Structural and Biological Studies of Bioactive Silver(I) Complexes with Coumarin Acid Derivatives
Abstract
1. Introduction
2. Results
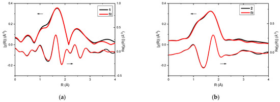
2.1. Synthesis and Structural Characterisation of Ag(I) Complexes
2.2. Biological Activity of Ligands and Their Ag(I) Complexes
3. Discussion
4. Materials and Methods
4.1. Synthesis and Initial Characterisation of the Complexes
4.2. X-Ray Absorption Spectroscopy
4.3. DFT Calculations
4.4. Biological Activity Investigations
5. Conclusions
Author Contributions
Funding
Institutional Review Board Statement
Informed Consent Statement
Data Availability Statement
Acknowledgments
Conflicts of Interest
References
- Żyro, D.; Sikora, J.; Szynkowska-Jóźwik, M.; Ochocki, J. Silver, Its Salts and Application in Medicine and Pharmacy. Int. J. Mol. Sci. 2023, 24, 15723. [Google Scholar] [CrossRef] [PubMed]
- Hecel, A.; Kolkowska, P.; Krzywoszynska, K.; Szebesczyk, A.; Rowinska-Zyrek, M.; Kozlowski, H. Ag+ Complexes as Potential Therapeutic Agents in Medicine and Pharmacy. Curr. Med. Chem. 2019, 26, 624–647. [Google Scholar] [CrossRef] [PubMed]
- Liang, X.; Luan, S.; Yin, Z.; He, M.; He, C.; Yin, L.; Zou, Y.; Yuan, Z.; Li, L.; Song, X.; et al. Recent advances in the medical use of silver complex. Eur. J. Med. Chem. 2018, 157, 62–80. [Google Scholar] [CrossRef]
- Azócar, M.I.; Gómez, G.; Levín, P.; Paez, M.; Muñoz, H.; Dinamarca, N. Review: Antibacterial behavior of carboxylate silver(I) complexes. J. Coord. Chem. 2014, 67, 3840–3853. [Google Scholar] [CrossRef]
- Banti, C.N.; Hadjikakou, S.K. Anti-proliferative and anti-tumor activity of silver(i) compounds. Metallomics 2013, 5, 569–596. [Google Scholar] [CrossRef]
- Yound, A.G.; Hanton, L.R. Square planar silver(I) complexes: A rare but increasingly observed stereochemistry for silver(I). Coord. Chem. Rev. 2008, 252, 1246–1386. [Google Scholar] [CrossRef]
- Pearson, R.G. Hard and Soft Acids and Bases. J. Am. Chem. Soc. 1963, 85, 3533–3539. [Google Scholar] [CrossRef]
- Sahoo, C.R.; Sahoo, J.; Mahapatra, M.; Lenka, D.; Sahu, P.K.; Dehury, B.; Padhy, R.N.; Paidesetty, S.K. Coumarin derivatives as promising antibacterial agent(s). Arab. J. Chem. 2021, 14, 102922. [Google Scholar] [CrossRef]
- Balcıoğlu, S.; Karataş, M.O.; Ateş, B.; Alıcı, B.; Özdemir, I. Therapeutic potential of coumarin bearing metal complexes: Where are we headed? Bioorg. Med. Chem. Lett. 2020, 30, 126805. [Google Scholar] [CrossRef]
- Klepka, M.T.; Drzewiecka-Antonik, A.; Wolska, A.; Rejmak, P.; Struga, M. Structural studies of Cu(II) complexes with coumarin acid derivatives obtained using direct and electrochemical synthesis. Chem. Phys. Lett. 2018, 691, 190–195. [Google Scholar] [CrossRef]
- Klepka, M.T.; Kalinowska, D.; Barboza, C.A.; Drzewiecka-Antonik, A.; Ostrowska, K.; Wolska, A. Structural investigation of Cu(II) complexes with dibromo 7-hydroxycoumarin derivatives using methodology based on XAS. Rad. Phys. Chem. 2020, 175, 108047. [Google Scholar] [CrossRef]
- Klepka, M.T.; Drzewiecka-Antonik, A.; Wolska, A.; Rejmak, P.; Ostrowska, K.; Hejchman, E.; Kruszewska, H.; Czajkowska, A.; Młynarczuk-Biały, I.; Ferenc, W. Synthesis, structural studies and biological activity of new Cu(II) complexes with acetyl derivatives of 7-hydroxy-4-methylcoumarin. J. Inorg. Biochem. 2015, 145, 94–100. [Google Scholar] [CrossRef] [PubMed]
