MUF-n-Octadecane Phase-Change Microcapsules: Effects of Core pH and Core–Wall Ratio on Morphology and Thermal Properties of Microcapsules
Abstract
1. Introduction
2. Results
2.1. Microcapsule Morphology Analysis
2.2. Leak-Proof Analysis of Microcapsules
2.3. Chemical Structure of Microcapsules
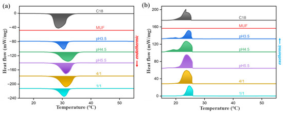
2.4. Thermal Properties Analysis of Microcapsules
2.5. Thermal Stability Analysis of Microcapsules
| Core Component | Melting | Cooling | Ref | ||
|---|---|---|---|---|---|
| Tpm/(°C) | ΔHm/(J/g) | Tpc/(°C) | ΔHc/(J/g) | ||
| C18 | 20.5 | 184.6 | 30.7 | 185.6 | [39] |
| C18/C28 | 51.9 | 187.9 | 48.8 | 187.7 | [40] |
| C18 | 29.0 | 114.5 | 23.1 | 118.8 | [41] |
| C18/C22 | 39.8 | 100.8 | - | - | [42] |
| C18 | 29.9 | 116.5 | 27.0 | 124.7 | [43] |
| C18/C-PODMA | 24.1 | 111.6 | 16.7 | 112.6 | [44] |
| C24-C18 | 26.0 | 156.4 | 26.0 | 152.8 | [45] |
| C19-C18 | 26.4 | 114.1 | 26.5 | 113.4 | [46] |
| C18 | 30.6 | 171.9 | 25.3 | 172.4 | [47] |
| C18 | - | 125.9 | - | - | [48] |
| C18 | 32.0 | 207.3 | 23.7 | 181.6 | This work |
3. Materials and Methods
3.1. Materials
3.2. Preparation of n-Octadecane-SMA Core Material
3.3. Preparation of MUF Shell
3.4. Synthesis of Microcapsules
3.5. Characterization
3.5.1. Scanning Electron Microscopy (FE-SEM)
3.5.2. Fourier Transform Infrared Spectroscopy (FTIR)
3.5.3. Thermogravimetric Analysis (TGA)
3.5.4. X-ray Diffractometer (XRD)
3.5.5. Differential Scanning Calorimetry (DSC)
4. Conclusions
Author Contributions
Funding
Institutional Review Board Statement
Informed Consent Statement
Data Availability Statement
Conflicts of Interest
References
- Huang, X.; Alva, G.; Liu, L.; Fang, G. Preparation, characterization and thermal properties of fatty acid eutectics/bentonite/expanded graphite composites as novel form–stable thermal energy storage materials. Sol. Energy Mater. Sol. Cells 2017, 166, 157–166. [Google Scholar] [CrossRef]
- Li, Z.; Zhang, J.; Lin, L.; Zhang, X.; Liu, Q.; Shi, J. Layered laser-engraved wood-based composite capable of photothermal conversion and energy storage for indoor thermal management in buildings. Energy Build. 2024, 318, 114425. [Google Scholar] [CrossRef]
- Liu, H.; Wang, X.; Wu, D. Innovative design of microencapsulated phase change materials for thermal energy storage and versatile applications: A review. Sustain. Energy Fuels 2019, 3, 1091–1149. [Google Scholar] [CrossRef]
- Kang, M.; Liu, Y.; Lin, W.; Liang, C.; Cheng, J. The thermal behavior and flame retardant performance of phase change material microcapsules with halloysite nanotube. J. Energy Storage 2023, 60, 106632. [Google Scholar] [CrossRef]
- Németh, B.; Németh, Á.S.; Ujhidy, A.; Tóth, J.; Trif, L.; Gyenis, J.; Feczkó, T. Fully bio-originated latent heat storing calcium alginate microcapsules with high coconut oil loading. Sol. Energy 2018, 170, 314–322. [Google Scholar] [CrossRef]
- Skurkytė-Papievienė, V.; Abraitienė, A.; Sankauskaitė, A.; Rubežienė, V.; Dubinskaitė, K. Enhancement of thermal properties of bio-based microcapsules intended for textile applications. Open Chem. 2020, 18, 669–680. [Google Scholar] [CrossRef]
