Advances in Flame Retardant Technologies for Epoxy Resins: Chemical Grafting onto Carbon Fiber Techniques, Reactive Agents, and Applications in Composite Materials
Abstract
1. Introduction
2. Chemical Grafting onto Carbon Fiber Techniques
2.1. HCCP Grafting onto CF Composites
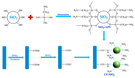
2.2. Silicon Grafting onto CF Composites
3. Reactive Flame Retardant Agents
4. Combined Approaches for Sustainability, Fire Safety, and Recyclability
5. Applications in Composite Materials
6. Conclusions
7. Challenges and Future Prospects
Author Contributions
Funding
Institutional Review Board Statement
Informed Consent Statement
Data Availability Statement
Conflicts of Interest
Abbreviations
| EP | Epoxy |
| EPs | Epoxy resins |
| CF | Carbon fiber |
| CFs | Carbon fibers |
| THF | Tetrahydrofuran |
| HCCP | Hexachlorocyclotriphosphazene |
| TEA | Triethylamine |
| DDE | 4,4′-diaminodiphenyl ether |
| IFSS | Interfacial shear strength |
| DMF | Dimethylformamide |
| XPS | X-ray photoelectron spectroscopy |
| SEM | Scanning electron microscopy |
| DMSO | Dimethyl sulfoxide |
| ILSS | Interlaminar shear strength |
| CFO | Oxidized carbon fibers |
| ODA | 4,4′-oxydianiline |
| CF/EP | Carbon fiber/epoxy |
| BPS | Bis(4-hydroxyphenyl) sulfone |
| SN | Nucleophilic substitution |
| NPs | Nanoparticles |
| EDA | Ethanediamine |
| EHEP | Hexa[(4-(2,3-epoxypropyl)-2-methoxy) phenoxy]cyclotriphosphazene |
| APS | 3-aminopropyltriethoxysilane |
| FTIR | Fourier transform infrared spectroscopy |
| PHRR | Peak heat release rate |
| THR | Total heat release |
| BMI | Bismaleimide |
| TSP | Total smoke production |
| GO | Graphene oxide |
References
- Hsissou, R.; Seghiri, R.; Benzekri, Z.; Hilali, M.; Rafik, M.; Elharfi, A. Polymer Composite Materials: A Comprehensive Review. Compos. Struct. 2021, 262, 113640. [Google Scholar] [CrossRef]
- David Müzel, S.; Bonhin, E.P.; Guimarães, N.M.; Guidi, E.S. Application of the Finite Element Method in the Analysis of Composite Materials: A Review. Polymers 2020, 12, 818. [Google Scholar] [CrossRef]
- Elfaleh, I.; Abbassi, F.; Habibi, M.; Ahmad, F.; Guedri, M.; Nasri, M.; Garnier, C. A Comprehensive Review of Natural Fibers and Their Composites: An Eco-Friendly Alternative to Conventional Materials. Results Eng. 2023, 19, 101271. [Google Scholar] [CrossRef]
- Szeluga, U.; Kumanek, B.; Trzebicka, B. Synergy in Hybrid Polymer/Nanocarbon Composites. A Review. Compos. Appl. Sci. Manuf. 2015, 73, 204–231. [Google Scholar] [CrossRef]
- Rajak, D.K.; Pagar, D.D.; Menezes, P.L.; Linul, E. Fiber-Reinforced Polymer Composites: Manufacturing, Properties, and Applications. Polymers 2019, 11, 1667. [Google Scholar] [CrossRef]
- Rajak, D.K.; Pagar, D.D.; Kumar, R.; Pruncu, C.I. Recent Progress of Reinforcement Materials: A Comprehensive Overview of Composite Materials. J. Mater. Res. Technol. 2019, 8, 6354–6374. [Google Scholar] [CrossRef]
- Kamarudin, S.H.; Mohd Basri, M.S.; Rayung, M.; Abu, F.; Ahmad, S.; Norizan, M.N.; Osman, S.; Sarifuddin, N.; Desa, M.S.Z.M.; Abdullah, U.H.; et al. A Review on Natural Fiber Reinforced Polymer Composites (NFRPC) for Sustainable Industrial Applications. Polymers 2022, 14, 3698. [Google Scholar] [CrossRef] [PubMed]
