Determination of Plasmalogen Molecular Species in Hen Eggs
Abstract
1. Introduction
2. Results and Discussion
2.1. Fresh and Dry Weights of Hen Egg
2.2. Weights of Total Lipids, Neutral Lipids, Glycolipids, and Phospholipids in Hen Eggs
2.3. Phospholipid Fraction of Egg Yolk
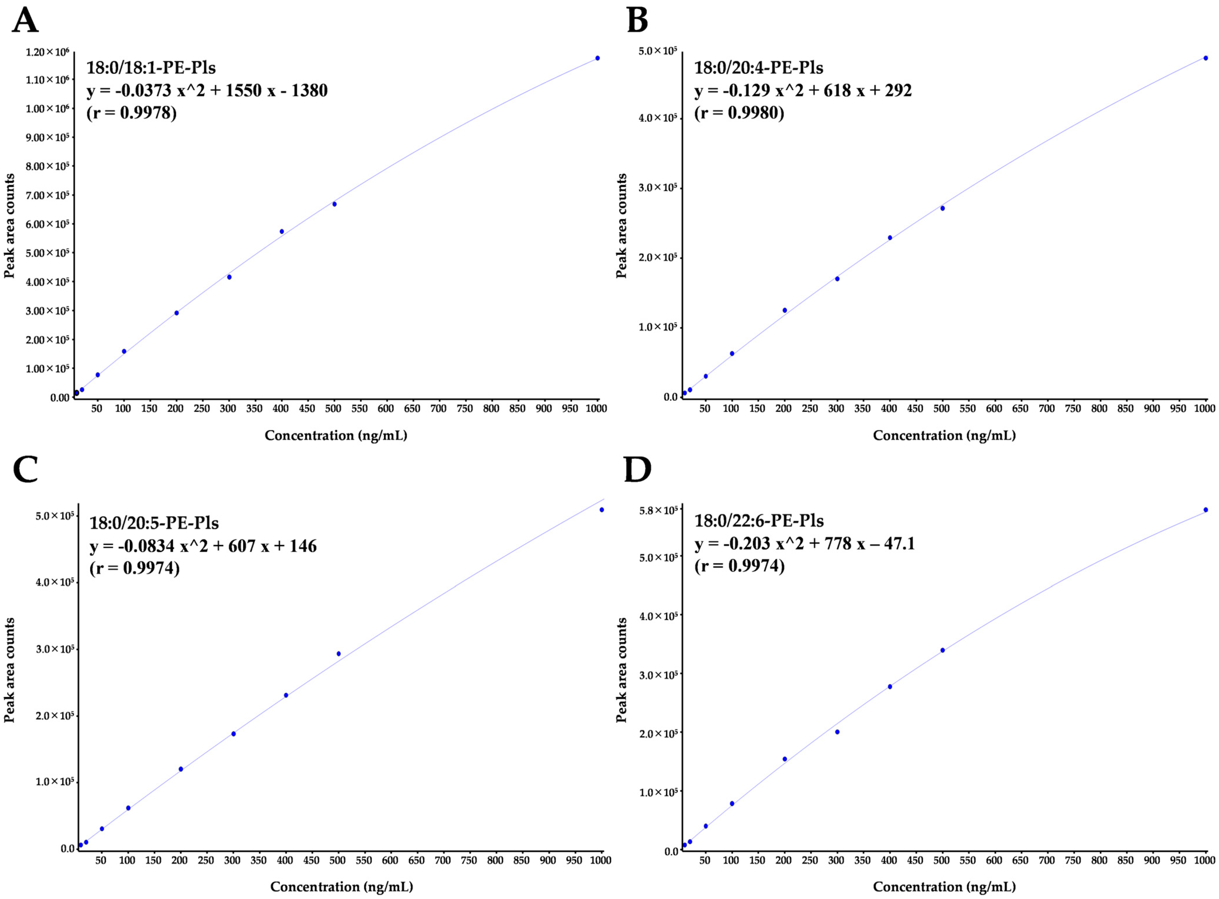
2.4. Plasmalogen Molecular Species in Egg Yolk and Egg White
2.5. Discussion
3. Materials and Methods
3.1. Materials
3.2. Measurement of Fresh and Dry Weights of Hen Egg
3.3. Measurement of Total Lipid Weights of Egg Yolk and Egg White
3.4. Measurement of Neutral Lipid, Glycolipid, Phospholipid Weights and Thin-Layer Chromatography Development of Phospholipid Fraction of Egg Yolk
3.5. Quantification of Plasmalogen Molecular Species in Egg Yolk and Egg White by HPLC-ESI-MS/MS
3.6. Statistical Analysis
4. Conclusions
Author Contributions
Funding
Institutional Review Board Statement
Informed Consent Statement
Data Availability Statement
Conflicts of Interest
References
- World Health Organization. Ageing and Health. 2022. Available online: https://www.who.int/news-room/fact-sheets/detail/ageing-and-health (accessed on 28 April 2024).