- Gu, Y.; Li, Y.; Ju, G.; Zheng, T.; Liang, R.; Sun, G. PCM microcapsules applicable foam to improve the properties of thermal insulation and energy storage for cement-based material. Constr. Build. Mater. 2023, 409, 134144. [Google Scholar] [CrossRef]
- Lin, L.; Cao, J.; Zhang, J.; Cui, Q.; Liu, Y. Enhanced Anti-Mold Property and Mechanism Description of Ag/TiO2 Wood-Based Nanocomposites Formation by Ultrasound-and Vacuum-Impregnation. Nanomaterials 2020, 10, 682. [Google Scholar] [CrossRef]
- Su, W.; Darkwa, J.; Kokogiannakis, G. Development of microencapsulated phase change material for solar thermal energy storage. Appl. Therm. Eng. 2017, 112, 1205–1212. [Google Scholar] [CrossRef]
- Zhang, Q.; Liu, J.; Zhang, J.; Lin, L.; Shi, J. A review of composite phase change materials based on biomass materials. Polymers 2022, 14, 4089. [Google Scholar] [CrossRef]
- Döğüşcü, D.K.; Altıntaş, A.; Sarı, A.; Alkan, C. Polystyrene microcapsules with palmitic-capric acid eutectic mixture as building thermal energy storage materials. Energy Build. 2017, 150, 376–382. [Google Scholar] [CrossRef]
- Sarı, A.; Saleh, T.A.; Hekimoğlu, G.; Tyagi, V.V.; Sharma, R.K. Microencapsulated heptadecane with calcium carbonate as thermal conductivity-enhanced phase change material for thermal energy storage. J. Mol. Liq. 2021, 328, 115508. [Google Scholar] [CrossRef]
- Ji, W.; Cheng, X.; Chen, S.; Wang, X.; Li, Y. Self-assembly fabrication of GO/TiO2 paraffin microcapsules for enhancement of thermal energy storage. Powder Technol. 2021, 385, 546–556. [Google Scholar] [CrossRef]
- Wan, X.; Zhang, H.; Chen, C.; Wang, R.; Su, L.; Guo, B. Synthesis and characterization of phase change materials microcapsules with paraffin core/cross-linked hybrid polymer shell for thermal energy storage. J. Energy Storage 2020, 32, 101897. [Google Scholar] [CrossRef]
- Qiao, Z.; Mao, J. Multifunctional poly (melamine-urea-formaldehyde)/graphene microcapsules with low infrared emissivity and high thermal conductivity. Mat. Sci. Eng. B 2017, 226, 86–93. [Google Scholar] [CrossRef]
- Konuklu, Y.; Erzin, F. Preparation of pentadecane/poly (melamine-urea-formaldehyde) microcapsules for thermal energy storage applications. Int. J. Energy Res. 2019, 43, 6322–6326. [Google Scholar] [CrossRef]
- Wu, N.; Xu, L.; Zhang, C. The influence of emulsifiers on preparation and properties of microencapsules of melamine–urea–formaldehyde resins with n-dodecanol as phase-change material. Adv. Polym. Technol. 2018, 37, 3492–3498. [Google Scholar] [CrossRef]
- Wang, X.; Lei, W.; Zou, F.; Zhang, C.; Zhu, J. Synthesis and characterization of nano-Fe3O4 hybrid phase change microcapsules for infrared stealth and microwave absorption. J. Mater. Res. 2022, 37, 2335–2346. [Google Scholar] [CrossRef]
- Han, S.; Chen, Y.; Lyu, S.; Chen, Z.; Wang, S.; Fu, F. Effects of processing conditions on the properties of paraffin/melamine-urea-formaldehyde microcapsules prepared by in situ polymerization. Colloids Surf. A 2020, 585, 124046. [Google Scholar] [CrossRef]
