Effect of Co-Solvents, Modified Starch and Physical Parameters on the Solubility and Release Rate of Cryptotanshinone from Alcohologels
Abstract
1. Introduction
2. Results
2.1. Determination of pH
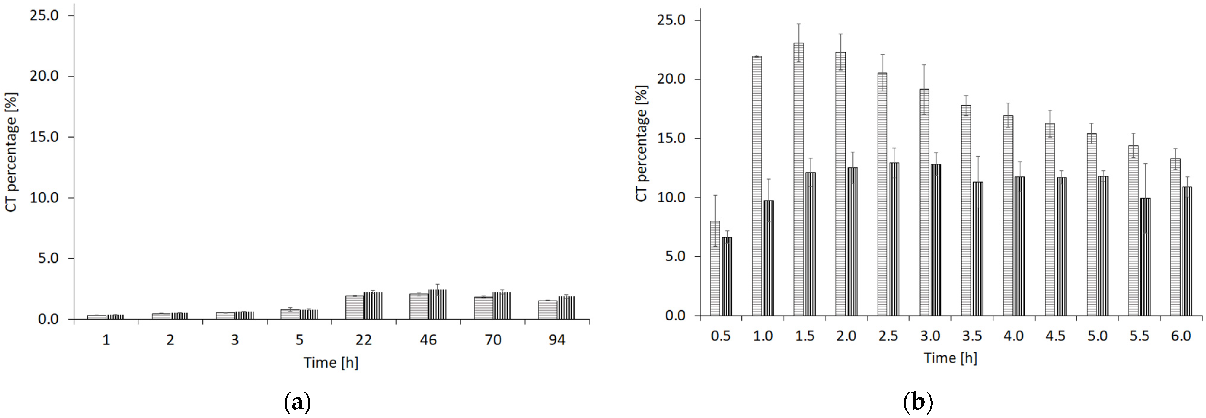
2.2. CT Release Evaluation
2.3. Determination of CT Stability
2.4. ATR-FTIR Analysis
2.5. Powder X-Ray Diffraction (PXRD) Analysis
2.6. Differential Scanning Calorimetry (DSC)
2.7. ESI-MS Evaluation
2.8. SEM Images
3. Discussion
3.1. Determination of pH
3.2. CT Release Evaluation
3.3. Determination of CT Stability
3.4. ATR-FTIR Analysis
3.5. Powder X-Ray Diffraction (PXRD) Analysis
3.6. Differential Scanning Calorimetry (DSC)
3.7. ESI-MS Evaluation
3.8. SEM Images
4. Materials and Methods
4.1. Alcohologels Preparation
4.2. Determination of pH
4.3. CT Release Evaluation
4.3.1. CT Release into PBS
4.3.2. CT Release into Methanol
4.4. Determination of CT Stability
4.5. Preparation of the Samples for Spectral and Thermal Studies and Microscope Visualization
4.6. ATR-FTIR Analysis
4.7. Powder X-Ray Diffraction (PXRD) Analysis
4.8. Differential Scanning Calorimetry (DSC)
4.9. Electrospray Ionization Mass Spectrometry (ESI-MS) Analysis
4.10. Scanning Electron Microscope (SEM) Images
5. Conclusions
Author Contributions
Funding
Institutional Review Board Statement
Informed Consent Statement
Data Availability Statement
Acknowledgments
Conflicts of Interest
References
- Nagappan, A.; Kim, J.H.; Jung, D.Y.; Jung, M.H. Cryptotanshinone from the salvia miltiorrhiza bunge attenuates ethanol-induced liver injury by activation of AMPK/SIRT1 and Nrf2 signaling pathways. Int. J. Mol. Sci. 2020, 21, 265. [Google Scholar] [CrossRef]
- Chen, W.; Lu, Y.; Chen, G.; Huang, S. Molecular Evidence of Cryptotanshinone for Treatment and Prevention of Human Cancer. Anti Cancer Agents Med. Chem. 2013, 13, 979–987. [Google Scholar] [CrossRef]
- Liu, S.; Zhang, P.; Sun, Q. Design, Synthesis, and Evaluation of Novel Cryptotanshinone Derivatives for Activity against Triple-Negative Breast Cancer. Pharm. Front. 2024, 6, E136–E148. [Google Scholar] [CrossRef]
- Kobryń, J.; Dałek, J.; Musiał, W. The Influence of Selected Factors on the Aqueous Cryptotanshinone Solubility. Pharmaceutics 2021, 13, 992. [Google Scholar] [CrossRef] [PubMed]
- O’Neil, M.J. The Merck Index—An Encyclopedia of Chemicals, Drugs, and Biologicals; Co, M., Ed.; Whitehouse: New York, NY, USA, 2006.