- Bhong, M.; Khan, T.K.H.; Devade, K.; Vijay Krishna, B.; Sura, S.; Eftikhaar, H.K.; Pal Thethi, H.; Gupta, N. Review of Composite Materials and Applications. Mater. Today Proc. 2023; in press. [Google Scholar] [CrossRef]
- Singh, P.; Raghavender, V.; Joshi, S.; Pooja Vasant, N.; Awasthi, A.; Nagpal, A.; jasim Abd al-saheb, A. Composite Material: A Review over Current Development and Automotive Application. Mater. Today Proc. 2023; in press. [Google Scholar] [CrossRef]
- Das, T.K.; Ghosh, P.; Das, N.C. Preparation, Development, Outcomes, and Application Versatility of Carbon Fiber-Based Polymer Composites: A Review. Adv. Compos. Hybrid. Mater. 2019, 2, 214–233. [Google Scholar] [CrossRef]
- Kangishwar, S.; Radhika, N.; Sheik, A.A.; Chavali, A.; Hariharan, S. A Comprehensive Review on Polymer Matrix Composites: Material Selection, Fabrication, and Application. Polym. Bull. 2023, 80, 47–87. [Google Scholar] [CrossRef]
- Altin Karataş, M.; Gökkaya, H. A Review on Machinability of Carbon Fiber Reinforced Polymer (CFRP) and Glass Fiber Reinforced Polymer (GFRP) Composite Materials. Def. Technol. 2018, 14, 318–326. [Google Scholar] [CrossRef]
- Liu, L.; Jia, C.; He, J.; Zhao, F.; Fan, D.; Xing, L.; Wang, M.; Wang, F.; Jiang, Z.; Huang, Y. Interfacial Characterization, Control and Modification of Carbon Fiber Reinforced Polymer Composites. Compos. Sci. Technol. 2015, 121, 56–72. [Google Scholar] [CrossRef]
- Soulis, S.; Konstantopoulos, G.; Koumoulos, E.P.; Charitidis, C.A. Impact of Alternative Stabilization Strategies for the Production of PAN-Based Carbon Fibers with High Performance. Fibers 2020, 8, 33. [Google Scholar] [CrossRef]
- Frank, E.; Steudle, L.M.; Ingildeev, D.; Spörl, J.M.; Buchmeiser, M.R. Carbon Fibers: Precursor Systems, Processing, Structure, and Properties. Angew. Chem. Int. Ed. 2014, 53, 5262–5298. [Google Scholar] [CrossRef]
- Jang, D.; Lee, M.E.; Choi, J.; Cho, S.Y.; Lee, S. Strategies for the Production of PAN-Based Carbon Fibers with High Tensile Strength. Carbon 2022, 186, 644–677. [Google Scholar] [CrossRef]
- Sun, S.-C.; Xu, Y.; Wen, J.-L.; Yuan, T.-Q.; Sun, R.-C. Recent Advances in Lignin-Based Carbon Fibers (LCFs): Precursors, Fabrications, Properties, and Applications. Green Chem. 2022, 24, 5709–5738. [Google Scholar] [CrossRef]
- Yao, S.; Wang, J.; Chen, C.; Wu, M.; Wang, H.; Xiong, S.; Wang, L. Biomimetic and Flexible High-Performance Carbon Paper Prepared by Welding Three-Dimensional Carbon Fiber Network with Polyphenylene Sulfide Spherical Sites for Fuel Cell Gas Diffusion Layer. Compos. Sci. Technol. 2023, 239, 110065. [Google Scholar] [CrossRef]
- Forintos, N.; Czigany, T. Multifunctional Application of Carbon Fiber Reinforced Polymer Composites: Electrical Properties of the Reinforcing Carbon Fibers—A Short Review. Compos. Eng. 2019, 162, 331–343. [Google Scholar] [CrossRef]
- Varun Kumar, T.; Manoj Mohan Prasad, V.; Santhosh, D.; Prasanth, C.; Ranjith, K. Evaluation of Mechanical and Interfacial Properties of Carbon Fiber Reinforced Polymer (CFRP) Composite Materials. Mater. Today Proc. 2020, 21, 477–482. [Google Scholar] [CrossRef]
