Abstract
Dimers and oligomers of alkenes represent a category of compounds that are in great demand in diverse industrial sectors. Among the developing synthetic methods, the catalysis of alkene dimerization and oligomerization using transition metal salts and complexes is of undoubted interest for practical applications. This approach demonstrates substantial potential, offering not only elevated reaction rates but also precise control over the chemo-, regio-, and stereoselectivity of the reactions. In this review, we discuss the data on catalytic systems for alkene dimerization and oligomerization. Our focus lies in the analysis of how the activity and chemoselectivity of these catalytic systems are influenced by various factors, such as the nature of the transition metal, the ligand environment, the activator, and the substrate structure. Notably, this review particularly discusses reaction mechanisms, encompassing metal complex activation, structural and dynamic features, and the reactivity of hydride intermediates, which serve as potential catalytically active centers in alkene dimerization and oligomerization.
1. Introduction
The dimers and oligomers of alkenes belong to a broad class of compounds that are in high demand across various industrial sectors. Typically, they are used as comonomers in ethylene polymerization and serve as raw materials for the production of adhesives, surfactants, flavors, synthetic fuel additives, and more [1,2,3,4,5,6]. Alkene oligomers are synthesized catalytically using various methods, including heterogeneous acid catalysis with the use of phosphoric acid on silica, ion exchange resins, silica-aluminas, zeolites, etc., where the classical mechanism involving carbocations (carbenium pathway) is realized [6,7,8]. Another way to synthesize oligomers involves transition metal catalysis (Zr, Ti, Hf, Ni, Co, Fe, V, and Ta) in which the Cossee–Arlman mechanism is implemented [9]. Metal-catalyzed processes, such as the oligo- and polymerization of ethylene on chromium catalysts (Philips), the preparation of linear α-olefins via ethylene oligomerization on a nickel catalyst (SHOP = shell higher olefin process), the oligomerization of light alkenes into C4–C10 olefins using AlphaButol, AlphaHexol, Dimersol, and Difasol process technologies, and others, were developed to produce olefin oligomers [10,11,12,13,14]. The oligomerization of alkenes (1-butene and 1-hexene) synthesized from renewable plant raw materials to obtain jet and diesel fuels is also attracting the attention of the scientific community [6,15].
Among the developing methods with significant potential for advancement and practical implementation is the catalysis of alkene dimerization and oligomerization using Ti subgroup metal salts and complexes, which provide high reaction rates and effective control of their chemo-, regio-, and stereoselectivity. The classical heterogeneous Ziegler–Natta catalysis is widely used in the production of polyethylene and polypropylene [16,17,18,19,20,21]. The discovery of metallocenes [22], along with organoaluminum [23,24,25] and boron activators [22,26,27], enabled the process to be transferred from a heterogeneous medium to a homogeneous one, which provided undoubted positive effects—such as an increase in the activity and the possibility to effectively control stereoselectivity—and allowed for a detailed study to be conducted on the reaction mechanisms. Homogeneous systems effectively catalyze alkene di-, oligo-, and polymerization [1,28,29,30], as well as the hydro-, carbo-, and cyclometalation of olefins and acetylenes [31,32,33,34,35], which can not only be considered as the methods of multiple bond functionalization but also as the initial stages of chain growth in the oligo- and polymerization processes.
Information concerning the catalytic alkene oligomerization and the types of products it produces can be seen in Scheme 1. The nature of the active reaction centers determines the structural types of the resulting oligomers and the regio- and stereoselectivity of a substrate’s insertion. In the processes presented in Scheme 1, hydride, alkyl, or alkene intermediates act as active reaction centers, which, in the early stages, facilitate alkene hydro-, carbo-, or cyclometalation, respectively. Chain termination occurs through the elimination of the oligomeric product, generating metal hydrides, or through the transfer of the growing chain to an organometallic cocatalyst or alkene. Metal hydrides, therefore, can serve as dominant reaction centers in these catalytic systems.
Scheme 1.
Alkene oligomerization catalyzed with transition metal complexes: active centers and types of products.
Recent reviews on catalytic ethylene, propylene, and higher olefin oligomerization discussed the chemical methodologies, possible reaction mechanisms, techniques used to study the structure and physicochemical properties of oligomers, the practical implementation of these processes in the industry, and the potential applications for the resulting products [1,3,36,37,38,39,40,41,42].
This review paper considers catalytic systems based on metal complexes for the synthesis of alkene dimers and oligomers in the context of the dependence of the activity and chemoselectivity of catalytic systems on the nature of the transition metal, ligand environment, activator, and substrate structure. This review pays particular attention to the reaction mechanisms, including the metal complex activation, the structural and dynamic features, and the reactivity of hydride intermediates, as potential catalytically active centers in alkene dimerization and oligomerization.
2. Catalytic Synthesis of Terminal Alkene Dimers and Oligomers
In the literature, significant attention is given to Ti subgroup metal complexes, the use of which, in homogeneous catalytic systems, ensures alkene dimerization, oligomerization, and polymerization with high yields and high chemo- and stereoselectivity [1,5,40]. The selective transformation of α-olefins (propene (1a), 1-butene (1b), 1-hexene (1c), 1-octene (1d), and 3-methyl-1-butene (1e)) into vinylidene dimers (2a–e) under the action of a catalytic system consisting of Cp2ZrCl2 (3) or Cp2ZrMe2 (4) and aluminoxane, obtained in situ through the reaction of AlR3 (R = Me, Et, and Bui) with CuSO4·5H2O, was reported in one of the first works on this topic (Scheme 2) [43]. Dimeric products were obtained with a selectivity of up to 96% during the reaction performed at 40–70 °C for 0.5–2 h with the following reagent ratio: [Zr]:[Al]:[1-alkene] = 1:(8–100):(600–4670). The highest alkene conversion rate and selectivity towards the dimerization were achieved in the reaction, which was catalyzed with Cp2ZrCl2 and methylaluminoxane (MAO).
Scheme 2.
Alkene dimerization under the action of a catalytic system: Cp2ZrCl2 (Cp2ZrMe2)-AlR3 (R = Me, Et, and Bui)-CuSO4·5H2O [43].
A dimeric product (2d) was obtained with a yield of 59% in the reaction of 1-octene with AlMe3 in the presence of Cp2ZrCl2 (3) in 1,2-dichloroethane at 22 °C for 12 h (Scheme 3) [44]. It was assumed that the initial stage of the reaction was the alkene carbometalation and the formation of metal alkyl 7, which hydrometalates 1-octene through state 8. As a result, 2-methyl-1-octene and the hydrometalation product, n-OctMLn, are accumulated in the mixture. The latter reacts with 1-octene via carbometalation to provide 2-(n-hexyl)-1-decyl metal that hydrometalates 1-octene to form n-OctMLn and dimer 2d (Scheme 3).
Scheme 3.
Reaction of 1-octene with AlMe3 in the presence of Cp2ZrCl2 in 1,2-dichloroethane and probable mechanism [44].
Furthermore, terminal alkenes 1b, 1c, and 1e–h were dimerized in the presence of the catalytic system Cp2ZrCl2-MAO at an Al/Zr ratio of 1:1 and a room temperature of 25 °C for 24 h with the product yield of 80–90% (Scheme 4) [45,46]. 3-Methyl-1-butene (1e) provided a mixture of 2-methyl-2-butene (9e, 77%), 2-methyl-1-butene (10e, 17%), and 5-methyl-2-(methylethyl)-1-hexene (2e, 3%). The reaction of o-diallylbenzene (1i) with Cp2ZrCl2 and MAO at an Al/Zr ratio of 4:1 for 3 days provided a cyclic product, methylenecycloheptane 11i, with a 70% yield.
Scheme 4.
Alkene dimerization in the presence of catalytic system (Cp2ZrCl2-MAO) and probable reaction mechanism [45,46].
The mechanism proposed in [45,46] for the dimerization reaction implies the insertion of 1-alkene into a Zr-H bond of zirconocene hydride 14 to obtain Zr-alkyl complex 15, which then carbometalates the second alkene molecule, producing alkyl derivative 16. Subsequent β-H elimination in alkyl complex 16 provides dimer 2 and hydride complex 14 (Scheme 4). It is noted that the presence of chlorine in a catalytic system is an important factor for the dimerization reaction. In confirmation, a higher oligomer formation was seen in the presence of Cp2ZrMe2 (4) as a catalyst and MAO (without Cl atoms) was given. The chlorine atom probably ensures the fast β-H elimination, but not the growth of an alkyl chain [46].
A dimeric hydride complex, [(2,4,7-Me3-Ind)2Y(μ-H)]2 (17) (Scheme 5), appeared to be an effective catalyst for the homodimerization of various α-olefins [47]. The reaction was performed in benzene at 80–100 °C for 2–24 h, and there was a 20–50-fold molar excess of α-olefins. The head-to-tail dimerization was observed in the case of 1-hexene (1c) and 3-methyl-1-butene (1e) with a selectivity of >98%.
Scheme 5.
α-Olefin homo- and codimerization, catalyzed with the following hydride complex: [(2,4,7-Me3-Ind)2Y(μ-H)]2 [47].
The reaction runs through sequential 1,2-insertion followed by β-H elimination (Scheme 6) [47]. The homodimerization of trimethylvinylsilane (1i) and styrene (1k) occurred, forming head-to-head products. The reactions presumably proceed through an initial 1,2-insertion into the Y-H bond, followed by a subsequent 2,1-coordination and β-H abstraction. Olefins 1l–o, containing heteroatoms, 3,3-dimethyl-1-butene (1j), and allylbenzene (1h), did not undergo homodimerization under the reaction conditions. In the reaction with 1h, C-H activation arose, resulting in the formation of a catalytically inactive allyl complex, Ind’2Y(η3-CH2CHCHPh). The reaction of 17 with 1l–o provided stable alkyl complexes that deactivated the catalyst.
