Exploring Secondary Amine Carnosine Derivatives: Design, Synthesis, and Properties
Abstract
1. Introduction
2. Results and Discussion
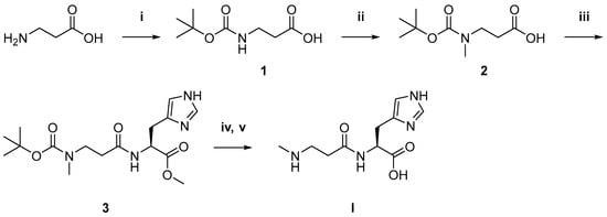
2.1. Chemistry
2.2. Characterization of the Compounds
3. Materials and Methods
3.1. Chemistry
3.1.1. General
3.1.2. Synthesis of N-Tert-Butoxycarbonyl-3-Aminopropanoic Acid (1)
3.1.3. N-Tert-Butoxycarbonyl-N-Methyl-3-Aminopropanoic Acid (2)
3.1.4. Synthesis of Ethyl N-(Adamantan-1-Yl)-3-Aminopropanoate (4)
3.1.5. Synthesis of Ethyl N-Phenyl- 3-Aminopropanoate (5)
3.1.6. General Procedure for the Synthesis of N-Substituted-3-Aminopropanoic Acid
- N-(Adamantan-1-yl)-3-aminopropanoic acid (6): The product was obtained as colorless oil (quant yield). Rf = 0.14 (cyclohexane/ethyl acetate 1:1). 1H NMR (300 MHz, D2O) δ 3.17 (t, J = 6.7 Hz, 2H), 2.63 (t, J = 6.6 Hz, 2H), 2.11–2.02 (m, 3H), 1.80–1.71 (m, 6H), 1.67–1.48 (m, 6H).
- N-Phenyl-3-aminopropanoic acid (7): The product was obtained as brown oil (97% yield). Rf = 0.18 (cyclohexane/ethyl acetate 2:1). 1H NMR (300 MHz, D2O): δ 7.17 (t, J = 7.5 Hz, 2H), 6.75 (d, J = 7.7 Hz, 3H), 3.22 (d, J = 6.4 Hz, 2H), 3.20 (t, J = 6.4 Hz, 2H), 2.37 (t, J = 6.4 Hz, 2H).
3.1.7. General Procedure for the Synthesis of N-Substituted-3-Aminopropanoyl-l-Histidine Methyl Esters
- N-substituted-3-aminopropanoic acid (2, 6 and 7) (0.80 mmol) was dissolved in acetonitrile (~10 mL) and cooled to 0 °C. Then, HBTU (0.84 mmol, 318.57 mg) and DIPEA (0.88 mmol, 0.15 mL) were added, and the mixture was stirred at room temperature for 1 h (mixture 1). In the meantime, l-histidine methyl ester (0.80 mmol, 193.68 mg) was suspended in acetonitrile (15 mL) and after adding DIPEA (1.68 mmol, 0.29 mL) the mixture was stirred at room temperature for 1 h (mixture 2). Afterwards, mixture 2 was added dropwise to mixture 1 and stirred for 48 h. The solvent was evaporated under vacuum and the residue was dissolved in dichloromethane or ethyl acetate and washed with a 10% aqueous solution of NaHCO3 (15 mL or 3 mL) and NH4Cl (15 mL or 3 mL). The combined organic phases were dried over Na2SO4 and evaporated to dryness to obtain compounds 3, 8, and 9.
- N-Tert-butoxycarbonyl-N-methyl-3-aminopropanoyl-L-histidine methyl ester (3): Compound 10 was obtained as colorless oil and used without further purification for the next reaction (89% yield). Rf = 0.43 (ethyl acetate–methanol 8:2 + 1% NH3). 1H NMR (300 MHz, CDCl3) δ 7.26 (s, 1H), 6.91 (s, 1H), 5.29 (s, 1H), 4.86–4.71 (m, 1H), 3.78–3.60 (m, 5H), 3.15 (m, 2H), 2.80 (s, 3H), 2.45 (t, J = 6.6 Hz, 2H), 1.53–1.35 (m, 9H).
- N-(Adamantan-1-yl)-3-aminopropanoyl-l-histidine methyl ester (8): The product was obtained as yellow pale oil and used without further purification for the next reaction (45% yield). Rf = 0.35 (dichloromethane–methanol 7:3). 1H NMR (300 MHz, D2O) δ 7.85 (s, 1H), 7.10 (s, 1H), 4.39–4.27 (m, 1H), 3.07–2.72 (m, 7H), 2.44 (t, J = 6.7 Hz, 2H), 2.06–1.89 (m, 3H), 1.73–1.37 (m, 12H).