- Burnett, C.L.; Bergfeld, W.F.; Belsito, D.V.; Klaassen, C.D.; Marks, J.G.; Shank, R.C.; Slaga, T.J.; Snyder, P.W.; Andersen, F.A. Final amended report on safety assessment on aminomethyl Propanol and aminomethyl propanediol. Int. J. Toxicol. 2009, 28, S141–S161. [Google Scholar] [CrossRef] [PubMed]
- Becker, L.C.; Bergfeld, W.F.; Belsito, D.V.; Hill, R.A.; Klaassen, C.D.; Liebler, D.C.; Marks, J.G.; Shank, R.C.; Slaga, T.J.; Snyder, P.W.; et al. Safety Assessment of Tromethamine, Aminomethyl Propanediol, and Aminoethyl Propanediol as Used in Cosmetics. Int. J. Toxicol. 2018, 37, S5–S18. [Google Scholar] [CrossRef] [PubMed]
- Pitha, J.; Hoshino, T.; Torres-Labandeira, J.; Irie, T. Preparation of drug: Hydroxypropylcyclodextrin complexes by a method using ethanol or aqueous ammonium hydroxide as co-solubilizers. Int. J. Pharm. 1992, 80, 253–258. [Google Scholar] [CrossRef]
- Sun, Y.-C.; Xu, J.-K.; Xu, F.; Sun, R.-C. Efficient separation and physico-chemical characterization of lignin from eucalyptus using ionic liquid–organic solvent and alkaline ethanol solvent. Ind. Crops Prod. 2013, 47, 277–285. [Google Scholar] [CrossRef]
- Zhao, J.; Lou, J.; Mou, Y.; Li, P.; Wu, J.; Zhou, L. Diterpenoid Tanshinones and Phenolic Acids from Cultured Hairy Roots of Salvia miltiorrhiza Bunge and Their Antimicrobial Activities. Molecules 2011, 16, 2259–2267. [Google Scholar] [CrossRef]
- Li, J.F.; Wei, Y.X.; Xu, Z.C.; Dong, C.; Shuang, S.M. Studies on the spectroscopic behavior of cryptotanshinone, tanshinone IIA, and tanshinone I. Spectrochim. Acta Part A Mol. Biomol. Spectrosc. 2004, 60, 751–756. [Google Scholar] [CrossRef] [PubMed]
- Powers, J.S.; Hancock, R.E.W. The relationship between peptide structure and antibacterial activity. Peptides 2003, 24, 1681–1691. [Google Scholar] [CrossRef]
- Hirano, S.; Ichikawa, S.; Matsuda, A. Synthesis of Caprazamycin Analogues and Their Structure—Activity Relationship for Antibacterial Activity. J. Org. Chem. 2008, 73, 569–577. [Google Scholar] [CrossRef] [PubMed]
- Xie, Y.; Chen, J.; Xiao, A.; Liu, L. Antibacterial Activity of Polyphenols: Structure-Activity Relationship and Influence. Molecules 2017, 22, 1913. [Google Scholar] [CrossRef] [PubMed]
- Wang, L.; Jiang, X.; Xu, W.; Li, C. Complexation of tanshinone IIA with 2-hydroxypropyl-β-cyclodextrin: Effect on aqueous solubility, dissolution rate, and intestinal absorption behavior in rats. Int. J. Pharm. 2007, 341, 58–67. [Google Scholar] [CrossRef]
- Li, J.F.; Wei, Y.X.; Ding, L.H.; Dong, C. Study on the inclusion complexes of cryptotanshinone with β-cyclodextrin and hydroxypropyl-β-cyclodextrin. Spectrochim. Acta Part A 2003, 59, 2759–2766. [Google Scholar] [CrossRef] [PubMed]
- Wei, Y.; Li, P.; Wang, C.; Peng, Y.; Shu, L.; Jia, X.; Ma, W.; Wang, B. Metabolism of Tanshinone IIA, Cryptotanshinone and Tanshinone I from Radix Salvia Miltiorrhiza in Zebrafish. Molecules 2012, 17, 8617–8632. [Google Scholar] [CrossRef] [PubMed]
- Lee, D.-S.; Lee, S.-H.; Noh, J.-G.; Hong, S.-D. Antibacterial Activities of Cryptotanshinone and Dihydrotanshinone I from a Medicinal Herb, Salvia miltiorrhiza Bunge. Biosci. Biotechnol. Biochem. 1999, 63, 2236–2239. [Google Scholar] [CrossRef] [PubMed]
- Li, Z.; Zou, J.; Cao, D.; Ma, X. Pharmacological basis of tanshinone and new insights into tanshinone as a multitarget natural product for multifaceted diseases. Biomed. Pharmacother. 2020, 130, 110599. [Google Scholar] [CrossRef]
