Nucleoside Analogues for Chagas Disease and Leishmaniasis Therapy: Current Status and Future Perspectives
Abstract
1. Introduction
1.1. Pathology and Progression of Chagas Disease
1.2. Pathology and Progression of Leishmaniasis
1.3. Current Treatments for Chagas Disease and Leishmaniasis
2. Nucleoside Analogues as Therapeutic Agents for Chagas Disease and Leishmaniasis
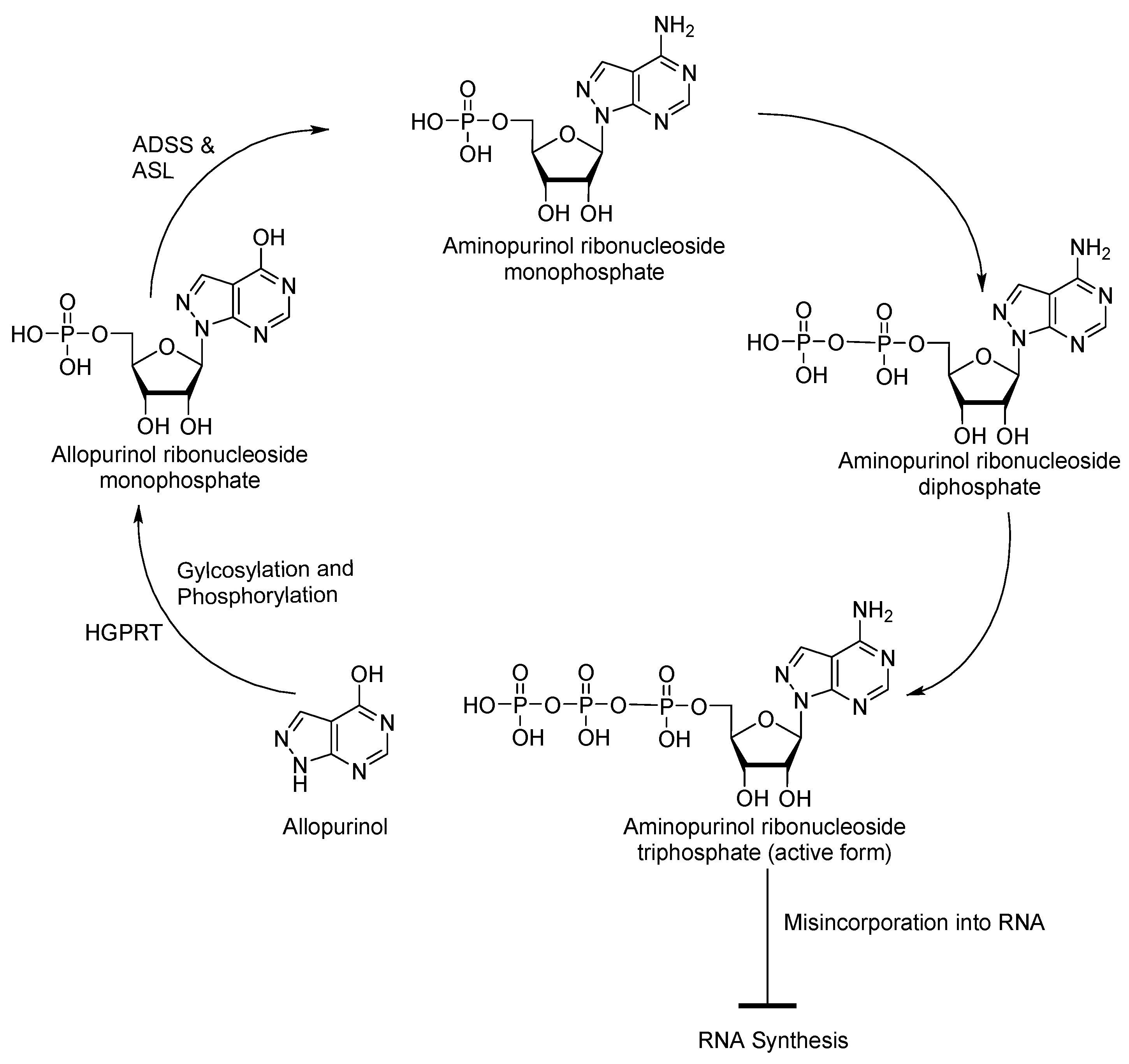
2.1. Nucleosides with Anti-Chagas Disease Activity
2.2. Nucleosides with Anti-Leishmanial Activity
3. Nucleoside Analogues in the Clinic with Anti-Leishmanial and Anti-Chagas Disease Activity
4. Future Directions
5. Conclusions
Author Contributions
Funding
Institutional Review Board Statement
Informed Consent Statement
Data Availability Statement
Conflicts of Interest
References
- Malecela, M.N.; Ducker, C. A road map for neglected tropical diseases 2021–2030. Trans. R. Soc. Trop. Med. Hyg. 2021, 115, 121–123. [Google Scholar] [CrossRef] [PubMed]
- Swaminathan, S.; Pécoul, B.; Abdullah, H.; Christou, C.; Gray, G.; IJsselmuiden, C.; Kieny, M.P.; Mazzucato, M.; von Messling, V.; Ogutu, B.; et al. Reboot biomedical R&D in the global public interest. Nature 2022, 602, 207–210. [Google Scholar] [CrossRef] [PubMed]
- Adam, T.; Ralaidovy, A.H.; Ross, A.L.; Reeder, J.C.; Swaminathan, S. Tracking global resources and capacity for health research: Time to reassess strategies and investment decisions. Health Res. Policy Syst. 2023, 21, 93. [Google Scholar] [CrossRef] [PubMed]
- Molyneux, D.H.; Aboe, A.; Isiyaku, S.; Bush, S. COVID-19 and neglected tropical diseases in Africa: Impacts, interactions, consequences. Int. Health 2020, 12, 367–372. [Google Scholar] [CrossRef]
- Santos, S.S.; De Araújo, R.V.; Giarolla, J.; Seoud, O.E.; Ferreira, E.I. Searching for drugs for Chagas disease, leishmaniasis and schistosomiasis: A review. Int. J. Antimicrob. Agents 2020, 55, 105906. [Google Scholar] [CrossRef]
- Chanda, K. An Overview on the Therapeutics of Neglected Infectious Diseases—Leishmaniasis and Chagas Diseases. Front. Chem. 2021, 9, 622286. [Google Scholar] [CrossRef]
- Chagas Disease [Internet]. World Health Organization. Available online: https://www.who.int/news-room/fact-sheets/detail/chagas-disease-(american-trypanosomiasis) (accessed on 5 July 2024).
- Olaia, N.; Alevi, K.C.C.; De Oliveira, J.; Cacini, G.L.; Souza, E.D.S.; Pinotti, H.; da Silva, L.A.; da Rosa, J.A. Biology of Chagas disease vectors: Biological cycle and emergence rates of Rhodnius marabaensis Souza et al., 2016 (Hemiptera, Reduviidae, Triatominae) under laboratory conditions. Parasitol. Res. 2021, 120, 2939–2945. [Google Scholar] [CrossRef]
