Synthesis, Crystal Structures, Antimicrobial Activity, and Acute Toxicity Evaluation of Chiral Zn(II) Schiff Base Complexes
Abstract
1. Introduction
2. Results and Discussion
2.1. Syntheses and Identification by Mass Spectrometry and IR Spectroscopy
2.2. Characterization by NMR Spectroscopy
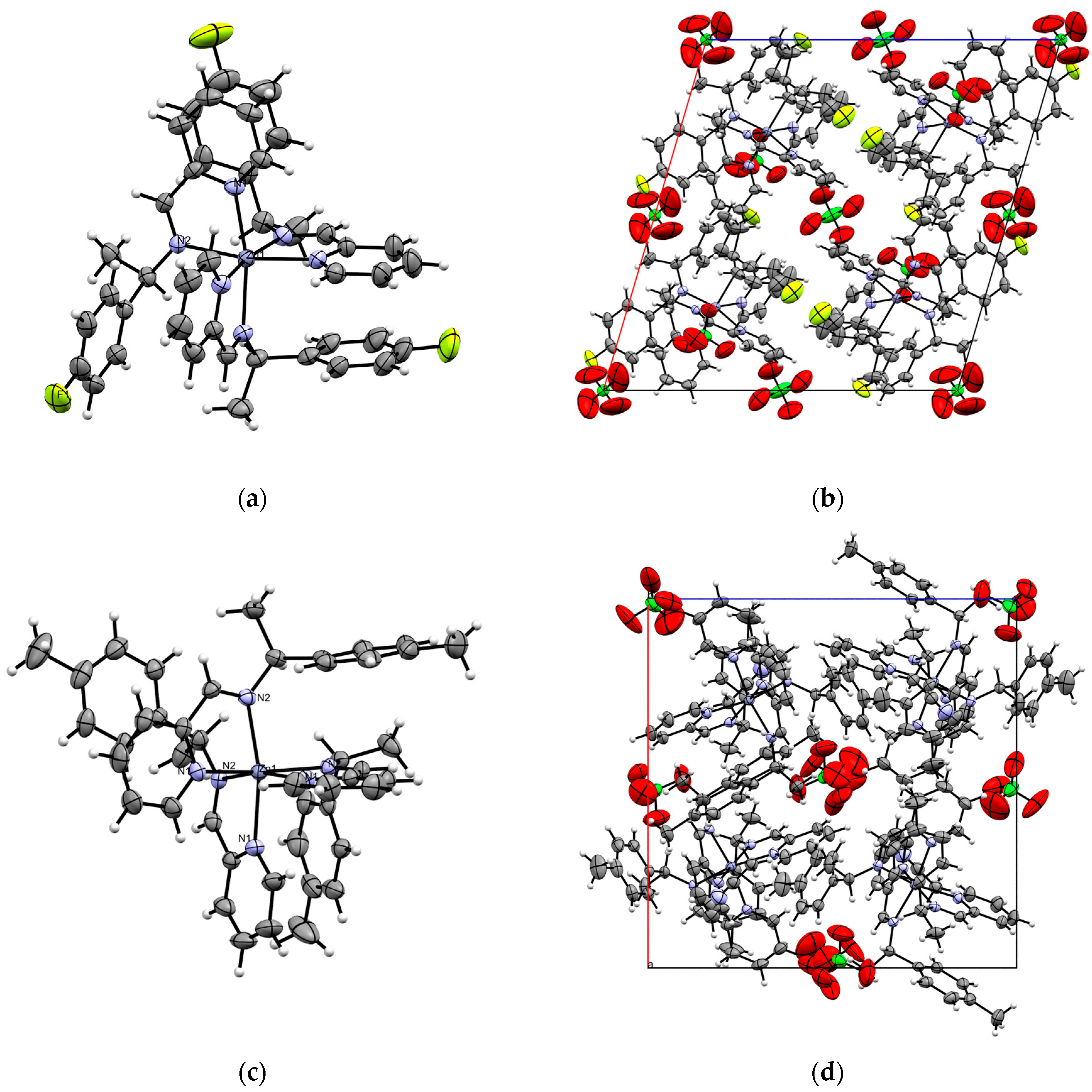
2.3. Single-Crystal X-Ray Analyses of Zinc Complexes
2.4. UV Analysis of Imine Ligands and Zinc Complexes
2.5. Antimicrobial Activity
2.6. Acute Toxicity Test
3. Materials and Methods
3.1. Synthesis of Imines (a–d) and Complexes (A–D)
3.2. Crystallographic Study
3.3. Antimicrobial Studies
Brine Shrimp Assay
3.4. Acute Toxicity Test
3.4.1. Body Weight and Effects on Liver Function
3.4.2. Histopathology Analysis
3.4.3. Statistical Analysis
4. Conclusions
Supplementary Materials
Author Contributions
Funding
Institutional Review Board Statement
Informed Consent Statement
Data Availability Statement
Acknowledgments
Conflicts of Interest
References
- Rafique, S.; Idrees, M.; Nasim, A.; Akbar, H.; Athar, A. Transition Metal Complexes as Potential Therapeutic Agents. Biotechnol. Mol. Biol. Rev. 2010, 5, 38–44. [Google Scholar]
- Kour Sodhi, R.; Paul, S. Metal Complexes in Medicine: An Overview and Update from Drug Design Perspective. Cancer Therapy Oncol. Int. J. 2019, 14, 555883. [Google Scholar] [CrossRef]
- Ndagi, U.; Mhlongo, N.; Soliman, M.E. Metal Complexes in Cancer Therapy—An Update from Drug Design Perspective. Drug Des. Dev. Ther. 2017, 11, 599–616. [Google Scholar] [CrossRef]
- Surendra Dilip, C.; Thangaraj, V.; Paul Raj, A. Synthesis, Spectroscopic Characterization, Biological and DNA Cleavage Properties of Complexes of Nicotinamide. Arab. J. Chem. 2016, 9, S731–S742. [Google Scholar] [CrossRef]
- Weng, Q.; Yi, J.; Chen, X.; Luo, D.; Wang, Y.; Sun, W.; Kang, J.; Han, Z. Controllable Synthesis and Biological Application of Schiff Bases from d-Glucosamine and Terephthalaldehyde. ACS Omega 2020, 5, 24864–24870. [Google Scholar] [CrossRef] [PubMed]
- Raczuk, E.; Dmochowska, B.; Samaszko-Fiertek, J.; Madaj, J. Different Schiff Bases—Structure, Importance and Classification. Molecules 2022, 27, 787. [Google Scholar] [CrossRef]