- Zakaria, M.R.; Md Akil, H.; Abdul Kudus, M.H.; Ullah, F.; Javed, F.; Nosbi, N. Hybrid Carbon Fiber-Carbon Nanotubes Reinforced Polymer Composites: A Review. Compos. Eng. 2019, 176, 107313. [Google Scholar] [CrossRef]
- Vieira, D.R.; Vieira, R.K.; Chang Chain, M. Strategy and Management for the Recycling of Carbon Fiber-Reinforced Polymers (CFRPs) in the Aircraft Industry: A Critical Review. Int. J. Sustain. Dev. World Ecol. 2017, 24, 214–223. [Google Scholar] [CrossRef]
- Hassan, M.F.; Sabri, M.A.; Fazal, H.; Hafeez, A.; Shezad, N.; Hussain, M. Recent Trends in Activated Carbon Fibers Production from Various Precursors and Applications—A Comparative Review. J. Anal. Appl. Pyrolysis 2020, 145, 104715. [Google Scholar] [CrossRef]
- Sobri, S.A.; Heinemann, R.; Whitehead, D. Carbon Fibre Reinforced Polymer (CFRP) Composites: Machining Aspects and Opportunities for Manufacturing Industries. In Composite Materials: Applications in Engineering, Biomedicine and Food Science; Siddiquee, S., Hong, M.G.J., Rahman, M.M., Eds.; Springer International Publishing: Cham, Switzerland, 2020; pp. 35–65. ISBN 978-3-030-45489-0. [Google Scholar]
- Perumal, A.B.; Nambiar, R.B.; Sellamuthu, P.S.; Sadiku, E.R. Carbon Fiber Composites. In Handbook of Nanomaterials and Nanocomposites for Energy and Environmental Applications; Kharissova, O.V., Martínez, L.M.T., Kharisov, B.I., Eds.; Springer International Publishing: Cham, Switzerland, 2020; pp. 1–32. ISBN 978-3-030-11155-7. [Google Scholar]
- Ali, Z.; Gao, Y.; Tang, B.; Wu, X.; Wang, Y.; Li, M.; Hou, X.; Li, L.; Jiang, N.; Yu, J. Preparation, Properties and Mechanisms of Carbon Fiber/Polymer Composites for Thermal Management Applications. Polymers 2021, 13, 169. [Google Scholar] [CrossRef] [PubMed]
- Ahmad, M.; Nawaz, T.; Hussain, I.; Chen, X.; Imran, M.; Hussain, R.; Assiri, M.A.; Ali, S.; Wu, Z. Phosphazene Cyclomatrix Network-Based Polymer: Chemistry, Synthesis, and Applications. ACS Omega 2022, 7, 28694–28707. [Google Scholar] [CrossRef] [PubMed]
- Uslu, A.; Tümay, S.O.; Yeşilot, S. Fluorescent Materials Based on Phosphazene Derivatives and Their Applications: Sensors and Optoelectronic Devices. J. Photochem. Photobiol. C Photochem. Rev. 2022, 53, 100553. [Google Scholar] [CrossRef]
- Krishnadevi, K.; Selvaraj, V. Development of Halogen-Free Flame Retardant Phosphazene and Rice Husk Ash Incorporated Benzoxazine Blended Epoxy Composites for Microelectronic Applications. New J. Chem. 2015, 39, 6555–6567. [Google Scholar] [CrossRef]
- Sun, J.; Wang, X.; Wu, D. Novel Spirocyclic Phosphazene-Based Epoxy Resin for Halogen-Free Fire Resistance: Synthesis, Curing Behaviors, and Flammability Characteristics. ACS Appl. Mater. Interfaces 2012, 4, 4047–4061. [Google Scholar] [CrossRef] [PubMed]
- Bai, Y.; Wang, X.; Wu, D. Novel Cyclolinear Cyclotriphosphazene-Linked Epoxy Resin for Halogen-Free Fire Resistance: Synthesis, Characterization, and Flammability Characteristics. Ind. Eng. Chem. Res. 2012, 51, 15064–15074. [Google Scholar] [CrossRef]
- Casella, G.; Carlotto, S.; Lanero, F.; Mozzon, M.; Sgarbossa, P.; Bertani, R. Cyclo- and Polyphosphazenes for Biomedical Applications. Molecules 2022, 27, 8117. [Google Scholar] [CrossRef] [PubMed]