- Park, J.Y.; Kim, J.H.; Kim, Y.M.; Jeong, H.J.; Kim, D.W.; Park, K.H.; Kwon, H.J.; Park, S.J.; Lee, W.S.; Ryu, Y.B. Tanshinones as selective and slow-binding inhibitors for SARS-CoV cysteine proteases. Bioorganic Med. Chem. 2012, 20, 5928–5935. [Google Scholar] [CrossRef]
- Zhang, H.-S.; Chen, X.-Y.; Wu, T.-C.; Zhang, F.-J. Tanshinone II A Inhibits Tat-Induced HIV-1 Transactivation Through Redox-Regulated AMPK/Nampt Pathway. J. Cell. Physiol. 2014, 229, 1193–1201. [Google Scholar] [CrossRef] [PubMed]
- Zhang, J.Q.; Gu, Y.L.; Wu, C.H.; Ma, H.L.; He, J.P.; Bai, Y.S.; Li, H. quan Effects of sodium tanshinone IIA sulfonate against Marek’s disease virus in experimentally infected chickens. Int. J. Biol. Macromol. 2013, 58, 258–262. [Google Scholar] [CrossRef] [PubMed]
- Wang, P.; Zhou, S.; Xu, L.; Lu, Y. Hydrogen peroxide-mediated oxidative stress and collagen synthesis in cardiac fibroblasts: Blockade by tanshinone IIA. J. Ethnopharmacol. 2013, 145, 152–161. [Google Scholar] [CrossRef] [PubMed]
- Zhou, Z.Y.; Zhao, W.R.; Zhang, J.; Chen, X.L.; Tang, J.Y. Sodium tanshinone IIA sulfonate: A review of pharmacological activity and pharmacokinetics. Biomed. Pharmacother. 2019, 118, 109362. [Google Scholar] [CrossRef]
- Song, M.; Chen, L.; Zhang, L.; Li, C.; Coffie, J.W.; Fang, Z.; Zhang, L.; Wang, S.; Gao, X.; Wang, H. Cryptotanshinone enhances wound healing in type 2 diabetes with modulatory effects on inflammation, angiogenesis and extracellular matrix remodelling. Pharm. Biol. 2020, 58, 845–853. [Google Scholar] [CrossRef] [PubMed]
- Kang, N.-G.; Song, Y.-S.; Park, M.-E.; Cho, W.-G. Cryptotanshinone for Treating Acne Vulgaris. J. Soc. Cosmet. Sci. Korea 2002, 28, 99–115. [Google Scholar]
- Wang, Z.; Liu, L.; Xiang, S.; Jiang, C.; Wu, W.; Ruan, S.; Du, Q.; Chen, T.; Xue, Y.; Chen, H.; et al. Formulation and Characterization of a 3D-Printed Cryptotanshinone-Loaded Niosomal Hydrogel for Topical Therapy of Acne. AAPS PharmSciTech 2020, 21, 159. [Google Scholar] [CrossRef]
- Salimi, M.; Motamedi, E.; Motesharezedeh, B.; Hosseini, H.M.; Alikhani, H.A. Starch-g-poly(acrylic acid-co-acrylamide) composites reinforced with natural char nanoparticles toward environmentally benign slow-release urea fertilizers. J. Environ. Chem. Eng. 2020, 8, 103765. [Google Scholar] [CrossRef]
- Sofyane, A.; Ablouh, E.; Lahcini, M.; Elmeziane, A.; Khouloud, M.; Kaddami, H.; Raihane, M. Slow-release fertilizers based on starch acetate/glycerol/polyvinyl alcohol biocomposites for sustained nutrient release. Mater. Today Proc. 2021, 36, 74–81. [Google Scholar] [CrossRef]
- Han, X.; Chen, S.; Hu, X. Controlled-release fertilizer encapsulated by starch/polyvinyl alcohol coating. Desalination 2009, 240, 21–26. [Google Scholar] [CrossRef]
- Channab, B.-E.; El Idrissi, A.; Zahouily, M.; Essamlali, Y.; White, J.C. Starch-based controlled release fertilizers: A review. Int. J. Biol. Macromol. 2023, 238, 124075. [Google Scholar] [CrossRef] [PubMed]
- Lü, S.; Gao, C.; Wang, X.; Xu, X.; Bai, X.; Gao, N.; Feng, C.; Wei, Y.; Wu, L.; Liu, M. Synthesis of a starch derivative and its application in fertilizer for slow nutrient release and water-holding. RSC Adv. 2014, 4, 51208–51214. [Google Scholar] [CrossRef]
- Zhong, K.; Lin, Z.-T.; Zheng, X.-L.; Jiang, G.-B.; Fang, Y.-S.; Mao, X.-Y.; Liao, Z.-W. Starch derivative-based superabsorbent with integration of water-retaining and controlled-release fertilizers. Carbohydr. Polym. 2013, 92, 1367–1376. [Google Scholar] [CrossRef] [PubMed]
