Molecular Dynamics Simulations of HEMA-Based Hydrogels for Ophthalmological Applications
Abstract
1. Introduction
2. Results and Discussion
- -
- homopolymer PHEMA (H50);
- -
- block copolymer V13H37 (B37);
- -
- block copolymer V37H13 (B13);
- -
- random copolymer with 13 VP and 37 HEMA mers (R37);H2V5H2V6H2V2HV10HVH2V6HV6H2V;
- -
- random copolymer with 37 VP and 13 HEMA mers (R13);HV2H8V3H3V2H2VH6VH10V2H4VH3V.
2.1. Glass Transition Temperatures
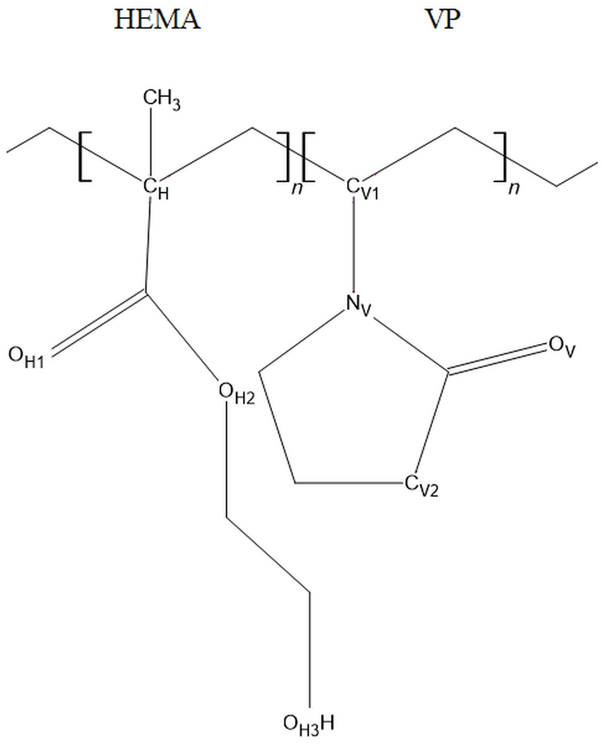
2.2. Structure and Chain Packing
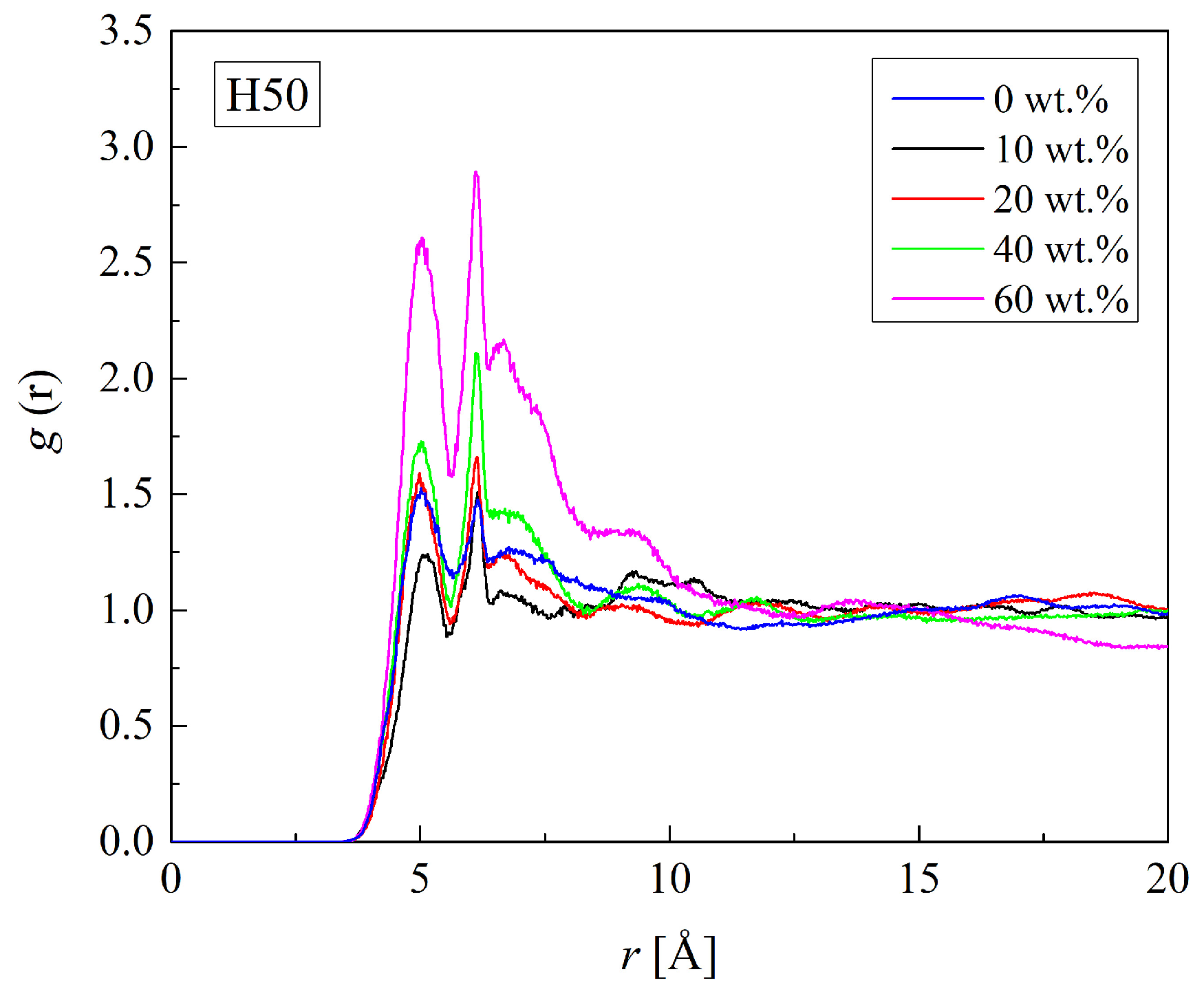
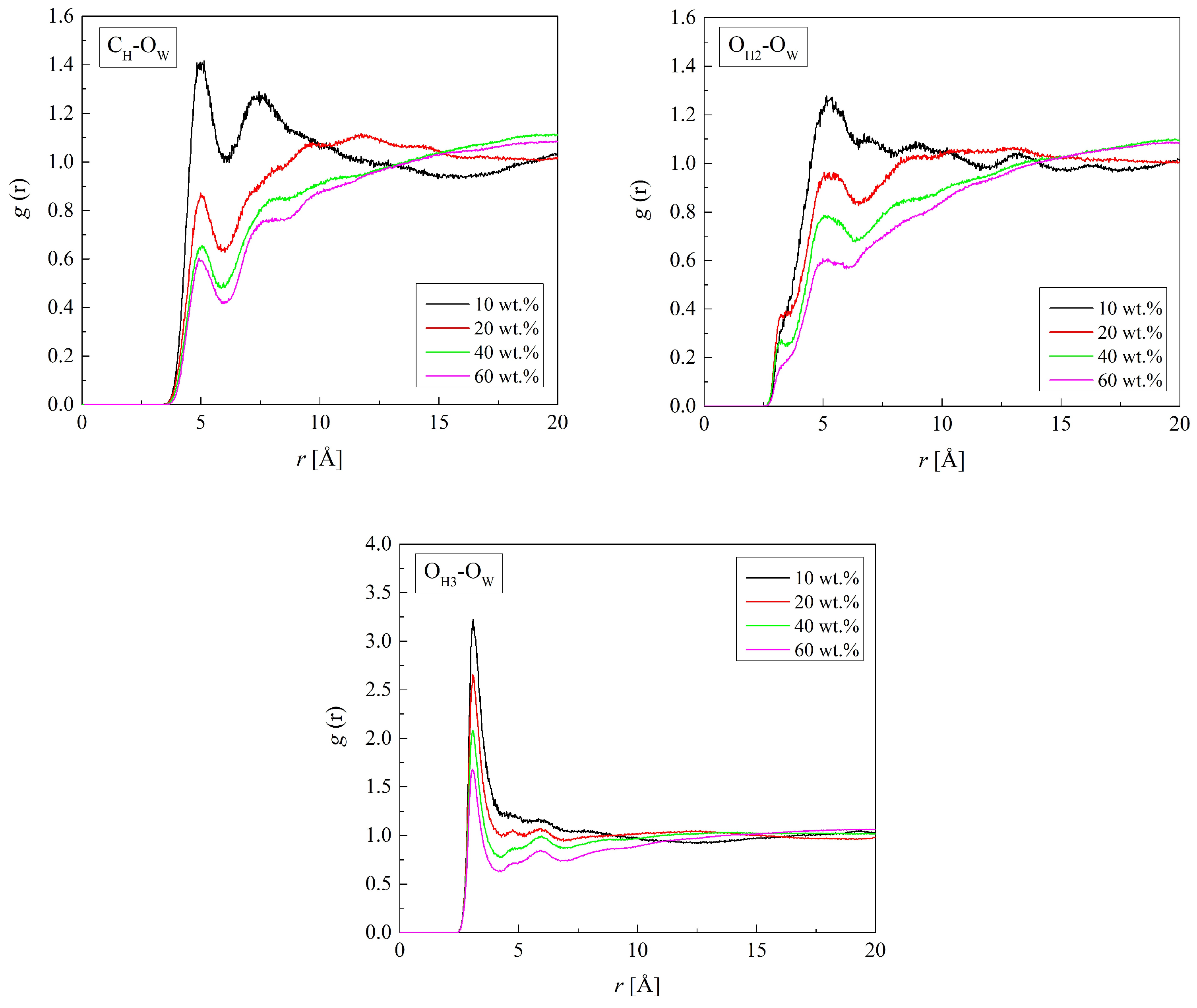
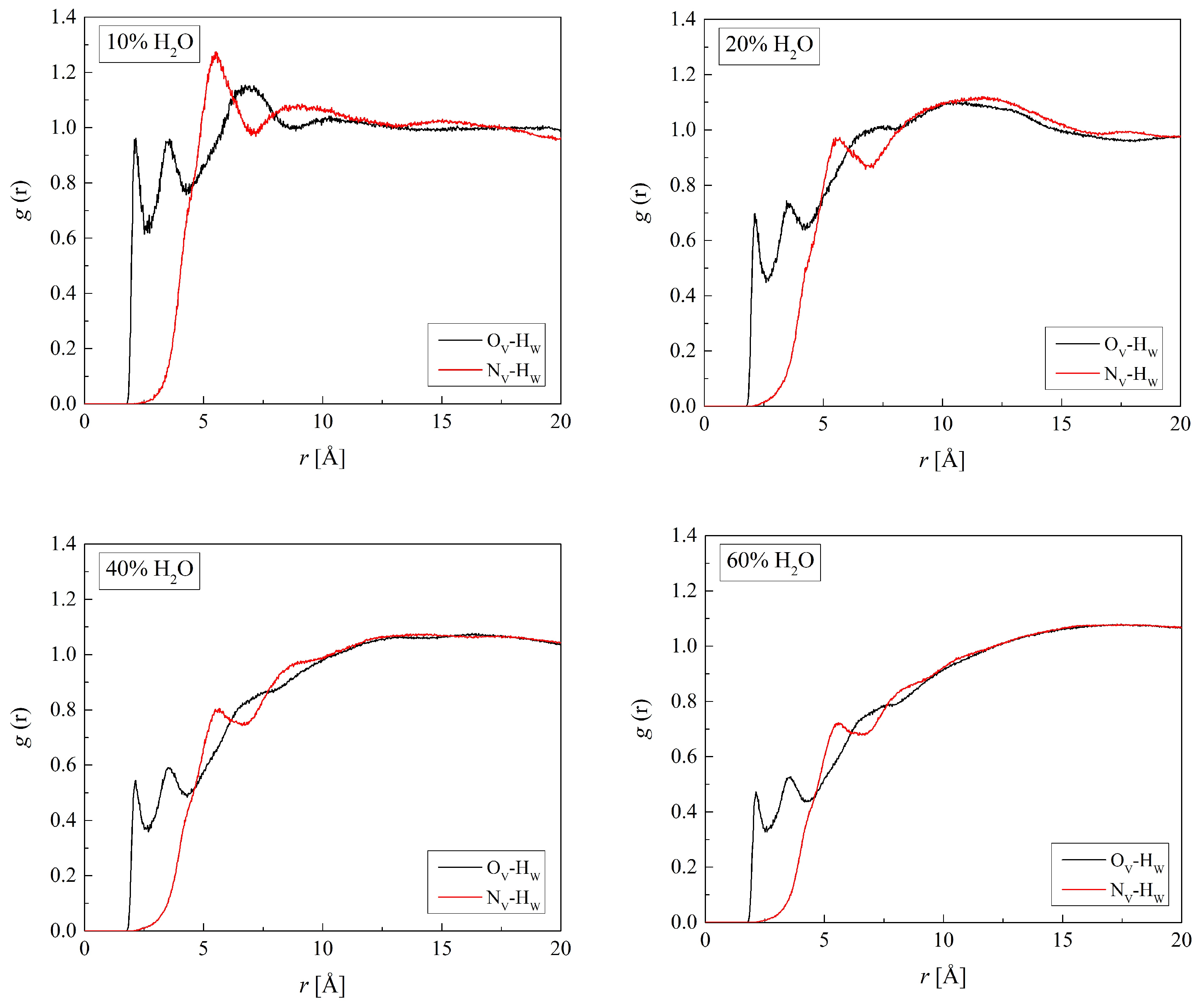
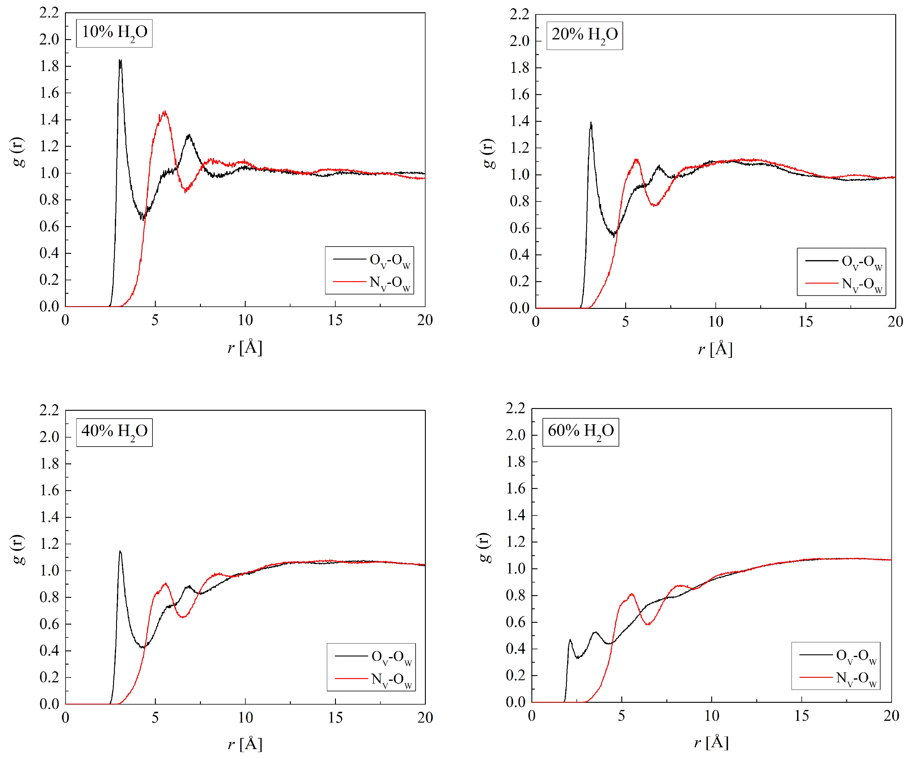
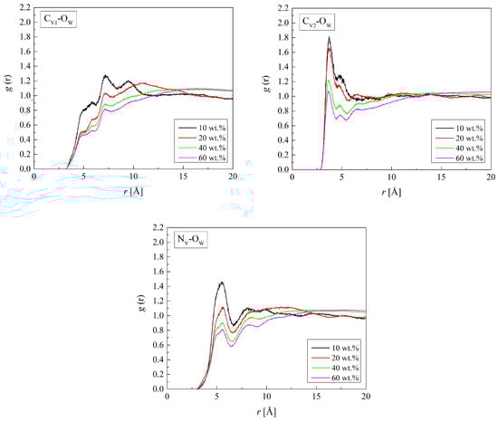
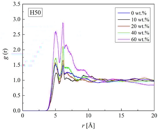
2.3. Distribution of Water Molecules
2.4. Hydrogen Bonding
2.5. Free Volumes
2.6. Mobility and Dynamics of the Polymer Chains
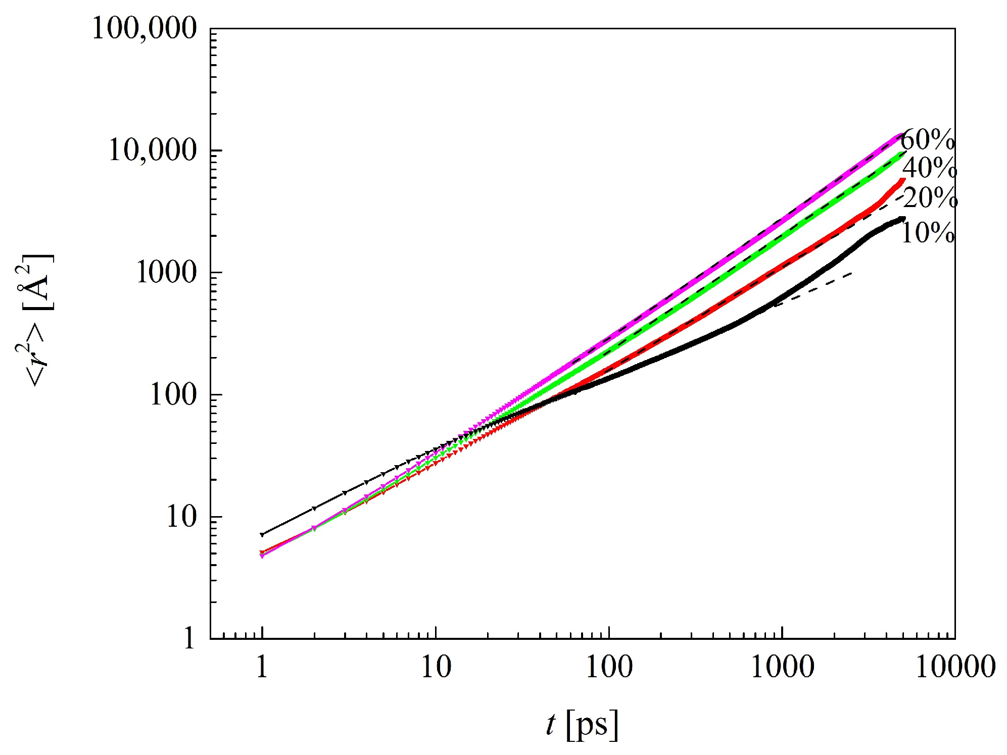
2.7. Dynamics of Water Molecules
3. Computer Simulations
3.1. Simulation Procedure
3.2. System Volume
3.3. Functions and Quantities
4. Conclusions
Author Contributions
Funding
Institutional Review Board Statement
Informed Consent Statement
Data Availability Statement
Conflicts of Interest
References
- Hoffman, A.S. Hydrogels for biomedical applications. Adv. Drug Deliv. Rev. 2012, 64, 18–23. [Google Scholar] [CrossRef]
- Zhao, Y.; Song, S.; Ren, X.; Zhang, J.; Lin, Q.; Zhao, Y. Supramolecular adhesive hydrogels for tissue engineering applications. Chem. Rev. 2022, 122, 5604–5640. [Google Scholar] [CrossRef] [PubMed]
- Franco, P.; De Marco, I. Contact lenses as ophthalmic drug delivery systems: A review. Polymers 2021, 13, 1102. [Google Scholar] [CrossRef] [PubMed]
- Kirchhof, S.; Goepferich, A.M.; Brandl, F.P. Hydrogels in ophthalmic applications. Eur. J. Pharm. Biopharm. 2015, 95, 227–238. [Google Scholar] [CrossRef]
- Aswathy, S.H.; Narendrakumar, U.; Manjubala, I. Commercial hydrogels for biomedical applications. Heliyon 2020, 6, e03719. [Google Scholar] [CrossRef]
- Chamkouri, H.; Chamkouri, M. A review of hydrogels, their properties and applications in medicine. Am. J. Biomed. Sci. Res. 2021, 11, 485–493. [Google Scholar] [CrossRef]
- Cheung, N.; Nagra, P.; Hammersmith, K. Emerging trends in contact lens-related infections. Curr. Opin. Ophthalmol. 2016, 27, 327–332. [Google Scholar] [CrossRef]