- N-Phenyl-3-aminopropanoyl-l-histidine methyl ester (9): Compound 5 was further purified by flash column chromatography using ethyl acetate–methanol (8:2) as an eluent and was obtained as brown oil (64% yield). Rf = 0.44 (ethyl acetate-methanol 8:2). 1H NMR (300 MHz, CDCl3) δ 7.52 (s, 1H), 7.14 (t, J = 7.6 Hz, 2H), 6.82 (s, 1H), 6.68 (m, 3H), 4.87–4.70 (m, 1H), 3.76–3.60 (m, 3H), 3.50–3.33 (m, 1H), 3.23–3.13 (m, 3H), 2.55 (t, J = 6.4 Hz, 2H).
3.1.8. Synthesis of N-Methyl-3-Aminopropanoyl-l-Histidine (I)
3.1.9. General Procedure for the Synthesis of 3-Substuituted Propanoyl-l-Histidine
- N-(Adamantan-1-yl)-3-aminopropanoyl-l-histidine (IV): The product was further purified by reverse-phase column chromatography (6 g Sfär C18D) using water–acetonitrile (gradient elution from 90:10 to 80:20 + 0.1% formic acid) as an eluent. The aqueous phase was concentrated by freeze-drying (lyophilization) and the pure compound was obtained as a yellow pale solid (70% yield). Rf = 0.11 (water–acetonitrile 80:20 + 0.1% formic acid). Mp 96 °C. 1H NMR (300 MHz, D2O) δ 8.46 (s, 1H), 7.13 (s, 1H), 4.42–4.30 (m, 1H), 3.23–3.03 (m, 3H), 2.97 (dd, J = 15.4, 8.3 Hz, 1H), 2.54 (t, J = 6.5 Hz, 2H), 2.11–2.01 (m, 3H), 1.82–1.68 (m, J = 21.3 Hz, 6H), 1.67–1.42 (m, 6H). 13C NMR (75 MHz, D2O) δ 176.3, 171.3, 133.1, 129.6, 116.6, 57.8, 54.0, 37.9, 35.4, 34.8, 31.2, 28.7, 27.0. C19H28N4O3 [M + H]+ = 361.35 m/z.
- N-Phenyl-3-aminopropanoyl-l-histidine (V): The product was further purified by reverse-phase column chromatography (6 g Sfär C18D) using water–acetonitrile (80:20) as an eluent. The aqueous phase was concentrated by freeze-drying and the pure compound was obtained as brown resin (85% yield). Rf = 0.28 (H2O-CH3CN 80:20). 1H NMR (300 MHz, D2O) δ 8.04 (s, 1H), 7.12 (t, J = 7.8 Hz, 2H), 6.92 (s, 1H), 6.70 (t, J = 7.3 Hz, 1H), 6.62 (d, J = 7.8 Hz, 2H), 4.33–4.27 (m, 1H), 3.19 (t, J = 6.4, 2H), 3.01 (dd, J = 15.5 Hz, J = 8.5 Hz, 1H), 2.85 (dd, J = 15.3 Hz, J = 8.6 Hz, 1H), 2.40 2.32 (m, 2H). 13C NMR (75 MHz, D2O) δ 176.80, 173.99, 147.44, 133.72, 129.43, 118.98, 116.77, 114.60, 57.34, 40.29, 35.17, 27.70. C15H18N4O3 [M + H]+ = 303.14 m/z.
3.1.10. Synthesis of N-Cyclohexyl-3-Aminopropanoyl-l-Histidine (II)
3.1.11. General Procedure for the Synthesis of N-Substituted-3-Aminopropanoyl-l-Histidine
- N-Cyclohexylmethyl-3-aminopropanoyl-l-histidine (III): The residue was dissolved in NaOH (0.1 M) and extracted with Et2O. The aqueous-phase pH was adjusted to 6 with 10% HCl aqueous solution and extracted with ethyl acetate. The solvents were evaporated to dryness. The product was further purified by reverse-phase column chromatography (6 g Sfär C18D) using water–acetonitrile (65:35 + 0.1% formic acid) as an eluent. The aqueous phase was concentrated by freeze-drying and the pure compound was obtained as white solid (80% yield). Rf = 0.32 (water–acetonitrile 65:35 + 0.1% formic acid). Mp 102 °C. 1H NMR (300 MHz, D2O) δ 7.73 (s, 1H), 6.86 (s, 1H), 4.35–4.25 (m, 1H), 3.11 (t, 2H), 3.01 (dd, J = 15.1 Hz, J = 8.4, 1H), 2.84 (dd, J = 15.3 Hz, J = 8.4, 1H), 2.73 (d, J = 6.67 Hz, 2H), 2.59–2.51 (m, 2H), 1.67–1.45 (m, 6H), 1.21–0.97 (m, 3H), 0.94–0.73 (m, 2H). 13C NMR (75 MHz, D2O) δ 176.3, 171.4, 133.1, 129.4, 116.6, 54.0, 53.4, 43.6, 34.3, 30.7, 29.7, 27.0, 25.4, 24.8. C16H26N4O3 [M + H]+ = 323.27 m/z.