Scheme 6.
Proposed mechanism of α-olefin homo- and codimerization, catalyzed with [(2,4,7-Me3-Ind)2Y(μ-H)]2 (17) [47].
Complex 17 also showed activity in the styrene codimerization with alkenes (H2C=CHR) that produced trans-1-phenyl-4-alkylbut-1-enes (20) with more than an 88% yield at 80–100 °C (Scheme 5). The reaction probably occurred through the 1,2-coordination of α-olefin into the Y-H bond, followed by a subsequent 2,1-insertion of styrene into the Y-C bond of the alkyl intermediate and β-H elimination (Scheme 6). Heteroatom-containing olefins 1l–o readily formed head-to-head codimers with styrene. However, these substrates exhibited lower reactivity, and the accompanying formation of the styrene homodimer was observed.
Complexes of various structures were subsequently tested in the reactions to find selective catalysts for alkene dimerization and oligomerization. For example, 1-pentene (1f) was transformed into oligomers in the presence of catalytic systems based on bis-cyclopentadienyl complexes 3, 22, and 23 and MAO in a ratio ([Zr]:[MAO]:[substrate] = 1:1000:30,000) at 60 °C for 24 h in toluene (Scheme 7) [48]. Oligomeric products with low molecular weights were obtained: dimers (25%), trimers (18%), and tetramers (14%). The use of catalysts with ansa-indenyl ligands (EBI)ZrCl2 (24) and (SBI)ZrCl2 (25) led to the formation of isotactic poly(1-pentene) (MN = 1700–4400 g mol−1, PDI = 4.75–6.41). Further studies on the catalytic properties of complexes 3 and 22–28 at a reagent ratio ([metallocene]:[MAO]:[1-alkene] = 1:(1000–8000):30,000) at 20–150 °C demonstrated the dependence of the reaction chemoselectivity upon the metallocene structure [49]. The reaction of 1-pentene, catalyzed with complexes 22 and 23 and MAO ([Zr]:[MAO] = 1:1000), resulted in an atactic polypentene, whereas ansa-indenyl complexes 24–26 provided an isotactic polymer with stereoselectivities of 0.91, 0.45, and 0.64 (mmmm), respectively. The polymer with the highest molecular weight (MW = 149,000, PDI = 1.85–2.08) was obtained by using catalyst 26. The reaction, which was catalyzed with cyclopentadienyl complexes 3, 27, and 28, under these conditions, afforded the oligomeric products with 2–4 units. In this case, the highest conversion (50%) was achieved in the presence of bimetallic complex 27, whereas the yields of dimers, trimers, and tetramers were 10, 20, and 20%, respectively. An increase in the amount of MAO to 6000 eq. in the case of complex 3 caused an increase to 80% in the alkene conversion, and the yields of dimers, trimers, and tetramers increased to 15, 30, and 35%, respectively (Scheme 7) [49].
Scheme 7.
1-Pentene oligomerization, catalyzed with complexes 2 and 22–28 [48,49].
Branched α-olefins were regioselectively dimerized at 20 °C in toluene for 3–142 h upon the action of Cp2MCl2 (M = Ti (29), Zr (3), and Hf (22)) or Me2SiCp2ZrCl2 (30) and MAO at the following ratio: [M]:[MAO] = 1:581 (Scheme 8) [50]. Complex 30 with Me2Si-bonded cyclopentadienyl ligands showed the highest activity and regioselectivity, providing dimers 2q–t with yields of up to 100%. 3-Methyl-1-butene (1e) and 3-methyl-1-pentene (1p) provided dimers with yields of 11 and 19%, as well as oligomeric products 21e and 21p, correspondingly.
Scheme 8.
Oligomerization of branched α-olefins, catalyzed with Cp2MCl2 (M = Ti (29), Zr (3), and Hf (22)) or Me2SiCp2ZrCl2 (30); yields are given for catalyst 30 [50].
As a rule, the application of other transition metal complexes changes the regioselectivity of a reaction. For example, pyridine bis(imine) iron complexes 31a,b, upon activation with MAO, MMAO, or AlR3 (R = Et, Bui)-B(C6F5)3 (Al/Fe = 70–480), demonstrate the ability to dimerize various α-olefins, such as 1b, 1c, 1u, and 1x (Scheme 9) [51]. This results in the formation of a mixture of linear olefin dimers 18b, 18c, 18u, and 18x with internal double bonds (63–80%) and monomethyl-branched dimers 35b, 35c, 35u, and 35x (18–36%). Additionally, trisubstituted vinylidene (2-alkylalkenes) or α-olefinic products were detected in trace amounts. High alkene conversion up to 76% was achieved in the presence of 31a–c and 31e at 30–50 °C. The sterically less hindered complex 31d provided monomethyl-branched dimers 35b, 35c, 35u, and 35x.
Scheme 9.
Dependence of the type of alkene dimerization products on the post-metallocene structure [51].
The reaction mechanism consists of consecutive stages of the 1,2-insertion of the initial olefin into the Fe-H bond, followed by a 2,1-insertion of the second olefin (Scheme 10). Subsequent β-H elimination leads to the formation of linear dimers. Successive 2,1-insertions of alkenes and β-H eliminations produce Me-substituted dimers.
Scheme 10.
Mechanism of alkene dimerization, catalyzed with iron complexes 31a–d [51].
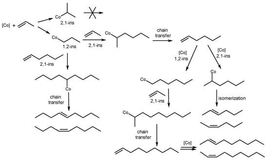
Pyridine bis(imine) cobalt catalysts 32a–d, when activated with MMAO (Al/Co = 200–500), dimerized α-olefins with lower productivity compared to similar iron systems (TON for 1-butene: 42,000 vs. 147,000 for Co and Fe, respectively) (Scheme 11) [52]. The main products were linear dimers (>97%) and butene isomers in an 18b/iso-1b ratio of 0.47–0.7. In the dimerization of propylene, linear hexenes, nonenes, and dodecenes were obtained with turnovers exceeding 200,000 moles of propylene/mole Co (17,000 g oligomer/g Co complex). Complexes 32a and 32b, in combination with MMAO or EtAlCl2, induced the isomerization of 1-hexene.
Scheme 11.
Pyridine bis(imine) cobalt complexes 32a–d as catalysts of α-olefin dimerization [52].
The main stages of the stepwise reaction mechanism include a consecutive 1,2-insertion of olefin and a 2,1-insertion into Co-Alkyl, followed by chain termination to provide alkenes with internal and terminal double bonds (Scheme 12) [52].
Scheme 12.
Mechanism of alkene dimerization, catalyzed with Co complexes 32a–d.
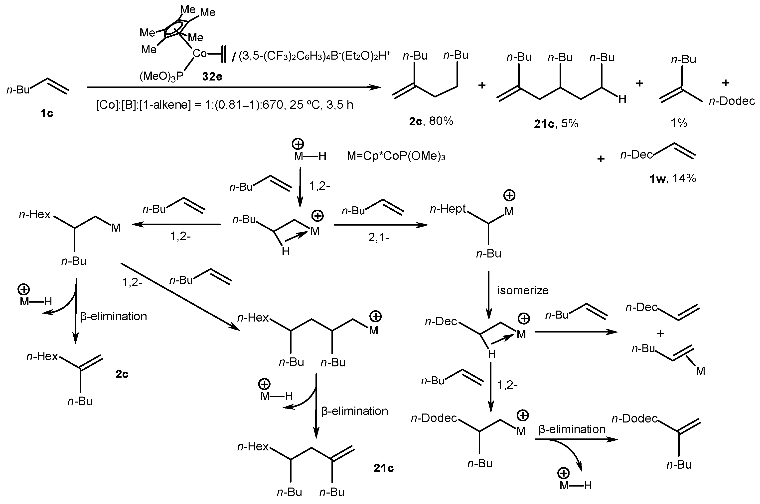
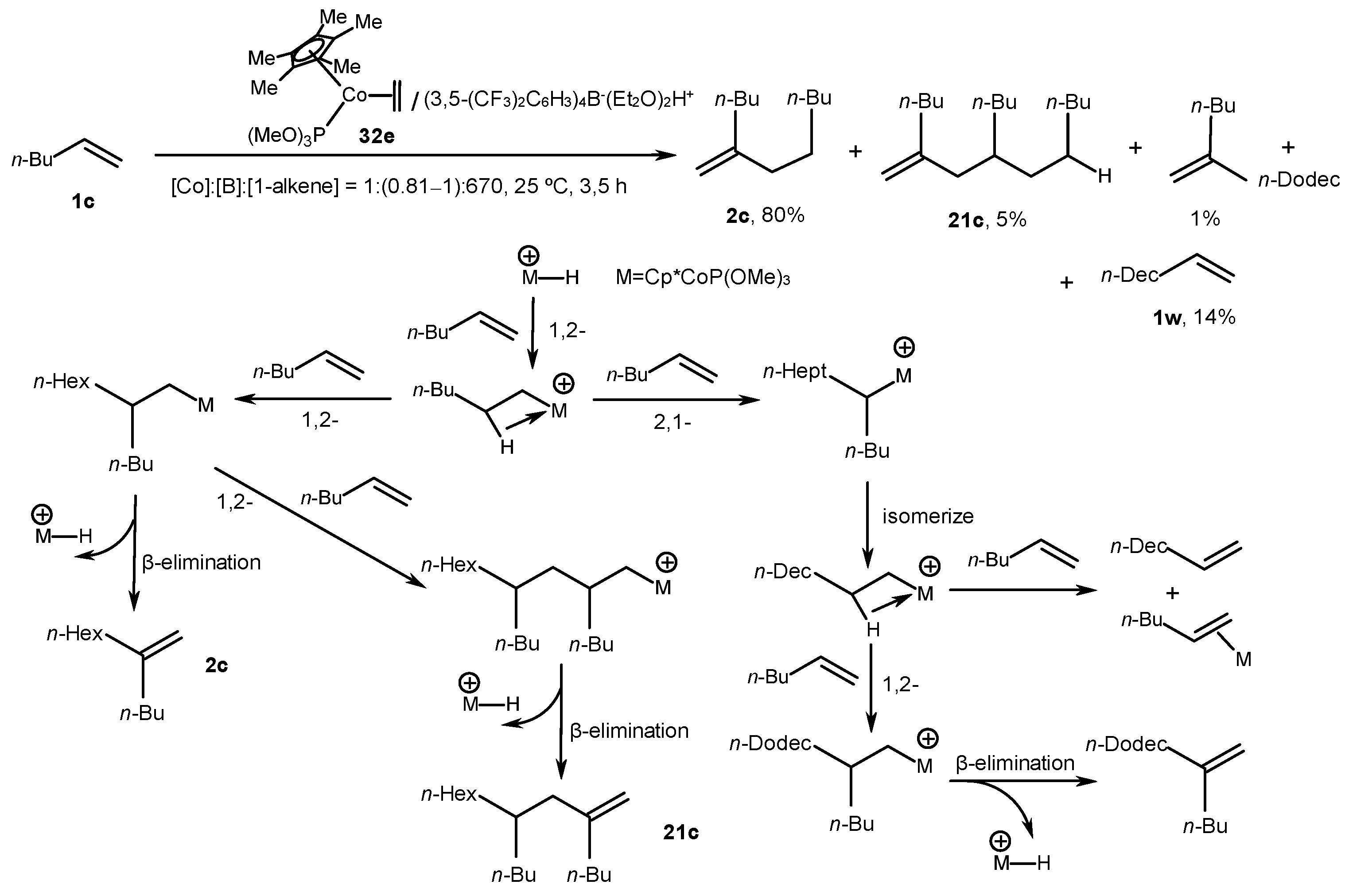
Nevertheless, mixed ethylene Co complex 32e catalyzed the transformation of terminal alkenes into vinylidene dimers of a head-to-tail type with yields of 66–80% in the presence of an organoboron activator, HBArF, at a [Co]:[B]:[1-alkene] ratio of 1:0.81:670 in contrast to the post-metallocene catalysts 32a–d (Scheme 13) [53]. Moreover, linear terminal alkene 1w formed in the reaction with a yield of up to 14%, presumably due to the isomerization processes in intermediate alkyl Co complexes.