- Anzaldo Olivares, B.; Portillo Moreno, O.; Hernández Téllez, G.; Rubio Rosas, E.; Meléndez Bustamante, F.J.; Castro Sánchez, M.E.; Sharma, P.; Mendoza, A.; Gutiérrez Pérez, R. Green Emission Band Induced by Crystal Defects in Halogenated (-Br, -Cl, -F) Chiral Imines with a Benzo[b]thiophene-Based Moiety. Opt. Mater. 2019, 94, 337–341. [Google Scholar] [CrossRef]
- Sundaravel, K.; Suresh, E.; Palaniandavar, M. Synthesis, Structures, Spectral and Electrochemical Properties of Copper(II) Complexes of Sterically Hindered Schiff Base Ligands. Inorg. Chim. Acta 2009, 362, 199–207. [Google Scholar] [CrossRef]
- He, S.-X.; Yu, H.-H.; Huang, C.; Chen, D.-M.; Zhu, B.-X. Metallomacrocycle or 1D Chain: Synthesis, Structures, and Antifungal Activities of Zinc(II) and Silver(I) Complexes Based on Two Reduced Schiff Base Ligands. J. Mol. Struct. 2023, 1291, 136073. [Google Scholar] [CrossRef]
- Uddin, M.N.; Chowdhury, D.A.; Rony, M.M.; Halim, M.E. Metal Complexes of Schiff Bases Derived from 2-Thiophenecarboxaldehyde and Mono/Diamine as Antibacterial Agents. Mod. Chem. 2014, 2, 6–14. [Google Scholar] [CrossRef]
- Zoubi, W. Biological Activities of Schiff Bases and Their Complexes: A Review of Recent Works. Int. J. Org. Chem. 2013, 3, 73–95. [Google Scholar] [CrossRef]
- Riduan, S.N.; Zhang, Y. Recent Advances of Zinc-based Antimicrobial Materials. Chem. Asian J. 2021, 16, 2588. [Google Scholar] [CrossRef] [PubMed]
- Beyersmann, D.; Haase, H. Functions of Zinc in Signaling, Proliferation and Differentiation of Mammalian Cells. Biometals 2001, 14, 331–341. [Google Scholar] [CrossRef] [PubMed]
- Hernandes, M.Z.; Cavalcanti, S.M.T.; Moreira, D.R.; de Azevedo, W.F.; Leite, A.C.L. Halogen Atoms in the Modern Medicinal Chemistry: Hints for Drug Design. Curr. Drug Targets 2010, 11, 303–314. [Google Scholar] [CrossRef] [PubMed]
- Banerjee, A.; Banerjee, K.; Sinha, A.; Das, S.; Majumder, S.; Majumdar, S.; Choudhuri, S.K. A Zinc Schiff Base Complex Inhibits Cancer Progression Both in Vivo and in Vitro by Inducing Apoptosis. Environ. Toxicol. Pharmacol. 2017, 56, 383–392. [Google Scholar] [CrossRef]
- Prasad, A.S.; Bao, B.; Beck, F.W.J.; Kucuk, O.; Sarkar, F.H. Antioxidant effect of zinc in humans. Free Radic. Biol. Med. 2004, 37, 1182–1190. [Google Scholar] [CrossRef]
- Prasad, A.S. Zinc is an antioxidant and anti-inflammatory agent: Its role in human health. Front. Nutr. 2014, 1, 14. [Google Scholar] [CrossRef]
