Discovery of Chemical Constituents with Anti-Atopic Dermatitis Properties from Aster koraiensis
Abstract
1. Introduction
2. Results and Discussion
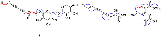
2.1. Isolation and Structure Elucidation of Compounds from A. koraiensis
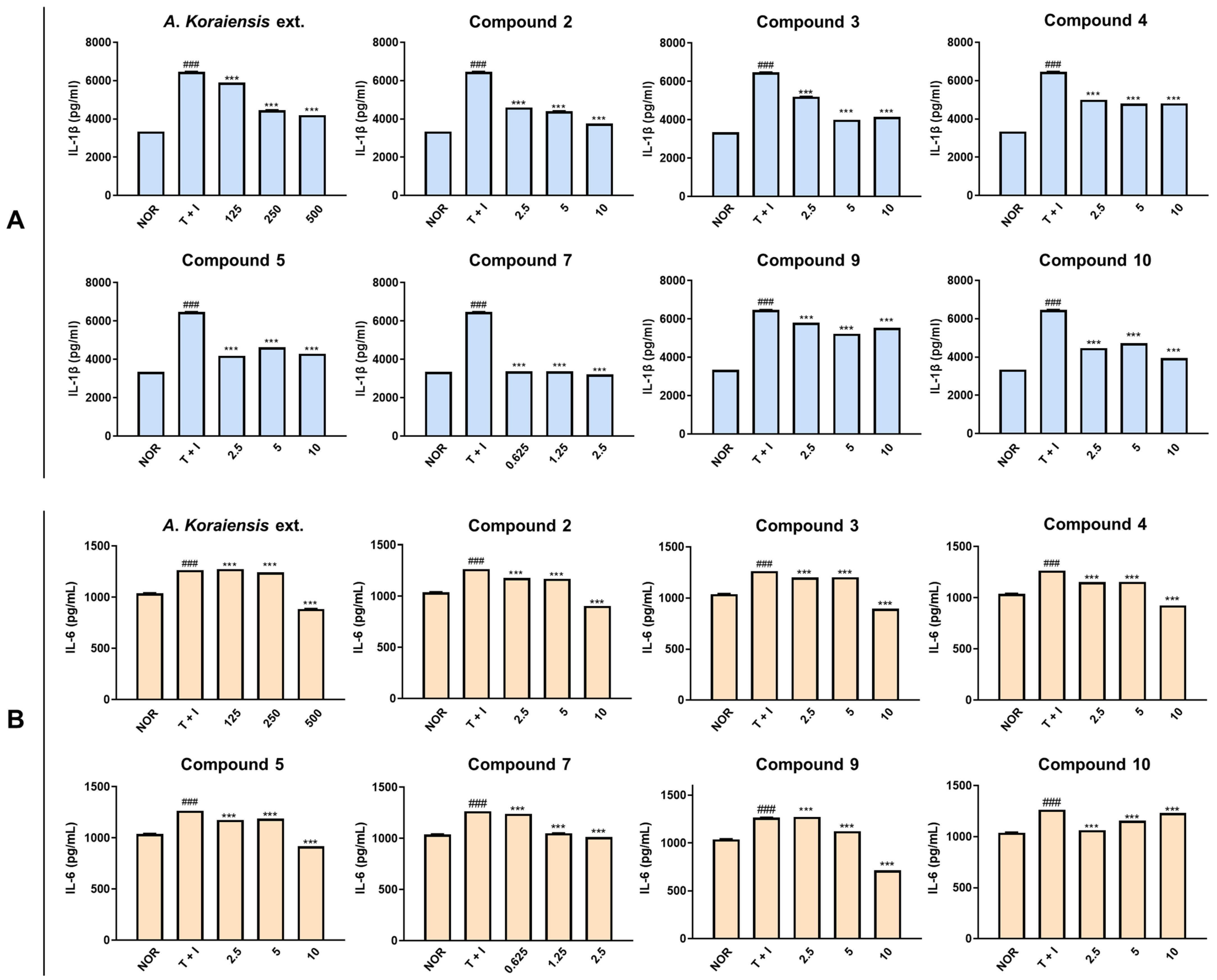
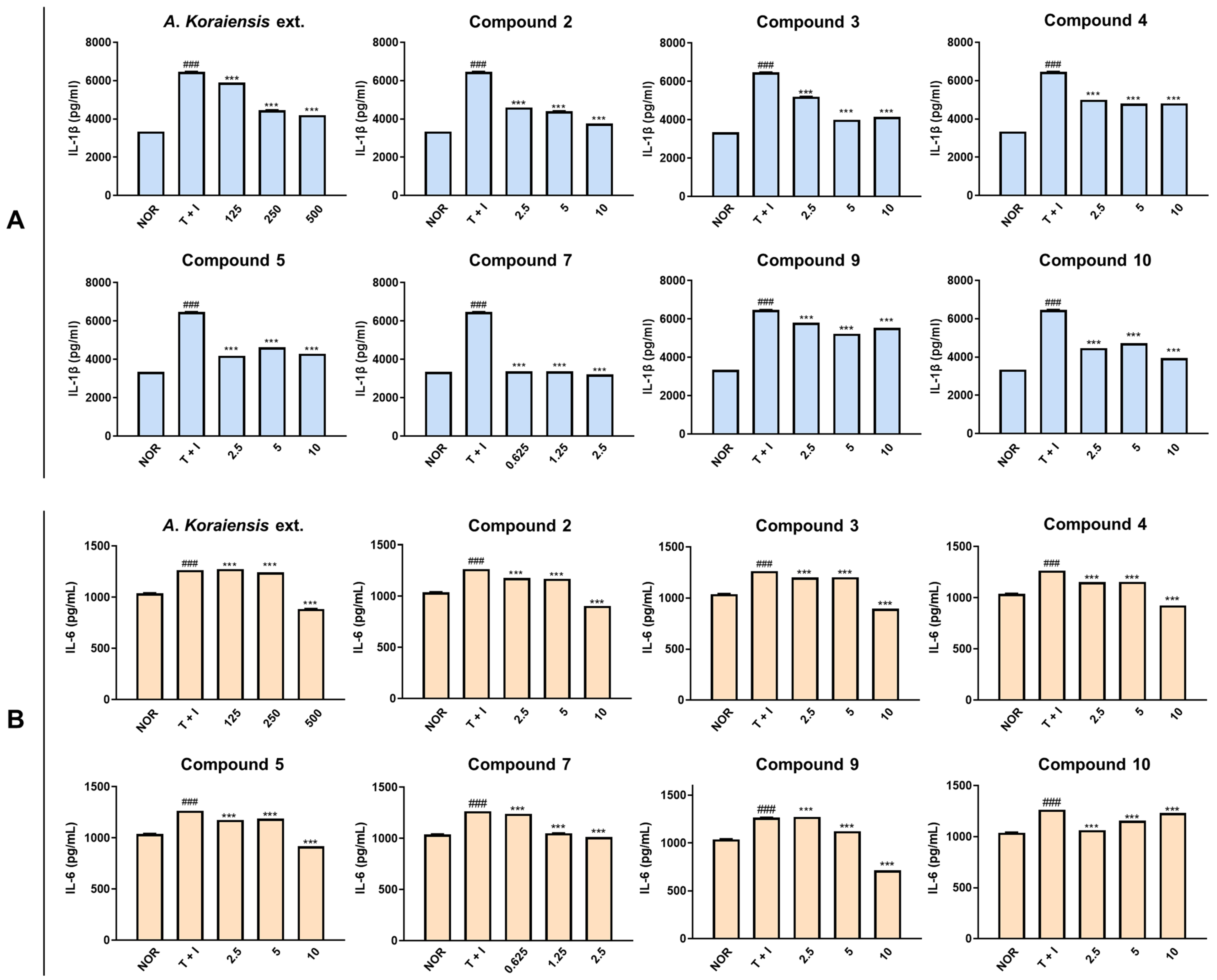
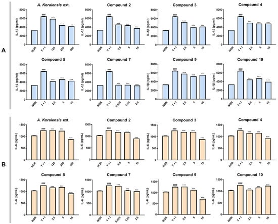
2.2. Anti-Atopic Dermatitis Effects of 95% EtOH Extract of A. koraiensis Leaf Extract and Isolates on HaCaT Keratinocytes
3. Materials and Methods
3.1. General Experimental Procedures
3.2. Plant Material
3.3. Extraction and Isolation
3.3.1. Gymnasterkoreaside C (1)
3.3.2. (2S,8E)-Hydroxydeca-8-en-4,6-diynoic Acid (3)
3.3.3. Dehydrochorismic Acid Methyl Ester (4)
3.4. Acid Hydrolysis and Sugar Analysis
3.5. Computational Analysis
3.6. Cell Culture and Sample Treatment
3.7. MTT Assay
3.8. Enzyme-Linked Immunosorbent Assay (ELISA) for Cytokine Analysis
3.9. Statistical Analysis
4. Conclusions
Supplementary Materials
Author Contributions
Funding
Institutional Review Board Statement
Informed Consent Statement
Data Availability Statement
Conflicts of Interest
References
- Liang, J.; Hu, F.; Tang, H.; Jiang, F.; Sang, Y.; Hong, Y.; Wang, Q.; Nuer, K.; Kang, X. Systematic review and network meta-analysis of different types of emollient for the prevention of atopic dermatitis in infants. J. Eur. Acad. Dermatol. Venereol. 2023, 37, 501–510. [Google Scholar] [CrossRef] [PubMed]
- Pan, Z.; Dai, Y.; Akar-Ghibril, N.; Simpson, J.; Ren, H.; Zhang, L.; Hou, Y.; Wen, X.; Chang, C.; Tang, R. Impact of air pollution on atopic dermatitis: A comprehensive review. Clin. Rev. Allergy Immunol. 2023, 65, 121–135. [Google Scholar] [PubMed]
- Oykhman, P.; Dookie, J.; Al-Rammahy, H.; de Benedetto, A.; Asiniwasis, R.N.; LeBovidge, J.; Wang, J.; Ong, P.Y.; Lio, P.; Gutierrez, A. Dietary elimination for the treatment of atopic dermatitis: A systematic review and meta-analysis. J. Allergy Clin. Immunol. Pract. 2022, 10, 2657–2666.e8. [Google Scholar] [PubMed]