Scheme 13.
Transformations of terminal alkenes into dimers, which were catalyzed with complex 32e [53].
α-Olefins 1c, 1d, 1f, 1g, and 1x undergo tail-to-tail dimerization under the action of a catalytic system, WCl6/R′NH2/R″3N/EtAlCl2, obtained in situ at a [W]:[R′NH2]:[R″3N]:[EtAlCl2]:[1-alkene] molar ratio of 1:(1–4):(0–4):12:(834–5000) to provide predominantly methyl-branched products (33c, 33d, 33f, 33g, and 33x) (Scheme 14) [54]. Alkene conversion at a level of 80% and high selectivity towards the dimerization were achieved (>99%) due to the optimal choice of a chlorine-containing organoaluminum activator (EtAlCl2) and a solvent, PhCl. This effect on the reaction initiation was attributed to the generation of bimetallic catalytically active centers with a W-Cl-Al bridge.
Scheme 14.
Alkene dimerization under the action of a catalytic system, WCl6/R′NH2/R″3N/EtAlCl2 [54].
Upon a detailed analysis of the reaction products using the example of 1-pentene dimers, it was demonstrated that fractions of linear C10 products (constituting only 0.1% of the dimer fraction) contain trans-5-decene, cis-4-decene, dienes, and decane (Scheme 15) [54]. The authors proposed a Cossee-type mechanism [9], noting that the initial insertion of an alkene occurs equally as 1,2- and 2,1-, followed by a subsequent regioselective alkene 1,2-coordination. Therefore, the dominant structures appear to be B and C, which provide the main reaction products.
Scheme 15.
Mechanism of alkene dimerization under the action of a catalytic system, WCl6/R′NH2/R″3N/Et2AlCl [54].
Low-molecular-weight oligomeric products, including 1-hexene dimers, were synthesized with high yields (73–97%) and selectivity (≥98%) in the presence of Zr and Hf post-metallocene complexes with amino-bis(phenolate) [ONNO] ligands and a neutral activator, B(C6F5)3, at 65–85 °C for 4 h and the following reagent ratio: [metallocene]:[B]:[1-hexene] = 1:1.1:100 (Scheme 16) [55]. The highest activity in the oligomerization was achieved in the presence of Zr catalysts 34a–c; in this case, the molecular weights of the products corresponded to a typical Flory–Schulz distribution [56]. Hafnium catalysts 34d–f showed lower activities in contrast to the zirconium analogs; however, they showed greater selectivity in dimerization. In addition, the molecular weight distribution of the products obtained in the presence of hafnium catalysts did not follow the Schultz–Flory distribution. The high selectivity in the formation of vinylidene dimers was explained by the prevalence of 1,2-alkene insertions into catalytically active centers, both in primary M-H and secondary M-Alkyl species. It was also noted that the chain termination rate for these systems exceeds the rate of chain propagation. In the case of regioerror, i.e., alkene 2,1-insertions, conversely, the chain propagation prevails because the elimination is practically impossible; therefore, chain termination via β-H elimination will occur when the 1,2-incorporation of an alkene takes place. The authors explain that deviations from the Schultz–Flory distribution are caused by the presence of two or more conformations of hafnium active centers, which have different activities towards alkene (the assumption was made from the 1H NMR spectra of the initial complexes depending on temperature). For zirconium analogs, it seems that either one isomer is characteristic, or the exchange between conformations is very fast (the energy barrier is small), so it does not significantly affect the distribution of oligomers.
Scheme 16.
Post-metallocene Zr and Hf amino-bis(phenolate) complexes of [ONNO]-type as catalysts of 1-hexene oligomerization [55].
A highly regioselective method for the oligomerization of 1-hexene and 1-octene was developed at relatively low catalyst loadings (0.0019–0.0075 mol%) using Zr complexes 35a and 35b with [OSSO]-type aryl-substituted bis(phenolate) ligands and modified methylaluminoxane (dMMAO) (Scheme 17) [57]. The catalytic system predominantly produced dimers with terminal vinylidene groups (74–91%) and trimers (8–11%) at 25–40 °C for 1 h with the following reagent ratio: [Zr]:[Al]:[1-alkene] = 1:(100–300):(13,350–53,500). The TOF values were adjusted by changing the structure of an aryl substituent R1 at the ortho position of a phenolate moiety of the [OSSO] ligand and the number of dMMAO equivalents used. The highest TOF value (up to 11,100 h−1) was observed for phenyl-substituted precatalyst 35a. The authors explained the low alkene conversion (10–77%) in the presence of 35a and 35b with the deactivation of Zr-H active species during oligomerization.
Scheme 17.
Post-metallocene Zr complexes of [OSSO] type as catalysts of alkene oligomerization [57].
Bis-phenolate titanium complexes 36a–c, activated by B(C6F5)3 ([Ti]/[B] = 1), catalyzed the transformation of 1-hexene into vinylene oligomers with high yield (up to 97%) and selectivity (99%) (Scheme 18) [58]. Zirconium (36d) and hafnium analogs (36e) showed significantly lower activity (yield of up to 22%), but better selectivity towards vinylidene oligomers (up to 95%). This dependence of regioselectivity on the nature of the transition metal was confirmed in an experiment with 13C-labeled hexene: the cross-linking of an alkene in the case of a Zr catalyst occurs as successive stages of a 1,2-insertion of an olefin into M-H species, a 1,2-insertion of an alkene into M-Alkyl, and β-H elimination. In the case of Ti, the stages of 1,2-olefin insertion into M-H, 2,1-alkene insertion into M-Alkyl, and β-H elimination occur. The rate of 2,1-olefin insertion is affected by solvation, an increase in the bulkiness of the ligand and the growing chain, as well as temperature. Thus, low temperatures down to −80 °C in the case of 36a led to the following ratio: [vinylene]/[vinylidene] = 52/48.
Scheme 18.
Post-metallocene bis-phenolate Zr complexes of [OSSO] type as catalysts of alkene oligomerization [58].
Dimers and oligomers of terminal alkenes were synthesized in catalytic systems based on various zirconocenes (3 and 37–52) with cyclopentadienyl ligands; indenyl ligands; fluorenyl ligands, including ansa-complexes; and heterocenes, which were activated in several steps by AlBui3, Et2AlCl, and methylaluminoxane (Scheme 19) [5,40,59,60,61,62]. Cyclopentadienyl complexes, including Cp2ZrCl2 (3), (Me2C)2Cp2ZrCl2 (37), (Me2Si)2Cp2ZrCl2 (38), and OSiMe2Cp2ZrCl2 (39), at low AlMAO/Zr ratios (1–10), catalyzed the regio- and chemoselective formation of head-to-tail α-olefin dimers with yields of 82–94% and 100% alkene conversion [40,61]. The oligomers of α-olefins (1-hexene, 1-octene, and 1-decene) were obtained in the reactions, catalyzed by zirconocenes 40, 41, 42, and 48 and organoaluminum cocatalysts at the following ratio: [Zr]:[AlBui3]:[MAO]:[1-alkene] = 1:20:10:2000 [40,59,60,62]. A yield of 1-hexene dimer decreased to 40–52% and a yield of oligomers increased to 55–57% under the same conditions in the presence of the CpIndZr2Cl2 complex (44) [59,60]. Higher 1-hexene oligomers with Mw = 3900 Da were produced by the Ind2ZrCl2 complex (45) [59]. The TOF values were (1–2.4)·105 h−1 when 46 and 47 were used in the oligomerization of alkenes 1c, 1d, 1u, and 1x [40].
