Insight into Oil-in-Water Emulsions Stabilized by Cross-Linked and Pregelatinized Starches: The Effect of Molecular Structure, Surface Activity and Proton Molecular Dynamics
Abstract
1. Introduction
- –
- acetylated starch: starch–O–CO–O–CH3,
- –
- distarch phosphate: starch–O–PO2–O–starch;
- –
- distarch adipate: starch–O–CO–(CH2)4–CO–O–starch.
2. Results and Discussion
2.1. Stability of Formed Emulsions
2.2. Rheological Properties of Emulsions
2.3. Molecular Dynamics of Emulsions
2.4. Molecular Structure of Starch Preparations
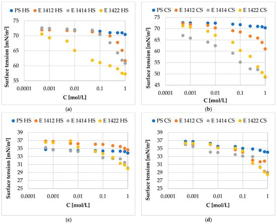
2.5. Surface Activity of Starch Preparations
3. Materials and Methods
3.1. Materials
- Distarch phosphate E1412;
- Acetylated distarch phosphate E1414;
- Acetylated distarch adipate E1422.
3.2. Emulsion Preparation
3.3. Methods
3.3.1. Creaming Index
3.3.2. Colour Measurements
3.3.3. Rotational Rheometry
3.3.4. Low Field NMR
3.3.5. Size Exclusion Chromatography
3.3.6. Surface Properties
3.3.7. Statistical Analysis
4. Conclusions
Author Contributions
Funding
Institutional Review Board Statement
Informed Consent Statement
Data Availability Statement
Conflicts of Interest
References
- Tan, C.; McClements, D.J. Application of Advanced Emulsion Technology in the Food Industry: A Review and Critical Evaluation. Foods 2021, 10, 812. [Google Scholar] [CrossRef]
- McClements, D.J.; Jafari, S.M. Improving Emulsion Formation, Stability and Performance Using Mixed Emulsifiers: A Review. Adv. Colloid Interface Sci. 2018, 251, 55–79. [Google Scholar] [CrossRef] [PubMed]
- Dickinson, E. Hydrocolloids as Emulsifiers and Emulsion Stabilizers. Food Hydrocoll. 2009, 23, 1473–1482. [Google Scholar] [CrossRef]
- Tamang, N.; Shrestha, P.; Khadka, B.; Mondal, M.H.; Saha, B.; Bhattarai, A. A Review of Biopolymers’ Utility as Emulsion Stabilizers. Polymers 2022, 14, 127. [Google Scholar] [CrossRef] [PubMed]
- Waterschoot, J.; Gomand, S.V.; Fierens, E.; Delcour, J.A. Production, Structure, Physicochemical and Functional Properties of Maize, Cassava, Wheat, Potato and Rice Starches. Starch Stärke 2015, 67, 14–29. [Google Scholar] [CrossRef]
- Ashogbon, A.O.; Akintayo, E.T. Recent Trend in the Physical and Chemical Modification of Starches from Different Botanical Sources: A Review. Starch Stärke 2014, 66, 41–57. [Google Scholar] [CrossRef]
- Singh, J.; Kaur, L.; McCarthy, O.J. Factors Influencing the Physico-Chemical, Morphological, Thermal and Rheological Properties of Some Chemically Modified Starches for Food Applications—A Review. Food Hydrocoll. 2007, 21, 1–22. [Google Scholar] [CrossRef]
- Kumari, B.; Sit, N. Comprehensive Review on Single and Dual Modification of Starch: Methods, Properties and Applications. Int. J. Biol. Macromol. 2023, 253, 126952. [Google Scholar] [CrossRef]
- Shabir, I.; Dar, A.H.; Dash, K.K.; Srivastava, S.; Pandey, V.K.; Manzoor, S.; Manzoor, S.; Bashir, I. Formulation, Characterization, and Applications of Organic Pickering Emulsions: A Comprehensive Review. J. Agric. Food Res. 2023, 14, 100853. [Google Scholar] [CrossRef]
- Almeida, R.L.J.; Monteiro, S.S.; Santos, N.C.; Rios, N.S.; dos Santos, E.S. Starch Modification and Its Application in Pickering Emulsion Stabilization: A Review. J. Food Meas. Charact. 2024, 18, 4984–5003. [Google Scholar] [CrossRef]