- Tanaka, T.; Sasaki, T.; Ikeda, K.; Liu, J.; Tenorio, A.R.; Ohya, Y. Growth analysis among adolescents with moderate-to-severe atopic dermatitis receiving upadacitinib in combination with topical corticosteroids in Japan: A case study series from a phase 3, randomized, controlled trial (Rising Up). World Allergy Organ. J. 2022, 15, 100678. [Google Scholar] [CrossRef] [PubMed]
- Harvey, J.; Lax, S.J.; Lowe, A.; Santer, M.; Lawton, S.; Langan, S.M.; Roberts, A.; Stuart, B.; Williams, H.C.; Thomas, K.S. The long-term safety of topical corticosteroids in atopic dermatitis: A systematic review. Skin Health Dis. 2023, 3, e268. [Google Scholar] [CrossRef]
- Ito, M.; Soejima, A.; Nishino, T. Phylogeny and speciation of Asian Aster. Korean J. Plant Taxon. 1994, 24, 133–143. [Google Scholar] [CrossRef]
- Lee, Y.-J.; Jang, Y.-N.; Han, Y.-M.; Kim, H.-M.; Jin, C.; Kim, H.J.; Seo, H.S. Aster glehni Extract Containing Caffeoylquinic Compounds Protects Human Keratinocytes through the TRPV4-PPARδ-AMPK Pathway. Evid. Based Complement. Altern. Med. 2018, 2018, 9616574. [Google Scholar] [CrossRef]
- Kim, W.S.; Seo, J.H.; Lee, J.-I.; Ko, E.-S.; Cho, S.-M.; Kang, J.-R.; Jeong, J.-H.; Jeong, Y.J.; Kim, C.Y.; Cha, J.-D. The metabolite profile in culture supernatant of Aster yomena callus and its anti-photoaging effect in skin cells exposed to UVB. Plants 2021, 10, 659. [Google Scholar] [CrossRef]
- Butler, S.M.; Wallig, M.A.; Nho, C.W.; Pan, C.-H.; Lee, E.-H.; Jung, S.H.; Jeffery, E.H. A polyacetylene-rich extract from Gymnaster koraiensis strongly inhibits colitis-associated colon cancer in mice. Food Chem. Toxicol. 2013, 53, 235–239. [Google Scholar] [CrossRef]
- Jho, E.H.; Kang, K.; Oidovsambuu, S.; Lee, E.H.; Jung, S.H.; Shin, I.-S.; Nho, C.W. Gymnaster koraiensis and its major components, 3,5-di-O-caffeoylquinic acid and gymnasterkoreayne B, reduce oxidative damage induced by tert-butyl hydroperoxide or acetaminophen in HepG2 cells. BMB Rep. 2013, 46, 513. [Google Scholar] [CrossRef]