- Yu, F.; Chen, Z.; Zeng, X. Preparation, characterization, and thermal properties of microPCMs containing n-dodecanol by using different types of styrene-maleic anhydride as emulsifier. Colloid Polym. Sci. 2009, 287, 549–560. [Google Scholar] [CrossRef]
- Shi, J.; Wu, X.; Sun, R.; Ban, B.; Li, J.; Chen, J. Synthesis and performance evaluation of paraffin microcapsules with calcium carbonate shell modulated by different anionic surfactants for thermal energy storage. Colloids Surf. A Physicochem. Eng. Asp. 2019, 571, 36–43. [Google Scholar] [CrossRef]
- Yan, J.; Ruan, L.; Hu, D.; Liu, W.; Chen, W.; Ma, W. Microencapsulation of phase change materials with a soy oil-based polyurethane shell via Pickering emulsion polymerization. ACS Appl. Energy Mater. 2023, 6, 6814–6825. [Google Scholar] [CrossRef]
- Chang, Y.; Sun, Z. Synthesis and thermal properties of n-tetradecane phase change microcapsules for cold storage. J. Energy Storage 2022, 52, 104959. [Google Scholar] [CrossRef]
- Huang, Z.H.; Yu, X.; Li, W.; Liu, S.X. Preparation of urea-formaldehyde paraffin microcapsules modified by carboxymethyl cellulose as a potential phase change material. J. For. Res. 2015, 26, 253–260. [Google Scholar] [CrossRef]
- Babaharra, O.; Choukairy, K.; Faraji, H.; Hamdaoui, S. Improved heating floor thermal performance by adding PCM microcapsules enhanced by single and hybrid nanoparticles. Heat Transf. 2023, 52, 3817–3838. [Google Scholar] [CrossRef]
- Wang, R.; Kang, Y.; Lei, T.; Li, S.; Zhou, Z.; Xiao, Y. Microcapsules composed of stearic acid core and polyethylene glycol-based shell as a microcapsule phase change material. Int. J. Energy Res. 2021, 45, 9677–9684. [Google Scholar] [CrossRef]
- Lv, P.; Liu, L.; Lei, G.; Dong, H. Pore-scale numerical investigation on the thermal storage properties of packed-bed systems with phase change material microcapsules. J. Clean. Prod. 2023, 405, 137071. [Google Scholar] [CrossRef]
- Raeesi, M.; Mirabedini, S.M.; Farnood, R.R. Preparation of microcapsules containing benzoyl peroxide initiator with gelatin-gum arabic/polyurea-formaldehyde shell and evaluating their storage stability. ACS Appl. Mater. Interfaces 2017, 9, 20818–20825. [Google Scholar] [CrossRef]
- Sun, Y.; Wang, R.; Liu, X.; Dai, E.; Li, B.; Fang, S.; Li, D. Synthesis and performances of phase change microcapsules with a polymer/diatomite hybrid shell for thermal energy storage. Polymers 2018, 10, 601. [Google Scholar] [CrossRef]
- Han, S.; Lyu, S.; Chen, Z.; Fu, F.; Wang, S. Combined stabilizers prepared from cellulose nanocrystals and styrene-maleic anhydride to microencapsulate phase change materials. Carbohydr. Polym. 2020, 234, 115923. [Google Scholar] [CrossRef]
- Di, C.; Jing, L.; Nai-Xun, J. Preparation and thermophysical properties of graphene nanoplatelets-octadecane phase change composite materials. Acta. Phys. Sin. 2019, 68, 100502-1. [Google Scholar]
- Wang, S.; Lei, K.; Wang, Z.; Wang, H.; Zou, D. Metal-based phase change material (PCM) microcapsules/nanocapsules: Fabrication, thermophysical characterization and application. Chem. Eng. J. 2022, 438, 135559. [Google Scholar] [CrossRef]