- Creaven, B.S.; Egan, D.A.; Kavanagh, K.; McCann, M.; Mahon, M.; Noble, A.; Thati, B.; Walsh, M. Synthesis and antimicrobial activity of copper(II) and silver(I) complexes of hydroxynitrocoumarins: X-ray crystal structures of [Cu(hnc)2(H2O)2] · 2H2O and [Ag(hnc)] (hncH = 4-hydroxy-3-nitro-2H-chromen-2-one). Polyhedron 2005, 24, 949–957. [Google Scholar] [CrossRef]
- Thati, B.; Noble, A.; Rowan, R.; Creaven, B.S.; Walsh, M.; McCann, M.; Egan, D.; Kavanagh, K. Mechanism of action of coumarin and silver(I)–coumarin complexes against the pathogenic yeast Candida albicans. Toxicol. In Vitro 2007, 21, 801–808. [Google Scholar] [CrossRef] [PubMed]
- Creaven, B.S.; Egan, D.A.; Kavanagh, K.; McCann, M.; Noble, A.; Thati, B.; Walsh, M. Synthesis, characterization and antimicrobial activity of a series of substituted coumarin-3-carboxylatosilver(I) complexes. Inorg. Chim. Acta 2006, 359, 3976–3984. [Google Scholar] [CrossRef]
- Mujahid, M.; Trendafilova, N.; Foltyn Arfa-Kia, A.; Rosair, G.; Kavanagh, K.; Devereux, M.; Walsh, M.; McClean, S.; Creaven, B.S.; Georgieva, I. Novel silver(I) complexes of coumarin oxyacetate ligands and their phenanthroline adducts: Biological activity, structural and spectroscopic characterization. J. Inorg. Biochem. 2016, 163, 53–67. [Google Scholar] [CrossRef]
- Rehman, H.; Ali, Z.; Shahzady, T.G.; Abid, M.A.; Nazir, S.; Hussain, H.; Zahra, A.; Hussain, I. Synthesis, X-ray analysis and antibacterial study of silver complex with ethyl-5-hydroxy-2-oxo-2H-chromene-3-carboxylate. Bull. Chem. Soc. Ethiop. 2019, 33, 467–474. [Google Scholar] [CrossRef]
- Lee, J.-H.; Kim, Y.-G.; Kim, Y.; Lee, J. Antifungal and antibiofilm activities of chromones against nine Candida species. Microbiol. Spectr. 2023, 11, e0173723. [Google Scholar] [CrossRef]
- Kawase, M.; Varu, B.; Shab, A.; Motohoshi, N.; Tani, S.; Saito, S.; Debnath, S.; Mahapatra, S.; Datidar, S.G.; Chakrabarty, A.N. Antimicrobial activity of new coumarin derivatives. Arzneimittelforschung 2001, 51, 67–71. [Google Scholar] [CrossRef]
- Zhu, Y.; Li, X.; Li, Y.; Wang, Q.; Lu, X. Synthesis, structures and urease inhibitory activities of three silver(I) complexes derived from 2,6-dichlorophenylacetic acid. Inorg. Chim. Acta 2019, 484, 42–46. [Google Scholar] [CrossRef]
- Fernandes, T.A.; Costa, I.F.M.; Jorge, P.; Sousa, A.C.; Andre, V.; Cerca, N.; Kirillov, A.M. Silver(I) Coordination Polymers Immobilized into Biopolymer Films for Antimicrobial Applications. ACS Appl. Mater. Interfaces 2021, 13, 12836–12844. [Google Scholar] [CrossRef]
- Fernandes, T.A.; Macedo, F.; Cabral, R.G.; Guiu, T.; Franco, C.H.J.; Jorge, P.; Sousa, A.C.; André, V.; Cerca, N.; Kirillov, A.M. Sulfonyldibenzoate coordination polymers as bioactive dopants for polysaccharide films with antibacterial and antibiofilm properties. RSC Appl. Interfaces 2024, 1, 98–109. [Google Scholar] [CrossRef]
- Groom, C.R.; Bruno, I.J.; Lightfoot, M.P.; Ward, S.C. The Cambridge Structural Database. Acta Cryst. 2016, B72, 171–179. [Google Scholar] [CrossRef] [PubMed]
