCl), 116.2 (CAr), 105.3 (O-C-OH), 82.6 (O-CH), 67.3 (HO-CH), 65.8 (HO-CH), 59.7 (NCH), 57.2 (ArCH2), 48.6 (NCH2), 41.5 (CH2), 24.1 (CH3). ESI-HRMS: m/z calcd for C15H21O5NCl [M + H]+: 330.1103; found: 330.1102.
- (2R, 3aR, 6S, 7S, 7aS)-2,6,7-trihydroxy-2-methyl-4-(3-bromo-4-hydroxylbenzyl)-3a,7a-Dihydrofuro[3,2-b]piperidine (29) (Figures S51 and S52): The synthesized procedure was the same as compound 25. Colorless syrup, yield 40%, [α]25D−47.5 (c 0.04, MeOH). 1H NMR (600 MHz, CD3OD) δ 7.37 (d, J = 2.0 Hz, 1H, HAr), 7.06 (dd, J = 8.3, 2.0 Hz, 1H, HAr), 6.86 (d, J = 7.6 Hz, 1H, HAr), 4.10–4.00 (m, 2H, O-CH), 3.96 (s, 1H, O-CH), 3.90–3.75 (m, 2H, ArCH2), 2.55 (dd, J = 10.7, 4.0 Hz, 1H, NCH), 2.48 (d, J = 13.5 Hz, 1H, NCH2), 2.30 (t, J = 10.9 Hz, 1H, NCH2), 2.15 (d, J = 10.8 Hz, 1H, CH2), 2.01 (dd, J = 13.5, 3.8 Hz, 1H, CH2), 1.44 (s, 3H, CH3). 13C NMR (151 MHz, CD3OD) δ 153.6 (CArOH), 133.5 (CAr), 129.2 (CAr), 115.8 (CAr), 115.6 (CAr), 109.4 (CArBr), 105.3 (O-C-OH), 82.6 (O-CH), 67.3 (HO-CH), 65.8 (HO-CH), 59.7 (NCH), 57.1 (ArCH2), 48.7 (NCH2), 41.5 (CH2), 24.1 (CH3). ESI-HRMS: m/z calcd for C15H21O5NBr [M + H]+: 374.0598; found: 374.0597.
- (2R, 3aR, 6S, 7S, 7aS)-2,6,7-trihydroxy-2-methyl-4-(3-fluoro-4-hydroxylbenzyl)-3a,7a-Dihydrofuro[3,2-b]piperidine (30) (Figures S53 and S54): The synthesized procedure was the same as compound 25. Colorless syrup, yield 35%, [α]25D−50.0 (c 0.08, MeOH). 1H NMR (600 MHz, CD3OD) δ 6.96–6.88 (m, 3H, 2 × HAr), 4.03 (s, 1H, O-CH), 4.00 (s, 1H, O-CH), 3.96 (s, 1H, O-CH), 3.90–3.40 (m, 2H, ArCH2), 2.56 (dd, J = 10.7, 4.1 Hz, 1H, NCH), 2.48 (d, J = 13.5 Hz, 1H, NCH2), 2.34 (t, J = 10.9 Hz, 1H, NCH2), 2.20–2.14 (m, 1H, CH2), 2.01 (dd, J = 13.5, 3.9 Hz, 1H, CH2), 1.44 (s, 3H, CH3). 13C NMR (151 MHz, CD3OD) δ 152.2 (CArF), 150.6 (CArOH), 128.8 (CAr), 125.1 (CAr), 117.3 (CAr), 116.3 (CAr), 105.3 (O-C-OH), 82.6 (O-CH), 67.3 (HO-CH), 65.8 (HO-CH), 59.7 (NCH), 57.4 (ArCH2), 48.7 (NCH2), 41.5 (CH2), 24.1 (CH3). ESI-HRMS: m/z calcd for C15H21O5NF [M + H]+: 314.1398; found: 314.1404.