- World Health Organization. Global Status Report on the Public Health Response to Dementia. 2021. Available online: https://www.who.int/publications/i/item/9789240033245 (accessed on 28 April 2024).
- Global Prevalence of Dementia (GBD) 2019 Dementia Forecasting Collaborators. Estimation of the global prevalence of dementia in 2019 and forecasted prevalence in 2050: An analysis for the Global Burden of Disease Study 2019. Lancet Public Health 2022, 7, e105–e125. [Google Scholar] [CrossRef] [PubMed]
- Ozawa, H.; Miyazawa, T.; Miyazawa, T. Effects of dietary food components on cognitive functions in older adults. Nutrients 2021, 13, 2804. [Google Scholar] [CrossRef] [PubMed]
- Navolokin, N.; Adushkina, V.; Zlatogorskaya, D.; Telnova, V.; Evsiukova, A.; Vodovozova, E.; Eroshova, A.; Dosadina, E.; Diduk, S.; Semyachkina-Glushkovskaya, O. Promising strategies to reduce the SARS-CoV-2 amyloid deposition in the brain and prevent COVID-19-exacerbated dementia and Alzheimer’s disease. Pharmaceuticals 2024, 17, 788. [Google Scholar] [CrossRef] [PubMed]
- Bizeau, J.-B.; Albouery, M.; Grégoire, S.; Buteau, B.; Martine, L.; Crépin, M.; Bron, A.M.; Berdeaux, O.; Acar, N.; Chassaing, B.; et al. Dietary inulin supplementation affects specific plasmalogen species in the brain. Nutrients 2022, 14, 3097. [Google Scholar] [CrossRef]
- Yamashita, S.; Miyazawa, T.; Higuchi, O.; Kinoshita, M.; Miyazawa, T. Marine plasmalogens: A gift from the sea with benefits for age-associated diseases. Molecules 2023, 28, 6328. [Google Scholar] [CrossRef]
- Yamashita, S.; Kiko, T.; Fujiwara, H.; Hashimoto, M.; Nakagawa, K.; Kinoshita, M.; Furukawa, K.; Arai, H.; Miyazawa, T. Alterations in the levels of amyloid-β, phospholipid hydroperoxide, and plasmalogen in the blood of patients with Alzheimer’s disease: Possible interactions between amyloid-β and these lipids. J. Alzheimer’s Dis 2016, 50, 527–537. [Google Scholar] [CrossRef]
- Yamashita, S.; Hashimoto, M.; Haque, A.M.; Nakagawa, K.; Kinoshita, M.; Shido, O.; Miyazawa, T. Oral administration of ethanolamine glycerophospholipid containing a high level of plasmalogen improves memory impairment in amyloid β-infused rats. Lipids 2017, 52, 575–585. [Google Scholar] [CrossRef]
- Beyene, H.B.; Huynh, K.; Wang, T.; Paul, S.; Cinel, M.; Mellett, N.A.; Olshansky, G.; Meikle, T.G.; Watts, G.F.; Hung, J.; et al. Development and validation of a plasmalogen score as an independent modifiable marker of metabolic health: Population based observational studies and a placebo-controlled cross-over study. EBioMedicine 2024, 105, 105187. [Google Scholar] [CrossRef] [PubMed]
- Yamashita, S.; Kanno, S.; Honjo, A.; Otoki, Y.; Nakagawa, K.; Kinoshita, M.; Miyazawa, T. Analysis of plasmalogen species in foodstuffs. Lipids 2016, 51, 199–210. [Google Scholar] [CrossRef]
- Myers, M.; Ruxton, C.H.S. Eggs: Healthy or risky? A review of evidence from high quality studies on hen’s eggs. Nutrients 2023, 15, 2657. [Google Scholar] [CrossRef]
- Rehault-Godbert, S.; Guyot, N.; Nys, Y. The golden egg: Nutritional value, bioactivities, and emerging benefits for human Hhealth. Nutrients 2019, 11, 684. [Google Scholar] [CrossRef] [PubMed]
