The Relationship Between Spin Crossover (SCO) Behaviors, Cation and Ligand Motions, and Intermolecular Interactions in a Series of Anionic SCO Fe(III) Complexes with Halogen-Substituted Azobisphenolate Ligands
Abstract
1. Introduction
2. Results and Discussion
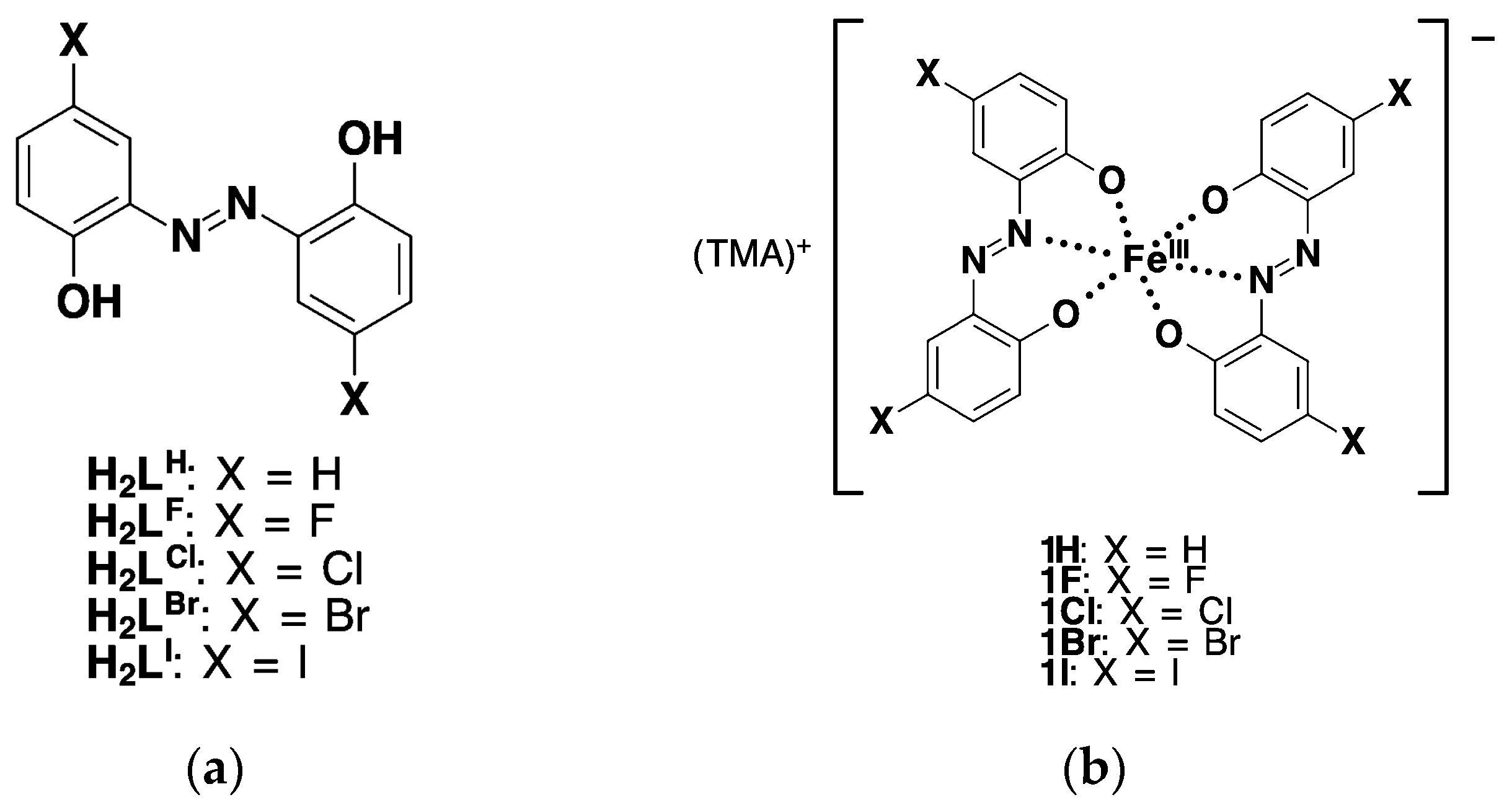
2.1. Synthesis of Azobisphenols H2LX
2.2. Synthesis of the Fe(III) Complexes 1X
2.3. Magnetic Properties of the Fe(III) Complexes 1X
2.4. Crystal Structures of the Fe(III) Complexes
2.4.1. Description of Molecular Structure
2.4.2. Temperature and Time Dependence of Disorder Ratios for 1F, 1Cl, and 1Br
2.4.3. Schematic Description of Molecular Arrangement in 1Br and 1I at 90 K
2.5. The Quantum Theory of Atom-in-Molecule (QTAIM) Analysis
2.5.1. Comparison in Interaction Energy Between Isostructural Complexes 1F, 1Cl, and 1Br
2.5.2. Comparison Between Major and Minor Ligand Orientations in 1Br at 90 K
2.5.3. Comparison in Interaction Energy Between 90 and 373 K in 1I
3. Materials and Methods
3.1. Synthesis of Ligands
3.1.1. 1-(5-Fluoro-2-hydroxyphenyl)-2-(5-fluoro-2-methoxyphenyl)diazene (4F)
3.1.2. 1,2-Bis(5-fluoro-2-hydroxyphenyl)diazene (H2LF)
3.1.3. 1,2-Bis(5-bromo-2-methoxyphenyl)diazene (5Br)
3.1.4. 1,2-Bis(5-bromo-2-hydroxyphenyl)diazene (H2LBr)
3.1.5. 1,2-Bis(5-iodo-2-methoxyphenyl)diazene (5I)
3.1.6. 1,2-Bis(5-iodo-2-hydroxyphenyl)diazene (H2LI)
3.2. Synthesis Procedure of the [FeIII(LX)2] Complexes (1X)
3.2.1. TMA[FeIII(LF)2] (1F)
3.2.2. TMA[FeIII(LCl)2] (1Cl)
3.2.3. TMA[FeIII(LBr)2] (1Br)
3.2.4. TMA[FeIII(LI)2] (1I)
3.3. Single Crystal X-Ray Diffractions
3.4. Density Functional Theory (DFT) Calculations
4. Conclusions
Supplementary Materials
Author Contributions
Funding
Institutional Review Board Statement
Informed Consent Statement
Data Availability Statement
Acknowledgments
Conflicts of Interest
Correction Statement
References
- Gütlich, P.; Goodwin, H.A. (Eds.) Spin Crossover in Transition Metal Compounds I–III; Springer: Berlin/Heidelberg, Germany, 2004; ISBN 3-540-40394-9/3-540-40396-5/3-540-40395-7. [Google Scholar]
- Halcrow, M.A. (Ed.) Spin-Crossover Materials; John Wiley & Sons, Ltd.: Oxford, UK, 2013; ISBN 978-1-119-99867-9. [Google Scholar]
- Takahashi, K. (Ed.) Spin-Crossover Complexes; MDPI: Basel, Switzerland, 2018; ISBN 978-3-03842-825-1. [Google Scholar]
- Kitazawa, T. (Ed.) Synthesis and Applications of New Spin Crossover Compounds; MDPI: Basel, Switzerland, 2019; ISBN 978-3-03921-361-0. [Google Scholar]
- Bousseksou, A.; Molnár, G.; Salmon, L.; Nicolazzi, W. Molecular Spin Crossover Phenomenon: Recent Achievements and Prospects. Chem. Soc. Rev. 2011, 40, 3313–3335. [Google Scholar] [CrossRef] [PubMed]
- Gütlich, P.; Gaspar, A.B.; Garcia, Y. Spin State Switching in Iron Coordination Compounds. Beilstein J. Org. Chem. 2013, 9, 342–391. [Google Scholar] [CrossRef] [PubMed]
- Kahn, O.; Kröber, J.; Jay, C. Spin Transition Molecular Materials for Displays and Data Recording. Adv. Mater. 1992, 4, 718–728. [Google Scholar] [CrossRef]
- Ohba, M.; Yoneda, K.; Agusti, G.; Muñoz, M.C.; Gaspar, A.B.; Real, J.A.; Yamasaki, M.; Ando, H.; Nakao, Y.; Sakaki, S.; et al. Bidirectional Chemo-Switching of Spin State in a Microporous Framework. Angew. Chem. Int. Ed. 2009, 48, 4767–4771. [Google Scholar] [CrossRef] [PubMed]
- Ohtani, R.; Yoneda, K.; Furukawa, S.; Horike, N.; Kitagawa, S.; Gaspar, A.B.; Muñoz, M.C.; Real, J.A.; Ohba, M. Precise Control and Consecutive Modulation of Spin Transition Temperature Using Chemical Migration in Porous Coordination Polymers. J. Am. Chem. Soc. 2011, 133, 8600–8605. [Google Scholar] [CrossRef]
- Shepherd, H.J.; Gural’Skiy, I.A.; Quintero, C.M.; Tricard, S.; Salmon, L.; Molnár, G.; Bousseksou, A. Molecular Actuators Driven by Cooperative Spin-State Switching. Nat. Commun. 2013, 4, 2607. [Google Scholar] [CrossRef]