- (2R, 3aR, 6S, 7S, 7aS)-2,6,7-trihydroxy-2-methyl-4-(2-chloro-4-hydroxylbenzyl)-3a,7a-Dihydrofuro[3,2-b]piperidine (31) (Figures S55 and S56): The synthesized procedure was the same as compound 25. Colorless syrup, yield 35%, [α]25D−37.5 (c 0.16, MeOH). 1H NMR (600 MHz, CD3OD) δ 7.23 (d, J = 8.3 Hz, 1H, HAr), 6.80 (d, J = 2.3 Hz, 1H, HAr), 6.70 (dd, J = 8.4, 2.5 Hz, 1H, HAr), 4.06 (t, J = 3.9 Hz, 1H, O-CH), 3.91 (s, 1H, O-CH), 3.80–3.78 (m, 1H, O-CH), 3.74 (d, J = 13.8, 1H, ArCH2), 3.26 (d, J = 15.5, 1H, ArCH2), 2.55 (dd, J = 11.0, 4.3 Hz, 1H, NCH), 2.31 (t, J = 10.9 Hz, 1H, NCH2), 2.19 (d, J = 13.6 Hz, 1H, NCH2), 2.15–2.09 (m, 1H, CH2), 2.00–1.90 (m, 1H, CH2), 1.49 (s, 3H, CH3). 13C NMR (151 MHz, CD3OD) δ 157.2 (CArOH), 134.3 (CArCl), 131.7 (CAr), 126.1 (CAr), 115.7 (CAr), 113.7 (CAr), 107.3 (O-C-OH), 81.0 (O-CH), 67.9 (HO-CH), 66.7 (HO-CH), 60.8 (NCH), 55.0 (ArCH2), 50.1 (NCH2), 42.6 (CH2), 22.4 (CH3). ESI-HRMS: m/z calcd for C15H21O5NCl [M + H]+: 330.1103; found: 330.1104.
- (2R, 3aR, 6S, 7S, 7aS)-2,6,7-trihydroxy-2-methyl-4-(2,6-dichloro-4-hydroxylbenzyl)-3a,7a-Dihydrofuro[3,2-b]piperidine (32) (Figures S57 and S58): The synthesized procedure was the same as compound 25. Colorless syrup, yield 30%, [α]25D−11.4 (c 0.06, MeOH). 1H NMR (600 MHz, CD3OD) δ 6.84 (s, 2H, 2 × HAr), 4.10 (d, J = 12.7 Hz, 1H, O-CH), 4.03 (d, J = 3.4 Hz, 1H, O-CH), 3.95 (s, 1H, O-CH), 3.85–3.65 (m, 2H, ArCH2), 2.62 (t, J = 10.8 Hz, 1H, NCH2), 2.50 (d, J = 6.9 Hz, 1H, NCH), 2.43 (dd, J = 10.7, 4.2 Hz, 1H, NCH2), 2.38 (d, J = 13.5 Hz, 1H, CH2), 1.98 (dd, J = 13.5, 4.1 Hz, 1H, CH2), 1.39 (s, 3H, CH3). 13C NMR (151 MHz, CD3OD) δ 158.1 (CArOH), 136.9 (CArCl), 136.9 (CArCl), 122.7 (CAr), 115.6 (CAr), 115.4 (CAr), 104.7 (O-C-OH), 82.6 (O-CH), 67.3 (HO-CH), 66.0 (HO-CH), 61.6 (NCH), 53.7 (ArCH2), 48.7 (NCH2), 41.3 (CH2), 24.2 (CH3). ESI-HRMS: m/z calcd for C15H20O5NCl2 [M + H]+: 364.0713; found: 364.0703.