- Su, Y.; Liu, G.; Xie, B.; Fu, D.; Wang, D. Crystallization features of normal alkanes in confined geometry. Acc. Chem. Res. 2014, 47, 192–201. [Google Scholar] [CrossRef]
- Giambattista, C.; Sanctuary, R.; Perigo, E.; Baller, J. Relaxations in the metastable rotator phase of n-eicosane. J. Chem. Phys. 2015, 143, 054507. [Google Scholar] [CrossRef]
- Marbeuf, A.; Brown, R. Molecular dynamics in n-alkanes: Premelting phenomena and rotator phases. J. Chem. Phys. 2006, 124, 054901. [Google Scholar] [CrossRef]
- Shang, Y.; Zhang, D. Preparation and thermal properties of graphene oxide–microencapsulated phase change materials. Nanoscale Microscale Thermophys. Eng. 2016, 20, 147–157. [Google Scholar] [CrossRef]
- Halder, S.; Wang, J.; Fang, Y.; Qian, X.; Imam, M.A. Cenosphere-based PCM microcapsules with bio-inspired coating for thermal energy storage in cementitious materials. Mater. Chem. Phys. 2022, 291, 126745. [Google Scholar] [CrossRef]
- Peng, G.; Dou, G.; Hu, Y.; Sun, Y.; Chen, Z. Phase change material (PCM) microcapsules for thermal energy storage. Adv. Polym. Technol. 2020, 2020, 9490873. [Google Scholar] [CrossRef]
- Zhang, Z.; Zhang, Z.; Chang, T.; Wang, J.; Wang, X.; Zhou, G. Phase change material microcapsules with melamine resin shell via cellulose nanocrystal stabilized Pickering emulsion in-situ polymerization. Chem. Eng. J. 2022, 428, 131164. [Google Scholar] [CrossRef]
- Meng, X.; Qin, S.; Fan, H.; Huang, Z.; Hong, J.; Xu, X.; Ouyang, X.; Chen, D.Z. Long alkyl chain-grafted carbon nanotube-decorated binary-core phase-change microcapsules for heat energy storage: Synthesis and thermal properties. Sol. Energy Mat. Sol. C 2020, 212, 110589. [Google Scholar] [CrossRef]
- Zhou, J.; Li, S.; Niu, Z. ZnO@ZIF-8@ SiO2-Modified Microencapsulated Phase Change Material Coating on Cotton Fabric with Radiative Cooling and Thermoregulation Capabilities. Fiber. Polym. 2024, 25, 2647–2659. [Google Scholar] [CrossRef]
- Tang, A.; Pan, J.; Xia, D.; Cai, T.; Zhang, Q.; Tenkolu, G.A.; Jin, Y. Characterization and experimental assessment of hybrid cooling strategy for lithium-ion batteries by integrating microencapsulated phase change materials. Int. J. Heat. Mass. Tran. 2024, 224, 125389. [Google Scholar] [CrossRef]
- Karimi, Y.; Nazar, A.R.S.; Molla-Abbasi, P. Synthesis, characterization and application of a magnetic nanoencapsulated PCM in enhancing the natural convection in a cube cavity. Therm. Sci. Eng. Prog. 2024, 47, 102342. [Google Scholar] [CrossRef]
- Wang, X.; Gao, Y.; Han, N.; Zhang, X.; Li, W. Design and synthesis of microcapsules with cross-linking network supporting core for supercooling degree regulation. Energy Build. 2021, 253, 111437. [Google Scholar] [CrossRef]
- Sarı, A.; Alkan, C.; Döğüşcü, D.K.; Kızıl, Ç. Micro/nano encapsulated n-tetracosane and n-octadecane eutectic mixture with polystyrene shell for low-temperature latent heat thermal energy storage applications. Sol. Energy 2015, 115, 195–203. [Google Scholar] [CrossRef]