- Wang, R.; Li, M.; Liu, M.; Wang, A.; Strappe, P.; Blanchard, C.; Zhou, Z. Characterization of Pickering Emulsion by SCFAs-Modified Debranched Starch and a Potent for Delivering Encapsulated Bioactive Compound. Int. J. Biol. Macromol. 2023, 231, 123164. [Google Scholar] [CrossRef]
- Abdul Hadi, N.; Marefati, A.; Matos, M.; Wiege, B.; Rayner, M. Characterization and Stability of Short-Chain Fatty Acids Modified Starch Pickering Emulsions. Carbohydr. Polym. 2020, 240, 116264. [Google Scholar] [CrossRef] [PubMed]
- Mcclements, D.J. Critical Review of Techniques and Methodologies for Characterization of Emulsion Stability. Crit. Rev. Food Sci. Nutr. 2007, 47, 611–649. [Google Scholar] [CrossRef] [PubMed]
- Kupikowska-Stobba, B.; Domagała, J.; Kasprzak, M.M. Critical Review of Techniques for Food Emulsion Characterization. Appl. Sci. 2024, 14, 1069. [Google Scholar] [CrossRef]
- Tang, F.; Vasas, M.; Hatzakis, E.; Spyros, A. Chapter Five—Magnetic Resonance Applications in Food Analysis. In Annual Reports on NMR Spectroscopy; Webb, G.A., Ed.; Academic Press: Cambridge, MA, USA, 2019; Volume 98, pp. 239–306. ISBN 0066-4103. [Google Scholar]
- Blümich, B. Introduction to Compact NMR: A Review of Methods. TrAC Trends Anal. Chem. 2016, 83, 2–11. [Google Scholar] [CrossRef]
- Blümich, B. Low-Field and Benchtop NMR. J. Magn. Reson. 2019, 306, 27–35. [Google Scholar] [CrossRef]
- Abrami, M.; Chiarappa, G.; Farra, R.; Grassi, G.; Marizza, P.; Grassi, M. Use of Low Field NMR for the Characterization of Gels and Biological Tissues. ADMET DMPK 2018, 6, 34–46. [Google Scholar] [CrossRef]
- Baranowska, H.M.; Rezler, R. Emulsions Stabilized Using Potato Starch. Food Sci. Biotechnol. 2015, 24, 1187–1191. [Google Scholar] [CrossRef]
- Punia Bangar, S.; Sunooj, K.V.; Navaf, M.; Phimolsiripol, Y.; Whiteside, W.S. Recent Advancements in Cross-Linked Starches for Food Applications—A Review. Int. J. Food Prop. 2024, 27, 411–430. [Google Scholar] [CrossRef]
- Zeng, X.; Chen, H.; Chen, L.; Zheng, B. Insights into the Relationship between Structure and Rheological Properties of Starch Gels in Hot-Extrusion 3D Printing. Food Chem. 2021, 342, 128362. [Google Scholar] [CrossRef] [PubMed]
- Xie, F.; Halley, P.J.; Avérous, L. Rheology to Understand and Optimize Processibility, Structures and Properties of Starch Polymeric Materials. Prog. Polym. Sci. 2012, 37, 595–623. [Google Scholar] [CrossRef]
- Makowska, A.; Dwiecki, K.; Kubiak, P.; Baranowska, H.M.; Lewandowicz, G. Polymer-Solvent Interactions in Modified Starches Pastes–Electrokinetic, Dynamic Light Scattering, Rheological and Low Field Nuclear Magnetic Resonance Approach. Polymers 2022, 14, 2977. [Google Scholar] [CrossRef] [PubMed]
- Thanh-Blicharz, J.L.; Lewandowicz, J. Functionality of Native Starches in Food Systems: Cluster Analysis Grouping of Rheological Properties in Different Product Matrices. Foods 2020, 9, 1073. [Google Scholar] [CrossRef] [PubMed]
- Lewandowicz, J.; Le Thanh-Blicharz, J.; Szwengiel, A. The Effect of Chemical Modification on the Rheological Properties and Structure of Food Grade Modified Starches. Processes 2022, 10, 938. [Google Scholar] [CrossRef]
