Optimization of the Process of Extracting Polysaccharides from Agrocybe aegerita and In Vitro Antioxidant and Anti-Aging Tests
Abstract
1. Introduction
2. Results and Discussion
2.1. Single-Factor Experiments
2.1.1. Effects of the Solid-to-Liquid Ratio on AAPs Yield
2.1.2. Effects of the Extraction Temperature on AAPs Yield
2.1.3. Effects of Extraction Time on AAPs Yield
2.2. Optimization of Extraction Conditions Using Box–Behnken Design
2.3. Verification of the Optimal Extraction Process
2.4. Antioxidant Capacity
2.4.1. DPPH Radical Scavenging Capacity of AAPs
2.4.2. Hydroxyl Radical Scavenging Capacity of AAPs
2.4.3. Superoxide Anion Radical Scavenging Capacity of AAPs
2.5. Anti-Aging Capacity
2.5.1. Effect of AAPs on the Lifespan of C. elegans
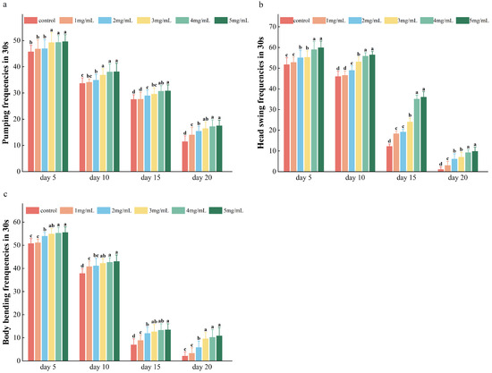
2.5.2. Effect of AAPs on the Movement and Swallowing Abilities of C. Elegans
2.5.3. Effect of AAPs on Stress Resistance
3. Materials and Methods
3.1. Chemicals and Reagents
3.2. Instruments and Equipment
3.3. Extraction of AAPs
3.4. Optimization of Polysaccharide Extraction
3.4.1. Single-Factor Experiments
3.4.2. Response Surface Methodology
3.5. Antioxidant Activities In Vitro
3.5.1. Determination of DPPH Free Radical Scavenging Rate
3.5.2. Determination of Hydroxyl Radical Scavenging Rate
3.5.3. Determination of Superoxide Anion Radical Scavenging Rate
3.6. Anti-Aging Effect
3.6.1. Synchronization Processing
3.6.2. Experimental Treatment
3.6.3. Lifespan Assay
3.6.4. Evaluation of C. elegans Activity
3.6.5. Stress Assay
3.6.6. Thermal Stress
3.6.7. Oxidative Stress
3.7. Design Experiment Software
4. Conclusions
Author Contributions
Funding
Institutional Review Board Statement
Informed Consent Statement
Data Availability Statement
Acknowledgments
Conflicts of Interest
References
- Jakopovic, B.; Oršolić, N.; Jakopovich, I. Proteomic Research on the Antitumor Properties of Medicinal Mushrooms. Molecules 2021, 26, 6708. [Google Scholar] [CrossRef] [PubMed]
- Du, B.; Peng, F.; Xie, Y.; Wang, H.; Wu, J.; Liu, C.; Yang, Y. Optimization Extraction and Antioxidant Activity of Crude Polysaccharide from Chestnut Mushroom (Agrocybe aegerita) by Accelerated Solvent Extraction Combined with Response Surface Methodology (ASE-RSM). Molecules 2022, 27, 2380. [Google Scholar] [CrossRef]
- Yang, M.; Hu, D.; Cui, Z.; Li, H.; Man, C.; Jiang, Y. Lipid-Lowering Effects of Inonotus obliquus Polysaccharide In Vivo and In Vitro. Foods 2021, 10, 3085. [Google Scholar] [CrossRef] [PubMed]
- Wu, X.; Li, N.; Dong, Z.; Yin, Q.; Zhou, T.; Zhu, L.; Yan, H.; Chen, Z.; Zhai, K. Extraction, Purification, Sulfated Modification, and Biological Activities of Dandelion Root Polysaccharides. Foods 2024, 13, 2393. [Google Scholar] [CrossRef]
- Bains, A.; Chawla, P.; Inbaraj, B.S. Evaluation of In Vitro Antimicrobial, Antioxidant, and Anti-Quorum Sensing Activity of Edible Mushroom (Agrocybe aegerita). Foods 2023, 12, 3562. [Google Scholar] [CrossRef]
- Liu, X.; Wu, L.; Tong, A.; Zhen, H.; Han, D.; Yuan, H.; Li, F.; Wang, C.; Fan, G. Anti-Aging Effect of Agrocybe aegerita Polysaccharide through Regulation of Oxidative Stress and Gut Microbiota. Foods 2022, 11, 3783. [Google Scholar] [CrossRef]