- Kim, J.-Y.; Kim, T.Y.; Son, S.-R.; Kim, S.Y.; Kwon, J.; Kwon, H.C.; Lee, C.J.; Jang, D.S. Triterpenoidal Saponins from the Leaves of Aster koraiensis Offer Inhibitory Activities against SARS-CoV-2. Plants 2024, 13, 303. [Google Scholar] [CrossRef] [PubMed]
- Kim, J.-Y.; Seo, Y.H.; Lee, I.-H.; Choi, H.Y.; Kwon, H.C.; Choi, J.-H.; Lee, J.; Jang, D.S. New eudesmane-type sesquiterpene glycosides from the leaves of Aster koraiensis. Plants 2020, 9, 1811. [Google Scholar] [CrossRef] [PubMed]
- Park, J.; Min, B.; Jung, H.; Kim, Y.; Lee, H.; Bae, K. Polyacetylene glycosides from Gymnaster koraiensis. Chem. Pharm. Bull. 2002, 50, 685–687. [Google Scholar] [CrossRef]
- Sohn, E.; Kim, J.; Kim, C.-S.; Kim, Y.S.; Jang, D.S.; Kim, J.S. Extract of the aerial parts of Aster koraiensis reduced development of diabetic nephropathy via anti-apoptosis of podocytes in streptozotocin-induced diabetic rats. Biochem. Biophys. Res. Commun. 2010, 391, 733–738. [Google Scholar] [CrossRef]
- Dat, N.T.; Cai, X.F.; Shen, Q.; Im, S.L.; Lee, E.J.; Park, Y.K.; Bae, K.; Kim, Y.H. Gymnasterkoreayne G, a new inhibitory polyacetylene against NFAT transcription factor from Gymnaster koraiensis. Chem. Pharm. Bull. 2005, 53, 1194–1196. [Google Scholar] [CrossRef] [PubMed]
- Lee, S.B.; Kang, K.; Oidovsambuu, S.; Jho, E.H.; Yun, J.H.; Yoo, J.-H.; Lee, E.-H.; Pan, C.-H.; Lee, J.K.; Jung, S.H. A polyacetylene from Gymnaster koraiensis exerts hepatoprotective effects in vivo and in vitro. Food Chem. Toxicol. 2010, 48, 3035–3041. [Google Scholar] [CrossRef]
- Jung, H.-J.; Min, B.-S.; Park, J.-Y.; Kim, Y.-H.; Lee, H.-K.; Bae, K.-H. Gymnasterkoreaynes A− F, Cytotoxic Polyacetylenes from Gymnaster koraiensis. J. Nat. Prod. 2002, 65, 897–901. [Google Scholar]
- Kobayashi, S.; Ozawa, T.; Imagawa, H. Dehydrochorismic acid from Pinus densiflora pollen. Agric. Biol. Chem. 1982, 46, 845–847. [Google Scholar] [CrossRef]
- Yin, T.; Liu, H.; Wang, B.; Tu, G.-Z.; Liang, H.; Zhao, Y.-Y. Chemical constituents from Spatholobus sinensis. Acta Pharm. Sin. 2008, 43, 67–70. [Google Scholar]