- Lewandowicz, J.; Le Thanh-Blicharz, J.; Szwengiel, A. Insight into Rheological Properties and Structure of Native Waxy Starches: Cluster Analysis Grouping. Molecules 2024, 29, 2669. [Google Scholar] [CrossRef] [PubMed]
- Sinhmar, A.; Pathera, A.K.; Sharma, S.; Nehra, M.; Thory, R.; Nain, V. Impact of Various Modification Methods on Physicochemical and Functional Properties of Starch: A Review. Starch Stärke 2023, 75, 2200117. [Google Scholar] [CrossRef]
- He, R.; Li, S.; Zhao, G.; Zhai, L.; Qin, P.; Yang, L. Starch Modification with Molecular Transformation, Physicochemical Characteristics, and Industrial Usability: A State-of-the-Art Review. Polymers 2023, 15, 2935. [Google Scholar] [CrossRef] [PubMed]
- Koshenaj, K.; Ferrari, G. A Comprehensive Review on Starch-Based Hydrogels: From Tradition to Innovation, Opportunities, and Drawbacks. Polymers 2024, 16, 1991. [Google Scholar] [CrossRef] [PubMed]
- Prochaska, K.; Kędziora, P.; Le Thanh, J.; Lewandowicz, G. Surface Activity of Commercial Food Grade Modified Starches. Colloids Surf. B Biointerfaces 2007, 60, 187–194. [Google Scholar] [CrossRef] [PubMed]
- Konował, E.; Lewandowicz, G.; Le Thanh-Blicharz, J.; Prochaska, K. Physicochemical Characterisation of Enzymatically Hydrolysed Derivatives of Acetylated Starch. Carbohydr. Polym. 2012, 87, 1333–1341. [Google Scholar] [CrossRef]
- FAO. FAO and WHO Compendium of Food Additive Specifications. In Joint FAO/WHO Expert Committee on Food (JECFA), Proceedings of the 86th Meeting, Geneva, Switzerland, Italy, 12–21 June 2018; FAO JECFA Monographs 22: Rome, Italy, 2018; ISBN 9789251311004. [Google Scholar]
- EFSA Panel on Food Additives and Nutrient Sources added to Food (ANS); Mortensen, A.; Aguilar, F.; Crebelli, R.; Di Domenico, A.; Dusemund, B.; Frutos, M.J.; Galtier, P.; Gott, D.; Gundert-Remy, U.; et al. Re-Evaluation of Oxidised Starch (E 1404), Monostarch Phosphate (E 1410), Distarch Phosphate (E 1412), Phosphated Distarch Phosphate (E 1413), Acetylated Distarch Phosphate (E 1414), Acetylated Starch (E 1420), Acetylated Distarch Adipate (E 1422), Hydroxypropyl Starch (E 1440), Hydroxypropyl Distarch Phosphate (E 1442), Starch Sodium Octenyl Succinate (E 1450), Acetylated Oxidised Starch (E 1451) and Starch Aluminium Octenyl Succinate (E 1452) as Food Additives. EFSA J. 2017, 15, e04911. [Google Scholar] [CrossRef]
- Cornejo-Ramírez, Y.I.; Martínez-Cruz, O.; Del Toro-Sánchez, C.L.; Wong-Corral, F.J.; Borboa-Flores, J.; Cinco-Moroyoqui, F.J. The Structural Characteristics of Starches and Their Functional Properties. CyTA J. Food 2018, 16, 1003–1017. [Google Scholar] [CrossRef]
- Zia-ud-Din; Xiong, H.; Fei, P. Physical and Chemical Modification of Starches: A Review. Crit. Rev. Food Sci. Nutr. 2017, 57, 2691–2705. [Google Scholar] [CrossRef] [PubMed]
- Park, S.; Kim, Y.-R. Clean Label Starch: Production, Physicochemical Characteristics, and Industrial Applications. Food Sci. Biotechnol. 2021, 30, 1–17. [Google Scholar] [CrossRef] [PubMed]
- Grant, K.R.; Gallardo, R.K.; McCluskey, J.J. Consumer Preferences for Foods with Clean Labels and New Food Technologies. Agribusiness 2021, 37, 764–781. [Google Scholar] [CrossRef]
- Nakorn, K.N.; Tongdang, T.; Sirivongpaisal, P. Crystallinity and Rheological Properties of Pregelatinized Rice Starches Differing in Amylose Content. Starch Stärke 2009, 61, 101–108. [Google Scholar] [CrossRef]