- N-Benzyl-3-aminopropanoyl-l-histidine (VI): The residue was dissolved in NaOH (0.1 M) and extracted with Et2O. The aqueous phase pH was adjusted to 6 with 10% HCl aqueous solution and extracted with ethyl acetate. The solvents were evaporated to dryness. The product was further purified by reverse phase column chromatography (6 g Sfär C18D) using water–acetonitrile (gradient elution from 90:10 to 70.30) as an eluent. The aqueous phase was concentrated by freeze-drying and the pure compound was obtained as white solid (55% yield). Rf = 0.26 (water–acetonitrile 90:10). Mp 103 °C. 1H NMR (300 MHz, D2O) δ 8.45 (s, 1H), 7.40–7.29 (m, 5H), 7.12 (s, 1H), 4.41–4.36 (m, 1H), 4.13 (s, 2H) 3.25–3.05 (m, 3H), 2.96 (dd, J = 15.1 Hz, J = 8.6 Hz, 1H), 2.66–2.50 (m, 2H). 13C NMR (75 MHz, D2O) δ 175.9, 171.3, 133.1, 130.4, 129.7, 129.6, 129.4, 129.2, 116.6, 53.8, 51.0, 42.6, 30.8, 26.9. C16H20N4O3 [M + H]+ = 317.16 m/z.
- N-(4-Chlorobenzyl)-3-aminopropanoyl-l-histidine (VII): The residue was dissolved in Et2O (7 mL), the solid was removed by filtration, and the solvent was evaporated under reduced pressure to obtain the pure product as a white solid (53% yield). Rf = 0.30 (methanol–acetonitrile 8:2). Mp 97 °C. 1H NMR (300 MHz, CD3OD) δ 7.45 (s, J = 1.0 Hz, 1H), 7.30 (s, 4H), 6.80 (s, 1H), 4.48 (dt, J = 11.8, 5.9 Hz, 1H), 3.70 (s, 2H), 3.16 (dd, J = 15.0, 4.5 Hz, 1H), 2.98 (dd, J = 15.0, 7.6 Hz, 1H), 2.80 (t, J = 6.6 Hz, 2H), 2.40 (t, J = 6.6 Hz, 2H). 13C NMR (75 MHz, CD3OD) δ 176.94, 172.48, 137.99, 134.47, 132.45, 129.73, 128.09, 54.75, 51.97, 44.60, 35.12, 29.17. C16H19ClN4O3 [M + H]+ = 351.09 m/z.
- N-(4-Cyanobenzyl)-3-aminopropanoyl-l-histidine (VIII): The residue was dissolved in Et2O (7 mL), the solid was removed by filtration, and the solvent was evaporated under reduced pressure to obtain the pure product as a white solid (55% yield). Rf = 0.27 (methanol–acetonitrile 8:2). Mp 101 °C. 1H NMR (300 MHz, CD3OD) δ 7.67 (d, J = 8.1 Hz, 2H), 7.51 (d, J = 8.1 Hz, 2H), 7.46 (s, 1H), 6.80 (s, 1H), 4.50 (dd, J = 7.3, 4.5 Hz, 1H), 3.81 (s, 2H), 3.16 (dd, J = 14.9, 4.6 Hz, 1H), 3.00 (dd, J = 14.9, 7.5 Hz, 1H), 2.80 (t, J = 6.5 Hz, 2H), 2.40 (t, J = 6.5 Hz, 2H). 13C NMR (75 MHz, CD3OD) δ 176.60, 172.43, 145.52, 134.29, 131.88, 128.90, 118.40, 110.27, 54.54, 52.25, 44.71, 35.23, 29.01. C17H19N5O3 [M + H]+ = 342.17 m/z.
- N-(4-Nitrobenzyl)-3-aminopropanoyl-l-histidine (IX): The residue was dissolved in Et2O (7 mL), the solid was removed by filtration, and the solvent was evaporated under reduced pressure to obtain the pure product as a white solid (75% yield). Rf = 0.25 (methanol–acetonitrile 8:2). Mp 101 °C. 1H NMR (300 MHz, CD3OD) δ 8.17 (d, J = 8.4 Hz, 2H), 7.56 (d, J = 8.4 Hz, 2H), 7.47 (s, 1H), 6.81 (s, 1H), 4.50 (dd, J = 7.3, 4.7 Hz, 1H), 3.85 (s, 2H), 3.16 (dt, J = 12.0, 6.0 Hz, 1H), 3.06–2.93 (m, 1H), 2.82 (t, J = 6.3 Hz, 2H), 2.42 (t, J = 6.5 Hz, 2H). 13C NMR (75 MHz, CD3OD) δ 176.79, 172.51, 147.52, 147.02, 134.39, 128.90, 123.06, 54.66, 51.98, 44.75, 35.30, 29.17. C16H19N5O5 [M + H]+ = 362.09 m/z.