- Suárez, C.; Nolder, D.; García-Mingo, A.; Moore, D.A.; Chiodini, P.L. Diagnosis and Clinical Management of Chagas Disease: An Increasing Challenge in Non-Endemic Areas. Res. Rep. Trop. Med. 2022, 13, 25–40. [Google Scholar] [CrossRef]
- Sharma, L.; Dhiman, M.; Singh, A.; Sharma, M.M. Green Approach: “A Forwarding Step for Curing Leishmaniasis—A Neglected Tropical Disease”. Front. Mol. Biosci. 2021, 8, 655584. [Google Scholar] [CrossRef]
- Mathison, B.A.; Bradley, B.T. Review of the Clinical Presentation, Pathology, Diagnosis, and Treatment of Leishmaniasis. Lab. Med. 2023, 54, 363–371. [Google Scholar] [CrossRef]
- Sangenito, L.S.; Da Silva Santos, V.; d’Avila-Levy, C.M.; Branquinha, M.H.; Souza Dos Santos, A.L.; De Oliveira, S.S.C. Leishmaniasis and Chagas Disease—Neglected Tropical Diseases: Treatment Updates. Curr. Top. Med. Chem. 2019, 19, 174–177. [Google Scholar] [CrossRef] [PubMed]
- Maya, J.D.; Cassels, B.K.; Iturriaga-Vásquez, P.; Ferreira, J.; Faúndez, M.; Galanti, N.; Ferreira, A.; Morello, A. Mode of action of natural and synthetic drugs against Trypanosoma cruzi and their interaction with the mammalian host. Comp. Biochem. Physiol. A Mol. Integr. Physiol. 2007, 146, 601–620. [Google Scholar] [CrossRef] [PubMed]
- Ponte-Sucre, A.; Gamarro, F.; Dujardin, J.C.; Barrett, M.P.; López-Vélez, R.; García-Hernández, R.; Pountain, A.W.; Mwenechanya, R.; Papadopoulou, B. Drug resistance and treatment failure in leishmaniasis: A 21st century challenge. PLoS Negl. Trop. Dis. 2017, 11, e0006052. [Google Scholar] [CrossRef] [PubMed]
- Silva-Jardim, I.; Thiemann, O.H.; Anibal, F.F. Leishmaniasis and Chagas disease chemotherapy: A critical review. J. Braz. Chem. Soc. 2014, 25, 1810–1823. [Google Scholar] [CrossRef]
- Vermelho, A.B.; Rodrigues, G.C.; Supuran, C.T. Why hasn’t there been more progress in new Chagas disease drug discovery? Expert. Opin. Drug Discov. 2020, 15, 145–158. [Google Scholar] [CrossRef]
- Agrofoglio, L.A.; Gillaizeau, I.; Saito, Y. Palladium-assisted routes to nucleosides. Chem. Rev. 2003, 103, 1875–1916. [Google Scholar] [CrossRef]
- Romeo, G.; Chiacchio, U.; Corsaro, A.; Merino, P. Chemical synthesis of heterocyclic−sugar nucleoside analogues. Chem. Rev. 2010, 110, 3337–3370. [Google Scholar] [CrossRef]
- Williams, D.M.; Blackburn, G.M. Nucleosides and Nucleotides. In Nucleic Acids in Chemistry and Biology; Blackburn, G.M., Egli, M., Gait, M.J., Watts, J.K., Eds.; The Royal Society of Chemistry: London, UK, 2022; pp. 96–169. [Google Scholar] [CrossRef]