- Kobryń, J.; Raszewski, B.; Zięba, T.; Musiał, W. Modified Potato Starch as a Potential Retardant for Prolonged Release of Lidocaine Hydrochloride from Methylcellulose Hydrophilic Gel. Pharmaceutics 2023, 15, 387. [Google Scholar] [CrossRef] [PubMed]
- Yu, Z.; Lv, H.; Han, G.; Ma, K. Ethosomes Loaded with cryptotanshinone for acne treatment through topical gel formulation. PLoS ONE 2016, 11, e0159967. [Google Scholar] [CrossRef]
- Gu, X.; Guo, J.; Mai, Y.; Niu, Y.; Chen, J.; Zhao, Q.; Yang, J. Improved transdermal permeability of tanshinone IIA from cataplasms by loading onto nanocrystals and porous silica. Pharm. Dev. Technol. 2021, 26, 1061–1072. [Google Scholar] [CrossRef]
- Cheng, Z.; Zhang, L.; Zhao, H.; Liu, R.; Xu, Q. Spectroscopic investigation of the interactions of cryptotanshinone and icariin with two serum albumins. J. Solut. Chem. 2013, 42, 1238–1262. [Google Scholar] [CrossRef]
- Yasmin Begum, M.; Shaik, M.R.; Abbulu, K.; Sudhakar, M. Ketorolac tromethamine loaded liposomes: Development, characterization and in vitro evaluation. Res. J. Pharm. Technol. 2011, 4, 1766–1771. [Google Scholar]
- Suhail, M.; Hsieh, Y.H.; Shao, Y.F.; Minhas, M.U.; Wu, P.C. Formulation and in-vitro characterization of ph-responsive semi-interpenetrating polymer network hydrogels for controlled release of ketorolac tromethamine. Gels 2021, 7, 167. [Google Scholar] [CrossRef]
- Xu, L.; Zhou, W.; Yuan, Y.; Shao, Q.; Qiao, H. Determination of Trans-loxoprofen-alcohol Tromethamine in Pregnant SD rats by a Validated LC-MS/MS method: Application to a Toxicokinetics and Tissue Distribution study. Curr. Pharm. Anal. 2020, 17, 111–121. [Google Scholar] [CrossRef]
- Zhai, X.; Li, C.; Lenon, G.B.; Xue, C.C.L.; Li, W. Preparation and characterisation of solid dispersions of tanshinone IIA, cryptotanshinone and total tanshinones. Asian J. Pharm. Sci. 2017, 12, 85–97. [Google Scholar] [CrossRef]
- Luo, C.; Wu, W.; Lin, X.; Li, Y.; Yang, K. A novel tanshinone IIA/chitosan solid dispersion: Preparation, characterization and cytotoxicity evaluation. J. Drug Deliv. Sci. Technol. 2019, 49, 260–267. [Google Scholar] [CrossRef]
- Li, J.; Bai, Y.; Bai, Y.; Zhu, R.; Liu, W.; Cao, J.; An, M.; Tan, Z.; Chang, Y.X. Pharmacokinetics of Caffeic Acid, Ferulic Acid, Formononetin, Cryptotanshinone, and Tanshinone IIA after Oral Administration of Naoxintong Capsule in Rat by HPLC-MS/MS. Evid.-Based Complement. Altern. Med. 2017, 2017, 9057238. [Google Scholar] [CrossRef]
- Dai, H.; Wang, M.; Li, X.; Wang, L.; Li, Y.; Xue, M. Structural elucidation of in vitro and in vivo metabolites of cryptotanshinone by HPLC-DAD-ESI-MSn. J. Pharm. Biomed. Anal. 2008, 48, 885–896. [Google Scholar] [CrossRef] [PubMed]
- Ong, E.S.; Len, S.M. Evaluation of Pressurized Liquid Extraction and Pressurized Hot Water Extraction for Tanshinone I and IIA in Salvia miltiorrhiza Using LC and LC-ESI-MS. J. Chromatogr. Sci. 2004, 42, 211–216. [Google Scholar] [CrossRef]
- Liu, Y.; Li, X.; Li, Y.; Wang, L.; Xue, M. Simultaneous determination of danshensu, rosmarinic acid, cryptotanshinone, tanshinone IIA, tanshinone I and dihydrotanshinone I by liquid chromatographic-mass spectrometry and the application to pharmacokinetics in rats. J. Pharm. Biomed. Anal. 2010, 53, 698–704. [Google Scholar] [CrossRef] [PubMed]
