Sign in to use this feature.

Years

Between: -

Subjects

remove_circle_outline
remove_circle_outline
remove_circle_outline
remove_circle_outline
remove_circle_outline
remove_circle_outline

Journals

Article Types

Countries / Regions

Search Results (27)

Search Parameters:
Keywords = ozonides

Order results
Result details
Results per page
Select all
Export citation of selected articles as:
18 pages, 3108 KB  
Article
Ozonized Sunflower Oil: Standardization and Mechanisms of the Antimicrobial Effect
by Matheus Henrique Vieira, Diogo Boreski, Bibiana Franzen Matte, Jean Lucas de Oliveira Arias, Celso Martins Júnior, Tais Maria Bauab, Sthefano Atique Gabriel and Chung Man Chin
Int. J. Mol. Sci. 2025, 26(18), 9156; https://doi.org/10.3390/ijms26189156 - 19 Sep 2025
Cited by 3 | Viewed by 3184
Abstract
Ozonized vegetable oils are gaining attention for their antimicrobial and therapeutic potential, yet the lack of standardized ozonation protocols and incomplete characterization of their chemical profiles hinder clinical translation. In this study, we standardized the ozonation process of sunflower oil and investigated the [...] Read more.
Ozonized vegetable oils are gaining attention for their antimicrobial and therapeutic potential, yet the lack of standardized ozonation protocols and incomplete characterization of their chemical profiles hinder clinical translation. In this study, we standardized the ozonation process of sunflower oil and investigated the chemical evolution and antimicrobial efficacy of the resulting products. Ozonation proceeded through a classical three-step mechanism involving the formation of primary ozonides, their decomposition into carbonyl compounds and carbonyl oxides, and subsequent recombination into stable secondary ozonides capable of sustained ozone release with reduced toxicity. Time-course analysis at 100, 240, and 480 min revealed key reaction products, including the appearance of azelaic acid after 240 min, progressive depletion of linoleic acid, and the emergence of 2,5-furandione exclusively after 480 min—indicative of advanced oxidative processes. The formation of hydroperoxides and their secondary degradation into ketones, acids, and epoxides was also observed, with implications for both biological activity and sensory properties. Importantly, the ozonized oil demonstrated potent antimicrobial activity against Staphylococcus aureus, Escherichia coli, Salmonella choleraesuis, Pseudomonas aeruginosa, Candida albicans, and Aspergillus brasiliensis. These findings provide a comprehensive chemical and functional characterization of ozonized sunflower oil and support its development as a standardized antimicrobial agent for therapeutic use. Full article
(This article belongs to the Special Issue Molecular Mechanisms of Ozone Therapy)
Show Figures

Figure 1

10 pages, 897 KB  
Article
Ozonated Olive Oil Dressing for Pediatric Hypospadias Repair: A Prospective Randomized Clinical Trial
by Vincenzo Coppola, Maria Escolino, Fulvia Del Conte, Claudia Di Mento, Francesca Carraturo, Giovanni Esposito, Francesco Tedesco, Roberta Guglielmini and Ciro Esposito
Children 2025, 12(5), 549; https://doi.org/10.3390/children12050549 - 24 Apr 2025
Cited by 1 | Viewed by 2292
Abstract
Many ozone-based products that promote the healing process of wounds have been released in recent years. In this study, we evaluate a new spray dressing preparation based on stable ozonides with Vitamin E Acetate in children operated for distal hypospadias. Methods: We [...] Read more.
Many ozone-based products that promote the healing process of wounds have been released in recent years. In this study, we evaluate a new spray dressing preparation based on stable ozonides with Vitamin E Acetate in children operated for distal hypospadias. Methods: We included all patients with distal hypospadias, who underwent Tubularized Incised Plate Urethroplasty (TIPU) over a 12-month period. The patients were randomized in two groups according to the type of medication: ozonide spray with Vitamin E Acetate (G1); hyaluronic acid cream (G2). After discharge, parents changed the dressing twice a day for 2–3 weeks postoperatively. The patients were evaluated at 7, 14, 21, 30, 60, and 180 postoperative days and thereafter annually. At the end of the treatment, we submitted a satisfaction questionnaire to parents. Results: Eighty-six patients (median age 18 months) were included. The wound healing was significantly faster in G1 compared with G2 (p = 0.001). No adverse skin reactions occurred in either group. Foreskin dehiscence and re-operation rates were lower in G1. Postoperative foreskin retractability was better in G1, with a significantly higher incidence of secondary phimosis in G2. The median treatment costs were significantly lower in G1 compared with G2 (p = 0.001). Group 1 found the spray dressing easy to use, improving patient management and adherence. Conclusions: The new preparation of ozonide-based product adopted promoted faster wound healing compared to conventional dressing. Furthermore, this spray preparation is easy to apply, economical, and simpler to preserve. This is better for parents who do not have to touch the wound to apply the product. Full article
(This article belongs to the Section Pediatric Surgery)
Show Figures