- Kucab, M.; Boateng, T.; Brett, N.; Schwartz, A.; de Zepetnek, J.T.; Bellissimo, N. Effects of eggs and egg components on cognitive performance, glycemic response, and subjective appetite in children aged 9–14 years. Curr. Dev. Nutr. 2019, 3, nzz052.P14-017-19. [Google Scholar] [CrossRef]
- Kritz-Silverstein, D.; Bettencourt, R. The longitudinal association of egg consumption with cognitive function in older men and women: The Rancho Bernardo Study. Nutrients 2023, 16, 53. [Google Scholar] [CrossRef] [PubMed]
- Abeyrathne, E.; Nam, K.C.; Huang, X.; Ahn, D.U. Egg yolk lipids: Separation, characterization, and utilization. Food Sci. Biotechnol. 2022, 31, 1243–1256. [Google Scholar] [CrossRef]
- Imaizumi, K. New developments in health and nutritional function promoted by chicken eggs. Nippon. Shokuhin Kagaku Kogaku Kaishi 2011, 58, 341–345. [Google Scholar] [CrossRef]
- Renkonen, O. Chromatographic separation of plasmalogenic, alkyl-acyl, and diacyl forms of ethanolamine glycerophosphatides. J. Lipid Res. 1968, 9, 34–39. [Google Scholar] [CrossRef] [PubMed]
- Messias, M.C.F.; Mecatti, G.C.; Priolli, D.G.; de Oliveira Carvalho, P. Plasmalogen lipids: Functional mechanism and their involvement in gastrointestinal cancer. Lipids Health Dis. 2018, 17, 41. [Google Scholar] [CrossRef]
- Willems, E.; Decuypere, E.; Buyse, J.; Everaert, N. Importance of albumen during embryonic development in avian species, with emphasis on domestic chicken. World’s Poult. Sci. J. 2014, 70, 503–518. [Google Scholar] [CrossRef]
- Jin, J.; Zhou, Q.; Lan, F.; Li, J.; Yang, N.; Sun, C. Microbial composition of egg component and its association with hatchability of laying hens. Front. Microbiol. 2022, 13, 943097. [Google Scholar] [CrossRef]
- Shebuski, J.R.; Freier, T.A. Microbiological spoilage of eggs and egg products. In Compendium of the Microbiological Spoilage of Foods and Beverages; Sperber, W.H., Doyle, M.P., Eds.; Springer: New York, NY, USA, 2009; pp. 121–134. [Google Scholar] [CrossRef]
- Magdelaine, P. 1-Egg and egg product production and consumption in Europe and the rest of the world. In Improving the Safety and Quality of Eggs and Egg Products; Nys, Y., Bain, M., Van Immerseel, F., Eds.; Woodhead Publishing: Sawston, UK, 2011; pp. 3–16. [Google Scholar] [CrossRef]
- Bertechini, A.G. Chapter 21—Economic and cultural aspects of the table egg as an edible commodity. In Egg Innovations and Strategies for Improvements; Hester, P.Y., Ed.; Academic Press: San Diego, CA, USA, 2017; pp. 223–232. [Google Scholar] [CrossRef]
- An, R.; Li, D.; McCaffrey, J.; Khan, N. Whole egg consumption and cognitive function among US older adults. J. Hum. Nutr. Diet. 2022, 35, 554–565. [Google Scholar] [CrossRef]
- Blesso, C.N.; Fernandez, M.L. Dietary Cholesterol, Serum Lipids, and Heart Disease: Are Eggs Working for or Against You? Nutrients 2018, 10, 426. [Google Scholar] [CrossRef] [PubMed]