- Pastuch-Gawołek, G.; Gillner, D.; Król, E.; Walczak, K.; Wandzik, I. Selected nucleos(t)ide-based prescribed drugs and their multi-target activity. Eur. J. Pharmacol. 2019, 865, 172747. [Google Scholar] [CrossRef]
- Davies, M.J.; Ross, A.M.; Gutteridge, W.E. The enzymes of purine salvage in Trypanosoma cruzi, Trypanosoma brucei and Leishmania mexicana. Parasitology 1983, 87, 211–217. [Google Scholar] [CrossRef]
- Marr, J.J.; Berens, R.L.; Cohn, N.K.; Nelson, D.J.; Klein, R.S. Biological action of inosine analogs in Leishmania and Trypanosoma spp. Antimicrob. Agents Chemother. 1984, 25, 292–295. [Google Scholar] [CrossRef]
- McCabe, R.E.; Remington, J.S.; Araujo, F.G. In vitro and in vivo activities of formycin B against Trypanosoma cruzi. Antimicrob. Agents Chemother. 1985, 27, 491–494. [Google Scholar] [CrossRef] [PubMed]
- Bouton, J.; Ferreira De Almeida Fiuza, L.; Cardoso Santos, C.; Mazzarella, M.A.; Soeiro, M.D.N.C.; Maes, L.; Karalic, I.; Caljon, G.; Van Calenbergh, S. Revisiting Pyrazolo[3,4-d]pyrimidine Nucleosides as Anti-Trypanosoma cruzi and Antileishmanial Agents. J. Med. Chem. 2021, 64, 4206–4238. [Google Scholar] [CrossRef] [PubMed]
- Anzai, K.; Nakamura, G.; Suzuki, S. A new antibiotic, tubercidin. J. Antibiot. 1957, 10, 201–204. [Google Scholar] [PubMed]
- Hulpia, F.; Van Hecke, K.; França Da Silva, C.; Da Gama Jaen Batista, D.; Maes, L.; Caljon, G.; de Nazaré C Soeiro, M.; Van Calenbergh, S. Discovery of Novel 7-Aryl 7-Deazapurine 3′-Deoxy-ribofuranosyl Nucleosides with Potent Activity against Trypanosoma cruzi. J. Med. Chem. 2018, 61, 9287–9300. [Google Scholar] [CrossRef] [PubMed]
- Hocek, M. C-Nucleosides: Synthetic Strategies and Biological Applications. Chem. Rev. 2009, 109, 6729–6764. [Google Scholar] [CrossRef]
- Draffan, A.G.; Frey, B.; Pool, B.; Gannon, C.; Tyndall, E.M.; Lilly, M.; Francom, P.; Hufton, R.; Halim, R.; Jahangiri, S.; et al. Discovery and Synthesis of C-Nucleosides as Potential New Anti-HCV Agents. ACS Med. Chem. Lett. 2014, 5, 679–684. [Google Scholar] [CrossRef][Green Version]
- Bouton, J.; Maes, L.; Karalic, I.; Caljon, G.; Van Calenbergh, S. Synthesis and evaluation of a collection of purine-like C-nucleosides as antikinetoplastid agents. Eur. J. Med. Chem. 2021, 212, 113101. [Google Scholar] [CrossRef]
- Lin, C.; Jaén Batista, D.D.G.; Mazzeti, A.L.; Donola Girão, R.; De Oliveira, G.M.; Karalic, I.; Hulpia, F.; Soeiro, M.N.C.; Maes, L.; Caljon, G.; et al. N-modification of 7-Deazapurine nucleoside analogues as Anti-Trypanosoma cruzi and anti-Leishmania agents: Structure-activity relationship exploration and In vivo evaluation. Eur. J. Med. Chem. 2022, 231, 114165. [Google Scholar] [CrossRef]