- Anastasiades, A.; Thanou, S.; Loulis, D.; Stapatoris, A.; Karapantsios, T.D. Rheological and Physical Characterization of Pregelatinized Maize Starches. J. Food Eng. 2002, 52, 57–66. [Google Scholar] [CrossRef]
- Adedokun, M.O.; Itiola, O.A. Material Properties and Compaction Characteristics of Natural and Pregelatinized Forms of Four Starches. Carbohydr. Polym. 2010, 79, 818–824. [Google Scholar] [CrossRef]
- Lewandowicz, G. Physical Modification of Starch—Really Physical? In Proceedings of the 13th International Conference on Polysaccharides-Glycoscience, Prague, Czech Republic, 8–11 November 2017; Rapkova, R., Copikova, J., Sarka, E., Eds.; Czech Chemical Society: Prague, Czech Republic, 2017; pp. 9–14. [Google Scholar]
- Hedayati, S.; Shahidi, F.; Koocheki, A.; Farahnaky, A.; Majzoobi, M. Influence of Pregelatinized and Granular Cold Water Swelling Maize Starches on Stability and Physicochemical Properties of Low Fat Oil-in-Water Emulsions. Food Hydrocoll. 2020, 102, 105620. [Google Scholar] [CrossRef]
- Małyszek, Z.; Lewandowicz, J.; Le Thanh-Blicharz, J.; Walkowiak, K.; Kowalczewski, P.Ł.; Baranowska, H.M. Water Behavior of Emulsions Stabilized by Modified Potato Starch. Polymers 2021, 13, 2200. [Google Scholar] [CrossRef] [PubMed]
- Mirzaaghaei, M.; Nasirpour, A.; Keramat, J.; Goli, S.A.H.; Dinari, M.; Desobry, S. Influence of Fatty Acid-Esterified Waxy Maize Starch Type and Concentration on Stability and Properties of Oil-in-Water Emulsions. Int. J. Biol. Macromol. 2023, 233, 123526. [Google Scholar] [CrossRef]
- Thaiwong, N.; Thaiudom, S. Stability of Oil-in-Water Emulsion Influenced by the Interaction of Modified Tapioca Starch and Milk Protein. Int. J. Dairy Technol. 2021, 74, 307–315. [Google Scholar] [CrossRef]
- Saari, H.; Wahlgren, M.; Rayner, M.; Sjöö, M.; Matos, M. A Comparison of Emulsion Stability for Different OSA-Modified Waxy Maize Emulsifiers: Granules, Dissolved Starch, and Non-Solvent Precipitates. PLoS ONE 2019, 14, e0210690. [Google Scholar] [CrossRef] [PubMed]
- Hong, L.-F.; Cheng, L.-H.; Gan, C.-Y.; Lee, C.Y.; Peh, K.K. Evaluation of Starch Propionate as Emulsion Stabiliser in Comparison with Octenylsuccinate Starch. LWT 2018, 91, 526–531. [Google Scholar] [CrossRef]
- Cheong, K.W.; Mirhosseini, H.; Hamid, N.S.A.; Osman, A.; Basri, M.; Tan, C.P. Effects of Propylene Glycol Alginate and Sucrose Esters on the Physicochemical Properties of Modified Starch-Stabilized Beverage Emulsions. Molecules 2014, 19, 8691–8706. [Google Scholar] [CrossRef] [PubMed]
- Bortnowska, G.; Balejko, J.; Schube, V.; Tokarczyk, G.; Krzemińska, N.; Mojka, K. Stability and Physicochemical Properties of Model Salad Dressings Prepared with Pregelatinized Potato Starch. Carbohydr. Polym. 2014, 111, 624–632. [Google Scholar] [CrossRef]
- Bortnowska, G.; Balejko, J.; Tokarczyk, G.; Romanowska-Osuch, A.; Krzemińska, N. Effects of Pregelatinized Waxy Maize Starch on the Physicochemical Properties and Stability of Model Low-Fat Oil-in-Water Food Emulsions. Food Hydrocoll. 2014, 36, 229–237. [Google Scholar] [CrossRef]
- McClements, D.J. Theoretical Prediction of Emulsion Color. Adv. Colloid Interface Sci. 2002, 97, 63–89. [Google Scholar] [CrossRef] [PubMed]