- (2R, 3aR, 6S, 7S, 7aS)-2,6,7-trihydroxy-2-methyl-4-(4-hydroxyl-methoxylbenzyl)-3a,7a-Dihydrofuro[3,2-b]piperidine (33) (Figures S59 and S60): The synthesized procedure was the same as compound 25. Colorless syrup,yield 46%, [α]25D−30.4 (c 0.08, MeOH). 1H NMR (600 MHz, CD3OD) δ 6.81 (d, J = 1.7 Hz, 1H, HAr), 6.75 (d, J = 8.0 Hz, 1H, HAr), 6.70 (dd, J = 7.9, 1.7 Hz, 1H, HAr), 4.06–4.02 (m, 2H, 2 × O-CH), 3.97 (s, 1H, O-CH), 3.90–3.70 (m, 2H, ArCH2), 3.83 (s, 3H, OCH3), 2.59 (dd, J = 10.8, 4.0 Hz, 1H, NCH), 2.49 (d, J = 13.4 Hz, 1H, NCH2), 2.30 (t, J = 10.9 Hz, 1H, NCH2), 2.16 (d, J = 14.1 Hz, 1H, CH2), 2.03–1.97 (m, 1H, CH2), 1.45 (s, 3H, CH3). 13C NMR (151 MHz, CD3OD) δ 147.7 (CArOCH3), 145.8 (CArOH), 128.4 (CAr), 121.8 (CAr), 114.5 (CAr), 112.2 (CAr), 105.3 (O-C-OH), 82.7 (O-CH), 67.3 (HO-CH), 65.8 (HO-CH), 59.8 (NCH), 58.2 (ArCH2), 55.0 (OCH3), 48.6 (NCH2), 41.5 (CH2), 24.1 (CH3). ESI-HRMS: m/z calcd for C16H24O6N [M + H]+: 326.1598; found: 326.1605.
- (2R, 3aR, 6S, 7S, 7aS)-2,6,7-trihydroxy-2-methyl-4-(4-hydroxyl-3-ethyoxylbenzyl)-3a,7a-Dihydrofuro[3,2-b]piperidine (34) (Figures S61 and S62): The synthesized procedure was the same as compound 25. Colorless syrup, yield 49%, [α]25D−18.5 (c 0.13, MeOH). 1H NMR (600 MHz, CD3OD) δ 6.80 (d, J = 1.7 Hz, 1H, HAr), 6.76 (d, J = 8.0 Hz, 1H, HAr), 6.69 (dd, J = 8.0, 1.8 Hz, 1H, HAr), 4.12–3.99 (m, 4H, OCH2, 2 × O-CH), 3.94 (s, 1H, O-CH), 3.91–3.70 (m, 2H, ArCH2), 2.59 (dd, J = 10.8, 4.0 Hz, 1H, NCH), 2.48 (d, J = 13.5 Hz, 1H, NCH2), 2.28 (t, J = 10.9 Hz, 1H, NCH2), 2.16 (d, J = 12.9 Hz, 1H, CCH2), 2.01 (dd, J = 13.4, 3.8 Hz, 1H, CCH2), 1.45 (s, 3H, CCH3), 1.40 (t, J = 7.0 Hz, 3H, CH2CH3). 13C NMR (151 MHz, CD3OD) δ 146.8 (CArOEt), 146.1 (CArOH), 128.4 (CAr), 121.8 (CAr), 114.6 (CAr), 113.7 (CAr), 105.3 (O-C-OH), 82.6(O-CH), 67.3(HO-CH), 65.8(HO-CH), 64.2 (OCH2), 59.7 (NCH), 58.2 (ArCH2), 48.7 (NCH2), 41.5 (CCH2), 24.1 (CCH3), 13.7 (CH2CH3). ESI-HRMS: m/z calcd for C17H26O6N [M + H]+: 340.1755; found: 340.1760.
4. Conclusions
Supplementary Materials
Author Contributions
Funding
Institutional Review Board Statement
Informed Consent Statement
Data Availability Statement
Conflicts of Interest
References
- Shah, N.A.; Levy, C.J. Emerging technologies for the management of type 2 diabetes mellitus. J. Diabetes 2021, 13, 713–724. [Google Scholar] [CrossRef]
- Diabetes. Available online: https://www.who.int/news-room/fact-sheets/detail/diabetes (accessed on 3 March 2023).