- Barnadas-Carceller, B.; Martinez-Peinado, N.; Gómez, L.C.; Ros-Lucas, A.; Gabaldón-Figueira, J.C.; Diaz-Mochon, J.J.; Gascon, J.; Molina, I.J.; Pineda de Las Infantas Y Villatoro, M.J.; Alonso-Padilla, J. Identification of compounds with activity against Trypanosoma cruzi within a collection of synthetic nucleoside analogs. Front. Cell Infect. Microbiol. 2023, 12, 1067461. [Google Scholar] [CrossRef]
- Peyron, C.; Benhida, R.; Bories, C.; Loiseau, P.M. Synthesis and in vitro antileishmanial activity of 5-substituted-2′-deoxyuridine derivatives. Bioorg. Chem. 2005, 33, 439–447. [Google Scholar] [CrossRef]
- Torrence, P.F.; Fan, X.; Zhang, X.; Loiseau, P.M. Structurally diverse 5-substituted pyrimidine nucleosides as inhibitors of Leishmania donovani promastigotes in vitro. Bioorg. Med. Chem. Lett. 2006, 16, 5047–5051. [Google Scholar] [CrossRef] [PubMed]
- Guo, S.; Wang, J.; Zhang, X.; Cojean, S.; Loiseau, P.M.; Fan, X. Synthesis of 5-isoxazol-3-yl-pyrimidine nucleosides as potential antileishmanial agents. Bioorg. Med. Chem. Lett. 2015, 25, 2617–2620. [Google Scholar] [CrossRef] [PubMed]
- Shin, I.S.; Tanifuji, H.; Arata, Y.; Morizawa, Y.; Nakayama, T.; Wataya, Y. 3′-Deoxy-3′-fluoroinosine as a potent antileishmanial agent. The metabolism and selective cytotoxic effect of 3′-deoxy-3′-fluoroinosine against Leishmania tropica and L. donovani in vitro and in vivo. Parasitol. Res. 1995, 81, 622–626. [Google Scholar] [CrossRef] [PubMed]
- Tran, H.A.; Zheng, Z.; Wen, X.; Manivannan, S.; Pastor, A.; Kaiser, M.; Brun, R.; Snyder, F.F.; Back, T.G. Synthesis and activity of nucleoside-based antiprotozoan compounds. Bioorg. Med. Chem. 2017, 25, 2091–2104. [Google Scholar] [CrossRef] [PubMed]
- Alzahrani, K.J.H.; Ali, J.A.M.; Eze, A.A.; Looi, W.L.; Tagoe, D.N.A.; Creek, D.J.; Barrett, M.P.; de Koning, H.P. Functional and genetic evidence that nucleoside transport is highly conserved in Leishmania species: Implications for pyrimidine-based chemotherapy. Int. J. Parasitol. Drugs Drug Resist. 2017, 7, 206–226. [Google Scholar] [CrossRef]
- Azzouz, S.; Lawton, P. In vitro effects of purine and pyrimidine analogues on Leishmania donovani and Leishmania infantum promastigotes and intracellular amastigotes. Acta Parasitol. 2017, 62, 582–588. [Google Scholar] [CrossRef]
- Ojeda-Porras, A.C.; Roy, V.; Agrofoglio, L.A. Chemical Approaches to Carbocyclic Nucleosides. Chem. Rec. 2022, 22, e202100307. [Google Scholar] [CrossRef]
- Matyugina, E.S.; Valuev-Elliston, V.T.; Babkov, D.A.; Novikov, M.S.; Ivanov, A.V.; Kochetkov, S.N.; Balzarini, J.; Seley-Radtke, K.L.; Khandazhinskaya, A.L. 5′-Nor carbocyclic nucleosides: Unusual nonnucleoside inhibitors of HIV-1 reverse transcriptase. MedChemComm 2013, 4, 741. [Google Scholar] [CrossRef]