- Manrique-Juarez, M.D.; Mathieu, F.; Shalabaeva, V.; Cacheux, J.; Rat, S.; Nicu, L.; Leïchlé, T.; Salmon, L.; Molnár, G.; Bousseksou, A. A Bistable Microelectromechanical System Actuated by Spin-Crossover Molecules. Angew. Chem. Int. Ed. 2017, 56, 8074–8078. [Google Scholar] [CrossRef]
- Mikolasek, M.; Manrique-Juarez, M.D.; Shepherd, H.J.; Ridier, K.; Rat, S.; Shalabaeva, V.; Bas, A.-C.; Collings, I.E.; Mathieu, F.; Cacheux, J.; et al. Complete Set of Elastic Moduli of a Spin-Crossover Solid: Spin-State Dependence and Mechanical Actuation. J. Am. Chem. Soc. 2018, 140, 8970–8979. [Google Scholar] [CrossRef]
- Mallah, T.; Cavallini, M. Surfaces, thin films and patterning of spin crossover compounds. Comptes Rendus Chim. 2018, 21, 1270–1286. [Google Scholar] [CrossRef]
- Takahashi, K.; Cui, H.-B.; Okano, Y.; Kobayashi, H.; Einaga, Y.; Sato, O. Electrical Conductivity Modulation Coupled to a High-Spin−Low-Spin Conversion in the Molecular System [FeIII (qsal)2][Ni(dmit)2]3·CH3CN·H2O. Inorg. Chem. 2006, 45, 5739–5741. [Google Scholar] [CrossRef]
- Takahashi, K.; Cui, H.-B.; Okano, Y.; Kobayashi, H.; Mori, H.; Tajima, H.; Einaga, Y.; Sato, O. Evidence of the Chemical Uniaxial Strain Effect on Electrical Conductivity in the Spin-Crossover Conducting Molecular System: [FeIII(qnal)2][Pd(dmit)2]5·Acetone. J. Am. Chem. Soc. 2008, 130, 6688–6689. [Google Scholar] [CrossRef] [PubMed]
- Phan, H.; Benjamin, S.M.; Steven, E.; Brooks, J.S.; Shatruk, M. Photomagnetic Response in Highly Conductive Iron(II) Spin-Crossover Complexes with TCNQ Radicals. Angew. Chem. Int. Ed. 2015, 54, 823–827. [Google Scholar] [CrossRef] [PubMed]
- Ishikawa, R.; Ueno, S.; Nifuku, S.; Horii, Y.; Iguchi, H.; Miyazaki, Y.; Nakano, M.; Hayami, S.; Kumagai, S.; Katoh, K.; et al. Simultaneous Spin-Crossover Transition and Conductivity Switching in a Dinuclear Iron(II) Coordination Compound Based on 7,7′,8,8′-Tetracyano-p-Quinodimethane. Chem. Eur. J. 2020, 26, 1278–1285. [Google Scholar] [CrossRef] [PubMed]
- Nihei, M.; Tahira, H.; Takahashi, N.; Otake, Y.; Yamamura, Y.; Saito, K.; Oshio, H. Multiple Bistability and Tristability with Dual Spin-State Conversions in [Fe(dpp)2][Ni(mnt)2]2·MeNO2. J. Am. Chem. Soc. 2010, 132, 3553–3560. [Google Scholar] [CrossRef]
- Ohkoshi, S.; Imoto, K.; Tsunobuchi, Y.; Takano, S.; Tokoro, H. Light-Induced Spin-Crossover Magnet. Nat. Chem. 2011, 3, 564–569. [Google Scholar] [CrossRef]
- Ababei, R.; Pichon, C.; Roubeau, O.; Li, Y.-G.; Bréfuel, N.; Buisson, L.; Guionneau, P.; Mathonière, C.; Clérac, R. Rational Design of a Photomagnetic Chain: Bridging Single-Molecule Magnets with a Spin-Crossover Complex. J. Am. Chem. Soc. 2013, 135, 14840–14853. [Google Scholar] [CrossRef]
- Fukuroi, K.; Takahashi, K.; Mochida, T.; Sakurai, T.; Ohta, H.; Yamamoto, T.; Einaga, Y.; Mori, H. Synergistic Spin Transition Between Spin Crossover and Spin-Peierls-like Singlet Formation in the Halogen-Bonded Molecular Hybrid System: [Fe(Iqsal)2][Ni(dmit)2]⋅CH3CN⋅H2O. Angew. Chem. Int. Ed. 2014, 53, 1983–1986. [Google Scholar] [CrossRef]
- Jornet-Mollá, V.; Duan, Y.; Giménez-Saiz, C.; Tang, Y.-Y.Y.; Li, P.-F.F.; Romero, F.M.; Xiong, R.-G.G. A Ferroelectric Iron(II) Spin Crossover Material. Angew. Chem. Int. Ed. 2017, 56, 14052–14056. [Google Scholar] [CrossRef]
- Ohkoshi, S.I.; Takano, S.; Imoto, K.; Yoshikiyo, M.; Namai, A.; Tokoro, H. 90-Degree Optical Switching of Output Second-Harmonic Light in Chiral Photomagnet. Nat. Photonics 2014, 8, 65–71. [Google Scholar] [CrossRef]
- Lochenie, C.; Schötz, K.; Panzer, F.; Kurz, H.; Maier, B.; Puchtler, F.; Agarwal, S.; Köhler, A.; Weber, B. Spin-Crossover Iron(II) Coordination Polymer with Fluorescent Properties: Correlation between Emission Properties and Spin State. J. Am. Chem. Soc. 2018, 140, 700–709. [Google Scholar] [CrossRef]