- Pang, X.; Wang, H.; Guan, C.; Chen, Q.; Cui, X.; Zhang, X. Impact of Molecular Weight Variations in Dendrobium officinale Polysaccharides on Antioxidant Activity and Anti-Obesity in Caenorhabditis elegans. Foods 2024, 13, 1040. [Google Scholar] [CrossRef]
- Zou, S.; Wu, Q.; Li, Z.; Zhang, S.; Dong, L.; Chen, Y.; Dai, Y.; Ji, C.; Liang, H.; Lin, X. Lactiplantibacillus plantarum A72, a Strain with Antioxidant Properties, Obtained through ARTP Mutagenesis, Affects Caenorhabditis elegans Anti-Aging. Foods 2024, 13, 924. [Google Scholar] [CrossRef]
- Wang, W.; Li, S.; Zhu, Y.; Zhu, R.; Du, X.; Cui, X.; Wang, H.; Cheng, Z. Effect of Different Edible Trichosanthes Germplasm on Its Seed Oil to Enhance Antioxidant and Anti-Aging Activity in Caenorhabditis elegans. Foods 2024, 13, 503. [Google Scholar] [CrossRef]
- Czyrski, A.; Sznura, J. The application of Box-Behnken-Design in the optimization of HPLC separation of fluoroquinolones. Sci Rep. 2019, 9, 19458. [Google Scholar] [CrossRef]
- Yu, Q.; Sun, K.; Geng, F. Ultrasound-assisted deep eutecticsolvent-based extraction of polysaccharides from Phellinus igniarius and its antioxidant activities. Food Res. Dev. 2023, 44, 81–88,105. [Google Scholar]
- Qian, Y.; Wei, J.; Zhang, Z.; Wang, X.; Zhang, J.; Wu, B. Optimization of polysaccharides extraction from seed melon by response surface methodology and its hypolipidemic effects in vitro. Sci. Technol. Food Ind. 2020, 41, 101–107. [Google Scholar]
- Song, H.; Moon, E.-w.; Ha, J.-H. Application of Response Surface Methodology Based on a Box-Behnken Design to Determine Optimal Parameters to Produce Brined Cabbage Used in Kimchi. Foods 2021, 10, 1935. [Google Scholar] [CrossRef]
- Shu, Y.; Lu, J.; Chen, X. Study on extraction of polysaccharide from Taraxacum mongolicum and its antioxidant activity. Modern Agric. Sci. Technol. 2022, 15, 186–189. [Google Scholar]
- Fan, W.; Jiang, X.; Li, Q.; Wang, J.; Lv, M.; Liu, J. Preparation of Phosphorylated Auricularia cornea var. Li. Polysaccharide Liposome Gel and Analysis of Its In Vitro Antioxidant Activity. Foods 2024, 13, 335. [Google Scholar] [CrossRef] [PubMed]
- Zhang, K.; Zhou, W.; Wang, W.; Zhao, S.; Lin, C.; Ru, X.; Guan, J.; Cong, H.; Yang, Q. Area Gene Regulates the Synthesis of β-Glucan with Antioxidant Activity in the Aureobasidium pullulans. Foods 2023, 12, 660. [Google Scholar] [CrossRef]
- Zhao, L.; Wu, B.; Liang, S.; Min, D.; Jiang, H. Insight of Silkworm Pupa Oil Regulating Oxidative Stress and Lipid Metabolism in Caenorhabditis elegans. Foods 2022, 11, 4084. [Google Scholar] [CrossRef]
- Sun, M.; Zhang, Y.; Gao, W.; He, Y.; Wang, Y.; Sun, Y.; Kuang, H. Polysaccharides from Porphyra haitanensis: A Review of Their Extraction, Modification, Structures, and Bioactivities. Molecules 2024, 29, 3105. [Google Scholar] [CrossRef]
- Zhang, Y.; Lin, L.; Cui, H.; Li, B.; Tian, J. Construction and Application of EGCG-Loaded Lysozyme/Pectin Nanoparticles for Enhancing the Resistance of Nematodes to Heat and Oxidation Stresses. Foods 2021, 10, 1127. [Google Scholar] [CrossRef]