- Wu, Z.; Yu, S.; Kang, X.; Liu, Y.; Xu, Z.; Li, Z.; Wang, J.; Miao, X.; Liu, X.; Li, X.; et al. Association of visceral adiposity index with incident nephropathy and retinopathy: A cohort study in the diabetic population. Cardiovasc. Diabetol. 2022, 21, 32. [Google Scholar] [CrossRef] [PubMed]
- Iatcu, C.O.; Steen, A.; Covasa, M. Gut microbiota and complications of type-2 diabetes. Nutrients 2021, 14, 166. [Google Scholar] [CrossRef] [PubMed]
- Usman, B.; Sharma, N.; Satija, S.; Mehta, M.; Vyas, M.; Khatik, G.L.; Khurana, N.; Hansbro, P.M.; Williams, K.; Dua, K. Recent developments in alpha-glucosidase inhibitors for management of type-2 diabetes: An update. Curr. Pharm. Des. 2019, 25, 2510–2525. [Google Scholar] [CrossRef] [PubMed]
- Joshi, S.R.; Standl, E.; Tong, N.; Shah, P.; Kalra, S.; Rathod, R. Therapeutic potential of α-glucosidase inhibitors in type 2 diabetes mellitus: An evidence-based review. Expert Opin. Pharmacother. 2015, 16, 1959–1981. [Google Scholar] [CrossRef] [PubMed]
- Hossain, U.; Das, A.K.; Ghosh, S.; Sil, P.C. An overview on the role of bioactive α-glucosidase inhibitors in ameliorating diabetic complications. Food Chem. Toxicol. 2020, 145, 111738. [Google Scholar] [CrossRef] [PubMed]
- Dhameja, M.; Gupta, P. Synthetic heterocyclic candidates as promising α-glucosidase inhibitors: An overview. Eur. J. Med. Chem. 2019, 176, 343–377. [Google Scholar] [CrossRef]
- Borges de Melo, E.; da Silveira Gomes, A.; Carvalho, I. α- and β-Glucosidase inhibitors: Chemical structure and biological activity. Tetrahedron 2006, 62, 10277–10302. [Google Scholar] [CrossRef]
- Matsumura, M.; Monden, T.; Miyashita, Y.; Kawagoe, Y.; Shimizu, H.; Nakatani, Y.; Domeki, N.; Yanagi, K.; Ikeda, S.; Kasai, K. Effects of changeover from voglibose to acarbose on postprandial triglycerides in type 2 diabetes mellitus patients. Adv. Ther. 2009, 26, 660–666. [Google Scholar] [CrossRef]
- Sekar, V.; Chakraborty, S.; Mani, S.; Sali, V.K.; Vasanthi, H.R. Mangiferin from mangifera indica fruits reduces post-prandial glucose level by inhibiting α-glucosidase and α-amylase activity. S. Afr. J. Bot. 2019, 120, 129–134. [Google Scholar] [CrossRef]
- Wang, B.; Zhao, J.; Zhan, Q.; Wang, R.; Liu, B.; Zhou, Y.; Xu, F. Acarbose for postprandial hypotension with glucose metabolism disorders: A systematic review and meta-analysis. Front. Cardiovasc. Med. 2021, 8, 663635. [Google Scholar] [CrossRef]
- Scott, L.J.; Spencer, C.M. Miglitol. Drugs 2000, 59, 521–549. [Google Scholar] [CrossRef]
- Kaku, K. Efficacy of voglibose in type 2 diabetes. Expert Opin. Pharmacother. 2014, 15, 1181–1190. [Google Scholar] [CrossRef] [PubMed]
- Derosa, G.; Maffioli, P. Mini-special issue paper management of diabetic patients with hypoglycemic agents α-glucosidase inhibitors and their use in clinical practice. Arch. Med. Sci. 2012, 5, 899–906. [Google Scholar] [CrossRef] [PubMed]
- Liu, Z.; Ma, S. Recent Advances in Synthetic α-Glucosidase Inhibitors. ChemMedChem 2017, 12, 819–829. [Google Scholar] [CrossRef]