- Muddassir, M.; Alarifi, A.; Abduh, N.A.Y.; Afzal, M. New Isomeric Pyridyl Imine Zinc(II) Complexes as Potential Co-Sensitizers for State-of-the-Art N719 Dye in DSSC. J. Mol. Struct. 2021, 1246, 131191. [Google Scholar] [CrossRef]
- Santulli, F.; Bruno, F.; Mazzeo, M.; Lamberti, M. Zinc Complexes Bearing Dinucleating Bis(iminopyridine)binaphthol Ligands: Highly Active and Robust Catalysts for the Lactide Polymerization. ChemCatChem 2023, 15, e202300498. [Google Scholar] [CrossRef]
- Chen, M.-T.; Chen, Y.-Y.; Li, G.-L.; Chen, C.-T. Diverse Coordinative Zinc Complexes Containing Amido-Pyridinate Ligands: Structural and Catalytic Studies. Front. Chem. 2019, 6, 615. [Google Scholar] [CrossRef]
- Fatemikia, H.; Keypour, H.; Zeynali, H.; Karamian, R.; Ranjbar, N.; Gable, R.W. The X-ray Crystal Structures, Molecular Docking, and Biological Activities of Two Novel Cu(II) and Zn(II) Complexes with a Ligand Having a Potentially N4O2 Donor Set and Two Nitro Phenyl Rings as Pendant Arms. J. Inorg. Biochem. 2022, 235, 111910. [Google Scholar] [CrossRef] [PubMed]
- Topal, T. Synthesis and Characterization of Zinc(II) Complexes with New Pyridine-Based Ligands: Crystal Structure, Hirshfeld Surface Analysis, and Molecular Docking Study of Lung Cancer Cell. J. Coord. Chem. 2020, 73, 3203–3222. [Google Scholar] [CrossRef]
- Faulkner, A.D.; Kaner, R.A.; Abdallah, Q.M.A.; Clarkson, G.; Fox, D.J.; Gurnani, P.; Howson, S.E.; Phillips, R.M.; Roper, D.I.; Simpson, D.H.; et al. Asymmetric Triplex Metallohelices with High and Selective Activity Against Cancer Cells. Nat. Chem. 2014, 6, 797–803. [Google Scholar] [CrossRef] [PubMed]
- de la Mata Moratilla, S.; Casado Angulo, S.; Gómez-Casanova, N.; Copa-Patiño, J.L.; Heredero-Bermejo, I.; de la Mata, F.J.; García-Gallego, S. Zinc(II) Iminopyridine Complexes as Antibacterial Agents: A Structure-to-Activity Study. Int. J. Mol. Sci. 2024, 25, 4011. [Google Scholar] [CrossRef] [PubMed]
- Smail, B.; Bouchama, A.; Rahmani, R.; Djafri, A.; Benyahlou, Z.D.; Taibi, N.; Dege, N.; Belhachemi, M.H.M.; Bachari, K.; Chouaih, A. Slow Evaporation Synthesis, Crystal Structure, DFT Calculations, Molecular Docking, and Pharmacokinetic Studies of Hexaaquazinc(II) Dihydrogen Benzene-1,2,4,5-Tetracarboxylate. J. Coord. Chem. 2024, 77, 543–562. [Google Scholar] [CrossRef]
- Porchia, M.; Pellei, M.; Del Bello, F.; Santini, C. Zinc Complexes with Nitrogen Donor Ligands as Anticancer Agents. Molecules 2020, 25, 5814. [Google Scholar] [CrossRef]