- Zhu, Y.; Gao, H.; Liu, W.; Zou, L.; McClements, D.J. A Review of the Rheological Properties of Dilute and Concentrated Food Emulsions. J. Texture Stud. 2020, 51, 45–55. [Google Scholar] [CrossRef]
- Costa, H.C.B.; Arouca, F.O.; Silva, D.O.; Vieira, L.G.M. Study of Rheological Properties of Açai Berry Pulp: An Analysis of Its Time-Dependent Behavior and the Effect of Temperature. J. Biol. Phys. 2018, 44, 557–577. [Google Scholar] [CrossRef] [PubMed]
- Park, S.; Chung, M.-G.; Yoo, B. Effect of Octenylsuccinylation on Rheological Properties of Corn Starch Pastes. Starch Stärke 2004, 56, 399–406. [Google Scholar] [CrossRef]
- Mohamed, A.A.; Alqah, H.; Alamri, M.S.; Hussain, S.; Qasem, A.A.; Ibraheem, M.I.; Yehia, H.M.; Shamlan, G. Physicochemical Properties of Enzymatically Modified Starches. Processes 2021, 9, 2251. [Google Scholar] [CrossRef]
- Szwengiel, A.; Kubiak, P. Molecular Dispersion of Starch as a Crucial Parameter during Size-Exclusion Chromatography. Foods 2020, 9, 1204. [Google Scholar] [CrossRef] [PubMed]
- Gidley, M.J.; Hanashiro, I.; Hani, N.M.; Hill, S.E.; Huber, A.; Jane, J.-L.; Liu, Q.; Morris, G.A.; Rolland-Sabaté, A.; Striegel, A.M.; et al. Reliable Measurements of the Size Distributions of Starch Molecules in Solution: Current Dilemmas and Recommendations. Carbohydr. Polym. 2010, 79, 255–261. [Google Scholar] [CrossRef]
- Gilbert, R.G.; Gidley, M.J.; Hill, S.; Kilz, P.; Rolland-Sabaté, A.; Stevenson, D.G.; Cave, R.A. Characterizing the Size and Molecular Weight Distribution of Starch: Why It Is Important and Why It Is Hard. Cereal Foods World 2010, 55, 139–143. [Google Scholar] [CrossRef]
- Lawal, M.V.; Odeniyi, M.A.; Itiola, O.A. Material and Rheological Properties of Native, Acetylated, and Pregelatinized Forms of Corn, Cassava, and Sweet Potato Starches. Starch Stärke 2015, 67, 964–975. [Google Scholar] [CrossRef]
- Zhang, Y.; Huang, Z.; Yang, C.; Huang, A.; Hu, H.; Gong, Z.; Sun, G.; Huang, K. Material Properties of Partially Pregelatinized Cassava Starch Prepared by Mechanical Activation. Starch Stärke 2013, 65, 461–468. [Google Scholar] [CrossRef]
- Szwengiel, A.; Kowalczewski, P.Ł.; Wielich, F.; Małyszek, Z.; Le Thanh-Blicharz, J.; Lewandowicz, G. Changes in the Rheological Properties and Structure of Potato Starch upon Hydrothermal Treatment. In Proceedings of the 15th International Conference on Polysaccharides-Glycoscience 2019, Prague, Czech Republic, 13–15 November 2019; Řápková, R., Hinková, A., Čopíková, J., Šárka, E., Eds.; Czech Chemical Society: Prague, Czech Republic, 2019; pp. 37–41. [Google Scholar]
- López-Franco, Y.L.; Valdez, M.A.; Hernández, J.; Calderón de la Barca, A.M.; Rinaudo, M.; Goycoolea, F.M. Macromolecular Dimensions and Mechanical Properties of Monolayer Films of Sonorean Mesquite Gum. Macromol. Biosci. 2004, 4, 865–874. [Google Scholar] [CrossRef] [PubMed]
- Wolff, D.; Czapla, S.; Heyer, A.G.; Radosta, S.; Mischnick, P.; Springer, J. Globular Shape of High Molar Mass Inulin Revealed by Static Light Scattering and Viscometry. Polymer 2000, 41, 8009–8016. [Google Scholar] [CrossRef]