Scheme 19.
Alkene dimerization and oligomerization catalyzed by complexes 3 and 37–52.
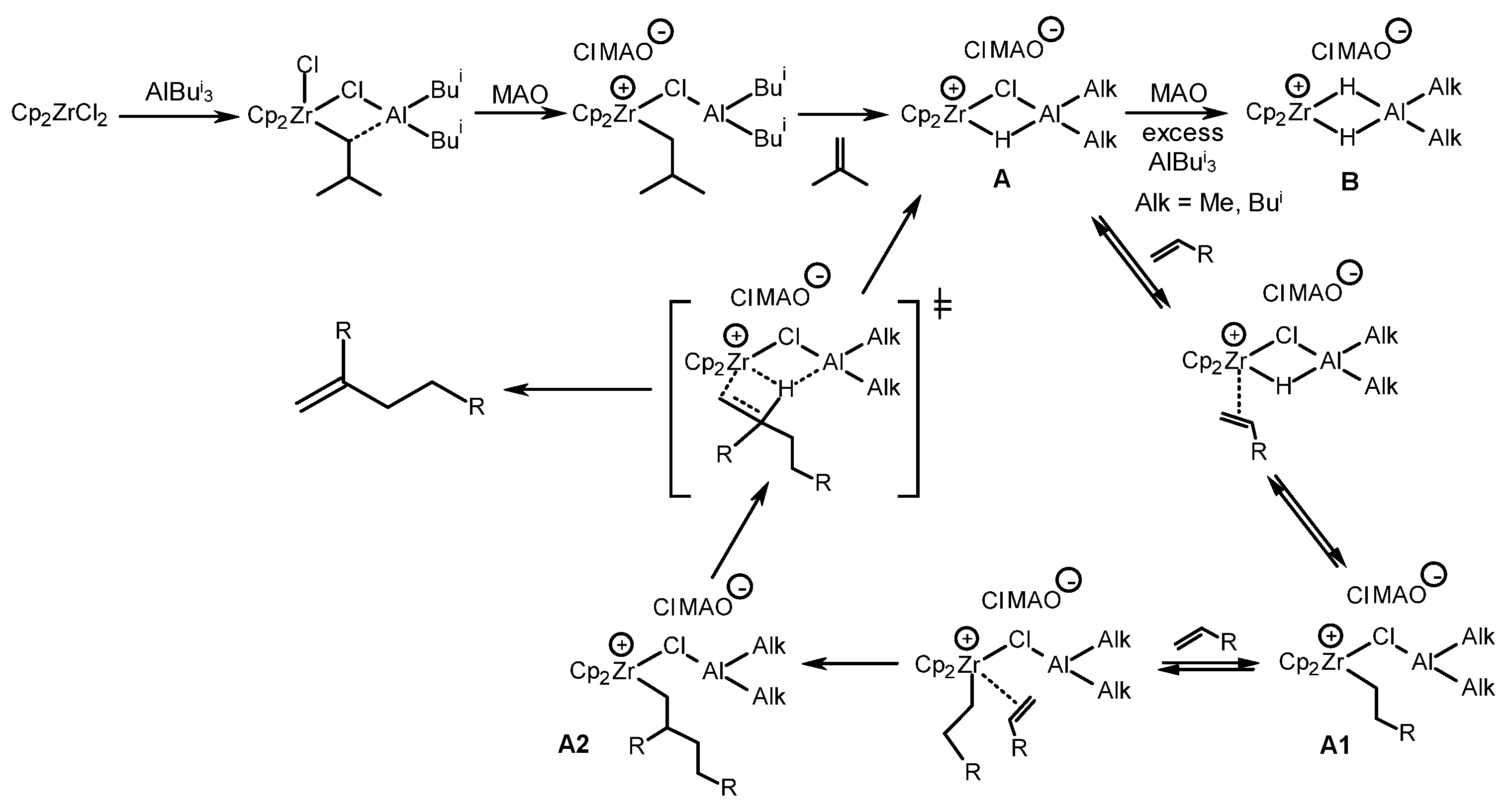
To explain the catalytic action of the systems, the mechanisms presented in Scheme 20, Scheme 21 and Scheme 22 were suggested. For example, Zr,Al complex A stabilized by the ClMAO– anion [63] formed in the reaction of Cp2ZrCl2 with AlBui3 and MAO was proposed as a catalytically active center for the alkene dimerization reaction (Scheme 20) [59]. An excess of OAC (MAO or AlBui3) increases the amount of dihydride complex B. Catalytically active center A coordinates an alkene molecule at the Zr–H bond to form alkyl complex A1, the further alkylation of which provides intermediate A2. Chlorine atoms in complex A2 promote the process of β-H transfer to the Zr atom, rather than the coordination of the third and subsequent substrate molecules (chain growth). An alkene dimer and catalytically active center A are formed after β-H transfer to a Zr atom. Intermediate B is electrophilic and seems to be sterically accessible for α-olefin oligomerization. An increase in selectivity of the reaction observed in the dimerization after the treatment of a reaction mixture with Et2AlCl is probably due to the conversion of B to A (Scheme 20). The selectivity of the dimerization reaction of α-olefins, therefore, depends mainly on the ratio of catalytically active sites A and B.
Scheme 20.
α-Olefin dimerization mechanism [59].
Scheme 21.
DFT modeling of the initiation stages of propene dimerization and oligomerization for cationic and binuclear mechanisms [62].
Scheme 22.
DFT modeling of propagation and termination stages of the propene dimerization and oligomerization [62].
The initial stages of the propene dimerization and oligomerization with the participation of Zr,Al–complexes were simulated at the DFT M-06X/DGDZVP level of theory to confirm the proposed mechanism [62]. The profiles of propene oligomerization reactions catalyzed by [Cp2ZrH]+ cation I-0 and cationic bimetallic complexes [Cp2Zr(µ-H)(µ-X)AlR2]+ (X = H, Cl, and Me; R = Me and Bui) I-0X were constructed (Scheme 21). Further, activation energies were calculated for the two reaction pathways: the formation of a vinylidene propene dimer via TS-4 and the chain growth via TS-5 (Scheme 22).
A difference between the mechanisms for traditional mononuclear [Cp2Zr-alkyl]+ and binuclear [Cp2Zr-alkyl(R2AlX)]+ species is shown (Scheme 22). Without R2AlX coordination, oligomerization is the favored reaction route. When X = H, highly stable β-agostic complexes I-2X-bo form, so the reactions slow down. If X = Cl, the main direction of the action is the formation of vinylidene dimers. The transition states of β-H elimination TS-4X (X = H and Cl) show a Zr-Al concerted effect. If X = Me, then there is no significant promotion in the β-H elimination process in TS-4 [62].
It was found that the use of molecular hydrogen at a low MAO concentration leads to the results being not typical for Ziegler–Natta processes [62]. The dimerization accelerates, and the selectivity of the reaction in this pathway increases without the formation of hydrogenolysis products in the presence of hydrogen. The DFT simulation showed that the I-2H-bo complex can react with H2 without breaking an H-H bond but with a loss of β-agostic coordination. Molecular hydrogen, therefore, acts as an additional activator for the I-2H-bo hydride complex, which is probably an active and selective catalyst of a dimerization reaction.
Zr heterocene complexes 48 and 49a–f modified with AlBui3 and MMAO-12 were studied in the reaction of 1-decene oligomerization in molecular hydrogen at a [Zr]:[Al]:[MAO]:[1-alkene] ratio of 1:10:75:50,000 at 80–100 °C (Scheme 13) [64]. The conversion of 1-decene reached 99% in the presence of 49d at 80 °C for 4 h, and the formation of low-viscosity oligomers was observed. As the temperature rises to 100 °C, the content of 1-decene dimer increases to 28%. Nevertheless, heterocene 49f was shown to be the most effective catalyst for the synthesis of low-viscosity 1-decene oligomers among the studied complexes. Moreover, the catalytic system based on complex 49f and an activator, (PhHNMe2)[B(C6F5)4], enabled us to achieve a maximum yield (63 wt%) of the most valuable trimer–tetramer fractions of alkene oligomers at a [Zr]:[Al]:[B]:[1-alkene] ratio of reagents of 1:150:1.5:200,000 in 1 atm H2 at 80–110 °C [64].
Unsymmetrical complexes 50a–c, 51, and 52 in the presence of AlBui3, (PhHNMe2)[B(C6F5)4], and H2 (1 bar) at a [Zr]:[Al]:[B]:[1-alkene] ratio of 1:100:1.5:100,000 at 100 °C catalyzed the formation of light 1-decene oligomers with an alkene conversion rate of 86–99% [65]. A gradual decrease in the reaction temperature as 1-decene was shown to reduce the content of dimers (down to 10%) and increase the proportion of oligomers (up to 84%) in the reaction products.