- Alzahrani, K.J.; Matyugina, E.S.; Khandazhinskaya, A.L.; Kochetkov, S.N.; Seley-Radtke, K.L.; Koning, H.P.D. Evaluation of the antipro tozoan properties of 5′-norcarbocyclic pyrimidine nucleosides. Bioorg. Med. Chem. Lett. 2017, 27, 3081–3086. [Google Scholar] [CrossRef]
- Kager, P.A.; Rees, P.H.; Wellde, B.T.; Hockmeyer, W.T.; Lyerly, W.H. Allopurinol in the treatment of visceral leishmaniasis. Trans. R. Soc. Trop. Med. Hyg. 1981, 75, 556–559. [Google Scholar] [CrossRef]
- Rassi, A.; Luquetti, A.O.; Rassi, A.; Rassi, G.G.; Rassi, S.G.; DA Silva, I.G.; Rassi, A.G. Specific treatment for Trypanosoma cruzi: Lack of efficacy of allopurinol in the human chronic phase of Chagas disease. Am. J. Trop. Med. Hyg. 2007, 76, 58–61. [Google Scholar] [CrossRef] [PubMed]
- Berens, R.L.; Marr, J.J.; Steele Da Cruz, F.S.; Nelson, D.J. Effect of allopurinol on Trypanosoma cruzi: Metabolism and biological activity in intracellular and bloodstream forms. Antimicrob. Agents Chemother. 1982, 22, 657–661. [Google Scholar] [CrossRef] [PubMed]
- Looker, D.L.; Marr, J.J.; Berens, R.L. Mechanisms of action of pyrazolopyrimidines in Leishmania donovani. J. Biol. Chem. 1986, 261, 9412–9415. [Google Scholar] [CrossRef] [PubMed]
- Nelson, D.J.; Bugge, C.J.; Elion, G.B.; Berens, R.L.; Marr, J.J. Metabolism of pyrazolo(3,4-d)pyrimidines in Leishmania braziliensis and Leishmania donovani. Allopurinol, oxipurinol, and 4-aminopyrazolo(3,4-d)pyrimidine. J. Biol. Chem. 1979, 254, 3959–3964. [Google Scholar] [CrossRef] [PubMed]
- Chatelain, E. Chagas disease drug discovery: Toward a new era. J. Biomol. Screen. 2015, 20, 22–35. [Google Scholar] [CrossRef]
- Van Bocxlaer, K.; Gaukel, E.; Hauser, D.; Park, S.H.; Schock, S.; Yardley, V.; Randolph, R.; Plattner, J.J.; Merchant, T.; Croft, S.L.; et al. Topical treatment for cutaneous leishmaniasis: Dermato-pharmacokinetic lead optimization of benzoxaboroles. Antimicrob. Agents Chemother. 2018, 62, 10–128. [Google Scholar] [CrossRef]
- De Rycker, M.; Baragaña, B.; Duce, S.L.; Gilbert, I.H. Challenges and recent progress in drug discovery for tropical diseases. Nature 2018, 559, 498–506. [Google Scholar] [CrossRef]
- De Rycker, M.; Wyllie, S.; Horn, D.; Read, K.D.; Gilbert, I.H. Anti-trypanosomatid drug discovery: Progress and challenges. Nat. Rev. Microbiol. 2023, 21, 35–50. [Google Scholar] [CrossRef]
- Target Product Profile Database [Internet]. Available online: https://www.who.int/tools/target-product-profile-database (accessed on 12 September 2024).