- Hai, Y.; Wen, X.; Ma, R.; He, C.; Yang, X.; Xiong, R.; Chen, J.; Sun, Q. pH-responsive polyacrylic acid chemical cross-linking for end-of-life reverse osmosis membrane rejuvenation. Desalination 2023, 566, 116932. [Google Scholar] [CrossRef]
- Taleb, M.A.; Hussien, A.M.; Al-Fiky, A.F.; El-Sayed, H. Preparation of fatty acid-amino diol condensate and its utilization as a durable nonionic softener for PAN fabrics. Heliyon 2022, 8, e09741. [Google Scholar] [CrossRef]
- Dong, J.; Ozaki, Y.; Nakashima, K. FTIR studies of conformational energies of poly (acrylic acid) in cast films. J. Polym. Sci. Part B Polym. Phys. 1997, 35, 507–515. [Google Scholar] [CrossRef]
- Liew, C.-W.; Ng, H.M.; Numan, A.; Ramesh, S. Poly(Acrylic acid)–Based Hybrid Inorganic–Organic Electrolytes Membrane for Electrical Double Layer Capacitors Application. Polymers 2016, 8, 179. [Google Scholar] [CrossRef] [PubMed]
- Coates, J. Interpretation of Infrared Spectra, A Practical Approach. In Encyclopedia of Analytical Chemistry; Meyers, R.A., Ed.; Wiley Online Library: Hoboken, NJ, USA, 2000; pp. 10815–10837. [Google Scholar]
- Kirwan, L.J.; Fawell, P.D.; Van Bronswijk, W. An in situ FTIR-ATR study of polyacrylate adsorbed onto hematite at high pH and high ionic strength. Langmuir 2004, 20, 4093–4100. [Google Scholar] [CrossRef]
- Venegas, R.; Torres, A.; Rueda, A.M.; Morales, M.A.; Arias, M.J.; Porras, A. Development and Characterization of Plantain (Musa paradisiaca) Flour-Based Biopolymer Films Reinforced with Plantain Fibers. Polymers 2022, 14, 748. [Google Scholar] [CrossRef] [PubMed]
- Krobok, M.P.; Johannsen, P.G.; Holzapfel, W.B. Raman and FTIR study of NaOH and NaOD under pressure. J. Phys. Condens. Matter 1992, 4, 8141–8150. [Google Scholar] [CrossRef]
- Socrates, G. Infrared and Raman Characteristic Group Frequencies: Tables and Charts, 3rd ed.; Wiley: Hoboken, NJ, USA, 2004. [Google Scholar]
- Gotoh, R.; Totani, T.; Wakita, M.; Nagata, H. Controlling heat release of crystallization from supercooling state of a solid-solid PCM, 2-amino-2-methyl-1,3-propanediol. Int. J. Heat Mass Transf. 2019, 137, 1132–1140. [Google Scholar] [CrossRef]
- Cao, Y.; Tan, H. The properties of enzyme-hydrolyzed cellulose in aqueous sodium hydroxide. Carbohydr. Res. 2002, 337, 1453–1457. [Google Scholar] [CrossRef] [PubMed]
- Khanlari, S.; Dubé, M.A. Effect of pH on Poly(acrylic acid) Solution Polymerization. J. Macromol. Sci. Part A Pure Appl. Chem. 2015, 52, 587–592. [Google Scholar] [CrossRef]
- Liang, W.; Chen, W.; Wu, L.; Li, S.; Qi, Q.; Cui, Y.; Liang, L.; Ye, T. Fingerprints and HPLC-MS n Coupled. Molecules 2017, 22, 478. [Google Scholar] [CrossRef]
- Proksch, E. pH in nature, humans and skin. J. Dermatol. 2018, 45, 1044–1052. [Google Scholar] [CrossRef]
- Liang, W.; Cao, X. Preparation of a pH-sensitive polyacrylate amphiphilic copolymer and its application in cellulase immobilization. Bioresour. Technol. 2012, 116, 140–146. [Google Scholar] [CrossRef]
- Swift, T. pH Dependence of Acrylate-Derivative Polyelectrolyte Properties. In Acrylate Polymers for Advanced Applications; Serrano-Aroca, A., Deb, S., Eds.; IntechOpen: London, UK, 2020; pp. 5–12. [Google Scholar]
- Martín-Camacho, U.d.J.; Rodríguez-Barajas, N.; Sánchez-Burgos, J.A.; Pérez-Larios, A. Weibull β value for the discernment of drug release mechanism of PLGA particles. Int. J. Pharm. 2023, 640, 123017. [Google Scholar] [CrossRef] [PubMed]