- Xiao, X.; Wu, F.; Wang, B.; Cai, Z.; Wang, L.; Zhang, Y.; Yu, X.; Luo, Y. Clerodendranthus spicatus (Thunb.) Water Extracts Reduce Lipid Accumulation and Oxidative Stress in the Caenorhabditis elegans. Int. J. Mol. Sci. 2024, 25, 9655. [Google Scholar] [CrossRef]
- Zhang, H.; Wang, X.; He, D.; Zou, D.; Zhao, R.; Wang, H.; Li, S.; Xu, Y.; Abudureheman, B. Optimization of Flavonoid Extraction from Xanthoceras sorbifolia Bunge Flowers, and the Antioxidant and Antibacterial Capacity of the Extract. Molecules 2022, 27, 113. [Google Scholar] [CrossRef] [PubMed]
- Zhou, S.; Xiao, Z.; Sun, J.; Li, L.; Wei, Y.; Yang, M.; Yang, Y.; Chen, J.; Lai, P. Low-Molecular-Weight Peptides Prepared from Hypsizygus marmoreus Exhibit Strong Antioxidant and Antibacterial Activities. Molecules 2024, 29, 3393. [Google Scholar] [CrossRef] [PubMed]
- Wu, J.; Zhou, X.; Sun, H.; Yu, D. Optimization of Extraction Conditions for Water-Soluble Polysaccharides from the Roots of Adenophora tetraphylla (Thunb.) Fisch. and Its Effects on Glucose Consumption on HepG2 Cells. Molecules 2024, 29, 3049. [Google Scholar] [CrossRef] [PubMed]
- Shi, H.; Zhang, S.; Zhu, M.; Li, X.; Jie, W.; Kan, L. Extraction Optimization, Structural Analysis, and Potential Bioactivities of a Novel Polysaccharide from Sporisorium reilianum. Antioxidants 2024, 13, 965. [Google Scholar] [CrossRef] [PubMed]
- Liang, Z.; Xiong, L.; Zang, Y.; Tang, Z.; Shang, Z.; Zhang, J.; Jia, Z.; Huang, Y.; Ye, X.; Liu, H.; et al. Extraction Optimization and Anti-Tumor Activity of Polysaccharides from Chlamydomonas reinhardtii. Mar. Drugs 2024, 22, 356. [Google Scholar] [CrossRef] [PubMed]
- Xue, S.; Li, C.; Xiong, Z. Preparation of Complex Polysaccharide Gels with Zanthoxylum bungeanum Essential Oil and Their Application in Fish Preservation. Gels 2024, 10, 533. [Google Scholar] [CrossRef]
- Wu, J.; Yang, F.; Guo, L.; Sheng, Z. Modeling and Optimization of Ellagic Acid from Chebulae Fructus Using Response Surface Methodology Coupled with Artificial Neural Network. Molecules 2024, 29, 3953. [Google Scholar] [CrossRef]
- Zhang, J.; Zhou, C.; Tan, M.; Cao, Y.; Ren, Y.; Peng, L. Optimization and Characterization of PEG Extraction Process for Tartary Buckwheat-Derived Nanoparticles. Foods 2024, 13, 2624. [Google Scholar] [CrossRef]
- Ferreira, I.C.; Côrrea, R.C.D.; Orué, S.L.; Leite, D.F.; da Rocha, P.d.S.; Cardoso, C.A.L.; Mussury, R.M.; Vit, P.; de Picoli Souza, K.; dos Santos, E.L.; et al. Chemical Components and Antioxidant Activity of Geotrigona sp. and Tetragonisca fiebrigi Stingless Bee Cerumen Reduce Juglone-Induced Oxidative Stress in Caenorhabditis elegans. Antioxidants 2023, 12, 1276. [Google Scholar] [CrossRef] [PubMed]
- Pattarachotanant, N.; Sornkaew, N.; Warayanon, W.; Rangsinth, P.; Sillapachaiyaporn, C.; Vongthip, W.; Chuchawankul, S.; Prasansuklab, A.; Tencomnao, T. Aquilaria crassna Leaf Extract Ameliorates Glucose-Induced Neurotoxicity In Vitro and Improves Lifespan in Caenorhabditis elegans. Nutrients 2022, 14, 3668. [Google Scholar] [CrossRef]