- Das, S.; Dasgupta, S.; Karim, S.; Banerjee, M.; Saha, K.D. Structural, Spectroscopic, and Catalytic Studies of Novel Zinc(II) Complexes with N,N’-Bidentate Ligands. Dalton Trans. 2020, 49, 1232–1240. [Google Scholar] [CrossRef]
- Shyamal, M.; Panja, A.; Saha, A. Five New Mononuclear Zinc(II) Complexes with a Tetradentate N-Donor Schiff Base: Syntheses, Structures, and Influence of Anionic Coligands on the Luminescence Behaviour and Supramolecular Interactions. Polyhedron 2014, 69, 141–148. [Google Scholar] [CrossRef]
- Inaki, M.; Liu, J.; Matsuno, K. Cell Chirality: Its Origin and Roles in Left-Right Asymmetric Development. Philos. Trans. R. Soc. B Biol. Sci. 2016, 371, 20150403. [Google Scholar] [CrossRef]
- Howson, S.E.; Allan, L.E.N.; Chmel, N.P.; Clarkson, G.J.; Deeth, R.J.; Faulkner, A.D.; Simpson, D.H.; Scott, P. Origins of Stereoselectivity in Optically Pure Phenylethaniminopyridine Tris-Chelates M(NN’)3n+ (M = Mn, Fe, Co, Ni and Zn). Dalton Trans. 2011, 40, 10416–10433. [Google Scholar] [CrossRef]
- Lu, Y.; Zou, M.; Liu, L.; Houk, K.N. Halogen Bonding for Rational Drug Design and New Drug Discovery. Expert Opin. Drug Discov. 2012, 7, 375–383. [Google Scholar] [CrossRef] [PubMed]
- Naumann, K. Influence of Chlorine Substituents on Biological Activity of Chemicals: A Review. Pest Manag. Sci. 2000, 56, 3–21. [Google Scholar] [CrossRef]
- Shah, P.; Westwell, A.D. The Role of Fluorine in Medicinal Chemistry. J. Enzym. Inhib. Med. Chem. 2007, 22, 527–540. [Google Scholar] [CrossRef]
- Claudel, M.; Schwarte, J.V.; Fromm, K.M. New Antimicrobial Strategies Based on Metal Complexes. Chemistry 2020, 2, 849–899. [Google Scholar] [CrossRef]
- Selimović, E.; Jeremić, S.; Ličina, B.; Soldatović, T. Kinetics, DFT Study and Antibacterial Activity of Zinc(II) and Copper(II) Terpyridine Complexes. J. Mex. Chem. Soc. 2018, 62. [Google Scholar] [CrossRef]
- Mendes, C.R.; Dilarri, G.; Forsan, C.F.; Sapata, V.M.R.; Lopes, P.R.M.; Moraes, P.B.; Montagnolli, R.N.; Ferreira, H.; Bidoia, E.D. Antibacterial Action and Target Mechanisms of Zinc Oxide Nanoparticles Against Bacterial Pathogens. Sci. Rep. 2022, 12, 2658. [Google Scholar] [CrossRef] [PubMed]
- Gudkov, S.V.; Burmistrov, D.E.; Serov, D.A.; Rebezov, M.B.; Semenova, A.A.; Lisitsyn, A.B. A Mini Review of Antibacterial Properties of ZnO Nanoparticles. Front. Phys. 2021, 9, 641481. [Google Scholar] [CrossRef]