- Amin, A.M.; Wang, L.; Wang, J.; Yu, H.; Huo, J.; Gao, J.; Xiao, A. Recent Research Progress in the Synthesis of Polyphosphazene and Their Applications. Des. Monomers Polym. 2009, 12, 357–375. [Google Scholar] [CrossRef]
- Usri, S.N.K.; Jamain, Z.; Makmud, M.Z.H. A Review on Synthesis, Structural, Flame Retardancy and Dielectric Properties of Hexasubstituted Cyclotriphosphazene. Polymers 2021, 13, 2916. [Google Scholar] [CrossRef]
- Wei, X.; Zhang, G.; Zhou, L.; Li, J. Synthesis and Characterization of Hydrophobic Amino-Based Polyphosphazene Microspheres with Different Morphologies via Two Strategies. Appl. Surf. Sci. 2017, 419, 744–752. [Google Scholar] [CrossRef]
- Zhou, X.; Qiu, S.; Mu, X.; Zhou, M.; Cai, W.; Song, L.; Xing, W.; Hu, Y. Polyphosphazenes-Based Flame Retardants: A Review. Compos. Eng. 2020, 202, 108397. [Google Scholar] [CrossRef]
- Dagdag, O.; Kim, H. Progress in the Field of Cyclophosphazenes: Preparation, Properties, and Applications. Polymers 2024, 16, 122. [Google Scholar] [CrossRef]
- Qu, L.; Sui, Y.; Zhang, C.; Li, P.; Dai, X.; Xu, B. Compatible Cyclophosphazene-Functionalized Graphene Hybrids to Improve Flame Retardancy for Epoxy Nanocomposites. React. Funct. Polym. 2020, 155, 104697. [Google Scholar] [CrossRef]
- Xu, H.; Zhang, X.; Liu, D.; Chun, Y.; Fan, X. A High Efficient Method for Introducing Reactive Amines onto Carbon Fiber Surfaces Using Hexachlorocyclophosphazene as a New Coupling Agent. Appl. Surf. Sci. 2014, 320, 43–51. [Google Scholar] [CrossRef]
- Güven Kuzey, N.; Cemaloğlu, R.; Yakut, M.; Asmafiliz, N.; Kılıç, Z.; Aydın, B.; Açık, L.; Hökelek, T. Phosphorus–Nitrogen Compounds Part 55. Syntheses of 4-Methoxybenzylspiro(N/N)Cyclotriphosphazenes: Chemical, Structural and Biological Properties. Res. Chem. Intermed. 2021, 47, 3933–3962. [Google Scholar] [CrossRef]
- Dagdag, O.; Bachiri, A.E.; Hamed, O.; Haldhar, R.; Verma, C.; Ebenso, E.; Gouri, M.E. Dendrimeric Epoxy Resins Based on Hexachlorocyclotriphosphazene as a Reactive Flame Retardant Polymeric Materials: A Review. J. Inorg. Organomet. Polym. 2021, 31, 3240–3261. [Google Scholar] [CrossRef]
- Zhang, X.; Xu, H.; Fan, X. Grafting of Amine-Capped Cross-Linked Polyphosphazenes onto Carbon Fiber Surfaces: A Novel Coupling Agent for Fiber Reinforced Composites. RSC Adv. 2014, 4, 12198–12205. [Google Scholar] [CrossRef]
- Luo, Y.; Cheng, X.; Zhang, X.; Lei, C. Fabrication of a Three-Dimensional Reinforcement via Grafting Epoxy Functionalized Graphene Oxide onto Carbon Fibers. Mater. Lett. 2017, 209, 463–466. [Google Scholar] [CrossRef]
- Li, N.; Zong, L.; Wu, Z.; Liu, C.; Wang, X.; Bao, F.; Wang, J.; Jian, X. Amino-Terminated Nitrogen-Rich Layer to Improve the Interlaminar Shear Strength between Carbon Fiber and a Thermoplastic Matrix. Compos. Appl. Sci. Manuf. 2017, 101, 490–499. [Google Scholar] [CrossRef]
- He, Z.J.; Liu, J.H.; Liu, S.H.; Zhang, X.Q.; Lei, C.H. A Facile Approach for Grafting Bi-Functional Groups Terminated Branched Polyphosphazene on Carbon Fibers. Express Polym. Lett. 2020, 14, 962–969. [Google Scholar] [CrossRef]