- Houston, D.K.; Ding, J.; Lee, J.S.; Garcia, M.; Kanaya, A.M.; Tylavsky, F.A.; Newman, A.B.; Visser, M.; Kritchevsky, S.B.; Health ABC Study. Dietary fat and cholesterol and risk of cardiovascular disease in older adults: The Health ABC Study. Nutr. Metab. Cardiovasc. Dis. 2011, 21, 430–437. [Google Scholar] [CrossRef]
- Mewborn, C.M.; Lindbergh, C.A.; Robinson, T.L.; Gogniat, M.A.; Terry, D.P.; Jean, K.R.; Hammond, B.R.; Renzi-Hammond, L.M.; Miller, L.S. Lutein and zeaxanthin are positively associated with visual–spatial functioning in older adults: An fMRI study. Nutrients 2018, 10, 458. [Google Scholar] [CrossRef] [PubMed]
- Sueyasu, T.; Yasumoto, K.; Tokuda, H.; Kaneda, Y.; Obata, H.; Rogi, T.; Izumo, T.; Kondo, S.; Saito, J.; Tsukiura, T.; et al. Effects of long-chain polyunsaturated fatty acids in combination with lutein and zeaxanthin on episodic memory in healthy older adults. Nutrients 2023, 15, 2825. [Google Scholar] [CrossRef] [PubMed]
- Tanprasertsuk, J.; Mohn, E.S.; Matthan, N.R.; Lichtenstein, A.H.; Barger, K.; Vishwanathan, R.; Johnson, M.A.; Poon, L.W.; Johnson, E.J. Serum carotenoids, tocopherols, total n-3 polyunsaturated fatty acids, and n-6/n-3 polyunsaturated fatty acid ratio reflect brain concentrations in a cohort of centenarians. J. Gerontol. A Biol. Sci. Med. Sci. 2018, 74, 306–314. [Google Scholar] [CrossRef]
- Takekoshi, H.; Fujishima, M.; Miyazawa, T.; Higuchi, O.; Fujikawa, T.; Miyazawa, T. Simultaneous intake of Chlorella and ascidian ethanolamine plasmalogen accelerates activation of BDNF–TrkB–CREB signaling in rats. Molecules 2024, 29, 367. [Google Scholar] [CrossRef] [PubMed]
- Sidorova, Y.S.; Sarkisyan, V.A.; Petrov, N.A.; Frolova, Y.V.; Kochetkova, A.A. Determination and comparison of soybean lecithin and bovine brain plasmalogens effects in healthy male wistar rats. Int. J. Mol. Sci. 2023, 24, 7643. [Google Scholar] [CrossRef]
- Borasio, F.; De Cosmi, V.; D’Oria, V.; Scaglioni, S.; Syren, M.-L.E.; Turolo, S.; Agostoni, C.; Coniglio, M.; Molteni, M.; Antonietti, A.; et al. Associations between dietary intake, blood levels of omega-3 and omega-6 fatty acids and reading abilities in children. Biomolecules 2023, 13, 368. [Google Scholar] [CrossRef]
- Martin, M.; Pusceddu, M.M.; Teichenné, J.; Negra, T.; Connolly, A.; Escote, X.; Torrell Galceran, H.; Cereto Massagué, A.; Samarra Mestre, I.; del Pino Rius, A.; et al. Preventive treatment with astaxanthin microencapsulated with spirulina powder, administered in a dose range equivalent to human consumption, prevents LPS-induced cognitive impairment in rats. Nutrients 2023, 15, 2854. [Google Scholar] [CrossRef]
- Jiang, X.; Guo, Y.; Cui, L.; Huang, L.; Guo, Q.; Huang, G. Study of diet habits and cognitive function in the Chinese middle-aged and elderly population: The association between folic acid, B vitamins, vitamin D, coenzyme Q10 supplementation and cognitive ability. Nutrients 2023, 15, 1243. [Google Scholar] [CrossRef]
- Zhao, D.; Huang, Y.; Wang, B.; Chen, H.; Pan, W.; Yang, M.; Xia, Z.; Zhang, R.; Yuan, C. Dietary intake levels of iron, copper, zinc, and manganese in relation to cognitive function: A cross-sectional study. Nutrients 2023, 15, 704. [Google Scholar] [CrossRef] [PubMed]