- Sood, A.; Panchagnula, R. Design of controlled release delivery systems using a modified pharmacokinetic approach: A case study for drugs having a short elimination half-life and a narrow therapeutic index. Int. J. Pharm. 2003, 261, 27–41. [Google Scholar] [CrossRef]
- Huang, X.; Jin, L.; Deng, H.; Wu, D.; Shen, Q.K.; Quan, Z.S.; Zhang, C.H.; Guo, H.Y. Research and Development of Natural Product Tanshinone I: Pharmacology, Total Synthesis, and Structure Modifications. Front Pharmacol. 2022, 13, 920411. [Google Scholar] [CrossRef] [PubMed]
- Boisvert, J.P.; Malgat, A.; Pochard, I.; Daneault, C. Influence of the counter-ion on the effective charge of polyacrylic acid in dilute condition. Polymer 2001, 43, 141–148. [Google Scholar] [CrossRef]
- Yuan, S.; Guerra Faura, G.; Areheart, H.E.; Peulen, N.E.; France, S. Lewis Acid-Catalyzed 2,3-Dihydrofuran Acetal Ring-Opening Benzannulations toward Functionalized 1-Hydroxycarbazoles. Molecules 2022, 27, 8344. [Google Scholar] [CrossRef]
- Chen, S.; Lee, H. Structure and Properties of Poly (acrylic acid)-Doped Poly aniline. Macromolecules 1995, 2858–2866. [Google Scholar] [CrossRef]
- Dalalibera, A.; Vilela, P.B.; Vieira, T.; Becegato, V.A.; Paulino, A.T. Removal and selective separation of synthetic dyes from water using a polyacrylic acid-based hydrogel: Characterization, isotherm, kinetic, and thermodynamic data. J. Environ. Chem. Eng. 2020, 8, 104465. [Google Scholar] [CrossRef]
- De la Garza, D.; De Santiago, F.; Materon, L.; Chipara, M.; Alcoutlabi, M. Fabrication and characterization of centrifugally spun poly(acrylic acid) nanofibers. J. Appl. Polym. Sci. 2019, 136, 47480. [Google Scholar] [CrossRef]
- Zhang, Z.Y.; Yang, M.L. Heat capacity and phase transition of 2-amino-2-methyl-1,3-propanediol from 280 K to the melting point. Thermochim. Acta 1990, 169, 263–269. [Google Scholar] [CrossRef]
- Sun, J.; Yang, M.; Wang, X.; Xu, M.; Liu, A.; Guo, D. Identification of tanshinones and their metabolites in rat bile after oral administration of TTE-50, a standardized extract of Salvia miltiorrhiza by HPLC—ESI—DAD—MSn. J. Pharm. Biomed. Anal. 2007, 44, 564–574. [Google Scholar] [CrossRef] [PubMed]
- An, L.K.; Bu, X.Z.; Wu, H.Q.; Guo, X.D.; Ma, L.; Gu, L.Q. Reaction of tanshinones with biogenic amine metabolites in vitro. Tetrahedron 2002, 58, 10315–10321. [Google Scholar] [CrossRef]
- Wang, A.; Li, A.; Wang, A.; Chen, J. Studies on Poly (Acrylic Acid)/Attapulgite Superabsorbent Composite. I. Synthesis and Characterization Studies on Poly (acrylic acid)Attapulgite Superabsorbent Composite. I. Synthesis and Characterization. J. Appl. Polym. Sci. 2014, 92, 1596–1603. [Google Scholar]
- Chavda, H.; Patel, C. Effect of crosslinker concentration on characteristics of superporous hydrogel. Int. J. Pharm. Investig. 2011, 1, 17. [Google Scholar] [CrossRef]
- Ruland, W. X-ray determination of crystallinity and diffuse disorder scattering. Acta Crystallogr. 1961, 14, 1180–1185. [Google Scholar] [CrossRef]
- Ahvenainen, P.; Kontro, I.; Svedström, K. Comparison of sample crystallinity determination methods by X-ray diffraction for challenging cellulose I materials. Cellulose 2016, 23, 1073–1086. [Google Scholar] [CrossRef]












| Alcohologel Samples | pH Values | |
|---|---|---|
| Mean | SD | |
| A-PA(0) | 6.46 | 0.02 |
| A-PA | 6.11 | 0.01 |
| A-PA(*) | 5.99 | 0.11 |
| A-PA-SN | 6.07 | 0.03 |
| A-PA-SM2.5 | 5.64 | 0.02 |
| A-PA-SM10 | 5.23 | 0.01 |
| A-MC | 10.40 | 0.02 |
| A-HEC | 10.14 | 0.02 |
| A-PACP | 9.93 | 0.03 |
| N-PA(0) | 6.81 | 0.02 |