- Paulsen, H. Carbohydrates containing nitrogen or sulfur in the ‘hemiacetal’ ring. Angew. Chem. Int. Ed. Engl. 1966, 5, 495–510. [Google Scholar] [CrossRef]
- Leusmann, S.; Ménová, P.; Shanin, E.; Titz, A.; Rademacher, C. Glycomimetics for the inhibition and modulation of lectins. Chem. Soc. Rev. 2023, 52, 3663–3740. [Google Scholar] [CrossRef]
- Kumar Thakur, A.; Kumar, Y.; K Goyal, K. Pharmacotherapeutics of miglitol: An α-glucosidase inhibitor. J. Anal. Pharm. Res. 2018, 7, 617–619. [Google Scholar] [CrossRef]
- Hollak, C.E.M.; Hughes, D.; van Schaik, I.N.; Schwierin, B.; Bembi, B. Miglustat (Zavesca®) in type 1 Gaucher disease: 5-year results of a post-authorisation safety surveillance programme. Pharmacoepidemiol. Drug Saf. 2009, 18, 770–777. [Google Scholar] [CrossRef] [PubMed]
- Patterson, M.C.; Mengel, E.; Vanier, M.T.; Moneuse, P.; Rosenberg, D.; Pineda, M. Treatment outcomes following continuous miglustat therapy in patients with Niemann-Pick disease Type C: A final report of the NPC Registry. Orphanet J. Rare Dis. 2020, 15, 104. [Google Scholar] [CrossRef]
- Riccio, E.; Zanfardino, M.; Ferreri, L.; Santoro, C.; Cocozza, S.; Capuano, I.; Imbriaco, M.; Feriozzi, S.; Pisani, A. Switch from enzyme replacement therapy to oral chaperone migalastat for treating Fabry disease: Real-life data. Eur. J. Hum. Genet. 2020, 28, 1662–1668. [Google Scholar] [CrossRef] [PubMed]
- Smid, B.E.; Aerts, J.M.F.G.; Boot, R.G.; Linthorst, G.E.; Hollak, C.E.M. Pharmacological small molecules for the treatment of lysosomal storage disorders. Expert Opin. Investig. Drugs 2010, 19, 1367–1379. [Google Scholar] [CrossRef] [PubMed]
- Alonzi, D.S.; Scott, K.A.; Dwek, R.A.; Zitzmann, N. Iminosugar antivirals: The therapeutic sweet spot. Biochem. Soc. Trans. 2017, 45, 571–582. [Google Scholar] [CrossRef] [PubMed]
- Wang, H.; Tang, S.; Zhang, G.; Pan, Y.; Jiao, W.; Shao, H. Synthesis of N-substituted iminosugar C-glycosides and evaluation as promising α-glucosidase inhibitors. Molecules 2022, 27, 5517. [Google Scholar] [CrossRef] [PubMed]
- Wang, H.; Luo, H.; Ma, X.; Zou, W.; Shao, H. Stereoselective synthesis of a series of new N-alkyl-3-hydroxypiperidine derivatives containing a hemiketal. Eur. J. Org. Chem. 2011, 4834–4840. [Google Scholar] [CrossRef]
- Winchester, B.G.; Cenci di Bello, I.; Richardson, A.C.; Nash, R.J.; Fellows, L.E.; Ramsden, N.G.; Fleet, G.W.J. The structural basis of the inhibition of human glycosidases by castanospermine analogues. Biochem. J. 1990, 269, 227. [Google Scholar] [CrossRef] [PubMed]
- Heightman, T.D.; Vasella, A.T. Recent insights into inhibition, structure, and mechanism of configuration-retaining glycosidases. Angew. Chem. Int. Ed. 1999, 38, 750–770. [Google Scholar] [CrossRef]
- Jakobsen, P.; Lundbeck, J.M.; Kristiansen, M.; Breinholt, J.; Demuth, H.; Pawlas, J.; Candela, M.P.T.; Andersen, B.; Westergaard, N.; Lundgren, K.; et al. Iminosugars: Potential inhibitors of liver glycogen phosphorylase. Bioorg. Med. Chem. 2001, 9, 733–744. [Google Scholar] [CrossRef]