- Sharma, B.; Shukla, S.; Rattan, R.; Fatima, M.; Goel, M.; Bhat, M.; Dutta, S.; Ranjan, R.K.; Sharma, M. Antimicrobial Agents Based on Metal Complexes: Present Situation and Future Prospects. Int. J. Biomater. 2022, 2022, 6819080. [Google Scholar] [CrossRef]
- Imbert, D.; Baret, P.; Gaude, D.; Gautier-Luneau, I.; Gellon, G.; Thomas, F.; Serratrice, G.; Pierre, J.-L. Hydrophilic and Lipophilic Iron Chelators with the Same Complexing Abilities. Chem. Eur. J. 2002, 8, 1091–1100. [Google Scholar] [CrossRef]
- Zanninelli, G.; Glickstein, H.; Breuer, W.; Milgram, P.; Brissot, P.; Hider, R.C.; Konijn, A.M.; Libman, J.; Shanzer, A.; Cabantchik, Z.I. Chelation and mobilization of cellular iron by different classes of chelators. Mol. Pharmacol. 1997, 51, 842–852. [Google Scholar] [CrossRef]
- Andersen, O. Chemical and Biological Considerations in the Treatment of Metal Intoxications by Chelating Agents. Mini Rev. Med. Chem. 2004, 4, 11–21. [Google Scholar] [CrossRef] [PubMed]
- Abu Ali, H.; Omar, S.N.; Darawsheh, M.D.; Fares, H. Synthesis, Characterization, and Antimicrobial Activity of Zinc(II) Ibuprofen Complexes with Nitrogen-Based Ligands. J. Coord. Chem. 2016, 69, 1110–1122. [Google Scholar] [CrossRef]
- Meyer, B.N.; Ferrigni, N.R.; Putnam, J.E.; Jacobsen, L.B.; Nichols, D.E.; McLaughlin, J.L. Brine Shrimp: A Convenient General Bioassay for Active Plant Constituents. Planta Med. 1982, 45, 31–34. [Google Scholar] [CrossRef] [PubMed]
- Lagarto Parra, A.; Silva Yhebra, R.; Guerra Sardiña, I.; Iglesias Buela, L. Comparative Study of the Assay of Artemia salina L. and the Estimate of the Medium Lethal Dose (LD50 Value) in Mice to Determine Oral Acute Toxicity of Plant Extracts. Phytomedicine 2001, 8, 395–400. [Google Scholar] [CrossRef] [PubMed]
- Dolomanov, O.V.; Bourhis, L.J.; Gildea, R.J.; Howard, J.A.K.; Puschmann, H. OLEX2: A complete structure solution, refinement and analysis program. J. Appl. Cryst. 2009, 42, 339–341. [Google Scholar] [CrossRef]
- Sheldrick, G.M. Crystal structure refinement with SHELXL. Acta Cryst. 2015, C71, 3–8. [Google Scholar] [CrossRef]
- Sheldrick, G.M. A short history of SHELX. Acta Cryst. 2008, A64, 112–122. [Google Scholar] [CrossRef]
- Lorke, D. A New Approach to Practical Acute Toxicity Testing. Arch. Toxicol. 1983, 54, 275–287. [Google Scholar] [CrossRef]







