Physico-Chemical Investigation and Antimicrobial Efficacy of Ozonated Oils: The Case Study of Commercial Ozonated Olive and Sunflower Seed Refined Oils
Abstract
1. Introduction
2. Results
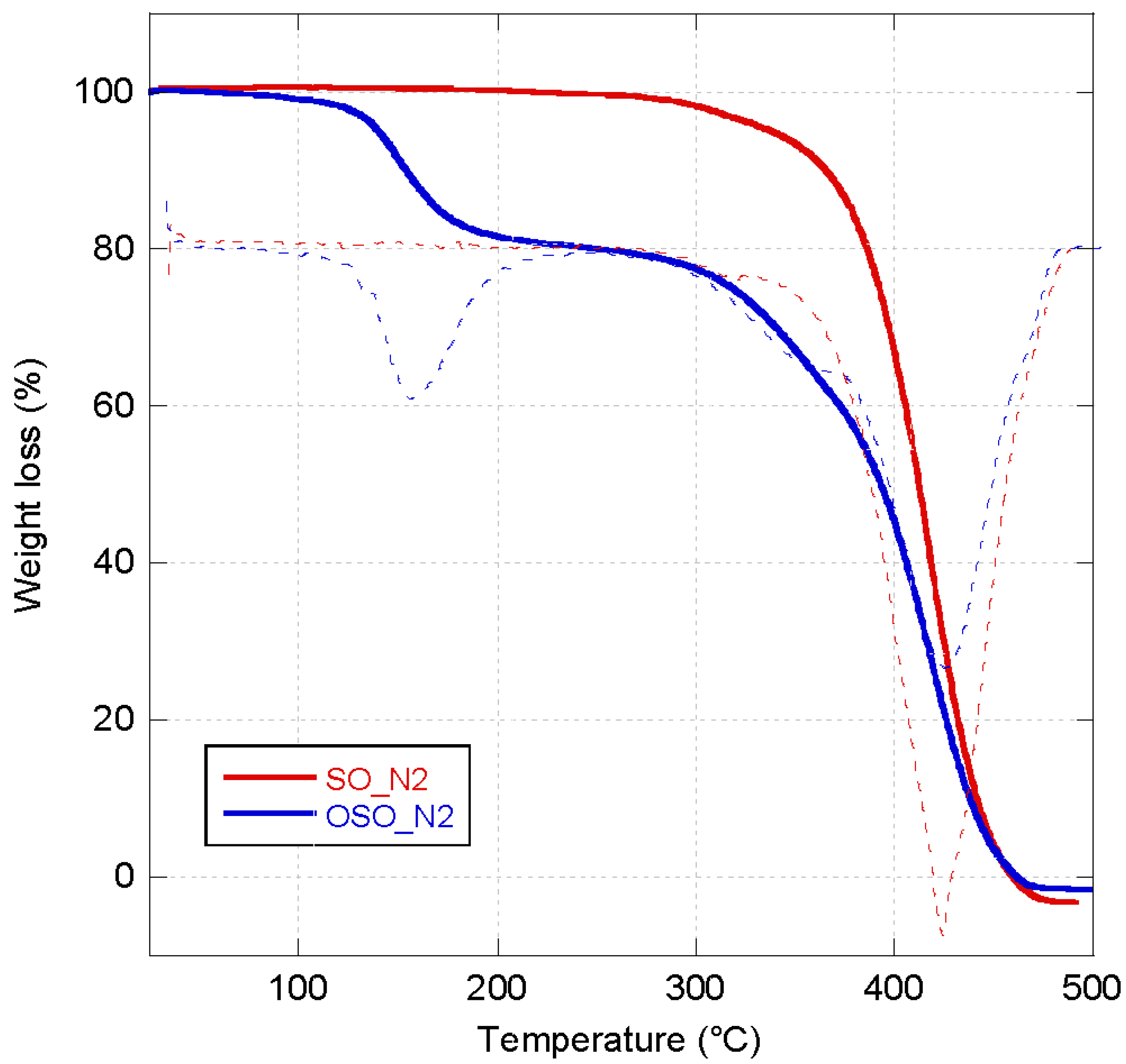
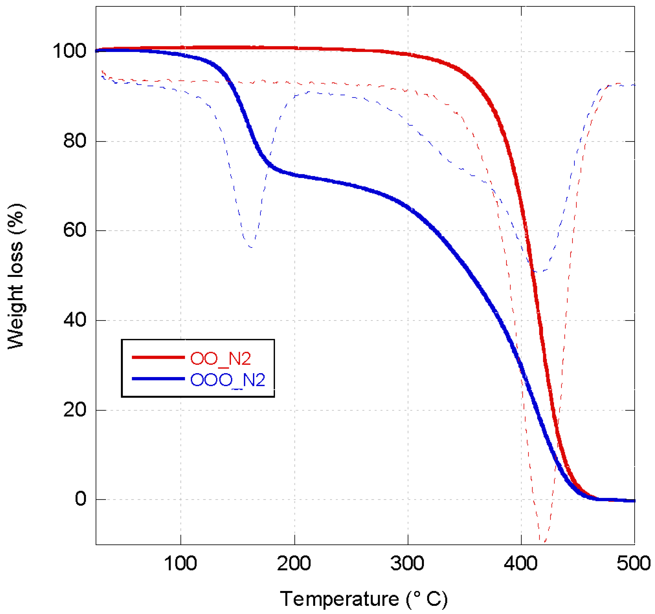
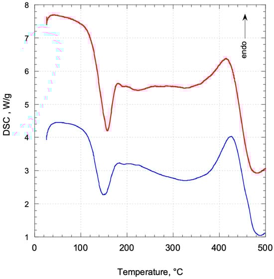
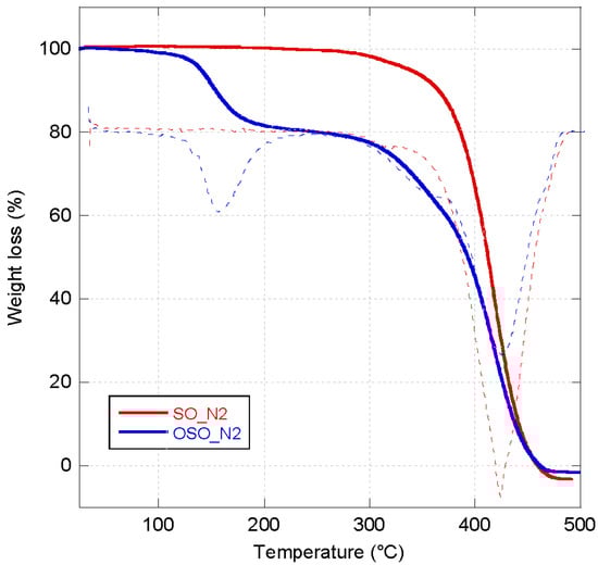
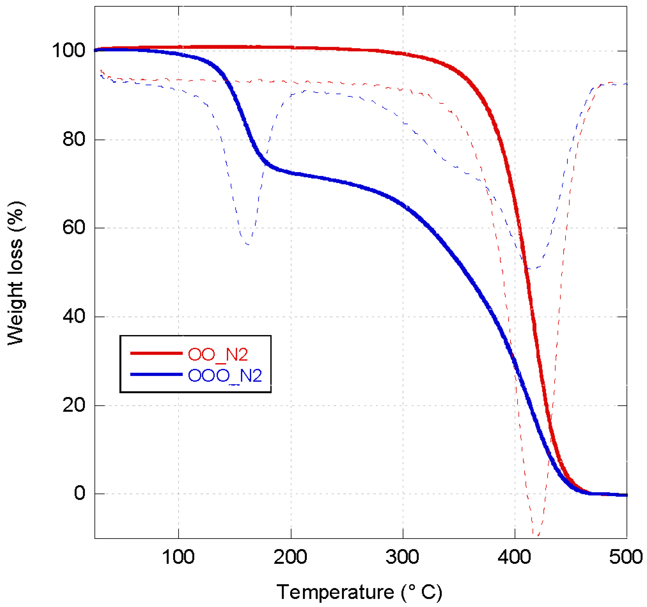
2.1. Thermogravimetric Analysis and Differential Scanning Calorimetry
2.2. Nuclear Magnetic Resonance Spectroscopy
2.3. Cytotoxicity
2.4. Antimicrobial Effect
3. Discussion
| Ozonated Olive Oil | Ozonated Sunflower Oil | |
|---|---|---|
| Number of oxidation (meqO2/kg) | 3110 (2900–3300) | 3520 (3000–3600) |
| Viscosity (mPas) | 86 (80–200) | 180 (80–250) |
| Acidity (mg KOH/g) | 9.93 | 28 |
| Turbidity color (NTU/FTR) | <1 (0 ÷ 20) | <1 (0–20) |
| Density 20 °C (g/cm3) | 0.900 (0.800–1000) | 0.990 (0.920–1.000) |
4. Materials and Methods
4.1. Materials
4.2. Physico-Chemical Characterization of Ozonated Oils
4.2.1. Thermal Characterization and Differential Scanning Calorimetry
4.2.2. Nuclear Magnetic Resonance Spectroscopy (NMR)
4.3. Cell Viability Assay
4.4. Microbial Strains and Culture Conditions
4.5. Antimicrobial Activity
4.5.1. Agar Diffusion Test (Kirby–Bauer)
4.5.2. Broth Dilution Tests
4.6. Statistics
5. Conclusions
Supplementary Materials
Author Contributions
Funding
Data Availability Statement
Acknowledgments
Conflicts of Interest
References
- WHO. Coronavirus (COVID-19) Dashboard. Available online: https://covid19.who.int (accessed on 10 December 2023).