- Wang, C.-F.; Yang, G.-Y.; Yao, Z.-S.; Tao, J. Monitoring the Spin States of Ferrous Ions by Fluorescence Spectroscopy in Spin-Crossover-Fluorescent Hybrid Materials. Chem.—Eur. J. 2018, 24, 3218–3224. [Google Scholar] [CrossRef] [PubMed]
- Vela, S.; Paulsen, H. Deciphering Crystal Packing Effects in the Spin Crossover of Six [FeII(2-Pic)3]Cl2 Solvatomorphs. Dalton Trans. 2019, 48, 1237–1245. [Google Scholar] [CrossRef] [PubMed]
- Hamon, P.; Thépot, J.-Y.; Le Floch, M.; Boulon, M.-E.E.; Cador, O.; Golhen, S.S.; Ouahab, L.L.; Fadel, L.; Saillard, J.-Y.; Hamon, J.-R.; et al. Dramatic Remote Substitutent Effects on the Electronic Spin State of Bis(Scorpionate) Iron(II) Complexes. Angew. Chem. Int. Ed. 2008, 47, 8687–8691. [Google Scholar] [CrossRef] [PubMed]
- Gildea, B.; Harris, M.M.; Gavin, L.C.; Murray, C.A.; Ortin, Y.; Müller-Bunz, H.; Harding, C.J.; Lan, Y.; Powell, A.K.; Morgan, G.G. Substituent Effects on Spin State in a Series of Mononuclear Manganese(III) Complexes with Hexadentate Schiff-Base Ligands. Inorg. Chem. 2014, 53, 6022–6033. [Google Scholar] [CrossRef]
- Park, J.G.; Jeon, I.R.; Harris, T.D. Electronic Effects of Ligand Substitution on Spin Crossover in a Series of Diiminoquinonoid-Bridged FeII2 Complexes. Inorg. Chem. 2015, 54, 359–369. [Google Scholar] [CrossRef]
- Phonsri, W.; Macedo, D.S.; Vignesh, K.R.; Rajaraman, G.; Davies, C.G.; Jameson, G.N.L.; Moubaraki, B.; Ward, J.S.; Kruger, P.E.; Chastanet, G.; et al. Halogen Substitution Effects on N2O Schiff Base Ligands in Unprecedented Abrupt FeII Spin Crossover Complexes. Chem.—Eur. J. 2017, 23, 7052–7065. [Google Scholar] [CrossRef]
- Kimura, A.; Ishida, T. Pybox-Iron(II) Spin-Crossover Complexes with Substituent Effects from the 4-Position of the Pyridine Ring (Pybox = 2,6-Bis(Oxazolin-2-yl)Pyridine). Inorganics 2017, 5, 52. [Google Scholar] [CrossRef]
- Dey, B.; Mondal, A.; Konar, S. Effect of Ligand Field Strength on the Spin Crossover Behaviour in 5-X-SalEen (X=Me, Br and OMe) Based Fe(III) Complexes. Chem.—Asian J. 2020, 15, 1709–1721. [Google Scholar] [CrossRef]
- Akiyoshi, R.; Ohtani, R.; Lindoy, L.F.; Hayami, S. Spin crossover phenomena in long chain alkylated complexes. Dalton Trans. 2021, 50, 5065–5079. [Google Scholar] [CrossRef]
- Tao, J.; Wei, R.-J.; Huang, R.-B.; Zheng, L.-S. Polymorphism in Spin-Crossover Systems. Chem. Soc. Rev. 2012, 41, 703–737. [Google Scholar] [CrossRef]
- Miyawaki, A.; Mochida, T.; Sakurai, T.; Ohta, H.; Takahashi, K. The Impact of the Next-Nearest Neighbor Dispersion Interactions on Spin Crossover Transition Enthalpy Evidenced by Experimental and Computational Analyses of Neutral π-Extended Heteroleptic Fe(III) Complexes. Inorg. Chem. 2020, 59, 12295–12303. [Google Scholar] [CrossRef] [PubMed]
- Kershaw Cook, L.J.; Kulmaczewski, R.; Mohammed, R.; Dudley, S.; Barrett, S.A.; Little, M.A.; Deeth, R.J.; Halcrow, M.A. A Unified Treatment of the Relationship Between Ligand Substituents and Spin State in a Family of Iron(II) Complexes. Angew. Chem. Int. Ed. 2016, 55, 4327–4331. [Google Scholar] [CrossRef] [PubMed]
- Takahashi, K.; Kawamukai, K.; Okai, M.; Mochida, T.; Sakurai, T.; Ohta, H.; Yamamoto, T.; Einaga, Y.; Shiota, Y.; Yoshizawa, K. A New Family of Anionic FeIII Spin Crossover Complexes Featuring a Weak-Field N2O4 Coordination Octahedron. Chem. Eur. J. 2016, 22, 1253–1257. [Google Scholar] [CrossRef] [PubMed]
- Murata, S.; Takahashi, K.; Sakurai, T.; Ohta, H.; Yamamoto, T.; Einaga, Y.; Shiota, Y.; Yoshizawa, K. The Role of Coulomb Interactions for Spin Crossover Behaviors and Crystal Structural Transformation in Novel Anionic Fe(III) Complexes from a π-Extended ONO Ligand. Crystals 2016, 6, 49. [Google Scholar] [CrossRef]
- Murata, S.; Takahashi, K.; Mochida, T.; Sakurai, T.; Ohta, H.; Yamamoto, T.; Einaga, Y. Cooperative Spin-Crossover Transition from Three-Dimensional Purely π-Stacking Interactions in a Neutral Heteroleptic Azobisphenolate FeIII Complex with a N3O3 Coordination Sphere. Dalton Trans. 2017, 46, 5786–5789. [Google Scholar] [CrossRef]