| N-PA | 5.94 | 0.01 |
| N-PA(*) | 5.79 | 0.00 |
| N-PA-SN | 6.07 | 0.03 |
| N-PA-SM2.5 | 5.32 | 0.02 |
| N-PA-SM10 | 5.00 | 0.03 |
| N-MC | 12.93 | 0.02 |
| N-HEC | 12.90 | 0.08 |
| N-PACP | 13.39 | 0.07 |
| Release Medium | Sample | Parameters of Release Kinetics | |||||||||||||
|---|---|---|---|---|---|---|---|---|---|---|---|---|---|---|---|
| The Zero-Order Kinetics | The First-Order Kinetics, when Two Parallel Processes Were Assumed: Drug Release into the Acceptor Compartment and Drug Decomposition | Weibull Model | |||||||||||||
| Release Kinetics Parameters | Decomposition Kinetics Parameters | ||||||||||||||
| K0 [%·h−1] | SD | r2 | Kr [h−1] | SD | r2 | Kd [h−1] | SD | r2 | β [-] | SD | α [-] | SD | r2 | ||
| PBS | A-PA(i) | 0.0185 | 0.0030 | 0.5418 | 0.0644 | 0.0044 | 0.9978 | 0.0078 | 0.0018 | 0.9999 | 0.9393 | 0.1893 | 9.0914 | 2.5880 | 0.8688 |
| N-PA(i) | 0.0144 | 0.0010 | 0.5008 | 0.0653 | 0.0166 | 0.9913 | 0.0076 | 0.0017 | 0.9999 | 0.9669 | 0.0511 | 8.8245 | 1.3219 | 0.9026 | |
| MET | A-PA | 0.2598 | 0.2837 | 0.7887 | 1.9741 | 1.2063 | 0.9324 | 0.0444 | 0.0140 | 0.5365 | 0.4701 | 0.3557 | 0.7699 | 0.0528 | 0.3699 |
| N-PA | −0.7465 | 0.1069 | 0.0957 | 3.3992 | 0.3304 | 0.8610 | 0.2285 | 0.0064 | 0.9918 | 4.2830 | 0.3314 | 0.1198 | 0.0423 | 0 | |
| Ion Descriptions | Initially | After 30 Days | |||||||
|---|---|---|---|---|---|---|---|---|---|
| Formulation | Components | Isotopic Form | Calc. [m/z] | Emp. [m/z] | Diff. [ppm] | Intensity | Emp. [m/z] | Diff. [ppm] | Intensity |
| MeOH-CT(sol) | CT | [M + H]+ | 297.1485 | 297.1472 | 4.37 | 110,000 | n.ap. | - | - |
| CT | [M + Na]+ | 319.1305 | 319.1288 | 5.33 | 20,000 | n.ap. | - | - | |
| ETOH-CT(sol) | CT | [M + H]+ | 297.1485 | 297.1468 | 5.72 | 20,000 | n.ap. | - | - |
| CT | [M + Na]+ | 319.1305 | 319.129 | 4.70 | 20,000 | n.ap. | - | - | |
| A-CT(s) | AMPD | [M − H]− | 104.0706 | 104.0739 | −31.71 | 200,000 | n.ap. | - | - |
| T-V | [M − H]− | 313.1434 | 313.1507 | −23.31 | 400,000 | n.ap. | - | - | |
| CT | [M − H]− | 295.1329 | 295.1408 | −26.77 | 500 | n.ap. | - | - | |
| AMPD | [M + H]+ | 106.0863 | 106.0862 | 0.94 | 2,500,000 | 106.0855 | 7.54 | 5,500,000 | |
| AMPD | [M + Na]+ | 128.0682 | 128.068 | 1.56 | 4,000,000 | 128.0674 | 6.25 | 100,000 | |
| CT | [M + H]+ | 297.1485 | 297.1483 | 0.67 | 400,000 | 297.1474 | 3.70 | 6000 | |
| CT | [M + Na]+ | 319.1305 | 319.1305 | 0.00 | 600,000 | 319.1412 | −33.53 | 200 | |
| T-V | [M + H]+ | 315.1591 | 315.1584 | 2.22 | 8000 | 315.159 | 0.32 | 7000 | |
| T-V | [M + Na]+ | 337.141 | 337.1404 | 1.78 | 50,000 | 337.1405 | 1.48 | 2000 | |
| N-CT(s) | T-V | [M − H]− | 313.1434 | 313.1458 | −7.66 | 150,000 | n.ap. | - | - |
| CT | [M + H]+ | 297.1485 | 297.1482 | 1.01 | 100,000 | 297.1808 | −108.70 | 2000 | |
| CT | [M + Na]+ | 319.1305 | 319.1308 | −0.94 | 200,000 | 319.126 | 14.10 | 240 | |
| T-V | [M + H]+ | 315.1591 | 315.1593 | −0.63 | 200,000 | - | - | - | |
| T-V | [M + Na]+ | 337.141 | 337.1416 | −1.78 | 600,000 | 337.1436 | −7.71 | 2000 | |
| T-V sodium | [M − H + 2Na]+ | 359.123 | 359.1231 | −0.28 | 70,000 | 359.1219 | 3.06 | 400,000 | |
| Ingredient | CT [g] | ETOH [g] | NaOH [g] | AMPD [g] | H2O [g] | PA [g] | MC [g] | HEC [g] | PACP [g] | SN [g] | SM2.5 [g] | SM10 [g] | |
|---|---|---|---|---|---|---|---|---|---|---|---|---|---|
| Sample | |||||||||||||
| A-PA(0) | - | 10.0 | - | 1.0 | 87.5 | 1.5 | - | - | - | - | - | - | |