- de Kraker, M.E.; Stewardson, A.J.; Harbarth, S. Will 10 Million People Die a Year due to Antimicrobial Resistance by 2050? PLoS Med. 2016, 13, e1002184. [Google Scholar] [CrossRef]
- WHO. WHO Publishes List of Bacteria for Which New Antibiotics Are Urgently Needed. Available online: https://www.who.int/news/item/27-02-2017-who-publishes-list-of-bacteria-for-which-new-antibiotics-are-urgently-needed (accessed on 10 December 2023).
- Ahmed, Z.H.; Agarwal, K.; Sarkar, R. Hand Dermatitis: A Comprehensive Review with Special Emphasis on COVID-19 Pandemic. Indian J. Dermatol. 2021, 66, 508–519. [Google Scholar] [CrossRef]
- Rundle, C.W.; Presley, C.L.; Militello, M.; Barber, C.; Powell, D.L.; Jacob, S.E.; Atwater, A.R.; Watsky, K.L.; Yu, J.; Dunnick, C.A. Hand hygiene during COVID-19: Recommendations from the American Contact Dermatitis Society. J. Am. Acad. Dermatol. 2020, 83, 1730–1737. [Google Scholar] [CrossRef]
- Tasar, R.; Wiegand, C.; Elsner, P. How irritant are n-propanol and isopropanol?—A systematic review. Contact Dermat. 2021, 84, 1–14. [Google Scholar] [CrossRef]
- Lee, Y.; von Gunten, U. Oxidative transformation of micropollutants during municipal wastewater treatment: Comparison of kinetic aspects of selective (chlorine, chlorine dioxide, ferrate VI, and ozone) and non-selective oxidants (hydroxyl radical). Water Res. 2010, 44, 555–566. [Google Scholar] [CrossRef]
- Dodd, M.C. Potential impacts of disinfection processes on elimination and deactivation of antibiotic resistance genes during water and wastewater treatment. J. Environ. Monit. 2012, 14, 1754–1771. [Google Scholar] [CrossRef]
- Hollender, J.; Zimmermann, S.G.; Koepke, S.; Krauss, M.; McArdell, C.S.; Ort, C.; Singer, H.; von Gunten, U.; Siegrist, H. Elimination of organic micropollutants in a municipal wastewater treatment plant upgraded with a full-scale post-ozonation followed by sand filtration. Environ. Sci. Technol. 2009, 43, 7862–7869. [Google Scholar] [CrossRef]
- Luddeke, F.; Hess, S.; Gallert, C.; Winter, J.; Gude, H.; Loffler, H. Removal of total and antibiotic resistant bacteria in advanced wastewater treatment by ozonation in combination with different filtering techniques. Water Res. 2015, 69, 243–251. [Google Scholar] [CrossRef]
- Zhuang, Y.; Ren, H.; Geng, J.; Zhang, Y.; Zhang, Y.; Ding, L.; Xu, K. Inactivation of antibiotic resistance genes in municipal wastewater by chlorination, ultraviolet, and ozonation disinfection. Environ. Sci. Pollut. Res. Int. 2015, 22, 7037–7044. [Google Scholar] [CrossRef]
- Zimmermann, S.G.; Wittenwiler, M.; Hollender, J.; Krauss, M.; Ort, C.; Siegrist, H.; von Gunten, U. Kinetic assessment and modeling of an ozonation step for full-scale municipal wastewater treatment: Micropollutant oxidation, by-product formation and disinfection. Water Res. 2011, 45, 605–617. [Google Scholar] [CrossRef]
- Al-Saadi, H.; Potapova, I.; Rochford, E.T.; Moriarty, T.F.; Messmer, P. Ozonated saline shows activity against planktonic and biofilm growing Staphylococcus aureus in vitro: A potential irrigant for infected wounds. Int. Wound J. 2016, 13, 936–942. [Google Scholar] [CrossRef]