- Miyawaki, A.; Eda, K.; Mochida, T.; Sakurai, T.; Ohta, H.; Nakajima, T.; Takahashi, K. Spin-Crossover-Triggered Linkage Isomerization by the Pedal-like Motion of the Azobenzene Ligand in a Neutral Heteroleptic Iron(III) Complex. Inorg. Chem. 2021, 60, 12735–12739. [Google Scholar] [CrossRef]
- Phonsri, W.; Lewis, B.A.I.; Jameson, G.N.L.; Murray, K.S. Double Spin Crossovers: A New Double Salt Strategy to Improve Magnetic and Memory Properties. Chem. Commun. 2019, 55, 14031–14034. [Google Scholar] [CrossRef]
- Smékal, Z.; Novák, P.; Zeller, M.; Antal, P.; Čižmár, E.; Herchel, R. Synthesis, Crystal Structure, 57Fe Mössbauer Spectroscopy and Magnetic Properties of High-Spin Iron(III) Anionic Complexes [Fe(Azp)2]− (H2azp = 2,2′-Dihydroxyazobenzene) with Organic Cations. Polyhedron 2022, 212, 115586. [Google Scholar] [CrossRef]
- Hunter, L.; Barnes, R.S. CCLXVII.—Halogen Derivatives of o- and p-Azophenol. J. Chem. Soc. 1928, 2051–2058. [Google Scholar] [CrossRef]
- Abildgaard, J.; Hansen, P.E.; Josephsen, J.; Hansen, B.K.V.; Sørensen, H.O.; Larsen, S. Synthesis and Characterization of Nickel-, Palladium- and Platinum(II) Complexes of Three o,o′-Dihydroxydiarylazo Dyes: Determination of the Coordination Geometry of This Comprehensive Series of Tridentate Diaryl Dye Complexes by Combining Results from NM. Inorg. Chim. Acta 2006, 359, 4493–4502. [Google Scholar] [CrossRef]
- Takahashi, K.; Noguchi, T.; Ueda, K.; Miyawaki, A.; Murata, S. Molecular Structures and Redox Properties of Homoleptic Aluminum(III) Complexes with Azobisphenolate (Azp) Ligands. Inorganics 2022, 10, 84. [Google Scholar] [CrossRef]
- Gon, M.; Tanaka, K.; Chujo, Y. A Highly Efficient Near-Infrared-Emissive Copolymer with a N=N Double-Bond Π-Conjugated System Based on a Fused Azobenzene–Boron Complex. Angew. Chem. Int. Ed. 2018, 57, 6546–6551. [Google Scholar] [CrossRef] [PubMed]
- Carreno, M.C.; Garcia Ruano, J.L.; Sanz, G.; Toledo, M.A.; Urbano, A. N-Bromosuccinimide in Acetonitrile: A Mild and Regiospecific Nuclear Brominating Reagent for Methoxybenzenes and Naphthalenes. J. Org. Chem. 1995, 60, 5328–5331. [Google Scholar] [CrossRef]
- Bovonsombat, P.; Leykajarakul, J.; Khan, C.; Pla-on, K.; Krause, M.M.; Khanthapura, P.; Ali, R.; Doowa, N. Regioselective Iodination of Phenol and Analogues Using N-Iodosuccinimide and p-Toluenesulfonic Acid. Tetrahedron Lett. 2009, 50, 2664–2667. [Google Scholar] [CrossRef]
- Holthoff, J.M.; Engelage, E.; Weiss, R.; Huber, S.M. “Anti-Electrostatic” Halogen Bonding. Angew. Chem. Int. Ed. 2020, 59, 11150–11157. [Google Scholar] [CrossRef]
- Maxson, T.; Jalilov, A.S.; Zeller, M.; Rosokha, S.V. Halogen Bonding Between Anions: Association of Anion Radicals of Tetraiodo-p-Benzoquinone with Iodide Anions. Angew. Chem. Int. Ed. 2020, 59, 17197–17201. [Google Scholar] [CrossRef]
- Richardson, D.H. The Influence of Substituents on the Coupling of Phenols with Diazonium Salts. J. Chem. Soc. 1937, 1363–1365. [Google Scholar] [CrossRef]
- Galli, C. Radical Reactions of Arenediazonium Ions: An Easy Entry into the Chemistry of the Aryl Radical. Chem. Rev. 1988, 88, 765–792. [Google Scholar] [CrossRef]
- Chae, J. Practical Demethylation of Aryl Methyl Ethers Using an Odorless Thiol Reagent. Arch. Pharm. Res. 2008, 31, 305–309. [Google Scholar] [CrossRef]
- Bondi, A. Van Der Waals Volumes and Radii. J. Phys. Chem. 1964, 68, 441–451. [Google Scholar] [CrossRef]
- Bader, R.F.W. A Quantum Theory of Molecular Structure and Its Applications. Chem. Rev. 1991, 91, 893–928. [Google Scholar] [CrossRef]
- Emamian, S.; Lu, T.; Kruse, H.; Emamian, H. Exploring Nature and Predicting Strength of Hydrogen Bonds: A Correlation Analysis Between Atoms-in-Molecules Descriptors, Binding Energies, and Energy Components of Symmetry-Adapted Perturbation Theory. J. Comput. Chem. 2019, 40, 2868–2881. [Google Scholar] [CrossRef] [PubMed]