- Brinkmann, V.; Romeo, M.; Larigot, L.; Hemmers, A.; Tschage, L.; Kleinjohann, J.; Schiavi, A.; Steinwachs, S.; Esser, C.; Menzel, R.; et al. Aryl Hydrocarbon Receptor-Dependent and -Independent Pathways Mediate Curcumin Anti-Aging Effects. Antioxidants 2022, 11, 613. [Google Scholar] [CrossRef] [PubMed]
- Jattujan, P.; Srisirirung, S.; Watcharaporn, W.; Chumphoochai, K.; Kraokaew, P.; Sanguanphun, T.; Prasertsuksri, P.; Thongdechsri, S.; Sobhon, P.; Meemon, K. 2-Butoxytetrahydrofuran and Palmitic Acid from Holothuria scabra Enhance C. elegans Lifespan and Healthspan via DAF-16/FOXO and SKN-1/NRF2 Signaling Pathways. Pharmaceuticals 2022, 15, 1374. [Google Scholar] [CrossRef] [PubMed]
- Mack, H.I.D.; Buck, L.G.; Skalet, S.; Kremer, J.; Li, H.; Mack, E.K.M. Further Extension of Lifespan by Unc-43/CaMKII and Egl-8/PLCβ Mutations in Germline-Deficient Caenorhabditis elegans. Cells 2022, 11, 3527. [Google Scholar] [CrossRef] [PubMed]
- Ding, F.; Zhao, Y. Astaxanthin Induces Transcriptomic Responses Associated with Lifespan Extension in Caenorhabditis elegans. Antioxidants 2022, 11, 2115. [Google Scholar] [CrossRef]
- Zhou, L.; Liu, J.; Bu, L.-L.; Liao, D.-F.; Cheng, S.-W.; Zheng, X.-L. Curcumin Acetylsalicylate Extends the Lifespan of Caenorhabditis elegans. Molecules 2021, 26, 6609. [Google Scholar] [CrossRef]
- Veiko, A.G.; Lapshina, E.A.; Zavodnik, I.B. Comparative analysis of molecular properties and reactions with oxidants for quercetin, catechin, and naringenin. Mol. Cell. Biochem. 2021, 476, 4287–4299. [Google Scholar] [CrossRef]
- Zhao, D.; Yan, M.; Xu, H.; Liang, H.; Zhang, J.; Li, M.; Wang, C. Antioxidant and Antiaging Activity of Fermented Coix Seed Polysaccharides on Caenorhabditis elegans. Nutrients 2023, 15, 2474. [Google Scholar] [CrossRef]
- Zhang, X.; Chen, Q.; Chen, L.; Chen, X.; Ma, Z. Anti-Aging in Caenorhabditis elegans of Polysaccharides from Polygonatum cyrtonema Hua. Molecules 2024, 29, 1276. [Google Scholar] [CrossRef]
- Bogari, H.A.; Rashied, R.M.H.; Abdelfattah, M.A.O.; Malatani, R.T.; Khinkar, R.M.; Hareeri, R.H.; Wink, M.; Sobeh, M. Euclea divinorum Hiern: Chemical Profiling of the Leaf Extract and Its Antioxidant Activity In Silico, In Vitro and in Caenorhabditis elegans Model. Metabolites 2022, 12, 1031. [Google Scholar] [CrossRef]
- Li, S.; Wang, J.; Zhang, L.; Zheng, Y.; Ma, G.; Sun, X.; Yuan, J. Preparation of Dendrobium officinale Flower Anthocyanin and Extended Lifespan in Caenorhabditis elegans. Molecules 2022, 27, 8608. [Google Scholar] [CrossRef]







| Test Number | A/Extraction Temperature (°C) | B/Extraction Time (min) | C/Extraction Ratio (mg/mL) | Extraction Rate (%) |
|---|---|---|---|---|
| 1 | −1 | −1 | 0 | 7.302 |
| 2 | 1 | −1 | 0 | 8.297 |
| 3 | −1 | 1 | 0 | 8.004 |
| 4 | 1 | 1 | 0 | 9.982 |
| 5 | −1 | 0 | −1 | 9.524 |
| 6 | 1 | 0 | −1 | 10.762 |
| 7 | −1 | 0 | 1 | 8.731 |
| 8 | 1 | 0 | 1 | 10.351 |
| 9 | 0 | −1 | −1 | 8.341 |
| 10 | 0 | 1 | −1 | 10.036 |
| 11 | 0 | −1 | 1 | 7.924 |
| 12 | 0 | 1 | 1 | 9.112 |
| 13 | 0 | 0 | 0 | 11.321 |
| 14 | 0 | 0 | 0 | 10.952 |
| 15 | 0 | 0 | 0 | 11.402 |
| 16 | 0 | 0 | 0 | 11.087 |