| Compound | FT-IR (C=N) (cm−1) | NMR 1H (ppm) | NMR 13C (ppm) |
|---|---|---|---|
| Imina [a] | 1647 | 1.57 (H-3), 4.60 (H-2), 8.45 (H-10) | 24.09 (C-3), 68.90 (C-2), 160.70 (C-10) |
| Imina [b] | 1646 | 1.59 (H-3), 4.63 (H-2), 8.45(H-10) | 24.73(C-3), 68.88(C-2), 160.56 (C-10) |
| Imina [c] | 1645 | 1.63 (H-3), 4.61 (H-2), 8.45 (H-10) | 24.46 (C-3), 69.34 (C-2), 160.30 (C-10) |
| Imina [d] | 1644 | 1.36 (H-3), 4.61 (H-2), 8.44 (H-10) | 24.40 (C-3), 68.96 (C-2), 160.19 (C-10) |
| Complex A | 1597 | 1.73 (H-3), 5.89 (H-2), 8.44 (H-10) | 22.89 (C-3), 63.52 (C-2), 162.68 (C-10) |
| Complex B | 1597 | 1.73 (H-3), 5.89 (H-2), 8.71 (H-10) | 23.14 (C-3), 63.51 (C-2), 162.40 (C-10) |
| Complex C | 1597 | 1.66 (H-3), 5.43 (H-2), 8.23 (H-10) | 20.16 (C-3), 64.17 (C-2), 161.55 (C-10) |
| Complex D | 1597 | 1.64 (H-3), 5.41 (H-2), 8.30 (H-10) | 23.23 (C-3), 64.22 (C-2), 161.77 (C-10) |
| Compound | Complex B | Complex C | Complex D |
|---|---|---|---|
| Chemical formula | C42H39Cl2F3N6O8Zn | C47H51Cl2N7O8Zn | C51H57Cl2N9O11Zn |
| Molar mass (g mol−1) | 949.06 | 978.24 | 1108.35 |
| T (K) | 293(2) | 293(2) | 293(2) |
| Crystal system | Monoclinic | Cubic | Cubic |
| Space group | C2 | P213 | P213 |
| a (Å) | 19.2189(9) | 16.9023(3) | 17.5430(3) |
| b (Å) | 12.9740(5) | 16.9023(3) | 17.5430(3) |
| c (Å) | 18.6227(11) | 16.9023(3) | 17.5430(3) |
| α (°) | 90 | 90 | 90 |
| β (°) | 106.389(6) | 90 | 90 |
| γ (°) | 90 | 90 | 90 |
| V (Å3) | 4454.8(4) | 4828.8(3) | 5399.0(3) |
| Z | 4 | 4 | 4 |
| pcalc (g cm−3) | 1.415 | 1.346 | 1.364 |
| μ (mm−1) | 0.741 | 0.678 | 0.620 |
| F(000) | 1952.0 | 2040.0 | 2312.0 |
| Crystal size (mm3) | 0.297 × 0.283 × 0.164 | 0.485 × 0.287 × 0.231 | 0.64 × 0.504 × 0.381 |
| Radiation (λ/Å) | MoKα (λ = 0.71073) | MoKα (λ = 0.71073) | MoKα (λ = 0.71073) |
| 2Θ range (°) | 6.28–55.746 | 5.904–54.17 | 6.57–52.694 |
| Reflections collected | 30,747 | 17,438 | 18,653 |
| Rint | 0.0338 | 0.0308 | 0.0351 |
| GOF on F2 | 1.027 | 1.049 | 1.070 |
| R1, wR2 (I ≥ 2σ (I)) | 0.0463, 0.1183 | 0.0367, 0.0952 | 0.0461, 0.1205 |
| R1, wR2 (all data) | 0.0609, 0.1294 | 0.0491, 0.1026 | 0.0681, 0.1351 |
| Complex B | |||
| Atoms | Distances (Å) | Atoms | Angles (°) |
| Zn(1)-N(5) | 2.158(4) | N(5)-Zn(1)-N(3) | 94.01(15) |
| Zn(1)-N(3) | 2.164(4) | N(5)-Zn(1)-N(2) | 168.55(14) |
| Zn(1)-N(2) | 2.190(3) | N(3)-Zn(1)-N(2) | 94.32(14) |