3.2. Analytical Methods
3.2.1. HNE Binding Activity
3.2.2. Determination of the Reaction Rate Constants
3.2.3. Serum Stability
3.2.4. Inhibition of Serum Carnosinase
3.3. Computational Details
3.4. Data Analysis and Statistics
4. Conclusions
Supplementary Materials
Author Contributions
Funding
Institutional Review Board Statement
Informed Consent Statement
Data Availability Statement
Conflicts of Interest
Abbreviations
References
- Aldini, G.; Orioli, M.; Carini, M. α,β-unsaturated aldehydes adducts to actin and albumin as potential biomarkers of carbonylation damage. Redox Rep. 2007, 12, 20–25. [Google Scholar] [CrossRef] [PubMed]
- Semchyshyn, H.M. Reactive Carbonyl Species In Vivo: Generation and Dual Biological Effects. Sci. World J. 2014, 2014, 1–10. [Google Scholar] [CrossRef] [PubMed]
- Fuloria, S.; Subramaniyan, V.; Karupiah, S.; Kumari, U.; Sathasivam, K.; Meenakshi, D.U.; Wu, Y.S.; Mac Guad, R.; Udupa, K.; Fuloria, N.K. A Comprehensive Review on Source, Types, Effects, Nanotechnology, Detection, and Therapeutic Management of Reactive Carbonyl Species Associated with Various Chronic Diseases. Antioxidants 2020, 9, 1075. [Google Scholar] [CrossRef]
- O’Brien, P.J.; Siraki, A.G.; Shangari, N. Aldehyde Sources, Metabolism, Molecular Toxicity Mechanisms, and Possible Effects on Human Health. Crit. Rev. Toxicol. 2005, 35, 609–662. [Google Scholar] [CrossRef] [PubMed]
- Dalle-Donne, I.; Giustarini, D.; Colombo, R.; Rossi, R.; Milzani, A. Protein carbonylation in human diseases. Trends Mol. Med. 2003, 9, 169–176. [Google Scholar] [CrossRef] [PubMed]
- Artasensi, A.; Salina, E.; Fumagalli, L.; Regazzoni, L. A Novel Chromatographic Method to Assess the Binding Ability towards Dicarbonyls. Molecules 2023, 28, 5341. [Google Scholar] [CrossRef]
- Arribas-Lorenzo, G.; Morales, F.J. Analysis, Distribution, and Dietary Exposure of Glyoxal and Methylglyoxal in Cookies and Their Relationship with Other Heat-Induced Contaminants. J. Agric. Food Chem. 2010, 58, 2966–2972. [Google Scholar] [CrossRef]
- Kwak, S.; Choi, Y.S.; Na, H.G.; Bae, C.H.; Song, S.-Y.; Kim, Y.-D. Glyoxal and Methylglyoxal as E-cigarette Vapor Ingredients-Induced Pro-Inflammatory Cytokine and Mucins Expression in Human Nasal Epithelial Cells. Am. J. Rhinol. Allergy 2020, 35, 213–220. [Google Scholar] [CrossRef]
- Wang, Y.; Ho, C.-T. Flavour chemistry of methylglyoxal and glyoxal. Chem. Soc. Rev. 2012, 41, 4140–4149. [Google Scholar] [CrossRef]
- Mol, M.; Regazzoni, L.; Altomare, A.; Degani, G.; Carini, M.; Vistoli, G.; Aldini, G. Enzymatic and non-enzymatic detoxification of 4-hydroxynonenal: Methodological aspects and biological consequences. Free Radic. Biol. Med. 2017, 111, 328–344. [Google Scholar] [CrossRef]
- Yoval-Sánchez, B.; Rodríguez-Zavala, J.S. Differences in Susceptibility to Inactivation of Human Aldehyde Dehydrogenases by Lipid Peroxidation Byproducts. Chem. Res. Toxicol. 2012, 25, 722–729. [Google Scholar] [CrossRef] [PubMed]
- Boleda, M.D.; Saubi, N.; Farres, J.; Pares, X. Physiological Substrates for Rat Alcohol Dehydrogenase Classes: Aldehydes of Lipid Peroxidation, ω-Hydroxyfatty Acids, and Retinoids. Arch. Biochem. Biophys. 1993, 307, 85–90. [Google Scholar] [CrossRef] [PubMed]
- Amunom, I.; Stephens, L.J.; Tamasi, V.; Cai, J.; Pierce, W.M.; Conklin, D.J.; Bhatnagar, A.; Srivastava, S.; Martin, M.V.; Guengerich, F.P.; et al. Cytochromes P450 catalyze oxidation of α,β-unsaturated aldehydes. Arch. Biochem. Biophys. 2007, 464, 187–196. [Google Scholar] [CrossRef] [PubMed][Green Version]
- Amunom, I.; Dieter, L.J.; Tamasi, V.; Cai, J.; Conklin, D.J.; Srivastava, S.; Martin, M.V.; Guengerich, F.P.; Prough, R.A. Cytochromes P450 Catalyze the Reduction of α,β-Unsaturated Aldehydes. Chem. Res. Toxicol. 2011, 24, 1223–1230. [Google Scholar] [CrossRef] [PubMed]