- Park, K. A review of computational drug repurposing. Transl. Clin. Pharmacol. 2019, 27, 59–63. [Google Scholar] [CrossRef]
- Juárez-Saldivar, A.; Schroeder, M.; Salentin, S.; Haupt, V.J.; Saavedra, E.; Vázquez, C.; Reyes-Espinosa, F.; Herrera-Mayorga, V.; Villalobos-Rocha, J.C.; García-Pérez, C.A.; et al. Computational Drug Repositioning for Chagas Disease Using Protein-Ligand Interaction Profiling. Int. J. Mol. Sci. 2020, 21, 4270. [Google Scholar] [CrossRef]
- Sinokrot, H.; Smerat, T.; Najjar, A.; Karaman, R. Advanced prodrug strategies in nucleoside and non-nucleoside antiviral agents: A review of the recent five years. Molecules 2017, 22, 1736. [Google Scholar] [CrossRef] [PubMed]
- Chen, M.; Luo, J.; Jiang, W.; Chen, L.; Miao, L.; Han, C. Cordycepin: A review of strategies to improve the bioavailability and efficacy. Phytother. Res. 2023, 37, 3839–3858. [Google Scholar] [CrossRef] [PubMed]
- Hulpia, F.; Mabille, D.; Campagnaro, G.D.; Schumann, G.; Maes, L.; Roditi, I.; Hofer, A.; De Koning, H.P.; Caljon, G.; Van Calenbergh, S. Combining tubercidin and cordycepin scaffolds results in highly active candidates to treat late-stage sleeping sickness. Nat. Commun. 2019, 10, 5564. [Google Scholar] [CrossRef] [PubMed]
- Mehellou, Y.; Rattan, H.S.; Balzarini, J. The ProTide Prodrug Technology: From the Concept to the Clinic: Miniperspective. J. Med. Chem. 2018, 61, 2211–2226. [Google Scholar] [CrossRef]
- Thornton, P.J.; Kadri, H.; Miccoli, A.; Mehellou, Y. Nucleoside Phosphate and Phosphonate Prodrug Clinical Candidates: Miniperspective. J. Med. Chem. 2016, 59, 10400–10410. [Google Scholar] [CrossRef]
- Seley-Radtke, K.L.; Yates, M.K. The evolution of nucleoside analogue antivirals: A review for chemists and non-chemists. Part 1: Early structural modifications to the nucleoside scaffold. Antivir. Res. 2018, 154, 66–86. [Google Scholar] [CrossRef]
- Mazzeti, A.L.; Diniz, L.D.F.; Gonçalves, K.R.; WonDollinger, R.S.; Assíria, T.; Ribeiro, I.; Bahia, M.T. Synergic Effect of Allopurinol in Combination with Nitroheterocyclic Compounds against Trypanosoma cruzi. Antimicrob. Agents Chemother. 2019, 63, e02264-18. [Google Scholar] [CrossRef]
- Present, C.; Girão, R.D.; Lin, C.; Caljon, G.; Van Calenbergh, S.; Moreira, O.; de Souza Ruivo, L.A.; Batista, M.M.; Azevedo, R.; Batista, D.D.; et al. N6-methyltubercidin gives sterile cure in a cutaneous Leishmania amazonensis mouse model. Parasitology 2024, 151, 506–513. [Google Scholar] [CrossRef]
- Fiuza, L.F.D.A.; Batista, D.G.J.; Girão, R.D.; Hulpia, F.; Finamore-Araújo, P.; Aldfer, M.M.; Elmahallawy, E.K.; De Koning, H.P.; Moreira, O.; Van Calenbergh, S.; et al. Phenotypic Evaluation of Nucleoside Analogues against Trypanosoma cruzi Infection: In Vitro and In Vivo Approaches. Molecules 2022, 27, 8087. [Google Scholar] [CrossRef]
- Braillard, S.; Keenan, M.; Breese, K.J.; Heppell, J.; Abbott, M.; Islam, R.; Shackleford, D.M.; Katneni, K.; Crighton, E.; Chen, G.; et al. DNDI-6174 is a preclinical candidate for visceral leishmaniasis that targets the cytochrome bc1. Sci. Transl. Med. 2023, 15, eadh9902. [Google Scholar] [CrossRef]