- König, E. Landolt-Börnstein Neue Serie Gruppe II; Hellwege, K.-H., Hellwege, A.M., Eds.; Springer: New York, NY, USA, 1966; Volume 2, pp. 1–18. [Google Scholar]
- Spek, A.L. PLATON SQUEEZE: A Tool for the Calculation of the Disordered Solvent Contribution to the Calculated Structure Factors. Acta Cryst. C 2015, 71, 9–18. [Google Scholar] [CrossRef] [PubMed]
- Becke, A.D. Density-Functional Thermochemistry. III. The Role of Exact Exchange. J. Chem. Phys. 1993, 98, 5648–5652. [Google Scholar] [CrossRef]
- Lee, C.; Yang, W.; Parr, R.G. Development of the Colle-Salvetti Correlation-Energy Formula into a Functional of the Electron Density. Phys. Rev. B 1988, 37, 785–789. [Google Scholar] [CrossRef]
- Frisch, M.J.; Trucks, G.W.; Schlegel, H.B.; Scuseria, G.E.; Robb, M.A.; Cheeseman, J.R.; Scalmani, G.; Barone, V.; Petersson, G.A.; Nakatsuji, H.; et al. Gaussian 16, Revision C.01; Gaussian, Inc.: Wallingford, CT, USA, 2016. [Google Scholar]
- Krishnan, R.; Binkley, J.S.; Seeger, R.; Pople, J.A. Self-consistent Molecular Orbital Methods. XX. A Basis Set for Correlated Wave Functions. J. Chem. Phys. 1980, 72, 650–654. [Google Scholar] [CrossRef]
- Clark, T.; Chandrasekhar, J.; Spitznagel, G.W.; Schleyer, P.V.R. Efficient Diffuse Function-Augmented Basis Sets for Anion Calculations. III. The 3–21+G Basis Set for First-Row Elements, Li-F. J. Comput. Chem. 1983, 4, 294–301. [Google Scholar] [CrossRef]
- McLean, A.D.; Chandler, G.S. Contracted Gaussian Basis Sets for Molecular Calculations. I. Second Row Atoms, Z = 11–18. J. Chem. Phys. 1980, 72, 5639–5648. [Google Scholar] [CrossRef]
- Francl, M.M.; Pietro, W.J.; Hehre, W.J.; Binkley, J.S.; Gordon, M.S.; DeFrees, D.J.; Pople, J.A. Self-consistent Molecular Orbital Methods. XXIII. A Polarization-type Basis Set for Second-row Elements. J. Chem. Phys. 1982, 77, 3654–3665. [Google Scholar] [CrossRef]
- Spitznagel, G.W.; Clark, T.; von Ragué Schleyer, P.; Hehre, W.J. An Evaluation of the Performance of Diffuse Function-Augmented Basis Sets for Second Row Elements, Na-Cl. J. Comput. Chem. 1987, 8, 1109–1116. [Google Scholar] [CrossRef]
- Wachters, A.J.H. Gaussian Basis Set for Molecular Wavefunctions Containing Third-Row Atoms. J. Chem. Phys. 1970, 52, 1033–1036. [Google Scholar] [CrossRef]
- Hay, P.J. Gaussian Basis Sets for Molecular Calculations. The Representation of 3 d Orbitals in Transition-metal Atoms. J. Chem. Phys. 1977, 66, 4377–4384. [Google Scholar] [CrossRef]
- Wadt, W.R.; Hay, P.J. Ab Initio Effective Core Potentials for Molecular Calculations. Potentials for Main Group Elements Na to Bi. J. Chem. Phys. 1985, 82, 284–298. [Google Scholar] [CrossRef]
- Zhao, Y.; Truhlar, D.G. The M06 Suite of Density Functionals for Main Group Thermochemistry, Thermochemical Kinetics, Noncovalent Interactions, Excited States, and Transition Elements: Two New Functionals and Systematic Testing of Four M06-Class Functionals and 12 Other Function. Theor. Chem. Acc. 2008, 120, 215–241. [Google Scholar] [CrossRef]
- Barros, C.L.; de Oliveira, P.J.P.; Jorge, F.E.; Canal Neto, A.; Campos, M. Gaussian Basis Set of Double Zeta Quality for Atoms Rb through Xe: Application in Non-Relativistic and Relativistic Calculations of Atomic and Molecular Properties. Mol. Phys. 2010, 108, 1965–1972. [Google Scholar] [CrossRef]
- Jorge, F.E.; Canal Neto, A.; Camiletti, G.G.; MacHado, S.F. Contracted Gaussian Basis Sets for Douglas-Kroll-Hess Calculations: Estimating Scalar Relativistic Effects of Some Atomic and Molecular Properties. J. Chem. Phys. 2009, 130, 064108. [Google Scholar] [CrossRef]
- Lu, T.; Chen, F. Multiwfn: A Multifunctional Wavefunction Analyzer. J. Comput. Chem. 2012, 33, 580–592. [Google Scholar] [CrossRef]






| Complex | 1F a | 1Cl | 1H [35] | |||||
|---|---|---|---|---|---|---|---|---|