| Zn(1)-N(1) | 2.191(4) | N(5)-Zn(1)-N(1) | 95.22(15) |
| Zn(1)-N(6) | 2.201(4) | N(3)-Zn(1)-N(1) | 92.50(14) |
| Zn(1)-N(4) | 2.203(4) | N(2)-Zn(1)-N(1) | 76.60(14) |
| N(2)-C(34) | 1.273(6) | N(5)-Zn(1)-N(6) | 77.26(15) |
| N(2)-C(35) | 1.475(6) | N(3)-Zn(1)-N(6) | 170.86(15) |
| N(4)-C(20) | 1.271(7) | N(2)-Zn(1)-N(6) | 94.70(14) |
| N(4)-C(21) | 1.469(6) | N(1)-Zn(1)-N(6) | 91.01(15) |
| N(6)-C(9) | 1.265(6) | N(5)-Zn(1)-N(4) | 94.20(14) |
| N(3)-Zn(1)-N(4) | 77.07(14) | ||
| N(2)-Zn(1)-N(4) | 95.30(14) | ||
| N(1)-Zn(1)-N(4) | 166.41(14) | ||
| N(6)-Zn(1)-N(4) | 100.62(14) | ||
| Complex C | |||
| Atoms | Distances (Å) | Atoms | Angles (°) |
| Zn(1)-N(2) | 2.172(3) | N(2)-Zn(1)-N(2) | 98.5(1) |
| Zn(1)-N(1) | 2.182(3) | N(2)-Zn(1)-N(1) | 93.9(1) |
| N(2)-C(7) | 1.482(4) | N(1)-Zn(1)-N(2) | 93.9(1) |
| N(2)-C(6) | 1.266(4) | N(1)Zn(1)-N(1) | 91.8(1) |
| N(1)-C(5) | 1.335(4) | N(1)-Zn(1)-N(2) | 167.2(1) |
| N(3)-C(16) | 1.142(7) | N(2)-Zn(1)-N(1) | 76.6(1) |
| Complex D | |||
| Atoms | Distances (Å) | Atoms | Angles (°) |
| Zn(1)-N(2) | 2.181(4) | N(2)-Zn(1)-N(1) | 92.4(1) |
| Zn(1)-N(1) | 2.194(4) | N(1)-Zn(1)-N(2) | 92.4(1) |
| N(2)-C(7) | 1.480(6) | N(1)-Zn(1)-N(1) | 90.0(1) |
| N(2)-C(6) | 1.272(6) | N(1)-Zn(1)-N(2) | 166.7(1) |
| C(17)-N(3) | 1.09(2) | N(2)-Zn(1)-N(1) | 77.0(1) |
| N(2)-Zn(1)-N(2) | 100.9(1) | ||
| Complex | Centroid to Centroid (Å) | Vertical Distance (Å) | Displacement (Å) |
|---|---|---|---|
| Complex B Pyridine[N(1), C(29)-(33)]∙∙∙Phenyl[C(4), C(1), C(7), C(6), C(14)] | 4.001(5) | 3.660(6) | 1.617(5) |
| Pyridine [N(3), C(15)-C(19)]∙∙∙Phenyl[C(37)-C(42)] | 4.004(4) | 3.303(7) | 1.933(10) |
| Pyridine[N(5), C(1V), C(1K), C(2), C(8), C(12)]∙∙∙Phenyl[C(23)-C(28)] | 3.774(4) | 3.329(6) | 1.628(11) |
| Complex C Pyridine[N(1), C(1)-C(5)∙∙∙Phenyl[C(9)-C(14)] | 4.02156(5) | 3.47235(5) | 2.02873(3) |
| Complex D Pyridine[N(1), C(1)-C(5)∙∙∙Phenyl[C(9)-C(14)] | 4.173(4) | 3.493(7) | 2.283(10) |
| E. coli | P. aeruginosa | S. aureus | |
|---|---|---|---|
| A | 3.12 | 3.12 | 1.56 |
| B | 12.5 | 12.5 | 3.12 |
| C | 6.25 | 6.25 | 1.56 |
| D | 6.25 | 6.25 | 6.25 |
| Penicillin | 3.12 | 1.56 | 0.78 |
| Assay | Complex A | Complex B | Complex C | Complex D |
|---|---|---|---|---|
| Brine Shrimp (LC50) | 414 ± 1.32 µM | 564.5 ± 0.25 µM | 385 ± 0.60 µM | 350 ± 2.8 µM |