- Hartley, D.; Ruth, J.; Petersen, D. The Hepatocellular Metabolism of 4-Hydroxynonenal by Alcohol Dehydrogenase, Aldehyde Dehydrogenase, and Glutathione S-Transferase. Arch. Biochem. Biophys. 1995, 316, 197–205. [Google Scholar] [CrossRef] [PubMed]
- Behl, T.; Gupta, A.; Chigurupati, S.; Singh, S.; Sehgal, A.; Badavath, V.N.; Alhowail, A.; Mani, V.; Bhatia, S.; Al-Harrasi, A.; et al. Natural and Synthetic Agents Targeting Reactive Carbonyl Species against Metabolic Syndrome. Molecules 2022, 27, 1583. [Google Scholar] [CrossRef]
- Colzani, M.; De Maddis, D.; Casali, G.; Carini, M.; Vistoli, G.; Aldini, G. Reactivity, Selectivity, and Reaction Mechanisms of Aminoguanidine, Hydralazine, Pyridoxamine, and Carnosine as Sequestering Agents of Reactive Carbonyl Species: A Comparative Study. ChemMedChem 2016, 11, 1778–1789. [Google Scholar] [CrossRef]
- Menini, S.; Iacobini, C.; Fantauzzi, C.B.; Pugliese, G. L-carnosine and its Derivatives as New Therapeutic Agents for the Prevention and Treatment of Vascular Complications of Diabetes. Curr. Med. Chem. 2020, 27, 1744–1763. [Google Scholar] [CrossRef]
- Anderson, E.J.; Vistoli, G.; Katunga, L.A.; Funai, K.; Regazzoni, L.; Monroe, T.B.; Gilardoni, E.; Cannizzaro, L.; Colzani, M.; De Maddis, D.; et al. A carnosine analog mitigates metabolic disorders of obesity by reducing carbonyl stress. J. Clin. Investig. 2018, 128, 5280–5293. [Google Scholar] [CrossRef]
- Gilardoni, E.; Baron, G.; Altomare, A.; Carini, M.; Aldini, G.; Regazzoni, L. The Disposal of Reactive Carbonyl Species through Carnostne Conjugation. What We Know Now. Curr. Med. Chem. 2020, 27, 1726–1743. [Google Scholar] [CrossRef]
- Chmielewska, K.; Dzierzbicka, K.; Inkielewicz-Stępniak, I.; Przybyłowska, M. Therapeutic Potential of Carnosine and Its Derivatives in the Treatment of Human Diseases. Chem. Res. Toxicol. 2020, 33, 1561–1578. [Google Scholar] [CrossRef] [PubMed]
- Spaas, J.; Franssen, W.M.A.; Keytsman, C.; Blancquaert, L.; Vanmierlo, T.; Bogie, J.; Broux, B.; Hellings, N.; van Horssen, J.; Posa, D.K.; et al. Carnosine quenches the reactive carbonyl acrolein in the central nervous system and attenuates autoimmune neuroinflammation. J. Neuroinflammation 2021, 18, 1–19. [Google Scholar] [CrossRef] [PubMed]
- Schaur, R. Basic aspects of the biochemical reactivity of 4-hydroxynonenal. Mol. Asp. Med. 2003, 24, 149–159. [Google Scholar] [CrossRef] [PubMed]
- Lin, D.; Lee, H.-G.; Liu, Q.; Perry, G.; Smith, M.A.; Sayre, L.M. 4-Oxo-2-nonenal Is Both More Neurotoxic and More Protein Reactive than 4-Hydroxy-2-nonenal. Chem. Res. Toxicol. 2005, 18, 1219–1231. [Google Scholar] [CrossRef] [PubMed]
- Wlodek, L. The Reaction of Sulfhydryl-Groups With Carbonyl-Compounds. Acta Biochim. Pol. 1988, 35, 307–317. [Google Scholar]
- Liu, Y.; Xu, G.; Sayre, L.M. Carnosine Inhibits (E)-4-Hydroxy-2-nonenal-Induced Protein Cross-Linking: Structural Characterization of Carnosine−HNE Adducts1. Chem. Res. Toxicol. 2003, 16, 1589–1597. [Google Scholar] [CrossRef]
- Aldini, G.; Carini, M.; Beretta, G.; Bradamante, S.; Facino, R.M. Carnosine is a quencher of 4-hydroxy-nonenal: Through what mechanism of reaction? Biochem. Biophys. Res. Commun. 2002, 298, 699–706. [Google Scholar] [CrossRef]
- Murphey, W.H.; Patchen, L.; Lindmark, D.G. Carnosinase: A fluorometric assay and demonstration of two electrophoretic forms in human tissue extracts. Clin. Chim. Acta 1972, 42, 309–314. [Google Scholar] [CrossRef]
- Teufel, M.; Saudek, V.; Ledig, J.-P.; Bernhardt, A.; Boularand, S.; Carreau, A.; Cairns, N.J.; Carter, C.; Cowley, D.J.; Duverger, D.; et al. Sequence Identification and Characterization of Human Carnosinase and a Closely Related Non-specific Dipeptidase. J. Biol. Chem. 2003, 278, 6521–6531. [Google Scholar] [CrossRef]