- Clark, H.L.; Pearlman, E. Fungal Eye Infections. In Oxford Textbook of Medical Mycology; Oxford University Press: Oxford, UK, 2017. [Google Scholar]
- Ma, L.; Rhee, M.K. Contact lenses and infectious keratitis. Curr. Ophthalmol. Rep. 2018, 6, 115–125. [Google Scholar] [CrossRef]
- Liesegang, T.J. Physiologic changes of the cornea with contact lens wear. Eye Contact Lens 2002, 28, 12–27. [Google Scholar]
- Malešić, N.B.; Rusmirović, J.D.; Jovašević, J.S.; Perišić, M.D.; Dimitrijević, S.I.; Filipović, J.M.; Tomić, S. Antimicrobial hydrogels based on 2-hydroxyethyl methacrylate and itaconic acid containing silver(I) ion. Tehnika 2014, 69, 563–568. [Google Scholar] [CrossRef]
- Prasitsilp, M.; Siriwittayakorn, T.; Molloy, R.; Suebsanit, N.; Siriwittayakorn, P.; Veeranondha, S. Cytotoxicity study of homopolymers and copolymers of 2-hydroxyethyl methacrylate and some alkyl acrylates for potential use as temporary skin substitutes. J. Mater. Sci. Mater. Med. 2003, 14, 595–600. [Google Scholar] [CrossRef] [PubMed]
- Zare, M.; Bigham, A.; Zare, M.; Luo, H.; Ghomi, E.R.; Ramakrishna, S. pHEMA: An overview for biomedical applications. Int. J. Mol. Sci. 2021, 22, 6376. [Google Scholar] [CrossRef] [PubMed]
- Passos, M.F.; Dias, D.R.C.; Bastos, G.N.T.; Jardini, A.L.; Benatti, A.B.C.; Dias, C.G.B.T.; Maciel Filho, R. pHEMA hydrogels: Synthesis, kinetics and in vitro tests. J. Therm. Anal. Calorim. 2016, 125, 361–368. [Google Scholar] [CrossRef]
- Hacker, M.C.; Mikos, A.G. Chapter 33—Synthetic polymers. In Principles of Regenerative Medicine, 2nd ed.; Atala, A., Lanza, R., Thomson, J., Nerem, R.M., Eds.; Springer: Boston, MA, USA, 2011; pp. 587–622. [Google Scholar]
- Willis, S.L.; Court, J.L.; Redman, R.P.; Wang, J.H.; Leppard, S.W.; Obyrne, V.J.; Small, S.A.; Lewis, A.L.; Jones, S.A.; Stratford, P.W. A novel phosphorylcholine-coated contact lens for extended wear use. Biomaterials 2001, 22, 3261–3272. [Google Scholar] [CrossRef]
- Efron, N. Contact Lens Practice; Elsevier, Butterworth-Heinemann: Oxford, UK, 2010. [Google Scholar]
- Compan, V.; Andrio, A.; Lopez-Alemany, A.; Riande, E.; Refojo, M.F. Oxygen permeability of hydrogel contact lenses with organosilicon moieties. Biomaterials 2002, 23, 2767–2772. [Google Scholar] [CrossRef]
- Alvord, L.; Court, J.; Davis, T.; Morgan, C.F.; Schindhelm, K.; Vogt, J.; Winterton, L. Oxygen permeability of a new type of high Dk soft contact lens material. Optom. Vis. Sci. 1998, 75, 30–36. [Google Scholar] [CrossRef]