Figure 1

11 pages, 1707 KB  
Communication
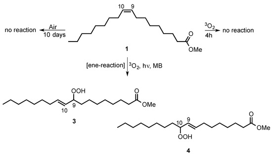
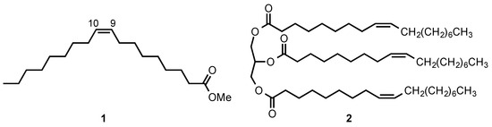
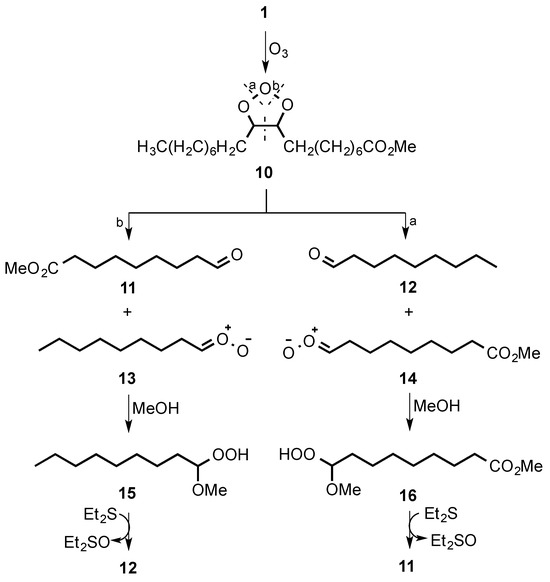
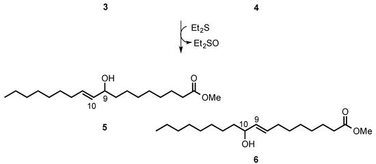
Characterization of Pure Ozonides from Ozonolysis of Oleic Acid Methyl Ester; Use of a Protocol for the Analysis of the Corresponding Stable Ozonides from Triolein and Organic Extra Virgin Olive Oil (+OIL®)
by Serena Vella, Marina DellaGreca, Angela Tuzi and Flavio Cermola
Molecules 2025, 30(3), 507; https://doi.org/10.3390/molecules30030507 - 23 Jan 2025
Cited by 4 | Viewed by 2263
Abstract
As part of the research directed at establishing the composition of the main products present in Ozoile®, a study of the ozonolysis of the oleic acid methyl ester as well as triolein was undertaken. Starting from oleic acid methyl ester, all [...] Read more.
As part of the research directed at establishing the composition of the main products present in Ozoile®, a study of the ozonolysis of the oleic acid methyl ester as well as triolein was undertaken. Starting from oleic acid methyl ester, all six ozonides were isolated for the first time and fully characterized. Then, we used a protocol based on ozonolysis of triolein and +OIL followed by trans-esterification of the crude reaction mixtures, which led to the same six ozonides. Furthermore, to exclude the formation of any other oxygenated compounds, both during the ozonolysis process and afterward, the reactivity towards 3O2 and 1O2 was explored. The ozonolysis of oleic acid methyl ester in a participating solvent (MeOH) was also investigated. Full article
(This article belongs to the Section Organic Chemistry)
Show Figures