- Ravel, B.; Newville, M. ATHENA, ARTEMIS, HEPHAESTUS: Data analysis for X-ray absorption spectroscopy using IFEFFIT. J. Synchrotron Rad. 2005, 12, 537–541. [Google Scholar] [CrossRef] [PubMed]
- Bunau, O.; Joly, Y. Self-consistent aspects of x-ray absorption calculations. J. Phys. Condens. Matter 2009, 21, 345501. [Google Scholar] [CrossRef] [PubMed]
- Joly, Y. X-ray absorption near-edge structure calculations beyond the muffin-tin approximation. Phys. Rev. B Condens. Matter 2001, 63, 125120. [Google Scholar] [CrossRef]
- Frisch, M.J.; Trucks, G.W.; Schlegel, H.B.; Scuseria, G.E.; Robb, M.A.; Cheeseman, J.R.; Scalmani, G.; Barone, V.; Petersson, G.A.; Nakatsuji, H.; et al. Gaussian 16, Revision C.01; Gaussian, Inc.: Wallingford, CT, USA, 2016. [Google Scholar]
- Adamo, C.; Barone, V. Toward reliable density functional methods without adjustable parameters: The PBE0 model. J. Chem. Phys. 1999, 110, 6158–6169. [Google Scholar] [CrossRef]
- Ditchfield, R.; Hehre, W.J.; Pople, J.A. Self-Consistent Molecular Orbital Methods. 9. Extended Gaussian-type basis for molecular-orbital studies of organic molecules. J. Chem. Phys. 1971, 54, 724–728. [Google Scholar] [CrossRef]
- Hehre, W.J.; Ditchfield, R.; Pople, J.A. Self-Consistent Molecular Orbital Methods. 12. Further extensions of Gaussian-type basis sets for use in molecular-orbital studies of organic-molecules. J. Chem. Phys. 1972, 56, 2257–2261. [Google Scholar] [CrossRef]
- Hariharan, P.C.; Pople, J.A. Influence of polarization functions on molecular-orbital hydrogenation energies. Theor. Chem. Acc. 1973, 28, 213–222. [Google Scholar] [CrossRef]
- Hay, P.J.; Wadt, W.R. Ab initio effective core potentials for molecular calculations—Potentials for the transition-metal atoms Sc to Hg. J. Chem. Phys. 1985, 82, 270–283. [Google Scholar] [CrossRef]
- Wadt, W.R.; Hay, P.J. Ab initio effective core potentials for molecular calculations—Potentials for main group elements Na to Bi. J. Chem. Phys. 1985, 82, 284–298. [Google Scholar] [CrossRef]
- Hay, P.J.; Wadt, W.R. Ab initio effective core potentials for molecular calculations—Potentials for K to Au including the outermost core orbitals. J. Chem. Phys. 1985, 82, 299–310. [Google Scholar] [CrossRef]
- CLSI. CLSI Standard M07; Methods for Dilution Antimicrobial Susceptibility Tests for Bacteria That Grow Aerobically. 12th ed. Clinical and Laboratory Standards Institute: Wayne, NJ, USA, 2024.
- Rogers, T.R.; Verweij, P.E.; Castanheira, M.; Dannaoui, E.; White, P.L.; Arendrup, M. C on behalf of the Subcommittee on Antifungal Susceptibility Testing (AFST) of the ESCMID European Committee for Antimicrobial Susceptibility Testing (EUCAST). Molecular mechanisms of acquired antifungal drug resistance in principal fungal pathogens and EUCAST guidance for their laboratory detection and clinical implications. J. Antimicrob. Chemother. 2022, 77, 2053–2073. [Google Scholar] [CrossRef]




| Atom Type | N | R [Å] | σ2 [Å2] |
|---|---|---|---|
| O1 | 2 | 2.14 (2) | 0.002 (1) |
| O2 | 1 | 2.28 (4) | 0.002 (1) |
| Ag1 | 1 | 2.82 (8) | 0.010 (2) |
| C1 | 3 | 3.06 (7) | 0.005 (1) |
| O3 | 3 | 3.27 (7) | 0.005 (1) |
| Ag2 | 1 | 3.42 (11) | 0.010 (2) |
| Atom Type | N | R [Å] | σ2 [Å2] |
|---|---|---|---|