- Kunitomo, T.; Kenjo, H.; Nagaoka, S.; Yoshioka, T.; Tanzawa, H. Cross-Linked n-Vinyl Pyrrolidone Polymer Composition Suitable for Contact Lenses. U.S. Patent No. 3,949,021, 6 April 1976. [Google Scholar]
- Friends, G.D.; Kunzler, J.F.; Ozark, R.M. Recent advances in the design of polymers for contact lenses. Macromol. Symp. 1995, 98, 619–631. [Google Scholar] [CrossRef]
- Lai, Y.C. A Novel crosslinker for UV copolymerization of N-vinyl pyrrolidone and methacrylates to give hydrogels. J. Polym. Sci. 1997, 35, 1039–11046. [Google Scholar] [CrossRef]
- Nicolson, P.C.; Baron, R.C.; Chabrecek, P.; Court, J.; Domschke, A. Extended Wear Ophthalmic Lens. Patent EP0819258 (A1), 12 September 2001. [Google Scholar]
- Holly, F.J.; Refojo, M.F. Wettability of hydrogels. 1. Poly(2-hydroxyethyl methacrylate. J. Biomed. Mater. Res. 1975, 9, 315–326. [Google Scholar] [CrossRef]
- Graham, A.D.; Truong, T.N.; Lin, M.C. Conjunctival epithelial flap in continuous contact lens wear. Optom. Vis. Sci. 2009, 86, e324–e331. [Google Scholar] [CrossRef]
- Filipecka-Szymczyk, K.; Makowska-Janusik, M.; Marczak, W. Molecular dynamics simulation of hydrogels based on phosphorylcholine-containing copolymers for soft contact lens applications. Molecules 2023, 28, 6562. [Google Scholar] [CrossRef] [PubMed]
- Bizet, S.; Galy, J.; Gérard, J.F. Molecular dynamics simulation of organic-inorganic copolymers based on methacryl-POSS and methyl methacrylate. Polymer 2006, 47, 8219–8227. [Google Scholar] [CrossRef]
- Meakin, J.R.; Hukins, D.W.L. Thermal analysis of poly(2-hydroxyethyl methacrylate (pHEMA) hydrogels. J. Mater. Sci. Mater. Med. 2003, 14, 9–15. [Google Scholar] [CrossRef]
- Karabanova, L.V.; Boiteux, G.; Seytre, G.; Stevenson, I.; Lloyd, A.W.; Mikhalovsky, S.V.; Helias, M.; Sergeeva, L.M.; Lutsyk, E.D.; Svyatyna, A. Phase separation in the polyurethane/poly(2-hydroxyethyl methacrylate) semi-interpenetrating polymer networks synthesized by different ways. Polym. Eng. Sci. 2008, 48, 588–597. [Google Scholar] [CrossRef]
- Li, S.; Shah, A.; Hsieh, A.J.; Haghighat, R.; Praveen, S.S.; Mukherjee, I.; Wei, E.; Zhang, Z.; Wei, Y. Characterization of poly(2-hydroxyethyl methacrylate-silica) hybrid materials with different silica contents. Polymer 2007, 48, 3982–3989. [Google Scholar] [CrossRef]