Graphical abstract

5 pages, 169 KB  
Opinion
Changes in the Mechanism of the Fenton Reaction
by Mordechai L. Kremer
Reactions 2025, 6(1), 6; https://doi.org/10.3390/reactions6010006 - 8 Jan 2025
Cited by 6 | Viewed by 5893
Abstract
The kinetics of modified versions of the model of the Fenton reaction have been investigated. In these versions, radicals are produced by splitting FeO2+ (dissociation product of Fe2+ ozonide Fe2+O3) into Fe3+ and OH. The [...] Read more.
The kinetics of modified versions of the model of the Fenton reaction have been investigated. In these versions, radicals are produced by splitting FeO2+ (dissociation product of Fe2+ ozonide Fe2+O3) into Fe3+ and OH. The analysis shows that the revised models have the same shortcomings as the corresponding models of Haber and Weiss and of Barb et al. A nonradical model, based on an intact FeO2+ as an intermediate, accounted satisfactorily for the kinetics of the reaction under the same conditions. The amphoteric nature of FeO2+ to form FeOH3+ and HOFeO+ in reactions with H+ and OH, respectively, extends its activity to a wide range of pH values. Full article
21 pages, 3951 KB  
Article
Characterization and Evaluation of Zero-Order Release System Comprising Glycero-(9,10-trioxolane)-trialeate and PLA: Opportunity for Packaging and Biomedicine Applications
by Olga V. Alexeeva, Marina L. Konstantinova, Valentina Siracusa, Vyacheslav V. Podmasterev, Levon Yu. Martirosyan, Olga K. Karyagina, Sergey S. Kozlov, Sergey M. Lomakin, Ilya V. Tretyakov, Tuyara V. Petrova and Alexey L. Iordanskii
Polymers 2024, 16(24), 3554; https://doi.org/10.3390/polym16243554 - 20 Dec 2024
Cited by 3 | Viewed by 1699
Abstract
Glycerol-(9,10-trioxolane) trioleate (OTOA) is a promising material that combines good plasticizing properties for PLA with profound antimicrobial activity, which makes it suitable for application in state-of-the-art biomedical and packaging materials with added functionality. On the other hand, application of OTOA in PLA-based antibacterial [...] Read more.
Glycerol-(9,10-trioxolane) trioleate (OTOA) is a promising material that combines good plasticizing properties for PLA with profound antimicrobial activity, which makes it suitable for application in state-of-the-art biomedical and packaging materials with added functionality. On the other hand, application of OTOA in PLA-based antibacterial materials is hindered by a lack of knowledge on kinetics of the OTOA release. In this work, the release of glycero-(9,10-trioxolane) trioleate (OTOA) from PLA films with 50% OTOA content was studied during incubation in normal saline solution, and for the first time, the kinetics of OTOA release from PLA film was evaluated. Morphological, thermal, structural and mechanical properties of the PLA + 50% OTOA films were studied during incubation in normal saline and corresponding OTOA release using differential scanning calorimetry (DSC), X-ray diffraction (XRD), Fourier-transform infrared (FTIR) spectroscopy and mechanical tests. It was confirmed by DSC and XRD that incubation in the saline solution and corresponding OTOA release from PLA film does not lead to significant changes in the structure of the polymer matrix. Thus, the formation of more disturbed α’ crystalline phase of PLA due to partial hydrolysis of amorphous zones and/or most unstable crystallites in the PLA/OTOA semi-crystalline structure was observed. The degree of crystallinity of PLA + OTOA film was also slightly increased at the prolonged stages of OTOA release. PLA + 50% OTOA film retained its strength properties after incubation in normal saline, with a slight increase in the elastic modulus and tensile strength, accompanied by a significant decrease in relative elongation at break. The obtained results showed that PLA + 50% OTOA film could be characterized by sustained OTOA release with the amount of released OTOA exceeding 50% of the initial content in the PLA film. The OTOA release profile was close to zero-order kinetics, which is beneficial in order to provide stable drug release pattern. Developed PLA + 50% OTOA films showed a strong and stable antibacterial effect against Raoultella terrigena and Escherichia coli, bacterial strains with multidrug resistance behavior. The resulting PLA + OTOA films could be used in a variety of biomedical and packaging applications, including wound dressings and antibacterial food packaging. Full article
Show Figures