- Zheng, Y.; Chen, L.; Wang, X.; Wu, G. Modification of Renewable Cardanol onto Carbon Fiber for the Improved Interfacial Properties of Advanced Polymer Composites. Polymers 2020, 12, 45. [Google Scholar] [CrossRef] [PubMed]
- Liu, T.; Peng, J.; Liu, J.; Hao, X.; Guo, C.; Ou, R.; Liu, Z.; Wang, Q. Fully Recyclable, Flame-Retardant and High-Performance Carbon Fiber Composites Based on Vanillin-Terminated Cyclophosphazene Polyimine Thermosets. Compos. Eng. 2021, 224, 109188. [Google Scholar] [CrossRef]
- Zamani, P.; Zabihi, O.; Ahmadi, M.; Mahmoodi, R.; Naebe, M. The Quest for Sustainable Composites: Developing High-Performance, Flame-Retardant, and Recyclable Carbon Fiber-Reinforced Epoxy Vitrimer Composites. ACS Appl. Polym. Mater. 2024, 6, 3611–3623. [Google Scholar] [CrossRef]
- Xu, H.; Zhang, X.; Liu, D.; Yan, C.; Chen, X.; Hui, D.; Zhu, Y. Cyclomatrix-Type Polyphosphazene Coating: Improving Interfacial Property of Carbon Fiber/Epoxy Composites and Preserving Fiber Tensile Strength. Compos. Eng. 2016, 93, 244–251. [Google Scholar] [CrossRef]
- Chen, X.; Xu, H.; Liu, D.; Yan, C.; Zhu, Y. A Facile One-Pot Fabrication of Polyphosphazene Microsphere/Carbon Fiber Hybrid Reinforcement and Its Effect on the Interfacial Adhesion of Epoxy Composites. Appl. Surf. Sci. 2017, 410, 530–539. [Google Scholar] [CrossRef]
- Chen, X.; Xu, H.; Liu, D.; Yan, C.; Zhu, Y. A Novel and Facile Fabrication of Polyphosphazene Nanotube/Carbon Fiber Multi-Scale Hybrid Reinforcement and Its Enhancing Effect on the Interfacial Properties of Epoxy Composites. Compos. Sci. Technol. 2019, 169, 34–44. [Google Scholar] [CrossRef]
- Chen, X.; Xu, H.; Zhu, Y.; Yan, C.; Liu, D.; Zhang, Y. Polyphosphazene Nanotubes/Carbon Fibers Hierarchical Hybrid Reinforcement for Improving Interfacial Adhesion of Polyamide 6 Composites. Iran. Polym. J. 2023, 32, 1033–1044. [Google Scholar] [CrossRef]
- Chen, X.; Xu, H.; Liu, D.; Yan, C.; Yao, Y.; Zhu, Y. Effect of Hybrid Polysphosphazene Coating Treatment on Carbon Fibers on the Interfacial Properties of CF/PA6 Composites. J. Appl. Polym. Sci. 2020, 137, 49577. [Google Scholar] [CrossRef]
- Zhang, X.Q.; Hu, G.L.; Cen, L.; Lei, C.H. Enhancing Interfacial Properties of Carbon Fiber/Polyamide 6 Composites by in-Situ Growing Polyphosphazene Nanotubes. Express Polym. Lett. 2021, 15, 878–886. [Google Scholar] [CrossRef]
- Xu, H.; Zhu, Y.; Guo, Y.; Yan, C.; Liu, D.; Chen, G.; Lv, D. Bio-Inspired Structural Coloration of Carbon Fiber Based on Thin Film Interference: Synergistically Enhancing Thermal Durability, Tensile Strength and Interface Properties of Colored Fiber. React. Funct. Polym. 2024, 194, 105789. [Google Scholar] [CrossRef]
- Wu, G.; Chen, L.; Liu, L. Effects of Silanization and Silica Enrichment of Carbon Fibers on Interfacial Properties of Methylphenylsilicone Resin Composites. Compos. Appl. Sci. Manuf. 2017, 98, 159–165. [Google Scholar] [CrossRef]
- Wei, W.; Lu, R.; Xie, H.; Zhang, Y.; Bai, X.; Gu, L.; Da, R.; Liu, X. Selective Adsorption and Separation of Dyes from an Aqueous Solution on Organic–Inorganic Hybrid Cyclomatrix Polyphosphazene Submicro-Spheres. J. Mater. Chem. 2015, 3, 4314–4322. [Google Scholar] [CrossRef]