- Mohomed, K.; Gerasimov, T.G.; Moussy, F.; Harmon, J.P. A broad spectrum analysis of the dielectric properties of poly(2-hydroxyethyl methacrylate). Polymer 2005, 46, 3847–3855. [Google Scholar] [CrossRef]
- Vargün, E.; Sankir, M.; Aran, B.; Sankir, N.D.; Usanmaz, A. Synthesis and characterization of 2-hydroxyethyl methacrylate (HEMA) and methyl methacrylate (MMA) copolymer used as biomaterial. J. Macromol. Sci. Part A Pure Appl. Chem. 2010, 47, 235–240. [Google Scholar] [CrossRef]
- Bolbukh, Y.N.; Mamunya, Y.P.; Tertykh, V.A. Thermomechanical properties of polymeric composites based on 2-hydroxyethylmethacrylate and fumed silicas. J. Therm. Anal. Calorim. 2005, 81, 15–19. [Google Scholar] [CrossRef]
- Al-Issa, M.A.; Davis, T.P.; Huglin, M.B.; Yip, D.C.F. Copolymerizations involving N-vinyl-2-pyrrolidone. Polymer 1985, 26, 1869–1874. [Google Scholar] [CrossRef]
- Guiseppi-Elie, A.; Dong, C.; Dinu, C.Z. Crosslink density of a biomimetic poly(HEMA)-based hydrogel influences growth and proliferation of attachment dependent RMS 13 cells. J. Mater. Chem. 2012, 22, 19529–19539. [Google Scholar] [CrossRef]
- Çaykara, T.; Özyürek, C.; Kantoğlu, Ö. Investigation of thermal behavior of poly(2-hydroxyethyl methacrylate-co-itaconic acid) networks. J. Appl. Polym. Sci. 2007, 103, 1602–1607. [Google Scholar] [CrossRef]
- Yani, Y.; Lamm, M.H. Molecular dynamics simulation of mixed matrix nanocomposites containing polyimide and polyhedral oligomeric silsesquioxane (POSS). Polymer 2009, 50, 1324–1332. [Google Scholar] [CrossRef]
- Zhang, J.; Bunker, M.; Parker, A.; Madden-Smith, C.E.; Patel, N.; Roberts, C.J. The stability of solid dispersions of felodipine in polyvinylpyrrolidone characterized by nanothermal analysis. Int. J. Pharm. 2011, 414, 210–217. [Google Scholar] [CrossRef] [PubMed]
- Gupta, S.S.; Meena, A.; Parikh, T.; Serajuddin, A.M. Investigation of thermal and viscoelastic properties of polymers relevant to hot melt extrusion—I: Polyvinylpyrrolidone and related polymers. J. Excip. Food Chem. 2016, 5, 32–45. [Google Scholar]
- Vijaya, N.; Selvasekarapandian, S.; Hirankumar, G.; Karthikeyan, S.; Nithya, H.; Ramya, C.S.; Prabu, M. Structural, vibrational, thermal, and conductivity studies on proton-conducting polymer electrolyte based on poly (N-vinylpyrrolidone). Ionics 2012, 18, 91–99. [Google Scholar] [CrossRef]
- Paudel, A.; Van Humbeeck, J.; Van den Mooter, G. Theoretical and experimental investigation on the solid solubility and miscibility of naproxen in poly (vinylpyrrolidone). Mol. Pharm. 2010, 7, 1133–1148. [Google Scholar] [CrossRef]