| 17 | 0 | 0 | 0 | 11.231 |
| Source of Variance | Sum of Squares | Degrees of Freedom | Mean Square | F-Value | p-Value |
|---|---|---|---|---|---|
| Model | 29.83 | 9 | 3.31 | 140.27 | <0.0001 |
| A | 4.25 | 1 | 4.25 | 179.85 | <0.0001 |
| B | 3.47 | 1 | 3.47 | 146.91 | <0.0001 |
| C | 0.81 | 1 | 0.81 | 34.26 | 0.0006 |
| OFF | 0.24 | 1 | 0.24 | 10.22 | 0.0151 |
| AC | 0.036 | 1 | 0.036 | 1.54 | 0.2541 |
| BC | 0.064 | 1 | 0.064 | 2.72 | 0.1431 |
| A | 3.46 | 1 | 3.46 | 146.51 | <0.0001 |
| B | 15.13 | 1 | 15.13 | 640.20 | <0.0001 |
| C | 0.85 | 1 | 0.85 | 36.05 | 0.0005 |
| Residual | 0.17 | 7 | 0.024 | — | — |
| Lack of Fit | 0.035 | 3 | 0.012 | 0.35 | 0.7896 |
| Pure Error | 0.13 | 4 | 0.033 | — | — |
| Cor Total | 30.00 | 16 | — | — | — |
| Group | Average Lifespan (Days) | Median Lifespan (Days) | Maximum Lifespan (Days) |
|---|---|---|---|
| 0 mg/mL | 14.31 ± 1.46 c | 16.50 ± 1.00 c | 21.67 ± 0.58 d |
| 1 mg/mL | 14.66 ± 0.41 c | 16.67 ± 0.58 c | 23.67 ± 1.15 c |
| 2 mg/mL | 15.22 ± 0.38 bc | 17.83 ± 0.29 bc | 24.67 ± 0.58 c |
| 3 mg/mL | 16.71 ± 0.63 ab | 19.17 ± 0.76 ab | 27.33 ± 0.58 b |
| 4 mg/mL | 17.53 ± 0.87 a | 19.67 ± 1.26 a | 29.67 ± 1.00 a |
| 5 mg/mL | 17.80 ± 1.30 a | 20.17 ± 1.15 a | 30.00 ± 1.73 a |
| Level | Factor | ||
|---|---|---|---|
| A: Extraction Temperature (°C) | B: Extraction Time (min) | C: Solid-to-Liquid Ratio | |
| −1 0 | 80 90 | 150 180 | 1:35 1:30 |
| 1 | 100 | 210 | 1:25 |
Disclaimer/Publisher’s Note: The statements, opinions and data contained in all publications are solely those of the individual author(s) and contributor(s) and not of MDPI and/or the editor(s). MDPI and/or the editor(s) disclaim responsibility for any injury to people or property resulting from any ideas, methods, instructions or products referred to in the content. |
© 2024 by the authors. Licensee MDPI, Basel, Switzerland. This article is an open access article distributed under the terms and conditions of the Creative Commons Attribution (CC BY) license (https://creativecommons.org/licenses/by/4.0/).
Share and Cite
Wang, Y.; Yang, J.; Li, X.; Yang, J.; Wang, H. Optimization of the Process of Extracting Polysaccharides from Agrocybe aegerita and In Vitro Antioxidant and Anti-Aging Tests. Molecules 2024, 29, 4992. https://doi.org/10.3390/molecules29214992
Wang Y, Yang J, Li X, Yang J, Wang H. Optimization of the Process of Extracting Polysaccharides from Agrocybe aegerita and In Vitro Antioxidant and Anti-Aging Tests. Molecules. 2024; 29(21):4992. https://doi.org/10.3390/molecules29214992
Chicago/Turabian StyleWang, Yuhan, Jingyi Yang, Xiang Li, Jingshuo Yang, and Honglei Wang. 2024. "Optimization of the Process of Extracting Polysaccharides from Agrocybe aegerita and In Vitro Antioxidant and Anti-Aging Tests" Molecules 29, no. 21: 4992. https://doi.org/10.3390/molecules29214992
APA StyleWang, Y., Yang, J., Li, X., Yang, J., & Wang, H. (2024). Optimization of the Process of Extracting Polysaccharides from Agrocybe aegerita and In Vitro Antioxidant and Anti-Aging Tests. Molecules, 29(21), 4992. https://doi.org/10.3390/molecules29214992