- Ma, L.; Meng, L.; Wu, G.; Wang, Y.; Zhao, M.; Zhang, C.; Huang, Y. Effects of Bonding Types of Carbon Fibers with Branched Polyethyleneimine on the Interfacial Microstructure and Mechanical Properties of Carbon Fiber/Epoxy Resin Composites. Compos. Sci. Technol. 2015, 117, 289–297. [Google Scholar] [CrossRef]
- Ma, L.; Zhu, Y.; Wang, M.; Yang, X.; Song, G.; Huang, Y. Enhancing Interfacial Strength of Epoxy Resin Composites via Evolving Hyperbranched Amino-Terminated POSS on Carbon Fiber Surface. Compos. Sci. Technol. 2019, 170, 148–156. [Google Scholar] [CrossRef]
- Wu, G.; Ma, L.; Jiang, H.; Liu, L.; Huang, Y. Improving the Interfacial Strength of Silicone Resin Composites by Chemically Grafting Silica Nanoparticles on Carbon Fiber. Compos. Sci. Technol. 2017, 153, 160–167. [Google Scholar] [CrossRef]
- Liu, M.; Chen, K.; Shi, Y.; Wang, H.; Wu, S.; Huang, R.; Feng, Y.; Tang, L.; Liu, X.; Song, P. High-Performance Flexible Nanocomposites with Superior Fire Safety and Ultra-Efficient Electromagnetic Interference Shielding. J. Mater. Sci. Technol. 2023, 166, 133–144. [Google Scholar] [CrossRef]
- Ye, W.; Zhou, Y.; Liu, W.; Hou, Y.; Chu, F.; Hu, Y.; Song, L.; Hu, W. Fabricating Advanced MXene-Based Hybrid Materials to Elevate Fire Safety and Mechanical Strength in Carbon Fiber-Reinforced Bismaleimide Resins. Chem. Eng. J. 2024, 487, 150456. [Google Scholar] [CrossRef]
- Glaskova-Kuzmina, T.; Vidinejevs, S.; Volodins, O.; Sevcenko, J.; Aniskevich, A.; Špaček, V.; Raškinis, D.; Vogonis, G. Enhanced Fire Resistance and Mechanical Properties of Epoxy and Epoxy-Based Fiber-Reinforced Composites with Hexachlorocyclotriphosphazene Modification. J. Compos. Sci. 2024, 8, 290. [Google Scholar] [CrossRef]





































| Samples | Steps | Ref. |
|---|---|---|
| CF-ACP | The process for modifying CFs involves multiple steps to enhance their properties. Initially, the sizing is removed through acetone refluxing, followed by fiber oxidation using nitric acid. The CF-O then undergo two grafting steps with HCCP, with the second step also incorporating DDE. Between each major step, the fibers are washed and dried. The final product, CF-ACP, is ultrasonically washed with water and DMF, then vacuum-dried. | [42] |
| CF-g-EG | The process for creating CF-g-EG composite involves a series of steps that combine CF and graphene-based materials. It begins with the production of GO, which is then modified using glycidol and HCCP. Separately, CFs are modified to create CF-ACP. The final step involves combining the CF-ACP with exfoliated graphene and additional reagents, resulting in the CF-g-EG composite. | [43] |
| CF/PPBES | The CF/PPBES composite creation process consists of two main stages: (1) Surface modification of CFs to produce CF-PPM, involving sizing removal, hydroxyl group introduction, HCCP reaction, and MA grafting; (2) Composite preparation, which includes dissolving PPBES resin, soaking CF tows, preparing monolayers, hot-pressing, and controlling CF volume fraction. | [44] |
| CF-HEA1/CF-HEA2 | The preparation of CF-HEA1/CF-HEA2 involves four main steps: (1) oxidizing CFs to create CF-O, (2) grafting EDA onto CF-O to produce CF-EA, (3) grafting EHEP onto CF-EA to form CF-HDE1, and (4) performing epoxy amination on CF-HDE1 to yield the final products. | [45] |