Figure 1

25 pages, 9062 KB  
Review
Macrocyclic Organic Peroxides: Constructing Medium and Large Cycles with O-O Bonds
by Yana A. Barsegyan, Vera A. Vil’ and Alexander O. Terent’ev
Chemistry 2024, 6(5), 1246-1270; https://doi.org/10.3390/chemistry6050072 - 15 Oct 2024
Cited by 4 | Viewed by 2742
Abstract
Macrocycles bridge the gap between conventional small molecules and polymers. Drawing inspiration from successful carbon heteroatom-containing macrocycles, peroxide-containing macrocycles are gaining attention for enhanced bioactivity, potential chelating properties, and applications in energetic materials. This review presents the following strategies for the construction of [...] Read more.
Macrocycles bridge the gap between conventional small molecules and polymers. Drawing inspiration from successful carbon heteroatom-containing macrocycles, peroxide-containing macrocycles are gaining attention for enhanced bioactivity, potential chelating properties, and applications in energetic materials. This review presents the following strategies for the construction of cyclic peroxides with 10- to 36-membered frameworks: (1) the intramolecular iodocyclization of hydroperoxides, (2) the intermolecular cyclization of hydroperoxides with alkyl dihalides or carbonyls, (3) the acid-catalyzed rearrangements of ozonides or 11-membered cyclic triperoxides via oxy- or peroxycarbenium ions, and (4) the peroxidation of carbonyls targeting macrocyclic peroxides. The specific agents that allow for the selective construction of the medium and large cycles are also analyzed. Full article
(This article belongs to the Section Molecular Organics)
Show Figures

Figure 1

17 pages, 5740 KB  
Article
Dual-Responsive Alginate/PNIPAM Microspheres Fabricated by Microemulsion-Based Electrospray
by Gianluca Ciarleglio, Monica Placido, Elisa Toto and Maria Gabriella Santonicola
Polymers 2024, 16(19), 2765; https://doi.org/10.3390/polym16192765 - 30 Sep 2024
Cited by 18 | Viewed by 4017
Abstract
Smart materials for drug delivery are designed to offer a precise and controlled release of therapeutic agents. By responding to specific physiological stimuli, such as changes in temperature and pH, these materials improve treatment efficacy and minimize side effects, paving the way for [...] Read more.
Smart materials for drug delivery are designed to offer a precise and controlled release of therapeutic agents. By responding to specific physiological stimuli, such as changes in temperature and pH, these materials improve treatment efficacy and minimize side effects, paving the way for personalized therapeutic solutions. In this study, we present the fabrication of dual-responsive alginate/poly(N-isopropylacrylamide) (PNIPAM) microspheres, having the ability to respond to both pH and temperature variations and embedding the lipophilic bioactive compound Ozoile. Ozoile® Stable Ozonides is obtained from extra virgin olive oil and acts as an inducer, interacting with major biological pathways by means of modulating the systemic redox balance. The dual-responsive microspheres are prepared by electrospray technique without the use of organic solvents. PNIPAM is synthesized by radical polymerization using the APS/TEMED redox initiators. The microspheres are further optimized with a chitosan coating to enhance their stability and modulate the degradation kinetics of the gel matrix. A comprehensive morphological analysis, Fourier transform infrared (FTIR) spectroscopy, and degradation assays are conducted to confirm the structural stability and pH-responsive behavior of the hydrogel microspheres. A study of the volume phase transition temperature (VPTT) by differential scanning calorimetry (DSC) is used to assess the microsphere thermal response. This research introduces a promising methodology for the development of targeted drug delivery systems, which are particularly useful in the context of oxidative stress modulation and inflammation management. Full article
(This article belongs to the Special Issue Smart and Bio-Medical Polymers)
Show Figures