| Temp./K | 90 | 293 | 373 | 90 | 293 | 373 | 90 | 293 |
| Fe1-O1 | 1.909 (4) | 1.961 (8) | 1.961 (7) | 1.941 (2) | 1.930 (3) | 1.981 (8) | 1.9233 (15) | 1.975 (2) |
| Fe1-O2 | 1.908 (4) | 1.932 (9) | 1.954 (7) | 1.857 (2) | 1.886 (3) | 1.920 (9) | 1.8593 (16) | 1.947 (2) |
| Fe1-N1 | 1.945 (4) | 2.145 (5) | 2.164 (3) | 1.9189 (19) | 1.960 (2) | 2.128 (3) | 1.9523 (16) | 2.166 (2) |
| Fe1-O3 | 1.912 (3) | 1.959 (6) | 1.968 (5) | 1.9267 (14) | 1.9273 (18) | 1.967 (3) | 1.9217 (13) | 1.9836 (19) |
| Fe1-O4 | 1.913 (4) | 1.941 (6) | 1.951 (5) | 1.8735 (15) | 1.8878 (18) | 1.940 (3) | 1.8898 (13) | 1.942 (2) |
| Fe1-N3 | 1.927 (3) | 2.123 (5) | 2.143 (3) | 1.9103 (14) | 1.9512 (18) | 2.107 (2) | 1.9220 (14) | 2.1537 (19) |
| Σ c | 42.4 (8) | 89.8 (13) | 98.5 (10) | 43.1 (5) | 51.5 (9) | 76.4 (11) | 39.4 (3) | 89.6 (3) |
| Θ d | 48.8 (9) | 135.7 (14) | 157.5 (11) | 54.5 (5) | 64.5 (10) | 125.7 (12) | 53.2 (3) | 169.6 (4) |
| 1Br | 1I | |||||||
| Temp./K | 90 | 293 b | 373 | 90 | 373 b | |||
| Fe1-O1 | 1.935 (2) | 1.947 (5) | 1.961 (5) | 2.021 (9) | 2.010 (8) | |||
| Fe1-O2 | 1.857 (2) | 1.867 (5) | 1.924 (6) | 1.846 (10) | 1.919 (9) | |||
| Fe1-N1 | 1.9050 (19) | 1.915 (4) | 2.075 (5) | 2.033 (7) | 2.139 (4) | |||
| Fe1-O3 | 1.9197 (15) | 1.932 (4) | 1.960 (6) | 2.021 (9) | 2.010 (9) | |||
| Fe1-O4 | 1.8833 (15) | 1.891 (3) | 1.925 (6) | 1.846 (10) | 1.917 (9) | |||
| Fe1-N3 | 1.8985 (17) | 1.915 (4) | 2.074 (4) | 2.031 (7) | 2.139 (4) | |||
| Σ c | 27.1 (5) | 31.9 (7) | 71.8 (18) | 76 (2) | 100.2 (17) | |||
| Θ d | 36.9 (5) | 42.3 (7) | 111.3 (18) | 83 (3) | 142.3 (18) | |||
| Complex | 1F | 1Cl | 1Br | ||||||||||
|---|---|---|---|---|---|---|---|---|---|---|---|---|---|
| Analysis Temp. | Storage Time at rt | Seq. No. a | L1 | L2 | Cation | Seq. No. a | L1 | L2 | Cation | Seq. No. a | L1 | L2 | Cation |
| 90 K | – | 1 | 28.1% | 74.0% | 71.8% | 1 | 50.7% | 100% | 100% | 1 | 86.9% | 100% | 100% |
| 213 K | – | 2 | 28.6% | 69.9% | 50.8% | ||||||||
| 293 K | – | 3 | 29.9% | 71.5% | 41.9% | 2 | 49.0% | 100% | 100% | 85.4% b | 100% b | 100% b | |
| 373 K | – | 4 | 36.2% | 67.8% | 46.5% | 3 | 42.1% | 79.4% | 58.1% | 2 | 55.4% | 81.7% | 51.2% |
| 90 K | – | 4 | 42.2% | 92.3% | 100% | ||||||||
| 90 K | 1 day | 3 | 86.9% | 100% | 100% | ||||||||
| 90 K | 7 days | 5 | 71.5% | 100% | 100% | ||||||||
| 90 K | 38 days | 6 | 78.1% | 100% | 100% | ||||||||
| Contact or Bond Path | Intermolecular Distance (Å) | Interaction Energy (kJ mol−1) | ||||||||||
|---|---|---|---|---|---|---|---|---|---|---|---|---|
| Complex | 1F | 1Cl | 1Br | 1F | 1Cl | 1Br | ||||||
| Temp (K) | 90 | 373 | 90 | 373 | 90 | 373 | 90 | 373 | 90 | 373 | 90 | 373 |
| to P (1 − x, 1 − y, 1 − z) | ||||||||||||
| X2···X4 | 3.032(11) | 3.06(2) | 3.3455(14) | 3.373(7) | 3.5088(5) | 3.534(7) | −0.5 | −0.3 | −5.4 | −4.9 | −6.3 | −6.0 |
| [2.94] | [3.50] | [3.70] | ||||||||||
| to Q (2 − x, 1 − y, 2 − z) | ||||||||||||
| H15···centroid(C7–C12) | 2.5945 | 2.6917 | 2.4614 | 2.6825 | 2.4615 | 2.6770 | ||||||
| C15···centroid(C7–C12) | 3.520(14) | 3.55(2) | 3.360(3) | 3.492(15) | 3.357(4) | 3.48(2) | ||||||
| H15···C7 | 2.6602 | 2.9334 | 2.8543 | 3.1998 | 2.9107 | 3.2866 | −5.9 | – | – | – | – | – |
| H15···C8 | 2.7242 | 2.9433 | 2.9408 | 3.0986 | 2.9368 | 3.3233 | – | −2.4 | – | – | – | – |
| H15···C10 | 3.2131 | 3.1066 | 2.7526 | 2.7908 | 2.7327 | 2.6620 | – | – | −5.5 | −5.0 | – | −7.4 |
| H15···C10-C11 | – | – | – | – | −6.1 | – | ||||||
| H14···C7 | 3.0840 | 2.8946 | 3.0785 | 3.1296 | 3.0963 | 3.1005 | – | – | – | >0 | −0.0 | – |
| H14···C8 | 3.3794 | 3.2741 | 3.3040 | 3.2975 | 3.2869 | 3.1662 | – | – | – | – | – | −0.4 |
| [2.90] | ||||||||||||
| to Q (2 − x, 1 − y, 2 − z) | ||||||||||||
| H14···O2 | 2.6713 | 2.6135 | 2.9450 | 3.1216 | 3.0635 | 3.1427 | −3.5 | −4.8 | −0.6 | – | – | – |
| H14···O3 | 2.8543 | 3.0646 | 3.0544 | 3.6018 | 3.2414 | 3.7105 | −1.6 | – | – | – | – | – |