- De Fenza, M.; Esposito, A.; D’Alonzo, D.; Guaragna, A. synthesis of piperidine nucleosides as conformationally restricted immucillin mimics. Molecules 2021, 26, 1652. [Google Scholar] [CrossRef]
- Choi, Y.S.; George, C.; Comin, M.J.; Barchi, J.J.; Kim, H.S.; Jacobson, K.A.; Balzarini, J.; Mitsuya, H.; Boyer, P.L.; Hughes, S.H.; et al. A conformationally locked analogue of the anti-HIV agent stavudine. An important correlation between pseudorotation and maximum amplitude. J. Med. Chem. 2003, 46, 3292–3299. [Google Scholar] [CrossRef]
- Diot, J.D.; Moreno, I.G.; Twigg, G.; Mellet, C.O.; Haupt, K.; Butters, T.D.; Kovensky, J.; Gouin, S.G. Amphiphilic 1-deoxynojirimycin derivatives through click strategies for chemical chaperoning in N370s Gaucher cells. J. Org. Chem. 2011, 76, 7757–7768. [Google Scholar] [CrossRef] [PubMed]
- Castilla, J.; Rísquez, R.; Cruz, D.; Higaki, K.; Nanba, E.; Ohno, K.; Suzuki, Y.; Díaz, Y.; Mellet, C.O.; Fernández, J.M.G. Conformationally-locked N-glycosides with selective β-glucosidase inhibitory activity: Identification of a new non-iminosugar-type pharmacological chaperone for gaucher disease. J. Med. Chem. 2012, 55, 6857–6865. [Google Scholar] [CrossRef] [PubMed]
- Aguilar-Moncayo, M.; García-Moreno, M.I.; Trapero, A.; EgidoGabas, M.; Llebaria, M.; García Fernandez, J.M.; Ortiz Mellet, C. Bicyclic (galacto) nojirimycin analogues as glycosidase inhibitors: Effect of structural modifications in their pharmacological chaperone potential towards β-glucocerebrosidase. Org. Biomol. Chem. 2011, 9, 3698–3713. [Google Scholar] [CrossRef] [PubMed]
- Aguilar-Moncayo, M.; García-Moreno, M.I.; Stutz, A.E.; García Fernandez, J.M.; Wrodnigg, T.M.; Ortiz Mellet, C. Fluorescenttagged sp2-iminosugars with potent β-glucosidase inhibitory activity. Bioorg. Med. Chem. 2010, 18, 7439–7445. [Google Scholar] [CrossRef] [PubMed]
- Aguilar-Moncayo, M.; Takai, T.; Higaki, K.; Mena-Barragan, T.; Hirano, Y.; Yura, K.; Li, L.; Yu, Y.; Ninomiya, H.; García-Moreno, M.I.; et al. Tuning glycosidase inhibition through aglycone interactions: Pharmacological chaperones for Fabry disease and GM1 gangliosidosis. Chem. Commun. 2012, 48, 6514–6516. [Google Scholar] [CrossRef] [PubMed]
- Sanchez-Fernandez, E.M.; Rísquez-Cuadro, R.; Chasseraud, M.; Ahidouch, A.; García-Moreno, M.I.; Ortiz Mellet, C.; OuadidAhidouch, H.; García Fernandez, J.M. Synthesis of N-, S-, and C-glycoside castanospermine analogues with selective neutral α-glucosidase inhibitory activity as antitumour agents. Chem. Commun. 2010, 46, 5328–5330. [Google Scholar] [CrossRef] [PubMed]
- McDevitt, J.P.; Lansbury, P.T. Glycosamino acids: New building blocks for combinatorial synthesis. J. Am. Chem. Soc. 1996, 118, 3818–3828. [Google Scholar] [CrossRef]
- Luo, H.; Zou, W.; Shao, H. Synthesis of N-substituted iminosugars from 2′-carbonyl-C-glycofuranosides. Carbohydr. Res. 2009, 344, 2454–2460. [Google Scholar] [CrossRef]