- Kolter, K.; Flick, D. Structure and dry binding activity of different polymers, including Kollidon® VA 64. Drug Dev. Ind. Pharm. 2000, 26, 1159–1165. [Google Scholar] [CrossRef]
- Huang, C.F.; Kuo, S.W.; Lin, F.J.; Wang, C.F.; Hung, C.J.; Chang, F.C. Syntheses and specific interactions of poly (hydroxyethyl methacrylate-b-vinyl pyrrolidone) diblock copolymers and comparisons with their corresponding miscible blend systems. Polymer 2006, 47, 7060–7069. [Google Scholar] [CrossRef]
- Hamley, I.W. The Physics of Block Copolymers; Oxford University Press: Oxford, UK, 1998. [Google Scholar]
- Cowie, J.M.G. Polymers: Chemistry and Physics of Modern Materials; Chapman and Hall: London, UK, 1991. [Google Scholar]
- Takigawa, T.; Kasihara, H.; Masuda, T. Swelling and mechanical properties of polyvinylalcohol hydrogels. Polym. Bull. 1990, 24, 613–618. [Google Scholar] [CrossRef]
- Yang, H.; Cheng, R.; Xie, H.; Wang, Z. The role of solvation on the conformational change during repeated freezing-thawing treatment to an extremely dilute aqueous solution of poly (vinyl alcohol). Polymer 2005, 46, 7557–7562. [Google Scholar] [CrossRef]
- Pan, F.; Peng, F.; Lu, L.; Wang, J.; Jiang, Z. Molecular simulation on penetrants diffusion at the interface region of organic-inorganic hybrid membranes. Chem. Eng. Sci. 2008, 63, 1072–1080. [Google Scholar] [CrossRef]
- Hsu, T.P.; Ma, D.S.; Cohen, C. Effects of inhomogeneities in polyacrylamide gels on thermodynamic and transport properties. Polymer 1983, 24, 1273–1278. [Google Scholar] [CrossRef]
- Tamai, Y.; Tanaka, H.; Nakanishi, K. Molecular dynamics study of polymer − water interaction in hydrogels. 1. Hydrogen-bond structure. Macromolecules 1996, 29, 6750–6760. [Google Scholar] [CrossRef]
- Chou, K.F.; Han, C.C.; Lee, S. Water transport in crosslinked 2-hydroxyethyl methacrylate. Polym. Eng. Sci. 2000, 40, 1004–1014. [Google Scholar] [CrossRef]
- Wu, C.; Xu, W. Atomistic simulation study of absorbed water influence on structure and properties of crosslinked epoxy resin. Polymer 2007, 48, 5440–5448. [Google Scholar] [CrossRef]
- Oldiges, C.; Tönsing, T.; Wittler, K. Molecular dynamics simulation of structural, mobility effects between dilute aqueous CH3CN solution and crosslinked PAA—Part 2. Dynamics. Phys. Chem. Chem. Phys. 2002, 4, 5135–5141. [Google Scholar] [CrossRef]