- Ibanez-Cervantes, G.; Cruz-Cruz, C.; Duran-Manuel, E.M.; Loyola-Cruz, M.A.; Cureno-Diaz, M.A.; Castro-Escarpulli, G.; Lugo-Zamudio, G.E.; Rojo-Gutierrez, M.I.; Razo-Blanco Hernandez, D.M.; Lopez-Ornelas, A.; et al. Disinfection efficacy of ozone on ESKAPE bacteria biofilms: Potential use in difficult-to-access medical devices. Am. J. Infect. Control 2023, 51, 11–17. [Google Scholar] [CrossRef]
- Komanapalli, I.R.; Lau, B.H. Inactivation of bacteriophage lambda, Escherichia coli, and Candida albicans by ozone. Appl. Microbiol. Biotechnol. 1998, 49, 766–769. [Google Scholar] [CrossRef]
- Monzillo, V.; Lallitto, F.; Russo, A.; Poggio, C.; Scribante, A.; Arciola, C.R.; Bertuccio, F.R.; Colombo, M. Ozonized Gel Against Four Candida Species: A Pilot Study and Clinical Perspectives. Materials 2020, 13, 1731. [Google Scholar] [CrossRef]
- Piletic, K.; Kovac, B.; Percic, M.; Zigon, J.; Broznic, D.; Karleusa, L.; Lucic Blagojevic, S.; Oder, M.; Gobin, I. Disinfecting Action of Gaseous Ozone on OXA-48-Producing Klebsiella pneumoniae Biofilm In Vitro. Int. J. Environ. Res. Public. Health 2022, 19, 6177. [Google Scholar] [CrossRef]
- Skorup, P.; Fransson, A.; Gustavsson, J.; Sjoholm, J.; Rundgren, H.; Ozenci, V.; Wong, A.Y.W.; Karlsson, T.; Svensen, C.; Gunther, M. Evaluation of an extracorporeal ozone-based bactericide system for the treatment of Escherichia coli sepsis. Intensive Care Med. Exp. 2022, 10, 14. [Google Scholar] [CrossRef]
- Zanardi, I.; Borrelli, E.; Valacchi, G.; Travagli, V.; Bocci, V. Ozone: A Multifaceted Molecule with Unexpected Therapeutic Activity. Curr. Med. Chem. 2016, 23, 304–314. [Google Scholar] [CrossRef]
- Blanchard, E.L.; Lawrence, J.D.; Noble, J.A.; Xu, M.; Joo, T.; Ng, N.L.; Schmidt, B.E.; Santangelo, P.J.; Finn, M.G. Enveloped Virus Inactivation on Personal Protective Equipment by Exposure to Ozone. medRxiv 2020. [Google Scholar] [CrossRef]
- Cattel, F.; Giordano, S.; Bertiond, C.; Lupia, T.; Corcione, S.; Scaldaferri, M.; Angelone, L.; De Rosa, F.G. Ozone therapy in COVID-19: A narrative review. Virus Res. 2021, 291, 198207. [Google Scholar] [CrossRef]
- Clavo, B.; Santana-Rodriguez, N.; Llontop, P.; Gutierrez, D.; Suarez, G.; Lopez, L.; Rovira, G.; Martinez-Sanchez, G.; Gonzalez, E.; Jorge, I.J.; et al. Ozone Therapy as Adjuvant for Cancer Treatment: Is Further Research Warranted? Evid. Based Complement. Altern. Med. 2018, 2018, 7931849. [Google Scholar] [CrossRef]
- de Sire, A.; Agostini, F.; Lippi, L.; Mangone, M.; Marchese, S.; Cisari, C.; Bernetti, A.; Invernizzi, M. Oxygen-Ozone Therapy in the Rehabilitation Field: State of the Art on Mechanisms of Action, Safety and Effectiveness in Patients with Musculoskeletal Disorders. Biomolecules 2021, 11, 356. [Google Scholar] [CrossRef]
- Izadi, M.; Cegolon, L.; Javanbakht, M.; Sarafzadeh, A.; Abolghasemi, H.; Alishiri, G.; Zhao, S.; Einollahi, B.; Kashaki, M.; Jonaidi-Jafari, N.; et al. Ozone therapy for the treatment of COVID-19 pneumonia: A scoping review. Int. Immunopharmacol. 2021, 92, 107307. [Google Scholar] [CrossRef]