- Lenney, J.F.; George, R.P.; Weiss, A.M.; Kucera, C.M.; Chan, P.W.; Rinzler, G.S. Human serum carnosinase: Characterization, distinction from cellular carnosinase, and activation by cadmium. Clin. Chim. Acta 1982, 123, 221–231. [Google Scholar] [CrossRef]
- Orioli, M.; Vistoli, G.; Regazzoni, L.; Pedretti, A.; Lapolla, A.; Rossoni, G.; Canevotti, R.; Gamberoni, L.; Previtali, M.; Carini, M.; et al. Design, Synthesis, ADME Properties, and Pharmacological Activities of β-Alanyl-D-histidine (D-Carnosine) Prodrugs with Improved Bioavailability. ChemMedChem 2011, 6, 1269–1282. [Google Scholar] [CrossRef] [PubMed]
- Aldini, G.; Orioli, M.; Rossoni, G.; Savi, F.; Braidotti, P.; Vistoli, G.; Yeum, K.; Negrisoli, G.; Carini, M. The carbonyl scavenger carnosine ameliorates dyslipidaemia and renal function in Zucker obese rats. J. Cell. Mol. Med. 2011, 15, 1339–1354. [Google Scholar] [CrossRef] [PubMed]
- Menini, S.; Iacobini, C.; Ricci, C.; Scipioni, A.; Fantauzzi, C.B.; Giaccari, A.; Salomone, E.; Canevotti, R.; Lapolla, A.; Orioli, M.; et al. D-carnosine octylester attenuates atherosclerosis and renal disease in ApoE null mice fed a Western diet through reduction of carbonyl stress and inflammation. Br. J. Pharmacol. 2012, 166, 1344–1356. [Google Scholar] [CrossRef] [PubMed]
- Iacobini, C.; Menini, S.; Fantauzzi, C.B.; Pesce, C.M.; Giaccari, A.; Salomone, E.; Lapolla, A.; Orioli, M.; Aldini, G.; Pugliese, G. FL-926-16, a novel bioavailable carnosinase-resistant carnosine derivative, prevents onset and stops progression of diabetic nephropathy in db/db mice. Br. J. Pharmacol. 2017, 175, 53–66. [Google Scholar] [CrossRef] [PubMed]
- Bertinaria, M.; Rolando, B.; Giorgis, M.; Montanaro, G.; Marini, E.; Collino, M.; Benetti, E.; Daniele, P.G.; Fruttero, R.; Gasco, A. Carnosine analogues containing NO-donor substructures: Synthesis, physico-chemical characterization and preliminary pharmacological profile. Eur. J. Med. Chem. 2012, 54, 103–112. [Google Scholar] [CrossRef]
- Bertinaria, M.; Rolando, B.; Giorgis, M.; Montanaro, G.; Guglielmo, S.; Buonsanti, M.F.; Carabelli, V.; Gavello, D.; Daniele, P.G.; Fruttero, R.; et al. Synthesis, Physicochemical Characterization, and Biological Activities of New Carnosine Derivatives Stable in Human Serum As Potential Neuroprotective Agents. J. Med. Chem. 2010, 54, 611–621. [Google Scholar] [CrossRef]
- Guiotto, A.; Calderan, A.; Ruzza, P.; Osler, A.; Rubini, C.; Jo, D.-G.; Mattson, M.P.; Borin, G. Synthesis and Evaluation of Neuroprotective α,β-Unsaturated Aldehyde Scavenger Histidyl-Containing Analogues of Carnosine. J. Med. Chem. 2005, 48, 6156–6161. [Google Scholar] [CrossRef]
- Bellia, F.; Amorini, A.M.; La Mendola, D.; Vecchio, G.; Tavazzi, B.; Giardina, B.; Di Pietro, V.; Lazzarino, G.; Rizzarelli, E. New glycosidic derivatives of histidine-containing dipeptides with antioxidant properties and resistant to carnosinase activity. Eur. J. Med. Chem. 2008, 43, 373–380. [Google Scholar] [CrossRef]
- Lanza, V.; Bellia, F.; D’Agata, R.; Grasso, G.; Rizzarelli, E.; Vecchio, G. New glycoside derivatives of carnosine and analogs resistant to carnosinase hydrolysis: Synthesis and characterization of their copper(II) complexes. J. Inorg. Biochem. 2011, 105, 181–188. [Google Scholar] [CrossRef]
- Kulikova, O.I.; Stvolinsky, S.L.; Migulin, V.A.; Andreeva, L.A.; Nagaev, I.Y.; Lopacheva, O.M.; Kulichenkova, K.N.; Lopachev, A.V.; Trubitsina, I.E.; Fedorova, T.N. A new derivative of acetylsalicylic acid and carnosine: Synthesis, physical and chemical properties, biological activity. DARU J. Pharm. Sci. 2020, 28, 119–130. [Google Scholar] [CrossRef]
- Vistoli, G.; Orioli, M.; Pedretti, A.; Regazzoni, L.; Canevotti, R.; Negrisoli, G.; Carini, M.; Aldini, G. Design, Synthesis, and Evaluation of Carnosine Derivatives as Selective and Efficient Sequestering Agents of Cytotoxic Reactive Carbonyl Species. ChemMedChem 2009, 4, 967–975. [Google Scholar] [CrossRef] [PubMed]