Graphical abstract

14 pages, 1893 KB  
Article
Possible Role of NRF2 in Cell Response to OZOILE (Stable Ozonides) in Children Affected by Lichen Sclerosus of Foreskin
by Caterina Saija, Monica Currò, Salvatore Arena, Maria Paola Bertuccio, Fabiola Cassaro, Angela Simona Montalto, Michele Rosario Colonna, Daniela Caccamo, Carmelo Romeo and Pietro Impellizzeri
Curr. Issues Mol. Biol. 2024, 46(9), 9401-9414; https://doi.org/10.3390/cimb46090557 - 26 Aug 2024
Cited by 7 | Viewed by 2606
Abstract
Lichen sclerosus (LS) is a chronic inflammatory disease of the skin, and the gold standard for treatment is the use of the very potent topical steroids, but they can have side effects. Previously, we demonstrated that OZOILE (stable ozonides) were effective in children [...] Read more.
Lichen sclerosus (LS) is a chronic inflammatory disease of the skin, and the gold standard for treatment is the use of the very potent topical steroids, but they can have side effects. Previously, we demonstrated that OZOILE (stable ozonides) were effective in children affected by LS, reducing the inflammatory process and stimulating tissue regeneration of the foreskin, showing a similar efficacy to steroid treatment. In this study, the modulation of inflammatory and oxidative stress pathways was evaluated by qRT-PCR and Western blotting in foreskins affected by LS removed from patients untreated or treated with OZOILE or corticosteroid cream formulations for 7 days before circumcision. OZOILE induced a significant increase in NRF2 and SOD2 levels, while it did not produce change in MIF, NF-kB subunits, and MMPs in comparison to untreated foreskins. Conversely, steroid topical treatment produced a significant reduction in the expression of p65, MIF, and MMP9, but it did not cause variation in NRF2 and SOD2 levels. These results demonstrate that the use of OZOILE as cream formulation exhibits effects on NRF2 signaling, and it does not induce NF-κB activation, unlike corticosteroids. On the basis of our biochemical data, further studies evaluating the role of NRF2 signaling cascade are necessary. Full article
(This article belongs to the Special Issue The Role of Bioactives in Inflammation)
Show Figures

Figure 1

15 pages, 3731 KB  
Article
Infrared Matrix-Isolation and Theoretical Studies of the Reactions of Bis(benzene)chromium with Ozone
by Roger W. Kugel and Bruce S. Ault
Molecules 2024, 29(15), 3583; https://doi.org/10.3390/molecules29153583 - 29 Jul 2024
Viewed by 2096
Abstract
Reactions of bis(benzene)chromium (Bz2Cr) and ozone (O3) were studied using low-temperature argon matrix-isolation infrared spectroscopy with supporting DFT calculations. When Bz2Cr and O3 were co-deposited, they reacted upon matrix deposition to produce two new prominent peaks [...] Read more.
Reactions of bis(benzene)chromium (Bz2Cr) and ozone (O3) were studied using low-temperature argon matrix-isolation infrared spectroscopy with supporting DFT calculations. When Bz2Cr and O3 were co-deposited, they reacted upon matrix deposition to produce two new prominent peaks in the infrared spectrum at 431 cm1 and 792 cm1. These peaks increased upon annealing the matrix to 35 K and decreased upon UV irradiation at λ = 254 nm. The oxygen-18 and mixed oxygen-16,18 isotopic shift pattern of the peak at 792 cm1 is consistent with the antisymmetric stretch of a symmetric ozonide species. DFT calculations of many possible ozonide products of this reaction were made. The formation of a hydrogen ozonide (H2O3) best fits the original peaks and the oxygen-18 isotope shift pattern. Energy considerations lead to the conclusion that the chromium-containing product of this reaction is the coupled product benzene-chromium-biphenyl-chromium-benzene (BzCrBPCrBz). 2Bz2Cr+O3H2O3+BzCrBPCrBz, Ecalc=52.13kcal/mol. Full article
Show Figures

Figure 1

9 pages, 2458 KB  
Article
Stable Ozonides plus Vitamin E Acetate (Ozoile) for Treatment of Genitourinary Syndrome
by Carlo Ronsini, Irene Iavarone, Natalino Lacerenza, Giada Andreoli, Maria Giovanna Vastarella, Pasquale De Franciscis, Mario Passaro, Raffaella De Simone, Domenico Giraldi, Rosalia Lizza and Giampaolo Mainini
Medicina 2024, 60(6), 880; https://doi.org/10.3390/medicina60060880 - 27 May 2024
Cited by 2 | Viewed by 2576
Abstract
Background and Objectives: Genitourinary syndrome, previously defined as vulvovaginal atrophy, manifests with signs and symptoms deriving from estrogen diminution in the female genitourinary tract. Stable ozonides are derivatives of artemisinin found to be stable against strong basic and acidic conditions. Vitamin E [...] Read more.
Background and Objectives: Genitourinary syndrome, previously defined as vulvovaginal atrophy, manifests with signs and symptoms deriving from estrogen diminution in the female genitourinary tract. Stable ozonides are derivatives of artemisinin found to be stable against strong basic and acidic conditions. Vitamin E is an important antioxidant diminishing the output of reactive oxygen species in the oxidation of fats and the emanation of free radicals, reducing cellular injury and aging. The primary aim of the present study was to assess the positive effects of an ozonide plus a vitamin E acetate-based compound (Ozoile) on genitourinary syndrome symptom relief after a maximum of 20 days of treatment. Materials and Methods: The inclusion criteria for patients’ enrollment were women of child-bearing age or in menopause reporting genitourinary syndrome’s related symptoms, such as pain, burning, a bad smell, dyspareunia, dryness, itching, bleeding, and nervousness. The exclusion criteria were Sjogren’s syndrome and patients administered retinoic acid, an agent that causes mucosal dryness. Participants completed a questionnaire before and after 20 days of treatment. Results: The incidence of pain decreased from 16.7% to 11.8% (p-value < 0.0001). In addition, the mean symptom intensity decreased from 2.10 to 0.87 (p-value < 0.0001). Dryness was the most frequent pre-treatment symptom and decreased from 85.5% to 53.8% (p-value < 0.0001) (mean: 2.21 vs. 0.90; p-value < 0.0001). Conclusions: Ozoile was effective in reducing most gynecologic symptoms related to genitourinary syndrome. However, further studies are needed to compare its effect with other standards of care. Full article
Show Figures