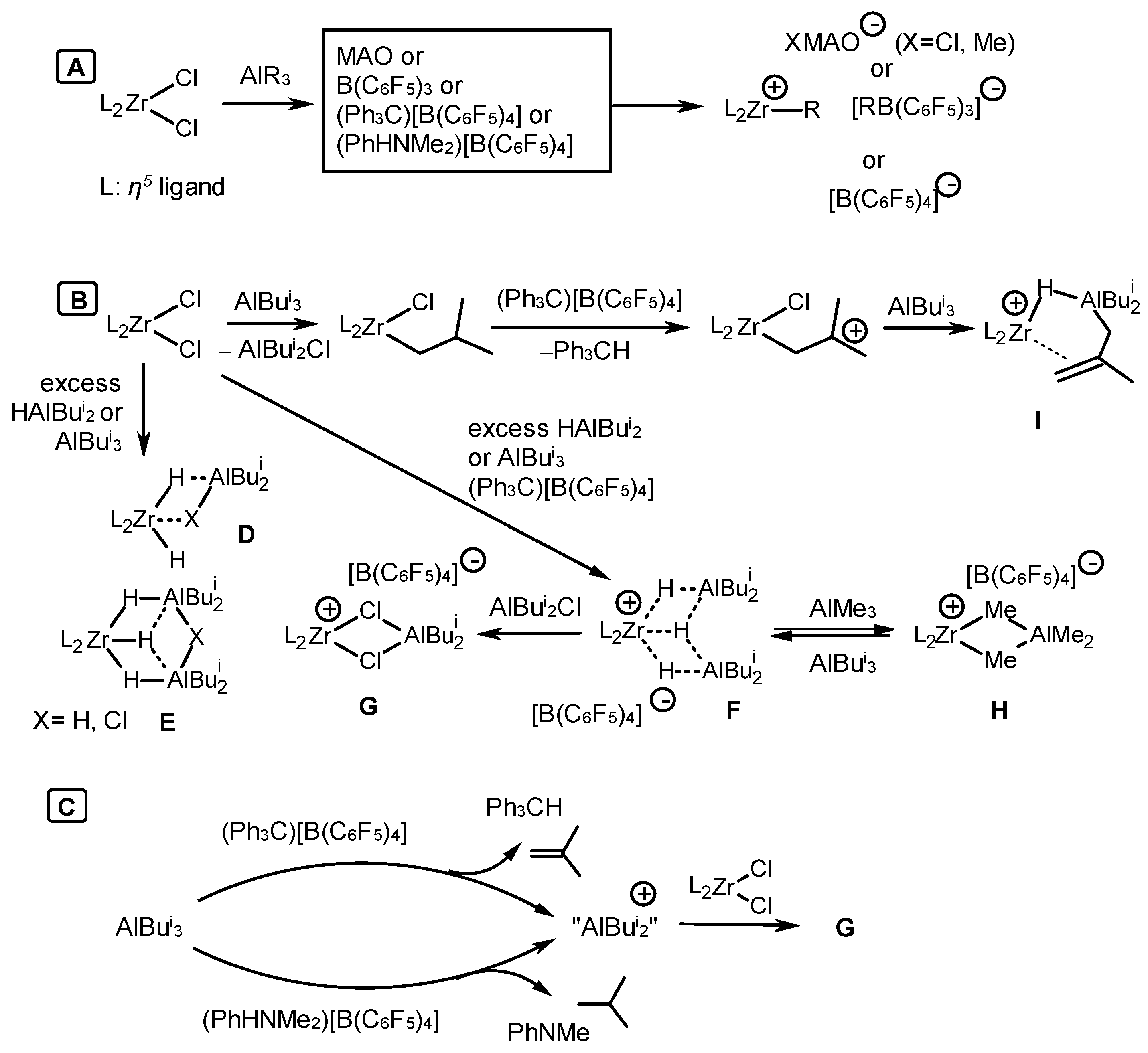
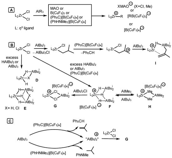
The authors of [64] presented a mechanism for the activation of zirconocene complexes by isobutylalanes, arylboranes, and MAO, as depicted in Scheme 23. They noticed that the classical mechanism implies the participation of active catalytic species, such as alkyl zirconocene cations (L2Zr-R+ (L2 = η5-ligands)) stabilized by [B(C6F5)4]–, [B(C6F5)3R]–, or XMAO– counterions (X = Cl and Me) (Scheme 23A). The reaction between L2ZrCl2 and AlBui3 produces zirconocene alkyl chloride, L2Zr(Cl)Bui. An excess of AlBui3 or HAlBui2 provides various neutral hydride Zr,Al complexes D and E (Scheme 23B). A cationic hydride bimetallic complex F is generated in the presence of perfluoroarylboranes (Scheme 23B). Under the action of excess ClAlBui2, cation F transforms into dichloride Zr,Al-complex G, which can also be formed by the reaction between L2ZrCl2 and R2Al+. Complex G was isolated and characterized by NMR and an X-ray diffraction analysis [64]. Cationic hydride complex F belongs to the category of dormant states as well as species [L2Zr-(μ-Me)2-AlMe2]+ (H). Alkenyl hydride Zr-(μ-H)-Al complex I formed in the presence of excess AlBui3 is considered to be potentially active towards α-olefins (Scheme 23B) [64]. However, a complex similar to I was shown to be inactive in alkene polymerization [66,67]. Moreover, the reaction mechanism involving metallocenes and AlBui3 should take into account the participation of a cationic species, “AlBui2+”, formed as a result of the reaction of OAC with a boron activator.
Scheme 23.
Catalytic species observed in the systems L2ZrCl2-AlBui3(HAlBui2)-activator [64].
Further, when considering the possible stages of alkene oligomerization (which are coordination, chain growth, and termination, involving the β-H transfer and β-H elimination stages), the authors noted [65] that in the case of heterocenes, the processes of β-H elimination apparently prevail at the final stage of the reaction, when most of the monomer is consumed, leading to the accumulation of C20 dimers in the products (Scheme 24). The β-H elimination can be facilitated by the coordination of R’2AlCl at the Zr center. The competing processes of chain propagation and termination are influenced by both steric and electronic factors of the η5-ligand. It is noted that electron-donating alkyl substituents in the ligand of the complex lead to a decrease in the electrophilicity of the Zr atom and, consequently, to a decrease in catalytic activity, for example, in the case of 49f vs. 50a and 50b. Nevertheless, the lower electrophilicity of Zr (49f) or steric hindrances (for example, in the case of 51 or 52) of the ligand does not promote β-H transfer, which provides higher yields of C30+ or C50+ oligomers [65].
Scheme 24.
Various reaction directions in the course of alkene oligomerization [65].
The alkene oligomers were obtained in the reaction catalyzed by ansa-Ph2Si(Cp)(9-Flu)ZrCl2 (53) in the presence of MAO at an Al/Zr of 200 and a temperature of 60 °C (Scheme 25) [68]. This system showed the activity to be 131–155 kg molZr−1 h−1 (PDI = 2.06–2.25). The oligomers constituted a mixture of regioisomeric products with a terminal vinylidene (21) and internal double bonds (54) according to the 1H and 13C NMR spectra. Oligomers with vinylene R′CH=CHR″ and vinylidene CH2=CHR′R″ groups were the major products. Oligomers containing internal disubstituted vinylene groups were formed through 2,1-insertion and β-H elimination or 2,1-insertion and rearrangement, followed by β-H elimination. An NMR analysis of the intensities of the double bond signals and saturated end groups showed the preferential chain transfer to the cocatalyst.
Scheme 25.
Alkene oligomers obtained in the reaction catalyzed by ansa-Ph2Si(Cp)(9-Flu)ZrCl2 (53) [68].
Zirconocenes (3, 25, 56–59) and methylaluminoxane catalyzed terminal alkene transformation into dimers 2c, 2d, and 2u with yields of up to 89% at a [Zr]:[MAO]:[1-alkene] reactant ratio of 1:(50–300):(289–2600) and a temperature of 70–100 °C for 3–4 h (Scheme 26) [69]. Catalysts 25 and 59 exhibited the highest activity in the oligomerization reaction. Complex 59 demonstrated superior selectivity towards dimer formation. Dimers 2c, 2d, and 2u were converted into tetramers (55c, 55d, and 55u) under the action of a TiCl4-Et2AlCl system.
Scheme 26.
Alkene transformations into dimers and tetramers [69].
The authors proposed a mechanism for metallocene-catalyzed dimerization based on a structural analysis of alkene dimers (Scheme 27) [69]. The formation of unsaturated (structures A–C) and saturated products (structure D) occurred due to the β-H elimination at cationic metal alkyl centers and chain transfer to a non-transition metal atom (Al), respectively [69]. The vinylidene group (-C=CH2) (structure C) was generated via a 1,2-coordination of an alkene with a [Cp2ZrH]+ cation and the subsequent β-H elimination of the product. Alkene 1,2-coordination, cation rearrangement, and β-H elimination produce structures A and B with trisubstituted vinyl groups (-C=C(CH3)-).
Scheme 27.
Mechanism of metallocene-catalyzed dimerization [69].