- Bermejo, J.S.; Ugarte, C.M. Influence of water content on structure and mobility of polyvinyl alcohol: A molecular dynamics simulation. J. Chem. Phys. 2008, 129, 154907. [Google Scholar] [CrossRef]
- Kruse, J.; Kanzow, J.; Ratzke, K.; Faupel, F.; Heuchel, M.; Frahn, J.; Hofmann, D. Free volume in polyimides: Positron annihilation experiments and molecular modeling. Macromolecules 2005, 38, 9638–9643. [Google Scholar] [CrossRef]
- Lee, S.G.; Jang, S.S.; Kim, J.; Kim, G. Distribution and diffusion of water in model epoxy molding compound: Molecular dynamics simulation approach. IEEE Trans. Adv. Packag. 2009, 33, 333–339. [Google Scholar]
- Perova, T.S.; Vij, J.K.; Xu, H. Fourier transform infrared study of poly(2-hydroxyethyl methacrylate) PHEMA. Colloid Polym. Sci. 1997, 275, 323–332. [Google Scholar] [CrossRef]
- Coyle, F.C.; Martin, S.J.; McBrierty, V.J. Dynamics of water molecules in polymers. J. Mol. Liq. 1996, 69, 95–116. [Google Scholar] [CrossRef]
- Filipecka, K.; Miedziński, R.; Sitarz, M.; Filipecki, J.; Makowska-Janusik, M. Optical and vibrational properties of phosphorylcholine-based contact lenses—Experimental and theoretical investigations. Spectrochim. Acta Part A 2017, 176, 83–90. [Google Scholar] [CrossRef] [PubMed]
- Doi, M.; Edwards, S.F. The Theory of Polymer Dynamics; Clarendon Press: Oxford, UK, 1986. [Google Scholar]
- Pan, F.; Peng, F.; Jiang, Z. Diffusion behavior of benzene/cyclohexane molecules in poly (vinyl alcohol)-graphite hybrid membranes by molecular dynamics simulation. Chem. Eng. Sci. 2007, 62, 703–710. [Google Scholar] [CrossRef]
- Sun, D.; Zhou, J. Effect of water content on microstructures and oxygen permeation in PSiMA–IPN–PMPC hydrogel: A molecular simulation study. Chem. Eng. Sci. 2012, 78, 236–245. [Google Scholar] [CrossRef]
- Materials Studio; Version 8.0.100.21; Accelrys Software Inc.: San Diego, CA, USA, 2014.
- Mayo, S.L.; Olafson, B.D.; Goddard, W.A. Dreiding—A generic force-field for molecular simulations. J. Phys. Chem. 1990, 94, 8897–8909. [Google Scholar] [CrossRef]
- Hoover, W. Canonical dynamics: Equilibrium phase-space distributions. Phys. Rev. A 1985, 31, 1695. [Google Scholar] [CrossRef]
- Lan, J.; Du, G. Evaluation of Temperature Elevation in Human Ocular Tissues due to Wireless Eyewear Devices. Appl. Comput. Electromagn. Soc. J. 2019, 34, 17–24. [Google Scholar]