Figure 1

16 pages, 2964 KB  
Article
Physico-Chemical Investigation and Antimicrobial Efficacy of Ozonated Oils: The Case Study of Commercial Ozonated Olive and Sunflower Seed Refined Oils
by Silvia Puxeddu, Alessandra Scano, Mariano Andrea Scorciapino, Ilenia Delogu, Sarah Vascellari, Guido Ennas, Aldo Manzin and Fabrizio Angius
Molecules 2024, 29(3), 679; https://doi.org/10.3390/molecules29030679 - 1 Feb 2024
Cited by 22 | Viewed by 6108
Abstract
Drug resistance represents one of the great plagues of our time worldwide. This largely limits the treatment of common infections and requires the development of new antibiotics or other alternative approaches. Noteworthy, the indiscriminate use of antibiotics is mostly responsible for the selection [...] Read more.
Drug resistance represents one of the great plagues of our time worldwide. This largely limits the treatment of common infections and requires the development of new antibiotics or other alternative approaches. Noteworthy, the indiscriminate use of antibiotics is mostly responsible for the selection of mutations that confer drug resistance to microbes. In this regard, recently, ozone has been raising interest for its unique biological properties when dissolved in natural oils. Ozonated oils have been reported to act in a non-specific way on microorganisms hindering the acquisition of advantageous mutations that result in resistance. Here, we focused on the antimicrobial effect of two commercial olive (OOO) and sunflower seeds (OSO) oils. Nuclear magnetic resonance spectroscopy and thermal analysis showed the change in the chemical composition of the oils after ozonation treatment. Different ozonated oil concentrations were then used to evaluate their antimicrobial profile against Candida albicans, Enterococcus faecalis, Staphylococcus aureus, Klebsiella pneumoniae, Pseudomonas aeruginosa, and Escherichia coli by agar diffusion and broth dilution methods. Cytotoxicity was also evaluated in keratinocytes and epithelial cells. Overall, our results revealed that both OOO and OSO showed a potent microbicidal effect, especially against C. albicans (IC50 = OOO: 0.3 mg/mL and OSO: 0.2 mg/mL) and E. faecalis (IC50 = OOO: 0.4 mg/mL and OSO: 2.8 mg/mL) albeit exerting a certain effect also against S. aureus and E. coli. Moreover, both OOO and OSO do not yield any relevant cytotoxic effect at the active concentrations in both cell lines. This indicates that the ozonated oils studied are not toxic for mammalian cells despite exerting a potent antimicrobial effect on specific microorganisms. Therefore, OOO and OSO may be considered to integrate standard therapies in the treatment of common infections, likely overcoming drug resistance issues. Full article
(This article belongs to the Special Issue Advances of Oleochemistry and Its Application)
Show Figures