| [2.72] | ||||||||||||
| X2···X3 | 4.851(11) | 4.96(2) | 4.1571(15) | 4.320(8) | 4.1230(5) | 4.304(8) | – | – | >0 | >0 | −0.7 | >0 |
| [2.94] | [3.50] | [3.70] | ||||||||||
| to R (1.5 − x, −0.5 + y, 1.5 − z) | ||||||||||||
| N4···H9 | 2.6694 | 2.5993 | 2.6458 | 2.5469 | 2.6371 | 2.6960 | −5.2 | −6.0 | −5.2 | −6.2 | −5.1 | −4.6 |
| [2.75] | ||||||||||||
| O1···H8 | 2.7085 | 2.6326 | 2.4720 | 2.5645 | 2.4892 | 2.5238 | −3.9 | −4.8 | −7.1 | −5.5 | −6.8 | −5.8 |
| [2.72] | ||||||||||||
| H3···X4 | 3.2084 | 3.4518 | 3.0082 | 3.5009 | 3.0382 | 3.4622 | – | – | – | – | −4.3 | – |
| [2.67] | [2.95] | [3.05] | ||||||||||
| H3···C22 | 2.9022 | 2.8647 | 2.8315 | 2.9380 | 2.8377 | 2.8304 | −2.4 | −4.0 | −3.4 | −3.1 | −4.1 | −5.0 |
| [2.90] | ||||||||||||
| to S (0.5 + x, 0.5 − y, 0.5 + z) | ||||||||||||
| O1···H21 | 2.5936 | 2.9647 | 2.5278 | 2.9213 | 2.4916 | 2.8781 | −5.1 | −0.7 | −6.7 | −1.1 | −7.6 | −1.8 |
| [2.72] | ||||||||||||
| C2···H20 | 2.7542 | 3.0593 | 2.9676 | 2.9895 | 3.1384 | 3.2637 | −3.3 | −0.4 | −1.4 | −1.1 | −0.1 | >0 |
| [2.90] | ||||||||||||
| C14···C21 | 3.585(16) | 3.86(3) | 3.568(3) | 3.628(16) | 3.514(3) | 3.79(2) | −0.9 | – | −1.3 | −0.6 | −1.6 | >0 |
| C15···C22 | 3.500(13) | 3.66(2) | 3.615(3) | 3.655(12) | 3.653(3) | 3.81(3) | – | – | – | −0.4 | – | – |
| C16···C22 | 3.300(10) | 3.48(2) | 3.452(2) | 3.672(16) | 3.575(3) | 3.83(3) | −2.3 | −0.7 | −1.7 | – | – | – |
| [3.40] | ||||||||||||
| C16···X4 | 3.210((8) | 3.336(17) | 3.542(2) | 3.701(11) | 3.668(2) | 3.83(2) | −2.0 | −0.6 | – | −1.0 | – | −1.3 |
| C17···X4 | 3.245(7) | 3.463(13) | 3.491(5) | 3.715(8) | 3.605(2) | 3.839(11) | – | – | −2.7 | – | −2.9 | – |
| [3.17] | [3.45] | [3.55] | ||||||||||
| X3···X4 | 3.250(7) | 3.343(15) | 3.6498(9) | 3.813(6) | 3.8714(4) | 4.096(6) | – | – | −2.4 | −1.0 | −2.8 | −0.9 |
| [2.94] | [3.50] | [3.70] | ||||||||||
| to T (0.5 + x, 0.5 − y, −0.5 + z) | ||||||||||||
| H23···X1 | 2.8439 | 2.9519 | 2.9087 | 3.0831 | 3.0390 | 3.4138 | −0.7 | >0 | −4.2 | −2.3 | −4.2 | −0.8 |
| H17···X1 | 2.6203 | 2.7648 | 3.0525 | 3.1530 | 3.2614 | 3.0868 | −2.7 | −1.1 | −1.8 | −1.2 | −1.2 | −3.1 |
| [2.67] | [2.95] | [3.05] | ||||||||||
| to U (1 + x, y, z) | ||||||||||||
| X3···H11 | 2.4638 | 2.5917 | 2.8406 | 2.9187 | 2.8784 | 2.9790 | −5.9 | −3.7 | −4.8 | −3.8 | −6.4 | −4.7 |
| [2.67] | [2.95] | [3.05] | ||||||||||
| to V (1 − x, 1 − y, 2 − z) | ||||||||||||
| X2···H5 | 2.6888 | 2.7849 | 2.7572 | 2.8543 | 2.8570 | 3.0876 | −2.2 | −0.6 | −6.1 | −4.1 | −6.1 | −2.9 |
| [2.67] | [2.95] | [3.05] | ||||||||||
| X1···X2 | 4.224(15) | 4.45(3) | 3.770(3) | 4.292(11) | 3.8522(16) | 4.190(11) | – | – | −1.2 | – | −2.7 | −0.0 |
| [2.94] | [3.50] | [3.70] | ||||||||||
| Contact or Bond Path | Intermolecular Distance (Å) | Interaction Energy (kJ mol−1) | Contact or Bond Path | Intermolecular Distance (Å) | Interaction Energy (kJ mol−1) | ||||
|---|---|---|---|---|---|---|---|---|---|
| Temp. (K) | 90 | 373 | 90 | 373 | 90 | 373 | 90 | 373 | |
| to P (2 − x, 1 − y, 1 − z) | to R (1 − x, y, 0.5 − z) | ||||||||
| N2···H21 | 2.5183 | 2.5309 | −7.3 | −7.4 | H8···H14 | 2.5593 | 3.1797 | −1.6 | – |
| [2.75] | H8···H15 | 2.3827 | 2.8644 | −3.3 | >0 | ||||
| O4···H20 | 2.7494 | 3.0739 | −3.4 | 0.0 | [2.40] | ||||
| [2.72] | H15···O2 | 2.8829 | 3.1811 | −1.6 | >0 | ||||
| to Q (x, 1 − y, 0.5 + z) | [2.72] | ||||||||
| H3···centroid (C19–C24) | 2.5341 | 2.7382 | to S (1 − x, 1 − y, 1 − z) | ||||||
| C3···centroid (C19–C24) | 3.46 (3) | 3.64 (3) | C3···I3 | 3.94 (2) | 3.97 (2) | −0.7 | – | ||
| H3···C24 | 2.6826 | 2.8188 | −6.4 | −4.7 | C4···I3 | 4.03 (2) | 3.89 (3) | – | −0.9 |
| C17···H9 | 2.7720 | 2.9902 | −3.8 | −1.5 | [3.68] | ||||
| [2.90] | I3···I1 | 4.394 (10) | 4.233 (8) | – | −0.5 | ||||
| N4···H9 | 2.7130 | 2.5124 | −4.0 | −8.4 | [3.96] | ||||
| [2.75] | to T (1.5 − x, 1.5 − y, 1 − z) | ||||||||