| O1 | 1 | 2.14 (3) | 0.002 (1) |
| O2 | 2 | 2.33 (3) | 0.002 (1) |
| C1 | 1 | 2.54 (4) | 0.004 (2) |
| C2 | 1 | 3.04 (6) | 0.004 (2) |
| Compound/Bacteria and Yeasts Strains | L1 | L2 | 1 | 2 | AgNO3 | Ciprofloxacin | Fluconazole |
|---|---|---|---|---|---|---|---|
| S. aureus ATCC 25923 | >100 | >100 | 2 | 4 | 16 | 0.5 | |
| S. aureus NCTC 4163 | >100 | >100 | 4 | 4 | 16 | 0.25 | |
| S. aureus ATCC 6538 | >100 | >100 | 2 | 2 | 16 | 0.5 | |
| S. epidermidis ATCC 35984 | >100 | >100 | 2 | 2 | 32 | 0.25 | |
| S. epidermidis ATCC 12228 | >100 | >100 | 2 | 4 | 32 | 0.5 | |
| B. subtilis ATCC 6633 | >100 | >100 | 2 | 2 | 8 | ≤0.125 | |
| B. cereus ATCC 11778 | >100 | >100 | 2 | 2 | 8 | 0.25 | |
| E. hirae ATCC 10541 | >100 | >100 | 2 | 2 | 16 | 2 | |
| E. faecalis ATCC 29212 | >100 | >100 | 4 | 4 | 16 | 2 | |
| M. luteus ATCC 10240 | >100 | >100 | 2 | 2 | 8 | 1 | |
| M. luteus ATCC 9341 | >100 | >100 | 2 | 1 | 8 | 2 | |
| E. coli NCTC 10538 | >100 | >100 | 2 | 2 | 16 | ≤0.125 | |
| P. vulgaris NCTC 4635 | >100 | >100 | 2 | 4 | 32 | ≤0.125 | |
| P. aeruginosa ATCC 27853 | >100 | >100 | 2 | 2 | 32 | 0.5 | |
| P. aeruginosa ATCC 15442 | >100 | >100 | 2 | 2 | 32 | 0.5 | |
| B. bronchiseptica ATCC4617 | >100 | >100 | 2 | 2 | 32 | 1 | |
| C. albicans ATCC 10231 | >100 | >100 | 1 | 2 | 16 | 2 | |
| C. albicans ATCC 90028 | >100 | >100 | 1 | 1 | 16 | 1 | |
| C. parapsilosis ATCC 22019 | >100 | >100 | 1 | 0.5 | 16 | 2 |
Disclaimer/Publisher’s Note: The statements, opinions and data contained in all publications are solely those of the individual author(s) and contributor(s) and not of MDPI and/or the editor(s). MDPI and/or the editor(s) disclaim responsibility for any injury to people or property resulting from any ideas, methods, instructions or products referred to in the content. |
© 2024 by the authors. Licensee MDPI, Basel, Switzerland. This article is an open access article distributed under the terms and conditions of the Creative Commons Attribution (CC BY) license (https://creativecommons.org/licenses/by/4.0/).
Share and Cite
Wolska, A.; Drzewiecka-Antonik, A.; Barboza, C.A.; Struga, M.; Stefanska, J.; Rejmak, P.; Klepka, M. Structural and Biological Studies of Bioactive Silver(I) Complexes with Coumarin Acid Derivatives. Molecules 2024, 29, 4993. https://doi.org/10.3390/molecules29214993
Wolska A, Drzewiecka-Antonik A, Barboza CA, Struga M, Stefanska J, Rejmak P, Klepka M. Structural and Biological Studies of Bioactive Silver(I) Complexes with Coumarin Acid Derivatives. Molecules. 2024; 29(21):4993. https://doi.org/10.3390/molecules29214993
Chicago/Turabian StyleWolska, Anna, Aleksandra Drzewiecka-Antonik, Cristina Aparecida Barboza, Marta Struga, Joanna Stefanska, Pawel Rejmak, and Marcin Klepka. 2024. "Structural and Biological Studies of Bioactive Silver(I) Complexes with Coumarin Acid Derivatives" Molecules 29, no. 21: 4993. https://doi.org/10.3390/molecules29214993
APA StyleWolska, A., Drzewiecka-Antonik, A., Barboza, C. A., Struga, M., Stefanska, J., Rejmak, P., & Klepka, M. (2024). Structural and Biological Studies of Bioactive Silver(I) Complexes with Coumarin Acid Derivatives. Molecules, 29(21), 4993. https://doi.org/10.3390/molecules29214993