- Tkáčová, M.; Živčák, J.; Foffová, P. A Reference for Human Eye Surface Temperature Measurements in Diagnostic Process of Ophthalmologic Diseases. In Proceedings of the 8th International Conference, Smolenice, Slovakia, 27–30 April 2011. [Google Scholar]
- Efron, N.; Young, G.; Brennan, N.A. Ocular surface temperature. Curr. Eye Res. 1989, 8, 901–906. [Google Scholar]
- Andersen, H.C. Molecular dynamics simulations at constant pressure and/or temperature. J. Chem. Phys. 1980, 72, 2384–2393. [Google Scholar] [CrossRef]
- Padró, J.A.; Saiz, L.; Guàrdia, E. Hydrogen bonding in liquid alcohols: A computer simulation study. J. Mol. Struct. 1997, 416, 243–248. [Google Scholar] [CrossRef]
- Luzar, A.; Chandler, D. Effect of environment on hydrogen bond dynamics in liquid water. Phys. Rev. Lett. 1996, 76, 928–931. [Google Scholar] [CrossRef] [PubMed]
- Connolly, M.L. Computation of molecular volume. J. Am. Chem. Soc. 1985, 107, 1118–1124. [Google Scholar] [CrossRef]
- Peng, F.B.; Jiang, Z.Y.; Hoek, E.M.V. Tuning the molecular structure, separation performance and interfacial properties of poly(vinyl alcohol)-polysulfone interfacial composite membranes. J. Membr. Sci. 2011, 368, 26–33. [Google Scholar] [CrossRef]

















| Polymer | Tg [K] |
|---|---|
| H50 | 425 |
| B37 | 460 |
| B13 | 468 |
| R37 | 450 |
| R13 | 457 |
| Polymer | Water Content by Mass (%) | Number of Water Molecules in the Cell | Unit Cell Edge (Å) |
|---|---|---|---|
| H50 | 0 | 0 | 21.434 |
| 10 | 40 | 22.196 | |
| 20 | 90 | 23.080 | |
| 40 | 241 | 24.592 | |
| 60 | 543 | 29.088 | |
| B37, R37 | 0 | 0 | 21.160 |
| 10 | 39 | 21.922 | |
| 20 | 87 | 22.792 | |
| 40 | 232 | 25.084 | |
| 60 | 522 | 28.712 | |
| B13, R13 | 0 | 0 | 20.635 |
| 10 | 36 | 21.374 | |
| 20 | 81 | 22.232 | |
| 40 | 215 | 24.459 | |
| 60 | 484 | 27.999 |
| Water Content (%) | FFV (%) of the Polymer | ||||
|---|---|---|---|---|---|
| H50 | B37 | B13 | R37 | R13 | |
| 0 | 38.3 | 38.2 | 37.9 | 38.2 | 37.7 |
| 10 | 37.5 | 37.6 | 36.9 | 37.5 | 37.0 |
| 20 | 36.5 | 36.9 | 36.6 | 37.0 | 36.3 |
| 40 | 35.9 | 35.8 | 35.6 | 35.7 | 35.5 |
| 60 | 34.9 | 34.8 | 34.5 | 35.0 | 34.7 |
| Water Content (%) | FFV (%) of the Polymer | ||||
|---|---|---|---|---|---|
| H50 | B37 | B13 | R37 | R13 | |
| 0 | 10.4 | 11.3 | 12.5 | 10.0 | 10.8 |
| 10 | 26.5 | 22.1 | 19.6 | 21.6 | 22.6 |
| 20 | 34.5 | 31.8 | 31.5 | 32.2 | 31.3 |
| 40 | 51.7 | 50.9 | 50.2 | 50.9 | 52.5 |
| 60 | 68.4 | 67.8 | 68.9 | 68.3 | 67.9 |