- Zou, W.; Sandbhor, M.; Bhasin, M. Stereoselective synthesis of polyhydroxylated quinolizidines from C-glycosides by one-pot double-conjugate addition. J. Org. Chem. 2007, 72, 1226–1234. [Google Scholar] [CrossRef]
- Kashtoh, H.; Muhammad, M.T.; Khan, J.J.A.; Rasheed, S.; Khan, A.; Perveen, S.; Javaid, K.; Atia-tul-Wahab; Khan, K.M.; Choudhary, M.I. Dihydropyrano [2,3-c] Pyrazole: Novel in vitro inhibitors of yeast α-Glucosidase. Bioorg. Chem. 2016, 65, 61–72. [Google Scholar] [CrossRef]
- Kashtoh, H.; Baek, K.H. Recent updates on phytoconstituent alpha-glucosidase inhibitors: An approach towards the treatment of type two diabetes. Plants 2022, 11, 2722. [Google Scholar] [CrossRef]
- Ren, L.M.; Qin, X.H.; Cao, X.F.; Wang, L.L.; Bai, F.; Bai, G.; Shen, Y.Q. Structural insight into substrate specificity of human intestinal maltase-glucoamylase. Protein Cell 2011, 2, 827–836. [Google Scholar] [CrossRef]
- Sim, L.; Quezada-Calvillo, R.; Sterchi, E.E.; Nichols, B.L.; Rose, D.R. Human intestinal maltase-glucoamylase: Crystal structure of the N-terminal catalytic subunit and basis of inhibition and substrate specificity. J. Mol. Biol. 2008, 375, 782–792. [Google Scholar] [CrossRef]
- Sim, L.; Willemsma, C.; Mohan, S.; Naim, H.Y.; Pinto, B.M.; Rose, D.R. Structural basis for substrate selectivity in human maltase-glucoamylase and sucrase-isomaltase N-terminal domains. J. Biol. Chem. 2010, 285, 17763–17770. [Google Scholar] [CrossRef]
- Nguyen, N.T.; Dang, P.H.; Vu, N.X.T.; Le, T.H.; Nguyen, T.T. Quinoliniumolate and 2h-1,2,3-triazole derivatives from the stems of Paramignya trimera and their α-glucosidase inhibitory activities: In vitro and in silico studies. J. Nat. Prod. 2017, 80, 2151–2155. [Google Scholar] [CrossRef]
- Zhang, B.W.; Li, X.; Sun, W.L.; Xing, Y.; Xiu, Z.L.; Zhuang, C.L.; Dong, Y.S. Dietary flavonoids and acarbose synergistically inhibit α-glucosidase and lower postprandial blood glucose. J. Agric. Food Chem. 2017, 65, 8319–8330. [Google Scholar] [CrossRef] [PubMed]
- Lipinski, C.A.; Lombardo, F.; Dominy, B.W.; Feeney, P.J. Experimental and computational approaches to estimate solubility and permeability in drug discovery and development settings. Adv. Drug Deliv. Rev. 2001, 46, 3–26. [Google Scholar] [CrossRef] [PubMed]
- Ghose, A.K.; Viswanadhan, V.N.; Wendoloski, J.J. A knowledge-based approach in designing combinatorial or medicinal chemistry libraries for drug discovery. 1. a qualitative and quantitative characterization of known drug databases. J. Comb. Chem. 1999, 1, 55–68. [Google Scholar] [CrossRef] [PubMed]
- Yasuda, M.; Yasutake, K.; Hino, M.; Ohwatari, H.; Ohmagari, N.; Takedomi, K.; Tanaka, T.; Nonaka, G. Inhibitory effects of polyphenols from water chestnut (Trapa japonica) husk on glycolytic enzymes and postprandial blood glucose elevation in mice. Food Chem. 2014, 165, 42–49. [Google Scholar] [CrossRef] [PubMed]