Graphical abstract

16 pages, 4132 KB  
Article
Fabrication of Alginate/Ozoile Gel Microspheres by Electrospray Process
by Gianluca Ciarleglio, Tiziana Russo, Elisa Toto and Maria Gabriella Santonicola
Gels 2024, 10(1), 52; https://doi.org/10.3390/gels10010052 - 11 Jan 2024
Cited by 24 | Viewed by 4715
Abstract
Natural polymers, such as alginate and chitosan, are widely exploited for drug delivery applications due to their biocompatibility, low toxicity, and sustainable sourcing. In this study, pH-responsive gel microspheres were fabricated from an alginate/Ozoile emulsion. Ozoile (Stable Ozonides) is a biological inducer, derived [...] Read more.
Natural polymers, such as alginate and chitosan, are widely exploited for drug delivery applications due to their biocompatibility, low toxicity, and sustainable sourcing. In this study, pH-responsive gel microspheres were fabricated from an alginate/Ozoile emulsion. Ozoile (Stable Ozonides) is a biological inducer, derived from olive oil, which stimulates the endogenous defense system by promoting the repair of tissue damage and restoration of proper physiology through the regulation of gene transcription. Here, the versatile and cost-effective electrospray technique without the use of organic solvents was used to fabricate alginate/Ozoile microspheres with high throughput. The process parameters (voltage, flow rate, and needle gauge) were optimized to obtain microspheres with good sphericity factor and tailored diameter (250–700 μm). The microspheres were additionally optimized through a chitosan coating to enhance their stability and regulate the gel matrix’s degradation process. Morphological analysis, FTIR spectroscopy, and degradation tests confirmed the structural integrity and pH-responsive behavior of the gel microspheres. This research offers a promising route for targeted drug delivery systems, particularly in applications related to the modulation of oxidative stress and management of inflammation. Full article
(This article belongs to the Special Issue Physically Cross-Linked Gels and Their Applications)
Show Figures

Graphical abstract

22 pages, 4520 KB  
Article
A Novel Approach for Glycero-(9,10-trioxolane)-Trialeate Incorporation into Poly(lactic acid)/Poly(ɛ-caprolactone) Blends for Biomedicine and Packaging
by Olga V. Alexeeva, Anatoliy A. Olkhov, Marina L. Konstantinova, Vyacheslav V. Podmasterev, Tuyara V. Petrova, Levon Yu. Martirosyan, Olga K. Karyagina, Sergey S. Kozlov, Sergey M. Lomakin, Ilya V. Tretyakov, Valentina Siracusa and Alexey L. Iordanskii
Polymers 2024, 16(1), 128; https://doi.org/10.3390/polym16010128 - 30 Dec 2023
Cited by 6 | Viewed by 2200
Abstract
The product of ozonolysis, glycero-(9,10-trioxolane)-trioleate (ozonide of oleic acid triglyceride, [OTOA]), was incorporated into polylactic acid/polycaprolactone (PLA/PCL) blend films in the amount of 1, 5, 10, 20, 30 and 40% w/w. The morphological, mechanical, thermal and antibacterial properties of the [...] Read more.
The product of ozonolysis, glycero-(9,10-trioxolane)-trioleate (ozonide of oleic acid triglyceride, [OTOA]), was incorporated into polylactic acid/polycaprolactone (PLA/PCL) blend films in the amount of 1, 5, 10, 20, 30 and 40% w/w. The morphological, mechanical, thermal and antibacterial properties of the biodegradable PLA/PCL films after the OTOA addition were studied. According to DSC and XRD data, the degree of crystallinity of the PLA/PCL + OTOA films showed a general decreasing trend with an increase in OTOA content. Thus, a significant decrease from 34.0% for the reference PLA/PCL film to 15.7% for the PLA/PCL + 40% OTOA film was established using DSC. Observed results could be explained by the plasticizing effect of OTOA. On the other hand, the PLA/PCL film with 20% OTOA does not follow this trend, showing an increase in crystallinity both via DSC (20.3%) and XRD (34.6%). OTOA molecules, acting as a plasticizer, reduce the entropic barrier for nuclei formation, leading to large number of PLA spherulites in the plasticized PLA/PCL matrix. In addition, OTOA molecules could decrease the local melt viscosity at the vicinity of the growing lamellae, leading to faster crystal growth. Morphological analysis showed that the structure of the films with an OTOA concentration above 20% drastically changed. Specifically, an interface between the PLA/PCL matrix and OTOA was formed, thereby forming a capsule with the embedded antibacterial agent. The moisture permeability of the resulting PLA/PCL + OTOA films decreased due to the formation of uniformly distributed hydrophobic amorphous zones that prevented water penetration. This architecture affects the tensile characteristics of the films: strength decreases to 5.6 MPa, elastic modulus E by 40%. The behavior of film elasticity is associated with the redistribution of amorphous regions in the matrix. Additionally, PLA/PCL + OTOA films with 20, 30 and 40% of OTOA showed good antibacterial properties on Pseudomonas aeruginosa, Raoultella terrigena (Klebsiella terrigena) and Agrobacterium tumefaciens, making the developed films potentially promising materials for wound-dressing applications. Full article
(This article belongs to the Topic Polymers from Renewable Resources, 2nd Volume)
Show Figures