| Water Content (%) | α (OH3) | ||||
|---|---|---|---|---|---|
| H50 | B37 | R37 | B13 | R13 | |
| 0 | 0.28 | 0.26 | 0.25 | 0.27 | 0.27 |
| 10 | 0.30 | 0.31 | 0.31 | 0.30 | 0.30 |
| 20 | 0.34 | 0.33 | 0.34 | 0.34 | 0.34 |
| 40 | 0.34 | 0.34 | 0.33 | 0.34 | 0.33 |
| 60 | 0.44 | 0.43 | 0.44 | 0.44 | 0.44 |
| Water Content (%) | α (H2O) | ||||
|---|---|---|---|---|---|
| H50 | B37 | R37 | B13 | R13 | |
| 10 | 0.69 | 0.72 | 0.72 | 0.71 | 0.70 |
| 20 | 0.89 | 0.85 | 0.85 | 0.82 | 0.80 |
| 40 | 0.93 | 0.93 | 0.91 | 0.91 | 0.90 |
| 60 | 0.97 | 0.96 | 0.96 | 0.96 | 0.95 |
| Water Content (%) | D ∙ 10−5 [cm2 s−1] | ||||
|---|---|---|---|---|---|
| H50 | B37 | R37 | B13 | R13 | |
| 10 | 1.15 | 1.20 | 1.20 | 1.18 | 1.16 |
| 20 | 1.48 | 1.42 | 1.42 | 1.35 | 1.33 |
| 40 | 1.55 | 1.55 | 1.52 | 1.52 | 1.50 |
| 60 | 1.61 | 1.60 | 1.60 | 1.58 | 1.58 |
Disclaimer/Publisher’s Note: The statements, opinions and data contained in all publications are solely those of the individual author(s) and contributor(s) and not of MDPI and/or the editor(s). MDPI and/or the editor(s) disclaim responsibility for any injury to people or property resulting from any ideas, methods, instructions or products referred to in the content. |
© 2024 by the authors. Licensee MDPI, Basel, Switzerland. This article is an open access article distributed under the terms and conditions of the Creative Commons Attribution (CC BY) license (https://creativecommons.org/licenses/by/4.0/).
Share and Cite
Filipecka-Szymczyk, K.; Makowska-Janusik, M.; Marczak, W. Molecular Dynamics Simulations of HEMA-Based Hydrogels for Ophthalmological Applications. Molecules 2024, 29, 5784. https://doi.org/10.3390/molecules29235784
Filipecka-Szymczyk K, Makowska-Janusik M, Marczak W. Molecular Dynamics Simulations of HEMA-Based Hydrogels for Ophthalmological Applications. Molecules. 2024; 29(23):5784. https://doi.org/10.3390/molecules29235784
Chicago/Turabian StyleFilipecka-Szymczyk, Katarzyna, Malgorzata Makowska-Janusik, and Wojciech Marczak. 2024. "Molecular Dynamics Simulations of HEMA-Based Hydrogels for Ophthalmological Applications" Molecules 29, no. 23: 5784. https://doi.org/10.3390/molecules29235784
APA StyleFilipecka-Szymczyk, K., Makowska-Janusik, M., & Marczak, W. (2024). Molecular Dynamics Simulations of HEMA-Based Hydrogels for Ophthalmological Applications. Molecules, 29(23), 5784. https://doi.org/10.3390/molecules29235784