- Szwengiel, A.; Le Thanh-Blicharz, J.; Lewandowicz, G. Molecular Structure of Acetyleted Starches with Different Degree of Substitution. In Proceedings of the 13th International Conference on Polysaccharides-Glycoscience, Prague, Czech Republic, 8–11 November 2017; Řápková, R., Čopíková, J., Šárka, E., Eds.; Czech Chemical Society: Prague, Czech Republic, 2017; pp. 180–182. [Google Scholar]
- Nilsson, L.; Bergenståhl, B. Adsorption of Hydrophobically Modified Anionic Starch at Oppositely Charged Oil/Water Interfaces. J. Colloid Interface Sci. 2007, 308, 508–513. [Google Scholar] [CrossRef] [PubMed]
- Konował, E.; Sulej-Chojnacka, J.; Prochaska, K. New Derivatives of Modified Starch for Food Technology. Molecules 2024, 29, 3292. [Google Scholar] [CrossRef]
- Zahn, S.; Otto, C.; Rohm, H. Laminar Flow Cleaning of Gelatinised, Partially Hydrolysed Starch. Int. J. Food Sci. Technol. 2020, 55, 769–775. [Google Scholar] [CrossRef]
- Li, W.; Zhang, Z.; Wu, J.; Xu, Z.; Liu, Z. Phosphorylation/Caproylation of Cornstarch to Improve Its Adhesion to PLA and Cotton Fibers. RSC Adv. 2019, 9, 34880–34887. [Google Scholar] [CrossRef] [PubMed]
- Wiącek, A.E.; Furmaniuk, A. Starch-Based Polysaccharide Systems with Bioactive Substances: Physicochemical and Wettability Characteristics. Int. J. Mol. Sci. 2024, 25, 4590. [Google Scholar] [CrossRef] [PubMed]
- El Farkhani, M.; Dadou, S.; El Miz, Y.; Elyoussfi, A.; El Miz, M.; Salhi, A.; Koudad, M.; Benchat, N. A Review of the Chemical Modification and Applications of Starch. BIO Web Conf. 2024, 109, 01020. [Google Scholar] [CrossRef]
- Acton, J.C.; Saffle, R.L. Stability of Oil-in-Water Emulsions. 1. Effects of Surface Tension, Level of Oil, Viscosity and Type of Meat Protein. J. Food Sci. 1970, 35, 852–855. [Google Scholar] [CrossRef]
- Akmarov, K.A.; Lapshov, S.N.; Sherstobitova, A.S.; Yasʼkov, A.D. Optical properties of aqueous solutions of dimethyl sulfoxide and application of refractometry for monitoring their composition. J. Appl. Spectrosc. 2013, 80, 610–614. [Google Scholar] [CrossRef]
- Rusanov, A.I.; Prokhorov, V.A. Studies in Interface Science; Rusanov, A.I., Prokhorov, V.A., Eds.; Elsevier: Amsterdam, The Netherlands, 1996; Volume 3, ISBN 1383-7303. [Google Scholar]






| L (Whiteness) | a (Red–Green Balance) | b (Yellow–Blue Balance) | WI (%) | |
|---|---|---|---|---|
| PS HS | 66.85 | −1.89 | 0.54 | 72.7 |
| PS CS | 67.04 | −1.97 | 0.42 | 67.0 |
| E1412 HS | 69.59 | −2.48 | 1.94 | 69.4 |
| E1412 CS | 72.71 | −2.46 | 1.30 | 72.6 |
| E1414 HS | 83.85 | −2.88 | 2.43 | 83.4 |
| E1414 CS | 85.07 | −2.87 | 1.41 | 84.7 |
| E1422 HS | 86.74 | −3.19 | 2.36 | 86.2 |
| E1422 CS | 85.52 | −3.13 | 1.83 | 85.1 |
| Consistency Index K [Pa·sn] | Flow Behaviour Index n [−] | Thixotropy [Pa·s−1] | Flow Activation Energy E [J·mol−1] | |||||
|---|---|---|---|---|---|---|---|---|
| HS | CS | HS | CS | HS | CS | HS | CS | |
| PS | 1.37 | 4.32 | 0.8504 | 0.6824 | 19,480 | 57,465 | 216.1 | 230.1 |
| E1412 | 32.48 | 4.05 | 0.3579 | 0.7108 | −29,212 | 63,705 | 162.7 | 245.0 |
| E1414 | 21.62 | 10.81 | 0.5593 | 0.6572 | 23,260 | 5960 | 278.3 | 293.1 |
| E1422 | 11.66 | 3.48 | 0.6342 | 0.7974 | 15,365 | −18,305 | 257.3 | 274.8 |
| Short Component of the Spin-Lattice Relaxation Time T11 | Short Component of the Spin-Spin Relaxation Time T21 | Long Component of the Spin-Lattice Relaxation Time T12 | Long Component of the Spin-Spin Relaxation Time T22 | |||||