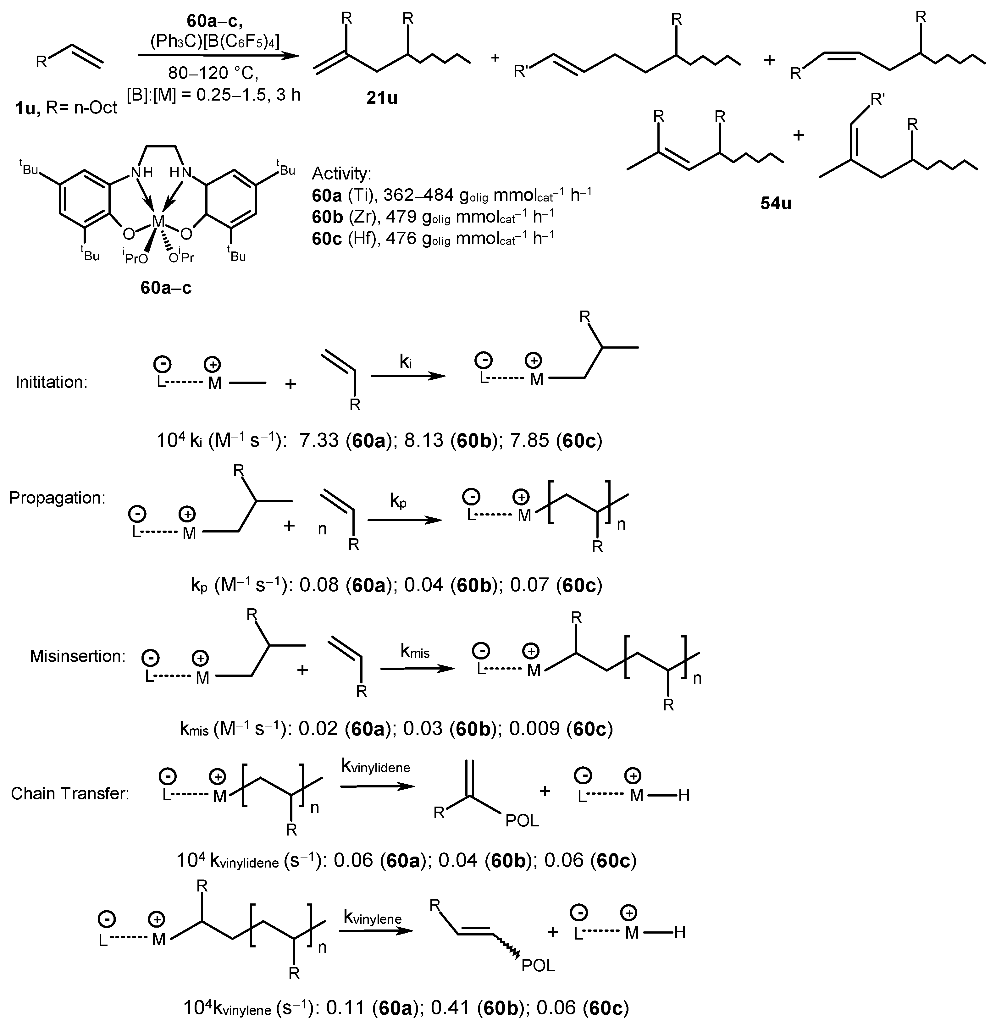
1-Decene was transformed into oligomers under the action of post-metallocene complexes [M{2,2′-(OC6H2-4,6-tBu2)2NHC2H4NH}(OiPr)2] (60a–c) (M = Ti (a), Zr (b), and Hf (c)) and the (Ph3C)[B(C6F5)4] activator at a [B]:[M] ratio of 1:(0.25–1.5) at 80–120 °C [70] (Scheme 28). The activity of the catalytic system was quantified as 362–484 goligomer mmolcat−1 h−1. The resulting oligomers were characterized by the tacticity values (mm + rr) of 88.5% (Ti), 87.3% (Zr), and 86.8% (Hf); the molecular weight (MN = 445–608 g mol−1); and the PDI value (1.13–1.30). The resulting oligomers differed in structure and contained vinylidene fragments (CH2=CRR′ (21u, δH 4.7–4.8 ppm)), vinyl fragments (CH2=CHR (54u, δH 4.9 and 5.6 ppm)), trisubstituted vinylene groups (RCH=CR′R″ (54u, δH 5.2 ppm)), and disubstituted vinylene groups (RCH=CHR′ (54u; δH 5.3–5.5 ppm)).
Scheme 28.
1-Decene oligomerization, catalyzed by complexes 60a–c, and kinetic parameters of the reaction [70].
The monomer consumption, the number of active sites, and the number of unsaturated end groups during the oligomerization reaction were evaluated for each catalytic system in the course of the study of the kinetics of 1-decene oligomerization reaction catalyzed by 60a–c (Scheme 28) [70]. An initiation rate constant (ki) in the presence of complex 60b appeared to be higher than those of 60a and 60c (Scheme 28). The ki value was inversely related to the molecular weight of an oligomeric product. A catalyst with a high ki, when the number of active centers is high, leads to low-molecular-weight oligomers. The Ti-based catalytic system exhibited a higher chain propagation rate compared to those of the Zr- and Hf-based systems. Moreover, the reaction initiation stage was found to be slower in comparison to the chain propagation. A decrease in the chain growth constants kp in the Ti > Hf > Zr series was probably due to the electronic nature of metal centers. The rate of formation of a vinylidene product did not depend on the concentration of 1-decene, whereas the rate of formation of a product with an internal double bond was of the first order relative to the monomer concentration. The kvinylidene and kvinylene values were calculated from the initiation rate constants, ki, where kvinylene > kvinylidene by a factor of 2–10. The degree of catalyst involvement in the reaction was 40–60%. The misinsertion stage was slower than the propagation stage for all studied catalysts. The chain termination process runs via the chain β-H transfer to a monomer and the β-H elimination reaction (Scheme 28) [70].
A study of the activity and chemoselectivity of η5-metal complexes 3, 22–24, 29, 30, 37, 45, 58, and 61–64 in the presence of various OACs (HAlBui2, ClAlMe2, ClAlEt2, ClAlBui2, AlMe3, AlEt3, and AlBui3) and activators (MMAO-12, (Ph3C)[B(C6F5)4], and B(C6F5)3) in alkene dimerization and oligomerization showed that either HAlBui2 or AlBui3 at certain ratios ensure the selectivity of the reaction towards dimerization in comparison with AlMe3 or AlEt3 (Scheme 29) [71]. Moreover, Cp2ZrCl2-(AlBui3 or HAlBui2) or [Cp2ZrH2]2-ClAlR2 (R = Me, Et, Bui) systems produced predominantly head-to-tail dimers (2c,d,h,k,u,z) in the presence of MMAO-12 or B(C6F5)3 activators at the [Zr]:[Al]:[MMAO-12]:[1-alkene] ratio of 1:3:30:(50–1000) or the [Zr]:[Al]:[B]:[alkene] ratio of 4:16:1:1000, correspondingly, at 20–60 °C for 5–180 min in toluene with a yield of up to 98% (2c, 98%; 2d, 91%; 2u, 87%; 2z, 95%; 2h, 61%; 2k, 58%) (Scheme 29) [71,72].

Scheme 29.
Alkene transformations upon the action of metallocene–OAC–activator catalytic systems [71,72,73,74].
The use of chlorinated solvents (CH2Cl2 and CHCl3) in the Cp2ZrY2-YAlBui2 (Y = H, Cl) systems’ activator (MMAO-12, (Ph3C)[B(C6F5)4]) accelerated the reaction and increased the yield of dimeric products [73]. Under these conditions, the dimers obtained in the first minutes were substrates for the subsequent dimerization and formation of tetramer 55 with yields of up to 79%. Adding an ionic-type cocatalyst, (Ph3C)[B(C6F5)4], to either the Cp2ZrCl2-HAlBui2 or [Cp2ZrH2]2-ClAlBui2 catalytic systems typically resulted in the formation of oligomeric products [72]. Replacing the transition metal atom from Zr to Ti or Hf under the same conditions led to a decrease in activity and selectivity towards dimers [73].
A study on the influence of the ligand structure on the activity and chemoselectivity of the system L2ZrCl2-HAlBui2-MMAO-12 revealed that dimerization occurs with the participation of Zr complexes with sterically unhindered ligands (L = Cp, ansa-Me2CCp2, ansa-(Me2C)2Cp2, and ansa-Me2SiCp2) [74]. Zirconocenes with bulky cyclopentadienyl (L = C5Me5 and rac-H4C2[THInd]2) or electron-withdrawing indenyl (L = Ind, Me2CInd2, H4C2[Ind]2 and BIPh(Ind)2) substituents in the presence of HAlBui2 and MMAO-12 or (Ph3C)[B(C6F5)4] activators predominantly yielded 1-hexene oligomers, which is consistent with the data in Ref. [60]. The assessment of the stereoselectivity of the reaction using 13C NMR spectroscopy showed a dependence of this parameter on the π-ligand environment of the metal and the type of activator [74]. Catalysts with indenyl ligands 45, 62, and 24 were found to be the most stereoselective, demonstrating isotacticity levels of 67%, 93%, and 71%, respectively. An oligomer with an isotacticity level of 67% was obtained under the action of complex 45 in the presence of MMAO-12, whereas (Ph3C)[B(C6F5)4] led to an atactic product. The opposite situation was observed for complex 62 with ansa-bridged ligands: the highest stereoselectivity was achieved in the presence of (Ph3C)[B(C6F5)4].
These facts indicate that a cocatalyst has a significant influence on the stereoregulation process during the alkene coordination through catalytically active centers. As a result, the data on the structure and reactivity of possible intermediates [71,72,74,75], the high selectivity of a reaction towards the dimerization, and completely different rates of oligomerization and dimerization processes allow us to propose a mechanism (Scheme 30). The mechanism implies the involvement of bis-zirconium hydride structures as precursors of dimerization reaction active sites. At the first stage of the reaction, the hydrometalation of alkenes proceeds with the participation of one of the zirconium centers. The introduction of the second alkene molecule, the carbometalation stage, and the β-H elimination stage can also proceed in concert with the involvement of two zirconium atoms. Finally, the dimerization product (2) and the starting bis-zirconium complex are formed. Examples of such bimetallic catalysis are known for the polymerization of alkenes in the presence of subgroup 4 metal complexes [76], as well as ethylene tetramerization reactions on chromium catalysts [77,78,79].