| Compound | IC50 (μM) | Compound | IC50 (μM) |
|---|---|---|---|
| 6 | >20.0 | 12 | >20.0 |
| 13 | 13.0 ± 0.5 | 14 | 10.0 ± 0.7 |
| 15 | >20.0 | 16 | >20.0 |
| 17 | 4.9 ± 0.2 | 18 | 5.5 ± 0.4 |
| 19 | 5.4 ± 0.3 | 20 | 4.4 ± 0.3 |
| 21 | 0.91 ± 0.1 | 22 | 10.5 ± 0.8 |
| 23 | 9.0 ± 0.6 | 24 | 1.9 ± 0.2 |
| 25 | 8.3 ± 0.4 | 26 | >20.0 |
| 27 | 3.7 ± 0.1 | 28 | 0.5 ± 0.1 |
| 29 | 1.2 ± 0.1 | 30 | 2.6 ± 0.3 |
| 31 | 1.8 ± 0.2 | 32 | 0.07 ± 0.01 |
| 33 | >20.0 | 34 | >20.0 |
| Acarbose | 2.0 ± 0.2 |
| Compound | MW (g/mol) | RB | HBA | HBD | MR | TPSA (Å2) | MlogP |
|---|---|---|---|---|---|---|---|
| 13 | 313.78 | 2 | 5 | 3 | 82.07 | 73.16 | 0.90 |
| 14, 25 | 295.33 | 2 | 6 | 4 | 79.08 | 93.39 | −0.16 |
| 15, 26 | 295.33 | 2 | 6 | 4 | 79.08 | 93.39 | −0.16 |
| 16, 27 | 295.33 | 2 | 6 | 4 | 79.08 | 93.39 | −0.16 |
| 17, 28 | 329.78 | 2 | 6 | 4 | 84.09 | 93.39 | 0.35 |
| 18, 29 | 374.23 | 2 | 6 | 4 | 86.78 | 93.39 | 0.48 |
| 19, 30 | 313.32 | 2 | 7 | 4 | 79.04 | 93.39 | 0.23 |
| 20, 31 | 329.78 | 2 | 6 | 4 | 84.09 | 93.39 | 0.35 |
| 21, 32 | 364.22 | 2 | 6 | 4 | 89.10 | 93.39 | 0.87 |
| 22, 33 | 325.36 | 3 | 7 | 4 | 85.57 | 102.62 | −0.45 |
| 23, 34 | 339.38 | 4 | 7 | 4 | 90.38 | 102.62 | −0.20 |
| 24 | 453.12 | 2 | 6 | 4 | 94.48 | 93.39 | 1.10 |
Disclaimer/Publisher’s Note: The statements, opinions and data contained in all publications are solely those of the individual author(s) and contributor(s) and not of MDPI and/or the editor(s). MDPI and/or the editor(s) disclaim responsibility for any injury to people or property resulting from any ideas, methods, instructions or products referred to in the content. |
© 2024 by the authors. Licensee MDPI, Basel, Switzerland. This article is an open access article distributed under the terms and conditions of the Creative Commons Attribution (CC BY) license (https://creativecommons.org/licenses/by/4.0/).
Share and Cite
Wang, H.; Huang, X.; Pan, Y.; Zhang, G.; Tang, S.; Shao, H.; Jiao, W. Synthesis and Biological Evaluation of New Dihydrofuro[3,2-b]piperidine Derivatives as Potent α-Glucosidase Inhibitors. Molecules 2024, 29, 1179. https://doi.org/10.3390/molecules29051179
Wang H, Huang X, Pan Y, Zhang G, Tang S, Shao H, Jiao W. Synthesis and Biological Evaluation of New Dihydrofuro[3,2-b]piperidine Derivatives as Potent α-Glucosidase Inhibitors. Molecules. 2024; 29(5):1179. https://doi.org/10.3390/molecules29051179
Chicago/Turabian StyleWang, Haibo, Xiaojiang Huang, Yang Pan, Guoqing Zhang, Senling Tang, Huawu Shao, and Wei Jiao. 2024. "Synthesis and Biological Evaluation of New Dihydrofuro[3,2-b]piperidine Derivatives as Potent α-Glucosidase Inhibitors" Molecules 29, no. 5: 1179. https://doi.org/10.3390/molecules29051179
APA StyleWang, H., Huang, X., Pan, Y., Zhang, G., Tang, S., Shao, H., & Jiao, W. (2024). Synthesis and Biological Evaluation of New Dihydrofuro[3,2-b]piperidine Derivatives as Potent α-Glucosidase Inhibitors. Molecules, 29(5), 1179. https://doi.org/10.3390/molecules29051179