|---|---|---|---|---|---|---|---|---|
| 2 h | 24 h | 2 h | 24 h | 2 h | 24 h | 2 h | 24 h | |
| PS HS | 57.8 ± 0.9 | 79.2 ± 0.7 | 54.5 ± 3.7 | 69.9 ± 5.6 | 805.7 ± 6.1 | 829.2 ± 2.7 | 502.5 ± 6.2 | 451.1 ± 6.8 |
| PS CS | 60.9 ± 0.9 | 75.2 ± 2.0 | 39.2 ± 8.5 | 44.8 ± 5.2 | 841.8 ± 4.3 | 847.1 ± 1.1 | 460.5 ± 1.7 | 466.8 ± 5.9 |
| E1412 HS | 67.5 ± 0.9 | 64.1 ± 0.7 | 55.9 ± 3.8 | 39.3 ± 2.9 | 858.1 ± 6.0 | 840.1 ± 5.0 | 455.5 ± 6.1 | 394.2 ± 4.3 |
| E1412 CS | 71.5 ± 1.2 | 68.1 ± 2.1 | 57.9 ± 4.1 | 54.5 ± 2.2 | 827.7 ± 4.7 | 820.1 ± 3.1 | 395.1 ± 4.2 | 394.8 ± 1.5 |
| E1414 HS | 74.3 ± 0.6 | 69.1 ± 0.7 | 66.3 ± 4.9 | 58.9 ± 4.2 | 884.8 ± 2.9 | 829.2 ± 2.7 | 532.4 ± 5.8 | 522.1 ± 6.8 |
| E1414 CS | 66.7 ± 1.2 | 65.5 ± 1.2 | 53.6 ± 8.4 | 50.3 ± 1.5 | 850.5 ± 5.9 | 858.8 ± 9.9 | 510.5 ± 1.7 | 559.1 ± 2.7 |
| E1422 HS | 67.0 ± 0.5 | 65.8 ± 0.5 | 47.9 ± 8.0 | 490. ± 3.3 | 881.6 ± 3.6 | 862.4 ± 2.2 | 525.7 ± 2.0 | 536.3 ± 4.2 |
| E1422 CS | 670. ± 0.8 | 65.3 ± 1.2 | 49.9 ± 2.7 | 49.7 ± 3.4 | 866.5 ± 3.6 | 855.4 ± 3.3 | 559.9 ± 6.7 | 561.5 ± 4.4 |
| Potato Starch | E1412 | E1414 | E1422 | |||||
|---|---|---|---|---|---|---|---|---|
| Parameter | HS | CS | HS | CS | HS | CS | HS | CS |
| Mn [Dalton] | 2.52 × 106 ± 3.61 × 105 | 6.46 × 106 ± 5.04 × 105 | 1.74 × 107 ± 2.25 × 106 | 1.08 × 107 ± 1.31 × 106 | 7.74 × 106 ± 1.55 × 105 | 3.68 × 106 ± 1.68 × 105 | 1.52 × 107 ± 4.53 × 106 | 1.27 × 107 ± 1.53 × 106 |
| Mw [Dalton] | 2.87 × 107 ± 7.71 × 105 | 4.20 × 107 ± 1.23 × 106 | 4.22 × 107 ± 1.36 × 106 | 4.57 × 107 ± 1.07 × 106 | 3.24 × 107 ± 1.20 × 105 | 3.48 × 107 ± 1.01 × 106 | 3.14 × 107 ± 2.23 × 106 | 3.72 × 107 ± 9.12 × 105 |
| Mz [Dalton] | 6.10 × 108 ± 6.43 × 106 | 9.99 × 107 ± 4.36 × 106 | 9.18 × 107 ± 2.29 × 107 | 9.59 × 107 ± 7.93 × 106 | 6.13 × 107 ± 1.46 × 106 | 9.27 × 107 ± 8.94 × 106 | 5.15 × 107 ± 4.44 × 106 | 6.16 × 107 ± 5.62 × 106 |
| Mw/Mn | 11.52 ± 1.95 ab | 6.51 ± 0.32 ab | 2.46 ± 0.40 ab | 4.28 ± 0.62 ab | 4.19 ± 0.07 ab | 9.48 ± 0.71 ab | 2.14 ± 0.49 a | 2.95 ± 0.43 ab |
| Intrinsic viscosity [IV] [dl/g] | 1.407 ± 0.044 c | 0.935 ± 0.097 ab | 1.130 ± 0.219 abc | 1.068 ± 0.052 abc | 1.372 ± 0.007 c | 0.825 ± 0.055 a | 1.343 ± 0.057 c | 1.385 ± 0.038 c |
| Hydrodynamic radius Rh—[nm] | 79 ± 2 c | 77 ± 4 bc | 85 ± 2 cd | 82 ± 0 cd | 80 ± 0 cd | 66 ± 0 ab | 83 ± 1 cd | 87 ± 1 d |
| Radius of gyration Rg—[nm] | 96 ± 6 b | 166 ± 2 cde | 187 ± 0 cde | 227 ± 10 f | 197 ± 9 cdef | 214 ± 22 ef | 212 ± 15 ef | 149 ± 5 cd |
| Rg/Rh | 1.22 ± 0.10 ab | 2.15 ± 0.13 bcde | 2.19 ± 0.06 e | 2.76 ± 0.12 abcd | 2.46 ± 0.11 e | 3.24 ± 0.30 abcde | 2.56 ± 0.15 cde | 1.72 ± 0.08 de |
| Mark–Houwink α | 0.279 ± 0.073 ab | 0.376 ± 0.004 bcde | 0.459 ± 0.010 e | 0.305 ± 0.011 abcd | 0.446 ± 0.001 e | 0.362 ± 0.016 abcde | 0.389 ± 0.016 cde | 0.406 ± 0.037 de |
| Number of branching | 1010 ± 56 b | 3387 ± 145 c | 2481 ± 347 e | 3322 ± 4 bc | 1488 ± 68 e | 3558 ± 171 c | 1629 ± 186 d | 1736 ± 155 e |
| Starch | Gibbs Free Energy of Adsorption –ΔGads [kJ/mol] | Surface Excess Γ∞ × 107 [mol/m2] | Surface Area Per Macromolecule in the Saturated Adsorption Monolayer Amin × 1018 [nm2] | Szyszkowski Isotherm Coefficient Asz [mol/dm3] | Szyszkowski Isotherm Coefficient Bsz [–] |