- Juchniewicz, H.; Lubkowska, A. Oxygen-Ozone (O(2)-O(3)) Therapy in Peripheral Arterial Disease (PAD): A Review Study. Ther. Clin. Risk Manag. 2020, 16, 579–594. [Google Scholar] [CrossRef]
- Muto, M.; Giurazza, F.; Silva, R.P.; Guarnieri, G. Rational approach, technique and selection criteria treating lumbar disk herniations by oxygen-ozone therapy. Interv. Neuroradiol. 2016, 22, 736–740. [Google Scholar] [CrossRef]
- Rowen, R.J.; Robins, H. Ozone Therapy for Complex Regional Pain Syndrome: Review and Case Report. Curr. Pain. Headache Rep. 2019, 23, 41. [Google Scholar] [CrossRef]
- Scassellati, C.; Galoforo, A.C.; Bonvicini, C.; Esposito, C.; Ricevuti, G. Ozone: A natural bioactive molecule with antioxidant property as potential new strategy in aging and in neurodegenerative disorders. Ageing Res. Rev. 2020, 63, 101138. [Google Scholar] [CrossRef]
- CDC. Ozone. Available online: https://www.cdc.gov/niosh/topics/ozone/default.html (accessed on 10 December 2023).
- International Scientific Committee of Ozone Therapy. Madrid Declaration on Ozone Therapy. Available online: https://ozonewithoutborders.ngo/wp-content/uploads/2021/04/2020-Madrid-Declaration.pdf (accessed on 10 December 2023).
- Kumar, A.; Bali, K.; Singh, S.; Naja, M.; Mishra, A.K. Estimates of reactive trace gases (NMVOCs, CO and NOx) and their ozone forming potentials during forest fire over Southern Himalayan region. Atmos. Res. 2019, 227, 41–51. [Google Scholar] [CrossRef]
- Moureu, F.; Violleau, F.; Ali Haimoud-Lekhal, D. Influence of Storage Temperature on the Composition and the Antibacterial Activity of Ozonized Sunflower Oil. Ozone Sci. Eng. 2016, 38, 143–149. [Google Scholar] [CrossRef]
- Santos, L.; Silva, E.S.D.; Oliveira, F.O.; Rodrigues, L.A.P.; Neves, P.R.F.; Meira, C.S.; Moreira, G.A.F.; Lobato, G.M.; Nascimento, C.; Gerhardt, M.; et al. Ozonized Water in Microbial Control: Analysis of the Stability, In Vitro Biocidal Potential, and Cytotoxicity. Biology 2021, 10, 525. [Google Scholar] [CrossRef]
- de Almeida Kogawa, N.R.; de Arruda, E.J.; Micheletti, A.C.; Matos, M.D.F.C.; de Oliveira, L.C.S.; de Lima, D.P.; Carvalho, N.C.P.; de Oliveira, P.D.; de Castro Cunha, M.; Ojeda, M.; et al. Synthesis, characterization, thermal behavior, and biological activity of ozonides from vegetable oils. RSC Adv. 2015, 5, 65427–65436. [Google Scholar] [CrossRef]
- Ugazio, E.; Tullio, V.; Binello, A.; Tagliapietra, S.; Dosio, F. Ozonated Oils as Antimicrobial Systems in Topical Applications. Their Characterization, Current Applications, and Advances in Improved Delivery Techniques. Molecules 2020, 25, 334. [Google Scholar] [CrossRef]
- Gunstone, F.D.; Harwood, J.L.; Padley, F.B. The Lipid Handbook, Occurrence and Characteristics of Oils and Fats, 2nd ed.; CRC Press: Boca Raton, FL, USA, 1994. [Google Scholar]
- Cho, K.H.; Kang, D.J.; Nam, H.S.; Kim, J.H.; Kim, S.Y.; Lee, J.O.; Kim, B.J. Ozonated Sunflower Oil Exerted Protective Effect for Embryo and Cell Survival via Potent Reduction Power and Antioxidant Activity in HDL with Strong Antimicrobial Activity. Antioxidants 2021, 10, 1651. [Google Scholar] [CrossRef]