Scheme 30.
Probable mechanism of alkene dimerization [72].
Thus, the literature provides extensive information on the dimerization and oligomerization of alkenes under the action of homogeneous catalytic systems based on metallocenes and post-metallocenes. Typically, these works emphasize the key roles of metal hydride intermediates as active species. Therefore, the study of the structure and reactivity of hydride complexes of transition metals is a relevant task to develop models of reaction mechanisms.
3. Structure of Catalytically Active Centers
3.1. Reactions of Organoaluminum Compounds with Activators and Metal Complexes
Many researchers noted that the formation of catalytically active centers for the oligo- and polymerization of alkenes is preceded by the interaction of the activator with organoaluminum compounds. For example, in the reaction of AlR3 (R = Me, Et, and Bui) with a B-containing activator upon heating and different Al/B ratios, the formation of a mixture of AlR3–x(C6F5)x derivatives was found (Scheme 31 and Scheme 32) [80]. The NMR monitoring of the reaction of AlMe3 with (Ph3C)[B(C6F5)4] in d8-toluene at a temperature of 60 °C for 4.5 h showed that MeCPh3 (δH 0.74 ppm) and BMe3 (δB 86.8 ppm) were formed. It is assumed that the interaction between AlMe3 and (Ph3C)[B(C6F5)4] first gives the intermediate [AlMe2]+[B(C6F5)4]–, which immediately decomposes to AlMe2(C6F5) and B(C6F5)3 (Scheme 31). The transformation of [B(C6F5)4]- is started due to the generation of the highly electrophilic “[AlR2]+” cation. Over time, the replacement of the Me group in the OAC molecule by C6F5 occurs to provide the final products, Al(C6F5)3 and BMe3. Moreover, neutral B(C6F5)3 also participates in ligand exchange with AlMe3. The organoaluminum products of intermolecular exchange differed in the values of the 19F NMR chemical shifts δF presented in Scheme 31. The further interaction of Al(C6F5)3 with Cp2ZrMe2 at −60 °C in CD2Cl2 provided [Cp2ZrMe(µ-Me)Al(C6F5)3] (65). In the 1H NMR spectrum of compound 65, singlet signals of protons were observed: a Cp ring at δH 6.44 ppm and Zr-Me and Zr-Me-Al groups at δH 0.51 and −0.26 ppm, respectively. The reaction of Cp2ZrMe2 with AlMe2(C6F5) or Al(C6F5)3 (at a Zr:Al ratio of 1:1) in d8-toluene at room temperature provided a yellow complex, [Cp2ZrMe(C6F5)] (66), and the 1H NMR spectrum exhibited characteristic signals of both Cp and Me groups at δH 5.66 and 0.31 ppm, correspondingly [80].
Scheme 31.
Reaction of AlMe3 with (Ph3C)[B(C6F5)4] and Cp2ZrMe2 [80].
Scheme 32.
Reaction of AlBui3 with (Ph3C)[B(C6F5)4] [80].
The reaction of AlBui3 with (Ph3C)[B(C6F5)4] was accompanied by the elimination of isobutene, Ph3CH, and the generation of anunstable ionic pair, [AlBui2]+[B(C6F5)4]–, which also decomposed to AlBui3–x(C6F5)x and BBuix(C6F5)3–x (Scheme 32) [80].
A similar reaction of AlBui3 with an activator, (PhNHMe2)[B(C6F5)4], produced AlBui3–x(C6F5)x, isobutane, and PhNMe2, which was assumed to proceed through the formation of an ionic pair, [AlBui2]+[B(C6F5)4]–, according to Scheme 33 [67]. Then, the ionic pair, [AlBui2]+[B(C6F5)4]–, transformed into AlBui3−x(C6F5)x and BBuix(C6F5)3−x. The reaction of AlBui3 with an activator, apparently, yields the “[AlBui2]+” species, which further reacts with excess AlBui3, producing HAlBui2 and [Bui2AlCH2CMe2]+. The latter, upon losing isobutylene, regenerates the “[AlBui2]+” cation.
Scheme 33.
Reaction of AlBui3 with an activator, (PhNHMe2)[B(C6F5)4] [67].
Accumulating in the system, the [AlBui2]+ cation removes a chlorine atom or a β-H from the Ph2C(CpFlu)ZrClBui complex to provide [Ph2C(CpFlu)ZrBui]+ (Scheme 34). Subsequently, upon reacting with an excess of AlBui3, it yields a binuclear complex, [Ph2C(CpFlu)ZrBui·AlBui3]+ (67), which further provides metallocycle [Ph2C(CpFlu)Zr(µ-H)(µ-C4H7)AlBui2]+ (68) as a result of isobutane elimination [67].
Scheme 34.
Proposed mechanism of complex 68 formation [67].
In the course of NMR monitoring of the reaction of B(C6F5)3 with AlEt3 in CD2Cl2, Al(C6F5)3–nEtn monomers and Al2(C6F5)6–nEtn dimers were observed [81]. Depending on the ratio of B(C6F5)3 and OAC, the Al(C6F5)3 → Al(C6F5)2Et ↔ Al2(C6F5)4Et2 → Al2(C6F5)3Et3 → Al2(C6F5)2Et4 → Al2(C6F5)Et5 compounds formed, which were clearly distinguished in the 19F NMR spectra by the signal of the p-F substituent in the benzene ring. For example, at a [B(C6F5)3]:[AlEt3] ratio of 1:9, the Al2(C6F5)2Et4 (Al4*) and Al2(C6F5)Et5 (Al5*) dimers, together with a monomer, Al(C6F5)2Et, were identified (Scheme 35).
Scheme 35.
Reaction of B(C6F5)3 with AlEt3 [81].
Higher organoaluminum compounds AlR3 (R = i-Bu and n-C6H13) were also capable of participating in an exchange reaction with B(C6F5)3 [81]. The starting arylborane and its anion, [B(C6F5)3R]–, were in equilibrium at an equimolar ratio (Scheme 36). A large excess of AlR3 shifts the equilibrium towards the exchange products—BR3 and Al(C6F5)R2 (R = Bui and n-C6H13). The signals of B(C6F5)3 (B), B(C6F5)2(Bui) (B*), and [B(C6F5)3(Bui)]– (B*–) were detected in the 19F NMR spectrum of the reaction mixture of AlBui3 with B(C6F5)3. There was almost no alkyl exchange with B(C6F5)3 in the case of higher trialkylalane Al(n-C8H17)3 [81].
Scheme 36.
Reaction of B(C6F5)3 with AlR3 (a) R = i-Bu, (b) R = n-C6H13, (c) R = n-C8H17) [81].
The MAO cocatalyst also exchanges with OACs similar to B-containing activators. An NMR study, for example, showed that Bui2Al(µ-Me)2AlBui2 dimers and (AlMe(1+2x−y)BuiyO(1−x))n clusters, whose methyl and methylene protons gave the signals at δH 1.12 and 0.34 ppm, respectively, formed in a system, (SBI)ZrCl2-MAO-AlBui3 [82]. These clusters (types I and II) contain aluminum centers with higher Lewis acidity levels compared to the corresponding clusters in the original MAO, judging by the EPR signals observed in these solutions upon the addition of TEMPO (2,2,6,6-tetramethylpiperidin-1-yl)oxyl). The clusters were characterized by hyperfine structure constants, aAl = 1.0 ± 0.1 (I) and 1.9 ± 0.1 (II) G. When AlBui3 was added to MAO, the constant of type II Al centers increased (aAl = 4.0–4.5 G). As a result, ion pairs of the [(SBI)ZrMe]+[Me-(MAO-TIBA)]– type were detected in the catalytic system ((SBI)ZrCl2-MAO-AlBui3).
Further, it was shown that the addition of AlBui3 to the solutions containing methylaluminoxane (MAO) and (SBI)ZrCl2 provides Al2(µ-Me)2Me(4−x)Buix dimers (Scheme 37) [83]. The broadened signals in the 1H NMR spectra at δH 0.35, 1.10, and 2.00 ppm were assigned to Bui groups bound to MAO clusters. It was assumed that Bui-MAO led to the transformation of a [(SBI)Zr(μ-Me)2AlMe2]+ cationic adduct into [(SBI)Zr(μ-Me)2AlMeBui]+ and [(SBI)Zr(μ-Me)2AlBu2i]+. These compounds were unstable and subsequently transformed into zirconocene hydrides with isobutene elimination. MAO and AlBui3, therefore, are exchanged actively by alkyl groups to form dialuminum derivatives and mixed aluminoxanes (Scheme 37).
Scheme 37.
Reaction of MAO with aluminum alkyls [83].