- Sarı, A.; Alkan, C.; Bilgin, C. Micro/nano encapsulation of some paraffin eutectic mixtures with poly (methyl methacrylate) shell: Preparation, characterization and latent heat thermal energy storage properties. Appl. Energy 2014, 136, 217–227. [Google Scholar] [CrossRef]
- Xiang, X.; Gao, J.; Wang, F.; Wang, L. Double emulsion templates for efficient production of phase change microcapsules. Chem. Eng. J. 2024, 496, 154006. [Google Scholar] [CrossRef]
- Jiménez-Vázquez, M.; Ramos, F.J.; Garrido, I.; López-Pedrajas, D.; Rodríguez, J.F.; Carmona, M. Production of thermoregulating slurries constituted by nanocapsules from melamine-formaldehyde containing n-octadecane. J. Energy Storage 2022, 51, 104465. [Google Scholar] [CrossRef]







| Sample | Melting | Cooling | Een (%) | ||||||
|---|---|---|---|---|---|---|---|---|---|
| Tom/(°C) | Tpm/(°C) | Tem/(°C) | ΔHm/(J/g) | Toc/(°C) | Tpc/(°C) | Tec/(°C) | ΔHc/(J/g) | ||
| C18 | 26.4 | 28.8 | 35.7 | 244.8 | 25.4 | 23.5 | 17.1 | 244.2 | |
| MUF | - | - | - | - | - | - | - | - | - |
| pH3.5 | 23.9 | 30.5 | 33.4 | 120.9 | 25.7 | 24.5 | 15.9 | 88.2 | 49.4 |
| pH4.5 | 24.4 | 32.0 | 37.0 | 207.3 | 25.8 | 23.7 | 15.9 | 181.6 | 84.7 |
| pH5.5 | 24.8 | 31.3 | 35.1 | 219.8 | 25.8 | 23.7 | 16.7 | 208.8 | 89.8 |
| 4/1 | 23.7 | 31.2 | 35.6 | 192.4 | 25.9 | 23.7 | 18.9 | 177.4 | 78.6 |
| 1/1 | 24.5 | 30.6 | 33.5 | 140.2 | 26.0 | 24.7 | 21.4 | 138.1 | 52.3 |
Disclaimer/Publisher’s Note: The statements, opinions and data contained in all publications are solely those of the individual author(s) and contributor(s) and not of MDPI and/or the editor(s). MDPI and/or the editor(s) disclaim responsibility for any injury to people or property resulting from any ideas, methods, instructions or products referred to in the content. |
© 2024 by the authors. Licensee MDPI, Basel, Switzerland. This article is an open access article distributed under the terms and conditions of the Creative Commons Attribution (CC BY) license (https://creativecommons.org/licenses/by/4.0/).
Share and Cite
Lin, L.; Li, Z.; Zhang, J.; Ma, T.; Wei, R.; Zhang, Q.; Shi, J. MUF-n-Octadecane Phase-Change Microcapsules: Effects of Core pH and Core–Wall Ratio on Morphology and Thermal Properties of Microcapsules. Molecules 2024, 29, 4794. https://doi.org/10.3390/molecules29204794
Lin L, Li Z, Zhang J, Ma T, Wei R, Zhang Q, Shi J. MUF-n-Octadecane Phase-Change Microcapsules: Effects of Core pH and Core–Wall Ratio on Morphology and Thermal Properties of Microcapsules. Molecules. 2024; 29(20):4794. https://doi.org/10.3390/molecules29204794
Chicago/Turabian StyleLin, Lin, Ziqi Li, Jian Zhang, Tonghua Ma, Renzhong Wei, Qiang Zhang, and Junyou Shi. 2024. "MUF-n-Octadecane Phase-Change Microcapsules: Effects of Core pH and Core–Wall Ratio on Morphology and Thermal Properties of Microcapsules" Molecules 29, no. 20: 4794. https://doi.org/10.3390/molecules29204794
APA StyleLin, L., Li, Z., Zhang, J., Ma, T., Wei, R., Zhang, Q., & Shi, J. (2024). MUF-n-Octadecane Phase-Change Microcapsules: Effects of Core pH and Core–Wall Ratio on Morphology and Thermal Properties of Microcapsules. Molecules, 29(20), 4794. https://doi.org/10.3390/molecules29204794