- de Almeida, N.R.; Beatriz, A.; Micheletti, A.C.; De Arruda, E.J. Ozonized vegetable oils and therapeutic properties: A review. Orbital Electron. J. Chem. 2013, 4, 313–326. [Google Scholar] [CrossRef]
- Sechi, L.A.; Lezcano, I.; Nunez, N.; Espim, M.; Dupre, I.; Pinna, A.; Molicotti, P.; Fadda, G.; Zanetti, S. Antibacterial activity of ozonized sunflower oil (Oleozon). J. Appl. Microbiol. 2001, 90, 279–284. [Google Scholar] [CrossRef]
- Gharby, S. Refining Vegetable Oils: Chemical and Physical Refining. Sci. World J. 2022, 2022, 6627013. [Google Scholar] [CrossRef]
- Silva, V.; Peirone, C.; Capita, R.; Alonso-Calleja, C.; Marques-Magallanes, J.A.; Pires, I.; Maltez, L.; Pereira, J.E.; Igrejas, G.; Poeta, P. Topical Application of Ozonated Oils for the Treatment of MRSA Skin Infection in an Animal Model of Infected Ulcer. Biology 2021, 10, 372. [Google Scholar] [CrossRef]
- Song, M.; Zeng, Q.; Xiang, Y.; Gao, L.; Huang, J.; Huang, J.; Wu, K.; Lu, J. The antibacterial effect of topical ozone on the treatment of MRSA skin infection. Mol. Med. Rep. 2018, 17, 2449–2455. [Google Scholar] [CrossRef]
- Grandi, G.; Cavallo, R.; Zanotto, E.; Cipriani, R.; Panico, C.; Protti, R.; Scapagnini, G.; Davinelli, S.; Costagliola, C. In vitro antimicrobial activity of ozonated oil in liposome eyedrop against multidrug-resistant bacteria. Open Med. (Wars) 2022, 17, 1057–1063. [Google Scholar] [CrossRef]
- International Scientific Committee of Ozone Therapy. ISCO3/LAB/00/04 Physico-Chemical Characterization of Ozonized Oil. Peroxide Value. Available online: https://isco3.org/wp-content/uploads/2016/03/ISCO3-LAB-00-04-IP-Peroxid-value.pdf (accessed on 10 December 2023).
- International Scientific Committee of Ozone Therapy. ISCO3/LAB/00/03 Physico-Chemical Characterization of Ozonized Oil. Iodine Value. Available online: https://isco3.org/wp-content/uploads/2017/03/ISCO3-LAB-00-03-IV-Iodine-Value-V1.pdf (accessed on 10 December 2023).
- International Scientific Committee of Ozone Therapy. ISCO3/LAB/00/02 Physico-Chemical Characterization of Ozonized Oil. Acid Values. Available online: https://isco3.org/wp-content/uploads/2017/03/ISCO3-LAB-00-02-Acid-Values-V1.pdf (accessed on 10 December 2023).
- Angius, F.; Floris, A. Liposomes and MTT cell viability assay: An incompatible affair. Toxicol. In Vitro 2015, 29, 314–319. [Google Scholar] [CrossRef]
- Barry, A.L.; Thornsberry, C.; Badal, R.E.; Baker, C.N.; Jones, R.N.; Gerlach, E.H. Piperacillin susceptibility tests by the single-disk agar diffusion technique. Antimicrob. Agents Chemother. 1979, 16, 378–385. [Google Scholar] [CrossRef]
- Montevecchi, M.; Dorigo, A.; Cricca, M.; Checchi, L. Comparison of the antibacterial activity of an ozonated oil with chlorhexidine digluconate and povidone-iodine. A disk diffusion test. New Microbiol. 2013, 36, 289–302. [Google Scholar] [PubMed]
- Mushtaq, S.; Warner, M.; Johnson, A.P.; Livermore, D.M. Activity of dalbavancin against staphylococci and streptococci, assessed by BSAC and NCCLS agar dilution methods. J. Antimicrob. Chemother. 2004, 54, 617–620. [Google Scholar] [CrossRef] [PubMed][Green Version]
- GraphPad Software. GraphPad Prism. Available online: www.graphpad.com (accessed on 18 August 2019).