| CF-cardanol | The process of modifying CFs with cardanol involves several steps. Initially, hydroxyl groups are introduced to the CFs using isopentyl nitrite and 4-aminophenol. The fibers are then washed and reacted with HCCP, followed by grafting with cardanol. After washing, the modified fibers are used to prepare a prepreg with unidirectional fiber orientation. The composite is then molded using compression molding, cured through a multi-stage thermal treatment under pressure, and finally cooled naturally while maintaining pressure. | [46] |
| HVP | HVP is synthesized through a NS reaction involving vanillin and anhydrous potassium carbonate in dry THF, followed by the dropwise addition of HCCP and heating at 70 °C for 48 h. After filtering the solid, the product is obtained by evaporating the solvent and recrystallizing with ethanol. The HVP/D230 polyimine is then created by dissolving HVP in dichloromethane and adding D230 in a 1:3 molar ratio, followed by solvent evaporation and hot pressing at 120 °C and 18 MPa. | [47] |
| T1PI | The synthesis of T1PI involves two steps: First, T1 is created by reacting vanillin with phosphonitrilic chloride trimer (PCT) in THF with K2CO3, forming a cyclophosphazene compound. In the second step, T1PI is produced through a Schiff base reaction between T1 and 2-(piperazin-1-yl)ethanamine, resulting in a multifunctional secondary amine curing agent. | [48] |
| Samples | IFSS (MPa) | Flexural Strength (MPa) | Flexural Modulus (GPa) | Tensile Strength (GPa) | Ref. |
|---|---|---|---|---|---|
| CF-PP | 10.2 | - | - | - | [42] |
| CF-O/PP | 9.8 | - | - | - | |
| CF-ACP/PP | 11.1 | - | - | - | |
| CF-M-PP | 10.0 | - | - | - | |
| CF-O/M-PP | 13.0 | - | - | - | |
| CF-ACP/M-PP | 32.3 | - | - | - | |
| CF/EP | 47.3 | - | - | - | [43] |
| CFO/EP | 57.2 | - | - | - | |
| CF-ACP/EP | 81.8 | - | - | - | |
| CF-g-EG/EP | 97.7 | - | - | - | |
| CF/PPBES | 77.8 (ILSS) | 1598 | 119.2 | - | [44] |
| CF-OH/PPBES | 89.2 (ILSS) | 1824 | 137.6 | - | |
| CF-PPM/PPBES | 95.6 (ILSS) | 2067 | 156.1 | - | |
| CF | 47.5 | - | - | 4.80 | [39] |
| CFO | 56.6 | - | - | 4.69 | |
| CFO-HCCP-ODA | 81.3 | - | - | 4.74 | |
| CF | 47.5 | - | - | 4.80 | [49] |
| CFO | 56.6 | - | - | 4.69 | |
| CF-ACP | 81.0 | - | - | 5.31 | |
| CF | 68.91 | - | - | 4.55 | [50] |
| CFO | 70.18 | - | - | 4.17 | |
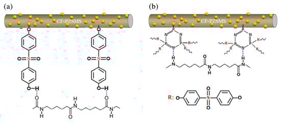
| CF-PZSMS | 84.75 | - | - | 4.82 | |
| Received CF | 73.51 | - | - | - | [51] |
| Desized CF | 68.91 | - | - | 4.55 | |
| CFO | 70.18 | - | - | 4.17 | |
| CF-PZSNT | 87.10 | - | - | 4.85 | |
| Received CF | 39.18 | - | - | - | [52] |
| Bare CF | 37.68 | - | - | - | |
| CFO | 42.28 | - | - | - | |
| CF-PZSNTs | 52.32 | - | - | - | |
| CF | 37.68 | - | - | - | [53] |
| CFO | 42.28 | - | - | - | |
| CF-PZSMS-L | 48.86 | - | - | - | |
| CF-PZSMS-M | 53.79 | - | - | - | |
| CF-PZSMS-H | 49.72 | - | - | - | |
| CF | 39.7 | - | - | - | [54] |
| CF-O | 52.4 | - | - | - | |
| CF-PZSNT | 69.6 | - | - | - | |
| CF-O/EP | 43.6 | - | - | - | [45] |