- Antwi-Boasiako, C.; Agbemade, B.; Ko, J.H.; Barone, V.; Uzarski, R.; Lee, C.Y. Synthesis and Evaluation of Water-Soluble Antioxidants Derived from L-carnosine and Syringaldehyde (or Vanillin). Biochimie 2024. [Google Scholar] [CrossRef] [PubMed]
- Zhao, J.; Posa, D.K.; Kumar, V.; Hoetker, D.; Kumar, A.; Ganesan, S.; Riggs, D.W.; Bhatnagar, A.; Wempe, M.F.; Baba, S.P. Carnosine protects cardiac myocytes against lipid peroxidation products. Amino Acids 2018, 51, 123–138. [Google Scholar] [CrossRef] [PubMed]
- Regazzoni, L. State of the Art in the Development of Human Serum Carnosinase Inhibitors. Molecules 2024, 29, 2488. [Google Scholar] [CrossRef]
- Boldyrev, A.A.; Aldini, G.; Derave, W. Physiology and Pathophysiology of Carnosine. Physiol. Rev. 2013, 93, 1803–1845. [Google Scholar] [CrossRef]
- Vistoli, G.; Carini, M.; Aldini, G. Transforming dietary peptides in promising lead compounds: The case of bioavailable carnosine analogs. Amino Acids 2012, 43, 111–126. [Google Scholar] [CrossRef]
- Aldini, G.; Facino, R.M.; Beretta, G.; Carini, M. Carnosine and related dipeptides as quenchers of reactive carbonyl species: From structural studies to therapeutic perspectives. BioFactors 2005, 24, 77–87. [Google Scholar] [CrossRef]
- Tang, S.; Arumugam, T.V.; Cutler, R.G.; Jo, D.; Magnus, T.; Chan, S.L.; Mughal, M.R.; Telljohann, R.S.; Nassar, M.; Ouyang, X.; et al. Neuroprotective actions of a histidine analogue in models of ischemic stroke. J. Neurochem. 2006, 101, 729–736. [Google Scholar] [CrossRef]
- Lanza, V.; Greco, V.; Bocchieri, E.; Sciuto, S.; Inturri, R.; Messina, L.; Vaccaro, S.; Bellia, F.; Rizzarelli, E. Synergistic Effect of L-Carnosine and Hyaluronic Acid in Their Covalent Conjugates on the Antioxidant Abilities and the Mutual Defense against Enzymatic Degradation. Antioxidants 2022, 11, 664. [Google Scholar] [CrossRef]
- Regazzoni, L.; Fumagalli, L.; Artasensi, A.; Gervasoni, S.; Gilardoni, E.; Mazzolari, A.; Aldini, G.; Vistoli, G. Cyclo(His-Pro) Exerts Protective Carbonyl Quenching Effects through Its Open Histidine Containing Dipeptides. Nutrients 2022, 14, 1775. [Google Scholar] [CrossRef]
- Pegova, A.; Abe, H.; Boldyrev, A. Hydrolysis of carnosine and related compounds by mammalian carnosinases. Comp. Biochem. Physiol. Part B Biochem. Mol. Biol. 2000, 127, 443–446. [Google Scholar] [CrossRef] [PubMed]
- Cacciatore, I.; Cocco, A.; Costa, M.; Fontana, M.; Lucente, G.; Pecci, L.; Pinnen, F. Biochemical properties of new synthetic carnosine analogues containing the residue of 2,3-diaminopropionic acid: The effect of N-acetylation. Amino Acids 2005, 28, 77–83. [Google Scholar] [CrossRef] [PubMed]
- Yang, W.; Mortier, W.J. The use of global and local molecular parameters for the analysis of the gas-phase basicity of amines. J. Am. Chem. Soc. 1986, 108, 5708–5711. [Google Scholar] [CrossRef] [PubMed]
- Mondal, P.; Hazarika, K.K.; Deka, R.C. Reactivity of α,β-unsaturated carbonyl compounds towards nucleophilic addition reaction: A local hard–soft acid–base approach. PhysChemComm 2003, 6, 24–27. [Google Scholar] [CrossRef]
- Corbett, J.F. Pseudo first-order kinetics. J. Chem. Educ. 1972, 49, 663. [Google Scholar] [CrossRef]
- Asperger, S. Chemical Kinetics and Inorganic Reaction Mechanisms; Springer Science & Business Media: New York, NY, USA, 2003. [Google Scholar]
- Gilardoni, E.; Gervasoni, S.; Maspero, M.; Dallanoce, C.; Vistoli, G.; Carini, M.; Aldini, G.; Regazzoni, L. Development of a direct LC-ESI-MS method for the measurement of human serum carnosinase activity. J. Pharm. Biomed. Anal. 2020, 189, 113440. [Google Scholar] [CrossRef]
- Zuman, P. Reactions of Orthophthalaldehyde with Nucleophiles. Chem. Rev. 2004, 104, 3217–3238. [Google Scholar] [CrossRef]