| Sample | OO | OOO | SO | OSO |
|---|---|---|---|---|
| a Fatty acid/glycerol | 3.21 | 3.10 | 2.89 | 3.01 |
| b Unsaturations/glycerol | 3.06 | 0.57 | 4.03 | 0.92 |
| c Polyunsaturations/glycerol | 0.32 | 0.00 | 1.53 | 0.31 |
| d Ozonated chains/glycerol | 0.00 | 1.28 | 0.00 | 0.85 |
| e Formaldehyde/glycerol | 0.00 | 0.10 | 0.00 | 0.09 |
| f Formates/glycerol | 0.00 | 0.15 | 0.00 | 0.40 |
| CC50 (mg/mL) | IC50 (mg/mL) | ||||||
|---|---|---|---|---|---|---|---|
| C. albicans | E. faecalis | E. coli | S. aureus | P. aeruginosa | K. pneumoniae | ||
| OOO | 0.3 | 0.4 | 16.7 | 10.7 | >50 | >50 | |
| HaCaT | 40.1 | 151 | 114 | 2 | 4 | - | - |
| Vero | 48.2 | 182 | 137 | 3 | 5 | - | - |
| OSO | 0.2 | 2.8 | 27.5 | 24.7 | 41.2 | >50 | |
| HaCaT | 28.1 | 145 | 10 | 1 | 1 | 1 | - |
| Vero | 46.8 | 242 | 17 | 2 | 2 | 1 | - |
Disclaimer/Publisher’s Note: The statements, opinions and data contained in all publications are solely those of the individual author(s) and contributor(s) and not of MDPI and/or the editor(s). MDPI and/or the editor(s) disclaim responsibility for any injury to people or property resulting from any ideas, methods, instructions or products referred to in the content. |
© 2024 by the authors. Licensee MDPI, Basel, Switzerland. This article is an open access article distributed under the terms and conditions of the Creative Commons Attribution (CC BY) license (https://creativecommons.org/licenses/by/4.0/).
Share and Cite
Puxeddu, S.; Scano, A.; Scorciapino, M.A.; Delogu, I.; Vascellari, S.; Ennas, G.; Manzin, A.; Angius, F. Physico-Chemical Investigation and Antimicrobial Efficacy of Ozonated Oils: The Case Study of Commercial Ozonated Olive and Sunflower Seed Refined Oils. Molecules 2024, 29, 679. https://doi.org/10.3390/molecules29030679
Puxeddu S, Scano A, Scorciapino MA, Delogu I, Vascellari S, Ennas G, Manzin A, Angius F. Physico-Chemical Investigation and Antimicrobial Efficacy of Ozonated Oils: The Case Study of Commercial Ozonated Olive and Sunflower Seed Refined Oils. Molecules. 2024; 29(3):679. https://doi.org/10.3390/molecules29030679
Chicago/Turabian StylePuxeddu, Silvia, Alessandra Scano, Mariano Andrea Scorciapino, Ilenia Delogu, Sarah Vascellari, Guido Ennas, Aldo Manzin, and Fabrizio Angius. 2024. "Physico-Chemical Investigation and Antimicrobial Efficacy of Ozonated Oils: The Case Study of Commercial Ozonated Olive and Sunflower Seed Refined Oils" Molecules 29, no. 3: 679. https://doi.org/10.3390/molecules29030679
APA StylePuxeddu, S., Scano, A., Scorciapino, M. A., Delogu, I., Vascellari, S., Ennas, G., Manzin, A., & Angius, F. (2024). Physico-Chemical Investigation and Antimicrobial Efficacy of Ozonated Oils: The Case Study of Commercial Ozonated Olive and Sunflower Seed Refined Oils. Molecules, 29(3), 679. https://doi.org/10.3390/molecules29030679