| O1···H8 | 2.9189 | 2.7812 | −1.2 | −2.3 | I3···I4 | 3.856 (8) | 3.968 (8) | −4.3 | −2.8 |
| [2.72] | [3.96] | ||||||||
| H23···I2 | 3.2611 | 3.4235 | −3.1 | −1.0 | to U (1.5 − x, 0.5 − y, −z) | ||||
| [3.18] | I2···I2 | 3.804 (10) | 3.968 (10) | −5.6 | −3.0 | ||||
| I1···C22 | 3.79 (3) | 3.99 (7) | −2.5 | −0.9 | [3.96] | ||||
| [3.68] | to V (−0.5 + x, 0.5 + y, z) | ||||||||
| I1···I4 | 4.247 (12) | 4.070 (11) | – | −2.8 | I3···I2 | 4.897 (9) | 5.104 (12) | >0 | >0 |
| [3.96] | [3.96] | ||||||||
| Bond Path | Nequiv a | Npair b | Interaction Energy (kJ mol−1) | Bond Path | Nequiv a | Npair b | Interaction Energy (kJ mol−1) | ||
|---|---|---|---|---|---|---|---|---|---|
| Ligand Orientation | Major | Minor | Major | Minor | |||||
| to P (1 − x, 1 − y, 1 − z) | 2 | 1 | to S (0.5 + x, 0.5 − y, 0.5 + z) | 1 | 2 | ||||
| Br2···Br4 | −6.3 | – | O1 (O2′)···H21 | −7.6 | −2.9 | ||||
| Br1′···Br4 | – | −4.0 | C2 (C8′)···H20 | −0.1 | −0.8 | ||||
| C3′′···Br4 | – | −3.1 | C14···C21 | −1.6 | −1.6 | ||||
| to Q (2 − x, 1 − y, 2 − z) | 2 | 1 | H8′···H21 | – | −2.2 | ||||
| H14···C1′ | – | −0.6 | C17···Br4 | −2.9 | −3.0 | ||||
| H15···C4′ | – | −6.4 | Br3···Br4 | −2.8 | −2.8 | ||||
| H15···C10-C11 | −6.1 | – | to T (−0.5 + x, 0.5 − y, 0.5 + z) | 1 | 2 | ||||
| C7···H14 | −0.0 | – | Br1 (Br2′)···H23 | −4.2 | −2.5 | ||||
| Br2 (Br1′)···Br3 | −0.7 | −1.3 | Br1···H17 | −1.2 | – | ||||
| to R (1.5 − x, −0.5 + y, 1.5 − z) | 1 | 2 | to U (1 + x, y, z) | 1 | 2 | ||||
| N4···H9 (H3′) | −5.1 | −3.4 | Br3···H11 (H5′) | −6.4 | −7.6 | ||||
| O1 (O2′)···H8 (H2′) | −6.8 | −7.8 | to V (1 − x, 1 − y, 2 − z) | 2 | 1 | ||||
| H3···Br4 | −4.3 | – | Br2 (Br1′)···H5 (H11′) | −6.1 | −4.0 | ||||
| Br2′···Br4 | – | −3.4 | Br1···Br2 | −2.7 | – | ||||
| H3 (H9′)···C22 | −4.1 | −7.0 | |||||||
Disclaimer/Publisher’s Note: The statements, opinions and data contained in all publications are solely those of the individual author(s) and contributor(s) and not of MDPI and/or the editor(s). MDPI and/or the editor(s) disclaim responsibility for any injury to people or property resulting from any ideas, methods, instructions or products referred to in the content. |
© 2024 by the authors. Licensee MDPI, Basel, Switzerland. This article is an open access article distributed under the terms and conditions of the Creative Commons Attribution (CC BY) license (https://creativecommons.org/licenses/by/4.0/).
Share and Cite
Hirota, M.; Murata, S.; Sakurai, T.; Ohta, H.; Takahashi, K. The Relationship Between Spin Crossover (SCO) Behaviors, Cation and Ligand Motions, and Intermolecular Interactions in a Series of Anionic SCO Fe(III) Complexes with Halogen-Substituted Azobisphenolate Ligands. Molecules 2024, 29, 5473. https://doi.org/10.3390/molecules29225473
Hirota M, Murata S, Sakurai T, Ohta H, Takahashi K. The Relationship Between Spin Crossover (SCO) Behaviors, Cation and Ligand Motions, and Intermolecular Interactions in a Series of Anionic SCO Fe(III) Complexes with Halogen-Substituted Azobisphenolate Ligands. Molecules. 2024; 29(22):5473. https://doi.org/10.3390/molecules29225473
Chicago/Turabian StyleHirota, Mai, Suguru Murata, Takahiro Sakurai, Hitoshi Ohta, and Kazuyuki Takahashi. 2024. "The Relationship Between Spin Crossover (SCO) Behaviors, Cation and Ligand Motions, and Intermolecular Interactions in a Series of Anionic SCO Fe(III) Complexes with Halogen-Substituted Azobisphenolate Ligands" Molecules 29, no. 22: 5473. https://doi.org/10.3390/molecules29225473
APA StyleHirota, M., Murata, S., Sakurai, T., Ohta, H., & Takahashi, K. (2024). The Relationship Between Spin Crossover (SCO) Behaviors, Cation and Ligand Motions, and Intermolecular Interactions in a Series of Anionic SCO Fe(III) Complexes with Halogen-Substituted Azobisphenolate Ligands. Molecules, 29(22), 5473. https://doi.org/10.3390/molecules29225473