- Lee, J.; Lee, Y.M.; Lee, B.W.; Kim, J.-H.; Kim, J.S. Chemical constituents from the aerial parts of Aster koraiensis with protein glycation and aldose reductase inhibitory activities. J. Nat. Prod. 2012, 75, 267–270. [Google Scholar] [CrossRef]
- Hernández-Carlos, B.; González-Coloma, A.; Orozco-Valencia, Á.U.; Ramírez-Mares, M.V.; Andrés-Yeves, M.F.; Joseph-Nathan, P. Bioactive saponins from Microsechium helleri and Sicyos bulbosus. Phytochemistry 2011, 72, 743–751. [Google Scholar] [CrossRef] [PubMed]
- Su, Y.; Koike, K.; Nikaido, T.; Liu, J.; Zheng, J.; Guo, D. Conyzasaponins I− Q, Nine New Triterpenoid Saponins from Conyza b linii. J. Nat. Prod. 2003, 66, 1593–1599. [Google Scholar] [CrossRef] [PubMed]
- Albanesi, C.; Scarponi, C.; Giustizieri, M.L.; Girolomoni, G. Keratinocytes in inflammatory skin diseases. Curr. Drug Targets-Inflamm. Allergy 2005, 4, 329–334. [Google Scholar] [CrossRef] [PubMed]
- Jeong, C.W.; Ahn, K.S.; Rho, N.K.; Park, Y.D.; Lee, D.Y.; Lee, J.H.; Lee, E.S.; Yang, J.M. Differential in vivo cytokine mRNA expression in lesional skin of intrinsic vs. extrinsic atopic dermatitis patients using semiquantitative RT-PCR. Clin. Exp. Allergy 2003, 33, 1717–1724. [Google Scholar] [CrossRef] [PubMed]
- Yamada, N.; Wakugawa, M.; Kuwata, S.; Nakagawa, H.; Tamaki, K. Changes in eosinophil and leukocyte infiltration and expression of IL-6 and IL-7 messenger RNA in mite allergen patch test reactions in atopic dermatitis. J. Allergy Clin. Immunol. 1996, 98, S201–S206. [Google Scholar] [CrossRef]
- Yamanaka, K.-i.; Mizutani, H. The role of cytokines/chemokines in the pathogenesis of atopic dermatitis. Pathog. Manag. Atopic Dermat. 2011, 41, 80–92. [Google Scholar]
- Jang, D.I.; Lee, A.H.; Shin, H.Y.; Song, H.R.; Park, J.H.; Kang, T.B.; Lee, S.R.; Yang, S.H. The role of tumor necrosis factor alpha (TNF-α) in autoimmune disease and current TNF-α inhibitors in therapeutics. Int. J. Mol. Sci. 2021, 22, 2719. [Google Scholar] [CrossRef]