- Lee, C.; Yang, W.; Parr, R.G. Development of the Colle-Salvetti correlation-energy formula into a functional of the electron density. Phys. Rev. B 1988, 37, 785–789. [Google Scholar] [CrossRef]
- Frisch, M.J.; Trucks, G.W.; Schlegel, H.B.; Scuseria, G.E.; Robb, M.A.; Cheeseman, J.R.; Scalmani, G.; Barone, V.; Petersson, G.A.; Nakatsuji, H.; et al. Gaussian, 16 Rev. C.01; Gaussian, Inc.: Wallingford, CT, USA, 2016. [Google Scholar]
- Dennington, R.; Keith, T.A.; Millam, J.M. GaussView, Version 6.1; Semichem Inc.: Shawnee Mission, KS, USA, 2016. [Google Scholar]
- Lu, T.; Chen, F. Multiwfn: A multifunctional wavefunction analyzer. J. Comput. Chem. 2012, 33, 580–592. [Google Scholar] [CrossRef]
- Lu, T. A comprehensive electron wavefunction analysis toolbox for chemists, Multiwfn. J. Chem. Phys. 2024, 161. [Google Scholar] [CrossRef]
- Bonaccorso, A.; Privitera, A.; Grasso, M.; Salamone, S.; Carbone, C.; Pignatello, R.; Musumeci, T.; Caraci, F.; Caruso, G. The Therapeutic Potential of Novel Carnosine Formulations: Perspectives for Drug Development. Pharmaceuticals 2023, 16, 778. [Google Scholar] [CrossRef] [PubMed]
- Kabthymer, R.H.; Saadati, S.; Lee, M.; Hariharan, R.; Feehan, J.; Mousa, A.; de Courten, B. Carnosine/histidine-containing dipeptide supplementation improves depression and quality of life: Systematic review and meta-analysis of randomized controlled trials. Nutr. Rev. 2024. [Google Scholar] [CrossRef] [PubMed]
- Bell, S.M.; Hariharan, R.; Laud, P.J.; Majid, A.; de Courten, B. Histidine-containing dipeptide supplementation improves delayed recall: A systematic review and meta-analysis. Nutr. Rev. 2023, 82, 1372–1385. [Google Scholar] [CrossRef] [PubMed]
- Hayashi, N.; Nagastuka, H.; Sato, M.; Goto, K. Effect of long-term carnosine/anserine supplementation on iron regulation after a prolonged running session. Phys. Act. Nutr. 2023, 27, 070–077. [Google Scholar] [CrossRef]
- de Jager, S.; Blancquaert, L.; Van der Stede, T.; Lievens, E.; De Baere, S.; Croubels, S.; Gilardoni, E.; Regazzoni, L.G.; Aldini, G.; Bourgois, J.G.; et al. The ergogenic effect of acute carnosine and anserine supplementation: Dosing, timing, and underlying mechanism. J. Int. Soc. Sports Nutr. 2022, 19, 70–91. [Google Scholar] [CrossRef]








Disclaimer/Publisher’s Note: The statements, opinions and data contained in all publications are solely those of the individual author(s) and contributor(s) and not of MDPI and/or the editor(s). MDPI and/or the editor(s) disclaim responsibility for any injury to people or property resulting from any ideas, methods, instructions or products referred to in the content. |
© 2024 by the authors. Licensee MDPI, Basel, Switzerland. This article is an open access article distributed under the terms and conditions of the Creative Commons Attribution (CC BY) license (https://creativecommons.org/licenses/by/4.0/).
Share and Cite
Artasensi, A.; Mazzotta, S.; Sanz, I.; Lin, L.; Vistoli, G.; Fumagalli, L.; Regazzoni, L. Exploring Secondary Amine Carnosine Derivatives: Design, Synthesis, and Properties. Molecules 2024, 29, 5083. https://doi.org/10.3390/molecules29215083
Artasensi A, Mazzotta S, Sanz I, Lin L, Vistoli G, Fumagalli L, Regazzoni L. Exploring Secondary Amine Carnosine Derivatives: Design, Synthesis, and Properties. Molecules. 2024; 29(21):5083. https://doi.org/10.3390/molecules29215083
Chicago/Turabian StyleArtasensi, Angelica, Sarah Mazzotta, Ines Sanz, Licheng Lin, Giulio Vistoli, Laura Fumagalli, and Luca Regazzoni. 2024. "Exploring Secondary Amine Carnosine Derivatives: Design, Synthesis, and Properties" Molecules 29, no. 21: 5083. https://doi.org/10.3390/molecules29215083
APA StyleArtasensi, A., Mazzotta, S., Sanz, I., Lin, L., Vistoli, G., Fumagalli, L., & Regazzoni, L. (2024). Exploring Secondary Amine Carnosine Derivatives: Design, Synthesis, and Properties. Molecules, 29(21), 5083. https://doi.org/10.3390/molecules29215083