| Compound (Number) | In Vitro Activity (IC50 μM) | Structure | Reference | ||
|---|---|---|---|---|---|
| T. cruzi | L. donovani | L. infantum | |||
| Allopurinol ribonucleoside (9) | 2–10 | 7 | ![]() | [22] | |
| 9-deazainosine (10) | 1 | 1 | ![]() | [22] | |
| Formycin B (11) | 0.5 | 1 | ![]() | [22,23] | |
| 7-(4-chlorophenyl)-aminopurinol ribonucleoside (12) | 0.32 | >64.0 | ![]() | [24] | |
| Tubercidin (7-deazaadenosine) (13) | 0.34 | 0.13 | ![]() | [25] | |
| Cordycepin (3′-deoxyadenosine) (14) | 2.51 | ![]() | [26] | ||
| 7-(4-chlorophenyl)-3′-deoxy-7-deazaadenosine (15) | 0.047 | ![]() | [26] | ||
| 9-deazadenosines (16) R1= Cl; R2 = H (17) R1= Cl; R2 = F (18) R1= Br; R2 = H | 0.34 1.04 0.46 | >64.0 >64.0 >64.0 | ![]() | [29] | |
| N6-methyltubercidin (19) | 0.45 | 0.49 | ![]() | [30] | |
| Thia-dU (20) | 3.1 | ![]() | [32] | ||
| Azidothymidine (21) | 3.1 | ![]() | [32] | ||
| 5-formyl-2′-deoxyuridine (22) | 0.9 | ![]() | [33] | ||
| 5-isoxazol-3-yl-2′-deoxyuridine nucleosides | ![]() | ||||
| (23) R1 = OH; R2 = C6H5 | 0.76 | ||||
| (24) R1 = OH; R2 = 4-CH3-C6H4 | 0.61 | ||||
| (25) R1 = OH; R2 = 4-F-C6H4 | 0.58 | [34] | |||
| (26) R1 = OH; R2 = CH2OH | 0.73 | ||||
| (27) R1 = N3; R2 = CH2OH | 0.49 | ||||
| 3′-deoxy-3′-fluoroinosine (28) | 1 | ![]() | [35] | ||
| 6-chloroguanosine (29) | 0.06 | ![]() | [36] | ||
| 5-fluorouracil (30) | 1 | 3 | ![]() | [38] | |
Disclaimer/Publisher’s Note: The statements, opinions and data contained in all publications are solely those of the individual author(s) and contributor(s) and not of MDPI and/or the editor(s). MDPI and/or the editor(s) disclaim responsibility for any injury to people or property resulting from any ideas, methods, instructions or products referred to in the content. |
© 2024 by the authors. Licensee MDPI, Basel, Switzerland. This article is an open access article distributed under the terms and conditions of the Creative Commons Attribution (CC BY) license (https://creativecommons.org/licenses/by/4.0/).
Share and Cite
Nwoke, E.A.; Lowe, S.; Aldabbagh, F.; Kalesh, K.; Kadri, H. Nucleoside Analogues for Chagas Disease and Leishmaniasis Therapy: Current Status and Future Perspectives. Molecules 2024, 29, 5234. https://doi.org/10.3390/molecules29225234
Nwoke EA, Lowe S, Aldabbagh F, Kalesh K, Kadri H. Nucleoside Analogues for Chagas Disease and Leishmaniasis Therapy: Current Status and Future Perspectives. Molecules. 2024; 29(22):5234. https://doi.org/10.3390/molecules29225234
Chicago/Turabian StyleNwoke, Emmanuel Awucha, Silvester Lowe, Fawaz Aldabbagh, Karunakaran Kalesh, and Hachemi Kadri. 2024. "Nucleoside Analogues for Chagas Disease and Leishmaniasis Therapy: Current Status and Future Perspectives" Molecules 29, no. 22: 5234. https://doi.org/10.3390/molecules29225234
APA StyleNwoke, E. A., Lowe, S., Aldabbagh, F., Kalesh, K., & Kadri, H. (2024). Nucleoside Analogues for Chagas Disease and Leishmaniasis Therapy: Current Status and Future Perspectives. Molecules, 29(22), 5234. https://doi.org/10.3390/molecules29225234

