| Acute IP Toxicity study (LD50) | 209.17 mg/kg | 295.80 mg/kg | 500 mg/kg | 223.61 mg/kg |
| Complex | Dose (mg/kg) | Number of Dead Animals After 48 h of Administration |
|---|---|---|
| A | 10 | 0 |
| 100 | 0 | |
| 175 | 1 | |
| 250 | 3 | |
| 500 | 3 | |
| B | 10 | 0 |
| 100 | 0 | |
| 175 | 2 | |
| 250 | 2 | |
| 500 | 3 | |
| C | 10 | 0 |
| 100 | 1 | |
| 500 | 1 | |
| D | 10 | 0 |
| 100 | 1 | |
| 500 | 3 |
Disclaimer/Publisher’s Note: The statements, opinions and data contained in all publications are solely those of the individual author(s) and contributor(s) and not of MDPI and/or the editor(s). MDPI and/or the editor(s) disclaim responsibility for any injury to people or property resulting from any ideas, methods, instructions or products referred to in the content. |
© 2024 by the authors. Licensee MDPI, Basel, Switzerland. This article is an open access article distributed under the terms and conditions of the Creative Commons Attribution (CC BY) license (https://creativecommons.org/licenses/by/4.0/).
Share and Cite
Gutiérrez Arguelles, D.; Villamizar, C.P.; Brambila-Colombres, E.; Anzaldo, B.; Mendoza, A.; Hernández Téllez, G.; Sharma, P. Synthesis, Crystal Structures, Antimicrobial Activity, and Acute Toxicity Evaluation of Chiral Zn(II) Schiff Base Complexes. Molecules 2024, 29, 5555. https://doi.org/10.3390/molecules29235555
Gutiérrez Arguelles D, Villamizar CP, Brambila-Colombres E, Anzaldo B, Mendoza A, Hernández Téllez G, Sharma P. Synthesis, Crystal Structures, Antimicrobial Activity, and Acute Toxicity Evaluation of Chiral Zn(II) Schiff Base Complexes. Molecules. 2024; 29(23):5555. https://doi.org/10.3390/molecules29235555
Chicago/Turabian StyleGutiérrez Arguelles, Daniela, Claudia P. Villamizar, Eduardo Brambila-Colombres, Bertin Anzaldo, Angel Mendoza, Guadalupe Hernández Téllez, and Pankaj Sharma. 2024. "Synthesis, Crystal Structures, Antimicrobial Activity, and Acute Toxicity Evaluation of Chiral Zn(II) Schiff Base Complexes" Molecules 29, no. 23: 5555. https://doi.org/10.3390/molecules29235555
APA StyleGutiérrez Arguelles, D., Villamizar, C. P., Brambila-Colombres, E., Anzaldo, B., Mendoza, A., Hernández Téllez, G., & Sharma, P. (2024). Synthesis, Crystal Structures, Antimicrobial Activity, and Acute Toxicity Evaluation of Chiral Zn(II) Schiff Base Complexes. Molecules, 29(23), 5555. https://doi.org/10.3390/molecules29235555