|---|---|---|---|---|---|
| potato HS | 31.37 | 1.03 | 16.14 | 0.000003 | 0.0034 |
| potato CS | 28.02 | 1.14 | 14.52 | 0.000012 | 0.0038 |
| E1412 HS | 3.50 | 0.27 | 0.61 | 0.243 | 0.091 |
| E1412 CS | 15.93 | 6.57 | 2.53 | 0.0016 | 0.022 |
| E1414 HS | 5.46 | 0.23 | 0.72 | 0.11 | 0.078 |
| E1414 CS | 24.15 | 0.10 | 1.66 | 0.00005 | 0.034 |
| E1422 HS | 22.85 | 7.35 | 2.26 | 0.0001 | 0.025 |
| E1422 CS | 14.75 | 0.16 | 1.04 | 0.0026 | 0.054 |
| Starch | Gibbs Free Energy of Adsorption –ΔGads [kJ/mol] | Surface Excess Γ∞ × 107 [mol/m2] | Surface Area Per Macromolecule in the Saturated Adsorption Monolayer Amin × 1018 [nm2] | Szyszkowski Isotherm Coefficient Asz [mol/dm3] | Szyszkowski Isotherm Coefficient Bsz [−] |
|---|---|---|---|---|---|
| Potato HS | 26.44 | 32.08 | 51.76 | 0.00002 | 0.0023 |
| Potato CS | 18.40 | 1.53 | 10.87 | 0.0006 | 0.01 |
| E1412 HS | 17.72 | 1.07 | 15.55 | 0.0008 | 0.0072 |
| E1412 CS | 12.13 | 5.40 | 3.08 | 0.0074 | 0.036 |
| E1414 HS | 24.97 | 2.22 | 7.49 | 0.00004 | 0.015 |
| E1414 CS | 18.95 | 3.70 | 4.49 | 0.0005 | 0.025 |
| E1422 HS | 11.46 | 5.80 | 2.86 | 0.0097 | 0.039 |
| E1422 CS | 8.32 | 0.10 | 1.64 | 0.035 | 0.068 |
Disclaimer/Publisher’s Note: The statements, opinions and data contained in all publications are solely those of the individual author(s) and contributor(s) and not of MDPI and/or the editor(s). MDPI and/or the editor(s) disclaim responsibility for any injury to people or property resulting from any ideas, methods, instructions or products referred to in the content. |
© 2024 by the authors. Licensee MDPI, Basel, Switzerland. This article is an open access article distributed under the terms and conditions of the Creative Commons Attribution (CC BY) license (https://creativecommons.org/licenses/by/4.0/).
Share and Cite
Le Thanh-Blicharz, J.; Lewandowicz, J.; Szwengiel, A.; Prochaska, K.; Baranowska, H.M.; Lewandowicz, G. Insight into Oil-in-Water Emulsions Stabilized by Cross-Linked and Pregelatinized Starches: The Effect of Molecular Structure, Surface Activity and Proton Molecular Dynamics. Molecules 2024, 29, 5626. https://doi.org/10.3390/molecules29235626
Le Thanh-Blicharz J, Lewandowicz J, Szwengiel A, Prochaska K, Baranowska HM, Lewandowicz G. Insight into Oil-in-Water Emulsions Stabilized by Cross-Linked and Pregelatinized Starches: The Effect of Molecular Structure, Surface Activity and Proton Molecular Dynamics. Molecules. 2024; 29(23):5626. https://doi.org/10.3390/molecules29235626
Chicago/Turabian StyleLe Thanh-Blicharz, Joanna, Jacek Lewandowicz, Artur Szwengiel, Krystyna Prochaska, Hanna Maria Baranowska, and Grażyna Lewandowicz. 2024. "Insight into Oil-in-Water Emulsions Stabilized by Cross-Linked and Pregelatinized Starches: The Effect of Molecular Structure, Surface Activity and Proton Molecular Dynamics" Molecules 29, no. 23: 5626. https://doi.org/10.3390/molecules29235626
APA StyleLe Thanh-Blicharz, J., Lewandowicz, J., Szwengiel, A., Prochaska, K., Baranowska, H. M., & Lewandowicz, G. (2024). Insight into Oil-in-Water Emulsions Stabilized by Cross-Linked and Pregelatinized Starches: The Effect of Molecular Structure, Surface Activity and Proton Molecular Dynamics. Molecules, 29(23), 5626. https://doi.org/10.3390/molecules29235626