- Tylutka, A.; Walas, Ł.; Zembron-Lacny, A. Level of IL-6, TNF, and IL-1β and age-related diseases: A systematic review and meta-analysis. Front. Immunol. 2024, 15, 1330386. [Google Scholar]
- Lim, S.J.; Kim, M.; Randy, A.; Nam, E.J.; Nho, C.W. Effects of Hovenia dulcis Thunb. extract and methyl vanillate on atopic dermatitis-like skin lesions and TNF-α/IFN-γ-induced chemokines production in HaCaT cells. J. Pharm. Pharmacol. 2016, 68, 1465–1479. [Google Scholar] [CrossRef]
- Jo, B.-G.; Park, N.-J.; Kim, S.-N.; Jegal, J.; Choi, S.; Lee, S.W.; Yi, L.W.; Lee, S.R.; Kim, K.H.; Yang, M.H. Isolation of maltol derivatives from Stellera chamaejasme and the anti-atopic properties of maltol on skin lesions in DNCB-stimulated mice. RSC Adv. 2019, 9, 2125–2132. [Google Scholar] [CrossRef]
- Choi, J.H.; Jin, S.W.; Han, E.H.; Park, B.H.; Kim, H.G.; Khanal, T.; Hwang, Y.P.; Do, M.T.; Lee, H.-S.; Chung, Y.C. Platycodon grandiflorum root-derived saponins attenuate atopic dermatitis-like skin lesions via suppression of NF-κB and STAT1 and activation of Nrf2/ARE-mediated heme oxygenase-1. Phytomedicine 2014, 21, 1053–1061. [Google Scholar] [PubMed]






| Position a | 1 | 3 | ||
|---|---|---|---|---|
| δH Multi (J in Hz) | δC | δH Multi (J in Hz) | δC | |
| 1 | 3.97 dt (10.0, 5.5)/3.73 dt (10.0, 5.5) | 67.1 | - | 177.4 |
| 2 | 1.97 q (6.0) | 39.2 | 4.75 t (7.0) | 61.1 |
| 3 | 4.65 t (7.0) | 60.4 | 2.55 d (7.0) | 45.6 |
| 4 | - | 83.9 | - | 83.5 |
| 5 | - | 69.9 | - | 69.6 |
| 6 | - | 72.6 | - | 72.7 |
| 7 | - | 78.4 | - | 78.2 |
| 8 | 5.59 dt (16.0, 2.0) | 110.7 | 5.57 dd (16.0, 2.0) | 110.7 |
| 9 | 6.33 dd (15.5, 7.0) | 145.3 | 6.31 dq (16.0, 7.0) | 145.2 |
| 10 | 1.81 dd (7.0, 2.0) | 19.1 | 1.81 dd (7.0, 2.0) | 19.0 |
| 11 | ||||
| 12 | ||||
| 13 | ||||
| 14 | ||||
| 15 | ||||
| 16 | ||||
| 17 | ||||
| Glc-1′ | 4.26 d (8.0) | 104.8 | ||
| Glc-2′ | 3.49 ddd (10.0, 8.5, 5.5) | 73.7 | ||
| Glc-3′ | 3.43 ddd (8.0, 5.5, 3.0) | 78.0 | ||
| Glc-4′ | 3.22 m | 71.6 | ||
| Glc-5′ | 3.19 m | 75.2 | ||
| Glc-6′ | 4.09 dd (11.0, 2.0)/3.87 dd (11.5, 5.5) | 69.9 | ||