Figure 1

15 pages, 989 KB  
Article
Bridged 1,2,4-Trioxolanes: SnCl4—Catalyzed Synthesis and an In Vitro Study against S. mansoni
by Peter S. Radulov, Ivan A. Yaremenko, Jennifer Keiser and Alexander O. Terent’ev
Molecules 2023, 28(13), 4913; https://doi.org/10.3390/molecules28134913 - 22 Jun 2023
Cited by 8 | Viewed by 2266
Abstract
A synthesis of bridged 1,2,4-trioxolanes (bridged ozonides) from 1,5-diketones and hydrogen peroxide catalyzed by SnCl4 was developed. It was shown that the ratio of target ozonides can be affected by the application of SnCl4 as a catalyst and varying the solvent. [...] Read more.
A synthesis of bridged 1,2,4-trioxolanes (bridged ozonides) from 1,5-diketones and hydrogen peroxide catalyzed by SnCl4 was developed. It was shown that the ratio of target ozonides can be affected by the application of SnCl4 as a catalyst and varying the solvent. A wide range of bridged 1,2,4-trioxolanes (ozonides) was obtained in yields from 50 to 84%. The ozonide cycle was moderately resistant to the reduction of the ester group near the peroxide cycle to alcohol with LiAlH4. The bridged ozonides were evaluated for their antischistosomal activity. These ozonides exhibited a very high activity against newly transformed schistosomula and adult Schistosoma mansoni. Full article
(This article belongs to the Special Issue Recent Advances in Organic Synthesis Related to Natural Compounds)
Show Figures

Graphical abstract

19 pages, 6015 KB  
Article
Nitrate and/or Nitric Acid Formation in the Presence of Different Radical Scavengers during Ozonation of Water Samples; Are Scavengers Effective?
by Ulker D. Keris-Sen and Taner Yonar
Water 2023, 15(10), 1840; https://doi.org/10.3390/w15101840 - 11 May 2023
Cited by 7 | Viewed by 4913
Abstract
In this study, we investigated the effect of different radical scavengers on the nitrate and/or nitric acid (NO3 and/or HNO3) formation chain in liquid while the dielectric barrier discharge plasma system (DBD) was used for ozone (O3) [...] Read more.
In this study, we investigated the effect of different radical scavengers on the nitrate and/or nitric acid (NO3 and/or HNO3) formation chain in liquid while the dielectric barrier discharge plasma system (DBD) was used for ozone (O3) generation. The effects of the excess concentration of each scavenger were studied individually. In addition, ultrapure water (UPW), tap water, and surface water samples were examined in the same condition. Due to the absence of scavengers in the UPW, we expected the highest NO3 formation in this experiment because all active species produced by the DBD system should have formed NO3. However, the obtained results were unexpected; the highest NO3 formation was obtained in the tap water at 385 ± 4.6 mg/L. The results can be explained by some compounds in tap water acting as a trap for radicals involved in chain reactions that form NO3 and/or HNO3. The second highest result was obtained in the sodium hydroxide solution as 371 ± 4.9 mg/L, since the OH ions accelerated the decomposition of O3 to its intermediates such as hydroperoxide (HO2), ozonide (O3), and hydroxyl radical (OH), and, by increasing radicals in the liquid, more chain reactions can be promoted that lead to the formation of NO3 and/or HNO3. On the other hand, the quenching of radicals by scavengers such as carbonate ion and phosphoric acid and/or the long-term stabilization of O3 as O3 negatively affected the chain reactions that generate NO3 and/or HNO3. Full article
Show Figures

Figure 1

Back to TopTop