- Pike, D.P.; McGuffee, R.M.; Geerling, E.; Albert, C.J.; Hoft, D.F.; Shashaty, M.G.S.; Meyer, N.J.; Pinto, A.K.; Ford, D.A. Plasmalogen loss in sepsis and SARS-CoV-2 infection. Front. Cell Dev. Biol. 2022, 10, 912880. [Google Scholar] [CrossRef] [PubMed]
- Chaves-Filho, A.M.; Braniff, O.; Angelova, A.; Deng, Y.; Tremblay, M.-E. Chronic inflammation, neuroglial dysfunction, and plasmalogen deficiency as a new pathobiological hypothesis addressing the overlap between post-COVID-19 symptoms and myalgic encephalomyelitis/chronic fatigue syndrome. Brain Res. Bull. 2023, 201, 110702. [Google Scholar] [CrossRef]
- Menichetti, G.; Ravandi, B.; Mozaffarian, D.; Barabási, A.L. Machine learning prediction of the degree of food processing. Nat. Commun. 2023, 14, 2312. [Google Scholar] [CrossRef] [PubMed]
- Chi, J.; Shu, J.; Li, M.; Mudappathi, R.; Jin, Y.; Lewis, F.; Boon, A.; Qin, X.; Liu, L.; Gu, H. Artificial intelligence in metabolomics: A current review. Trends Anal. Chem. 2024, 178, 117852. [Google Scholar] [CrossRef]
- Sadighara, P.; Ghanbari, R. Changes in antioxidant status between different cooking methods in eggs yolk. Int. J. Biochem. Res. Rev. 2015, 8, 1–4. [Google Scholar] [CrossRef]
- Chen, X.; Liang, K.; Zhu, H. Effects of cooking on the nutritional quality and volatile compounds in omega-3 fatty acids enriched eggs. J. Sci. Food Agric. 2022, 102, 3703–3711. [Google Scholar] [CrossRef]
- Folch, J.; Lees, M.; Stanley, G.H.S. A simple method for the isolation and purification of total lipides from animal tissues. J. Biol. Chem. 1957, 226, 497–509. [Google Scholar] [CrossRef]
- Prasad, P.; Savyasachi, S.; Reddy, L.P.A.; Sreedhar, R.V. Physico-chemical characterization, profiling of total lipids and triacylglycerol molecular species of omega-3 fatty acid rich B. arvensis seed oil from India. J. Oleo Sci. 2019, 68, 209–223. [Google Scholar] [CrossRef]
- Shrivastava, A.; Gupta, V.P. Methods for the determination of limit of detection and limit of quantitation of the analytical methods. Chron. Young Sci. 2011, 2, 21–25. [Google Scholar] [CrossRef]
- Kanda, Y. Investigation of the freely available easy-to-use software ‘EZR’ for medical statistics. Bone Marrow Transplant. 2013, 48, 452–458. [Google Scholar] [CrossRef] [PubMed]





| Egg Yolk | Egg White | Eggshell | |
|---|---|---|---|
| Fresh weight (g/egg) | 20.5 ± 1.4 | 35.4 ± 1.9 | 7.6 ± 0.2 |
| Dry weight (g/egg) | 9.8 ± 0.6 | 3.9 ± 0.3 | 6.7 ± 0.3 |
| Moisture content (wt%) | 52.2 ± 0.5 | 88.8 ± 0.4 | 12.9 ± 2.3 |
| Egg Yolk | Egg White | |
|---|---|---|
| Total lipids (g/100 g D.W.) | 35.5 ± 0.4 | 0.2 ± 0.1 |
| Neutral lipids (g/100 g total lipid) | 73.9 ± 3.4 | - |
| Glycolipids (g/100 g total lipid) | 0.5 ± 0.1 | - |
| Phospholipids (g/100 g total lipid) | 6.2 ± 0.3 | - |
| Molecular Species | Value (μg/100 g F.W. of Egg Yolk or White) | ||
|---|---|---|---|
| Egg yolk | PE-Pls | 18:0/18:1-PE-Pls | 172.4 ± 95.9 |
| 18:0/20:4-PE-Pls | 142.8 ± 31.9 | ||
| 18:0/22:6-PE-Pls | 976.9 ± 198.8 | ||