| A-PA | 0.016 | 10.0 | - | 1.0 | 87.5 | 1.5 | - | - | - | - | - | - | |
| A-PA(*) | 0.016 | 10.0 | - | 1.0 | 87.5 | 1.5 | - | - | - | - | - | - | |
| A-PA(i) | 0.140 | 20.0 | - | 1.0 | 77.4 | 1.5 | - | - | - | - | - | - | |
| A-PA-SN | 0.015 | 10.0 | - | 1.0 | 69.0 | 1.5 | - | - | - | 18.5 | - | - | |
| A-PA-SM2.5 | 0.015 | 10.0 | - | 1.0 | 69.3 | 1.5 | - | - | - | - | 18.2 | - | |
| A-PA-SM10 | 0.015 | 10.0 | - | 1.0 | 69.0 | 1.5 | - | - | - | - | - | 18.5 | |
| A-MC | 0.016 | 10.0 | - | 1.0 | 88.0 | - | 1.0 | - | - | - | - | - | |
| A-HC | 0.016 | 10.0 | - | 1.0 | 88.0 | - | - | 1.0 | - | - | - | - | |
| A-PACP | 0.016 | 10.0 | - | 1.0 | 87.5 | - | - | - | 1.5 | - | - | - | |
| A-PA(mix) | 0.001 | - | - | 0.002 | - | 0.002 | - | - | - | - | - | - | |
| A-CT(s) | 0.0016 | 1.0 | 0.09 | 8.9 | - | ||||||||
| N-PA(0) | - | 10.0 | 0.36 | - | 88.0 | 1.6 | - | - | - | - | - | - | |
| N-PA | 0.016 | 10.0 | 0.36 | - | 88.0 | 1.6 | - | - | - | - | - | - | |
| N-PA(*) | 0.016 | 10.0 | 0.36 | - | 88.0 | 1.6 | - | - | - | - | - | - | |
| N-PA(i) | 0.140 | 20.0 | 0.36 | - | 77.9 | 1.6 | - | - | - | - | - | - | |
| N-PA-SN | 0.014 | 10.0 | 0.36 | - | 70.2 | 1.6 | - | - | - | 17.8 | - | - | |
| N-PA-SM2.5 | 0.015 | 10.0 | 0.36 | - | 70.1 | 1.6 | - | - | - | - | 17.9 | - | |
| N-PA-SM10 | 0.015 | 10.0 | 0.36 | - | 71.3 | 1.6 | - | - | - | - | - | 16.7 | |
| N-MC | 0.016 | 10.0 | 0.36 | - | 88.6 | - | 1.0 | - | - | - | - | - | |
| N-HC | 0.016 | 10.0 | 0.36 | - | 88.6 | - | - | 1.0 | - | - | - | - | |
| N-PACP | 0.016 | 10.0 | 0.36 | - | 88.1 | - | - | - | 1.5 | - | - | - | |
| N-PA(mix) | 0.0006 | - | 0.002 | - | - | 0.0015 | - | - | - | - | - | - | |
| N-CT(s) | 0.0016 | 1.0 | 0.036 | 9.06 | - | ||||||||
Disclaimer/Publisher’s Note: The statements, opinions and data contained in all publications are solely those of the individual author(s) and contributor(s) and not of MDPI and/or the editor(s). MDPI and/or the editor(s) disclaim responsibility for any injury to people or property resulting from any ideas, methods, instructions or products referred to in the content. |
© 2024 by the authors. Licensee MDPI, Basel, Switzerland. This article is an open access article distributed under the terms and conditions of the Creative Commons Attribution (CC BY) license (https://creativecommons.org/licenses/by/4.0/).
Share and Cite
Kobryń, J.; Demski, P.; Raszewski, B.; Zięba, T.; Musiał, W. Effect of Co-Solvents, Modified Starch and Physical Parameters on the Solubility and Release Rate of Cryptotanshinone from Alcohologels. Molecules 2024, 29, 5877. https://doi.org/10.3390/molecules29245877
Kobryń J, Demski P, Raszewski B, Zięba T, Musiał W. Effect of Co-Solvents, Modified Starch and Physical Parameters on the Solubility and Release Rate of Cryptotanshinone from Alcohologels. Molecules. 2024; 29(24):5877. https://doi.org/10.3390/molecules29245877
Chicago/Turabian StyleKobryń, Justyna, Patryk Demski, Bartosz Raszewski, Tomasz Zięba, and Witold Musiał. 2024. "Effect of Co-Solvents, Modified Starch and Physical Parameters on the Solubility and Release Rate of Cryptotanshinone from Alcohologels" Molecules 29, no. 24: 5877. https://doi.org/10.3390/molecules29245877
APA StyleKobryń, J., Demski, P., Raszewski, B., Zięba, T., & Musiał, W. (2024). Effect of Co-Solvents, Modified Starch and Physical Parameters on the Solubility and Release Rate of Cryptotanshinone from Alcohologels. Molecules, 29(24), 5877. https://doi.org/10.3390/molecules29245877