| CF-EA/EP | 65.3 | - | - | - | |
| CF-HEA1/EP | 76.8 | - | - | - | |
| CF-HEA2/EP | 89.6 | - | - | - | |
| CF | 50.1 | - | - | 4.65 ± 0.90 | [55] |
| CFO | 56.6 | - | - | 4.28 ± 1.17 | |
| Colored CF | 78.9 | - | - | 5.01 ± 1.14 |
| Matrix | Tmax (°C) | LOI (%) | PHRR (kW/m2) | THR (MJ/m2) | TTI (s) | Tensile Strength (MPa) | Impact Strength (kJ/m3) | Flexural Modulus (GPa) | Ref. |
|---|---|---|---|---|---|---|---|---|---|
| TPU | 425.6 | 19.8 | 769 | 58.4 | 60 | - | - | - | [61] |
| TPU/CP-Ti3C2Tx-0.5 | 428.2 | 21.8 | 783 | 56.2 | 46 | - | - | - | |
| TPU/CP-Ti3C2Tx-1.0 | 423.2 | 22.6 | 692 | 51.9 | 41 | 39.3 | - | - | |
| TPU/CP-Ti3C2Tx-2.0 | 425.7 | 22.8 | 433 | 47.6 | 36 | - | - | - | |
| TPU/CP-Ti3C2Tx-4.0 | 407.4 | 23.8 | 274 | 39.8 | 35 | 40.3 | - | - | |
| HVP/D230 | 317.9 | 28.6 | - | - | - | - | - | - | [47] |
| E51/D230 | 368.5 | 21.3 | - | - | - | 52.7 | - | 1.95 | |
| HVP/D230-CFs | - | 34.2 | 330.2 | 19.9 | 65 | - | - | - | |
| E51/D230-CFs | - | 21.1 | 354.7 | 35.3 | 74 | 213 | - | 40.5 | |
| Pure BMI | 426 | - | 589.9 | 63.4 | - | - | 6.62 | - | [62] |
| BMI/MX@HBET 0.25 | 429 | - | 416.7 | 59.6 | - | - | 8.39 | - | |
| BMI/MX@HBET 0.5 | 432 | - | 555.2 | 54.3 | - | - | 9.88 | - | |
| BMI/MX@HBET 1.0 | 432 | - | 482.2 | 47.8 | - | - | 11.16 | - | |
| BMI/MX@HBET 2.0 | 430 | - | 386.5 | 54.7 | - | - | 7.74 | - | |
| BMI/CF | - | - | 398.1 | 32.6 | - | - | 63.52 | - | |
| BMI/CF-O-Si/MX@HBET | - | - | 353.8 | 29.1 | - | - | 82.10 | - |
Disclaimer/Publisher’s Note: The statements, opinions and data contained in all publications are solely those of the individual author(s) and contributor(s) and not of MDPI and/or the editor(s). MDPI and/or the editor(s) disclaim responsibility for any injury to people or property resulting from any ideas, methods, instructions or products referred to in the content. |
© 2024 by the authors. Licensee MDPI, Basel, Switzerland. This article is an open access article distributed under the terms and conditions of the Creative Commons Attribution (CC BY) license (https://creativecommons.org/licenses/by/4.0/).
Share and Cite
Dagdag, O.; Kim, H. Advances in Flame Retardant Technologies for Epoxy Resins: Chemical Grafting onto Carbon Fiber Techniques, Reactive Agents, and Applications in Composite Materials. Molecules 2024, 29, 5996. https://doi.org/10.3390/molecules29245996
Dagdag O, Kim H. Advances in Flame Retardant Technologies for Epoxy Resins: Chemical Grafting onto Carbon Fiber Techniques, Reactive Agents, and Applications in Composite Materials. Molecules. 2024; 29(24):5996. https://doi.org/10.3390/molecules29245996
Chicago/Turabian StyleDagdag, Omar, and Hansang Kim. 2024. "Advances in Flame Retardant Technologies for Epoxy Resins: Chemical Grafting onto Carbon Fiber Techniques, Reactive Agents, and Applications in Composite Materials" Molecules 29, no. 24: 5996. https://doi.org/10.3390/molecules29245996
APA StyleDagdag, O., & Kim, H. (2024). Advances in Flame Retardant Technologies for Epoxy Resins: Chemical Grafting onto Carbon Fiber Techniques, Reactive Agents, and Applications in Composite Materials. Molecules, 29(24), 5996. https://doi.org/10.3390/molecules29245996