| Total | Sum of quantifiable plasmalogens (18:0/18:1-, 18:0/20:4-, and 18:0/22:6-PE-Pls) | 1292.1 ± 320.8 | |
| Egg white | PE-Pls | 18:0/18:1-PE-Pls | 4.1 ± 1.7 |
| 18:0/20:4-PE-Pls | 15.6 ± 6.3 | ||
| 18:0/22:6-PE-Pls | 6.1 ± 0.8 | ||
| PC-Pls | 18:0/20:4-PC-Pls | 5.6 ± 1.8 | |
| Total | Sum of quantifiable plasmalogens (18:0/18:1-, 18:0/20:4-, 18:0/22:6-PE-Pls and 18:0/20:4-PC-Pls) | 31.4 ± 10.2 |
| Molecular Species | Value (μg/100 g D.W. of Egg Yolk or White) | ||
|---|---|---|---|
| Egg yolk | PE-Pls | 18:0/18:1-PE-Pls | 360.4 ± 200.6 |
| 18:0/20:4-PE-Pls | 298.5 ± 66.8 | ||
| 18:0/22:6-PE-Pls | 2042.5 ± 415.6 | ||
| Total | Sum of quantifiable plasmalogens (18:0/18:1-, 18:0/20:4-, and 18:0/22:6-PE-Pls) | 2701.4 ± 670.8 | |
| Egg white | PE-Pls | 18:0/18:1-PE-Pls | 36.4 ± 14.9 |
| 18:0/20:4-PE-Pls | 139.1 ± 56.1 | ||
| 18:0/22:6-PE-Pls | 54.1 ± 7.6 | ||
| PC-Pls | 18:0/20:4-PC-Pls | 49.7 ± 15.8 | |
| Total | Sum of quantifiable plasmalogens (18:0/18:1-, 18:0/20:4-, 18:0/22:6-PE-Pls and 18:0/20:4-PC-Pls) | 279.3 ± 90.8 |
| Ionization | MRM | DP (V) | EP (V) | CE (eV) | CXP (V) | LOD (ng/mL) | LOQ (ng/mL) | |
|---|---|---|---|---|---|---|---|---|
| 18:0/18:1-PE-Pls | Positive | 730 > 339 | 111 | 11 | 42 | 39 | 2.25 | 6.83 |
| 18:0/20:4-PE-Pls | Positive | 752 > 361 | 96 | 11 | 50 | 35 | 1.60 | 4.84 |
| 18:0/20:5-PE-Pls | Positive | 750 > 359 | 101 | 10 | 46 | 35 | 2.24 | 6.79 |
| 18:0/22:6-PE-Pls | Positive | 776 > 385 | 111 | 11 | 46 | 39 | 1.15 | 3.50 |
| 18:0/18:1-PC-Pls | Positive | 772 > 184 | 116 | 11 | 47 | 12 | 1.50 | 4.56 |
| 18:0/20:4-PC-Pls | Positive | 794 > 184 | 111 | 11 | 47 | 12 | 1.08 | 3.27 |
| 18:0/22:6-PC-Pls | Positive | 818 > 184 | 111 | 11 | 49 | 14 | 0.97 | 2.94 |
Disclaimer/Publisher’s Note: The statements, opinions and data contained in all publications are solely those of the individual author(s) and contributor(s) and not of MDPI and/or the editor(s). MDPI and/or the editor(s) disclaim responsibility for any injury to people or property resulting from any ideas, methods, instructions or products referred to in the content. |
© 2024 by the authors. Licensee MDPI, Basel, Switzerland. This article is an open access article distributed under the terms and conditions of the Creative Commons Attribution (CC BY) license (https://creativecommons.org/licenses/by/4.0/).
Share and Cite
Miyazawa, T.; Higuchi, O.; Sogame, R.; Miyazawa, T. Determination of Plasmalogen Molecular Species in Hen Eggs. Molecules 2024, 29, 4795. https://doi.org/10.3390/molecules29204795
Miyazawa T, Higuchi O, Sogame R, Miyazawa T. Determination of Plasmalogen Molecular Species in Hen Eggs. Molecules. 2024; 29(20):4795. https://doi.org/10.3390/molecules29204795
Chicago/Turabian StyleMiyazawa, Taiki, Ohki Higuchi, Ryosuke Sogame, and Teruo Miyazawa. 2024. "Determination of Plasmalogen Molecular Species in Hen Eggs" Molecules 29, no. 20: 4795. https://doi.org/10.3390/molecules29204795
APA StyleMiyazawa, T., Higuchi, O., Sogame, R., & Miyazawa, T. (2024). Determination of Plasmalogen Molecular Species in Hen Eggs. Molecules, 29(20), 4795. https://doi.org/10.3390/molecules29204795