| Xyl-1″ | 4.31 d (7.5) | 105.7 | ||
| Xyl-2″ | 3.74 m | 77.1 | ||
| Xyl-3″ | 3.34 m | 75.0 | ||
| Xyl-4″ | 3.87 m | 71.3 | ||
| Xyl-5″ | 3.20 m | 67.2 | ||
| Position a | 4 | |
|---|---|---|
| δH Multi (J in Hz) | δC | |
| 1 | 128.4 | |
| 2 | 7.72 d (1.5) | 124.2 |
| 3 | 148.4 | |
| 4 | 149.4 | |
| 5 | 7.68 d (8.5) | 124.0 |
| 6 | 7.81 dd (8.5, 1.5) | 127.2 |
| 7 | 167.5 | |
| 8 | 169.2 | |
| 9 | 157.4 | |
| 10 | 5.44 d (1.5)/4.43 d (1.5) | 98.6 |
| 7-OCH3 | 3.88 s | 52.7 |
Disclaimer/Publisher’s Note: The statements, opinions and data contained in all publications are solely those of the individual author(s) and contributor(s) and not of MDPI and/or the editor(s). MDPI and/or the editor(s) disclaim responsibility for any injury to people or property resulting from any ideas, methods, instructions or products referred to in the content. |
© 2024 by the authors. Licensee MDPI, Basel, Switzerland. This article is an open access article distributed under the terms and conditions of the Creative Commons Attribution (CC BY) license (https://creativecommons.org/licenses/by/4.0/).
Share and Cite
Kim, J.-Y.; Kim, H.-M.; Son, S.-R.; An, H.-J.; Jang, D.S. Discovery of Chemical Constituents with Anti-Atopic Dermatitis Properties from Aster koraiensis. Molecules 2024, 29, 5002. https://doi.org/10.3390/molecules29215002
Kim J-Y, Kim H-M, Son S-R, An H-J, Jang DS. Discovery of Chemical Constituents with Anti-Atopic Dermatitis Properties from Aster koraiensis. Molecules. 2024; 29(21):5002. https://doi.org/10.3390/molecules29215002
Chicago/Turabian StyleKim, Ji-Young, Hye-Min Kim, So-Ri Son, Hyo-Jin An, and Dae Sik Jang. 2024. "Discovery of Chemical Constituents with Anti-Atopic Dermatitis Properties from Aster koraiensis" Molecules 29, no. 21: 5002. https://doi.org/10.3390/molecules29215002
APA StyleKim, J.-Y., Kim, H.-M., Son, S.-R., An, H.-J., & Jang, D. S. (2024). Discovery of Chemical Constituents with Anti-Atopic Dermatitis Properties from Aster koraiensis. Molecules, 29(21), 5002. https://doi.org/10.3390/molecules29215002