An NMR study of a reaction mixture (SBI)ZrCl2-MAO-HAlBui2 showed that MAO exchange with HAlBui2 provided H-substituted aluminoxane (Equation (1)) [84]. In the 1H NMR spectrum of the mixture, a signal of an H atom at δH 3.75 ppm was observed at relatively high ratios of [HAlBui2]:[Zr] > 20, alongside the signals of the Ind ligands at δH 5.54 and 6.51 ppm. The signal was attributed to alkylaluminum dimers with a hydride bridge, R2Al(µ-R)(µ-H)AlR2 (R = Me or Bui). The signals of Bui groups of Al2(µ-Me)2Me4–xBuix mixed dimers were observed at δH 1.86 ppm at low [HAlBui2]:[Zr] ratios (<20). Two broadened signals at δH 3.60 and 4.10 ppm were assigned to hydride derivatives of MAO (H-MAO):
HAlBui2 + Me-MAO → ½ Al2(µ-Me)2Bui4 + H-MAO
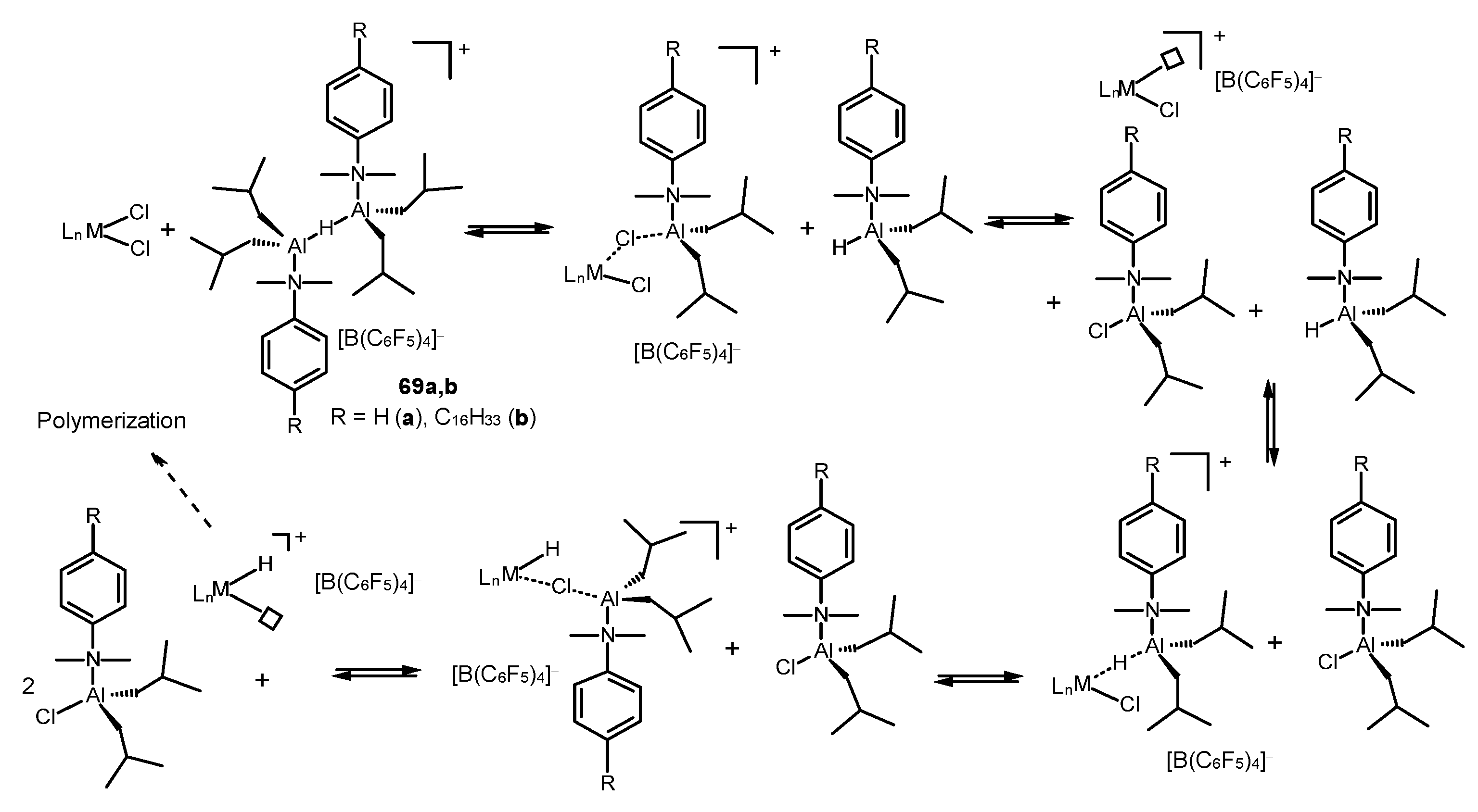
The activation of transition metal complexes in the LnMCl2-AlBui3-[PhNMe2H][B(C6F5)4] or (Ph3C)[B(C6F5)4] systems occurs through the “AlBui2+” cation, which is generated by the rapid reaction between borate salts and AlBui3 (Scheme 38) [85]. An excess of AlBui3 in the system alkylates the [LnM-Cl]+ cation and provides [LnMBui]+[B(C6F5)4]– species. Moreover, the reaction of AlBui3 with NMe2Ph in the presence of (Ph3C)[B(C6F5)4] produces an ionic compound, {[Bui2(PhNMe2)Al]2(µ-H)}+[B(C6F5)4]– (69a), which can act as an activator of the catalytic olefin polymerization reaction [85]. The 1H NMR spectrum of OAC 69a exhibits singlet signals of hydride bridging atoms of the Al-H-Al bond at δH 2.86 ppm. The reaction mechanism involves the removal of the Cl atom from the initial metallocene by the [AlBui2(NMe2Ph)]+ cation and the subsequent Cl-H exchange between [LnM-Cl]+ and the resulting HAl(NMe2Ph)Bui2 to provide catalytically active hydride centers, such as [LnM-H]+ (Scheme 38). As a result, a new activator, {[Bui2(PhNMe2)Al]2(µ-H)}+[B(C6F5)4]− (69a), has been proposed, which ensures the high catalytic activity of the entire system in olefin polymerization reactions [85].
Scheme 38.
The activation of transition metal complexes in the LnMCl2-AlBui3-[ArNMe2H][B(C6F5)4] or (Ph3C)[B(C6F5)4] systems [85].
As a continuation of this research, a new cocatalyst {[(RPhNMe2)AlBui2]2(µ-H)}+[B(C6F5)4]− 69b (R = C16H33) was synthesized based on prototype 69a (Scheme 38). In contrast to its counterpart (69a), cocatalyst 69b is highly soluble in aliphatic hydrocarbons [86]. The broadened singlet signal of protons of the Al-H-Al bridge was observed at δH 2.91 ppm in the 1H NMR spectrum of structure 69b. The addition of activator 69b to the rac-Me2Si(2,6-(CH3)2-4-Ph-1-Ind)2ZrCl2 catalyst in the presence of AlBui3 enabled the copolymerization of ethylene and 1-hexene at PC2H4 = 12 bar and 100 °C with a productivity of (0.42–0.61)·106 kg molcat−1 h−1.
Thus, organoboron or aluminum activators undergo exchange reactions with aluminum alkyls or aluminum hydrides, leading to the formation of reactive species involved in the generation of catalytically active centers that initiate alkene oligo- and polymerization.
3.2. Structure and Reactivity of Zr,Al–Hydride and Zr,B–Hydride Complexes
The complexes of M,Al or M,B with hydride obtained in the reactions of metallocenes with organoboron or aluminum compounds attracted great attention due to their ability to function as highly active reagents or catalytically active centers of various reactions. Numerous research teams, therefore, synthesized and structurally identified the metallocene hydrides using spectral (NMR and IR) and X-ray diffraction methods.
For the first time, the synthesis of Zr,B–hydride (70,71) and Zr,Al–hydride complexes (72,73) was carried out by the reaction of Cp2ZrCl2 with LiBH4 [87,88] or LiAlH4 [89], respectively, at room temperature (Scheme 39). The 1H NMR spectrum of complexes 74 and 75 exhibited a signal of Cp rings at δH 5.70 ppm and a quartet signal of four protons of the tetrahydroborate group at δH −0.20 ppm [88]. The IR spectra of complexes 76 and 77 contained absorption bands at 1425 cm−1 (Zr-H-Zr bond) and two bands at 1790 and 1700 cm−1 (AlH4 bond).
Scheme 39.
Synthesis of Zr,B– (70,71) and Zr,Al–hydride complexes (72,73).
The reaction of [Cp2ZrH2]2 (61) with AlR3 provided complexes 74a–c (Scheme 40) [90,91,92], whose 1H NMR spectra exhibited triplet signals of bridging hydride atoms at δH −1.23–−0.92 ppm (Zr-H-Al bond), and −2.92–−2.74 ppm (Zr-H-Zr bond). Complexes 75b and 75c were obtained by the reaction of 61 with dialkylchloroalanes (Scheme 40) [93]. Complexes 75b and 75c were characterized by a broadened triplet at δH −2.68–−2.57 ppm (Zr-H-Zr) and a broadened singlet at δH −1.73–−1.52 ppm (Zr-H-Al).
Scheme 40.
Reaction of [Cp2ZrH2]2 (61) with AlR3 or ClAlR2.
Trihydride Zr,Al complexes 76 and 77 were observed in the reaction of Cp2ZrCl2 (3) with 3 eq. of HAlBui2 (Scheme 41) [94]. The 1H NMR spectrum of complex 77 exhibited signals corresponding to Zr-H-Al bridging hydride atoms at δH −0.28 and −2.03 ppm. Complex 76 displayed doublet and triplet signals for protons at δH −2.03 ppm (Zr-H-Al) and −0.90 ppm (Zr-H), respectively. Structure 78, similar to complex 76, was formed upon the interaction of Cp2ZrMe2 and AlBui3 [95]. The 1H NMR spectra of the complex also featured broad singlet signals for bridging hydride atoms at δH −2.23 and −1.75 ppm, and a triplet signal for the Zr-H bond at δH −1.22 ppm.
Scheme 41.
Hydride Zr,Al−complexes observed in the Cp2ZrCl2-HAlBui2 and Cp2ZrMe2-AlBui3 systems [94,95].
Hydride complexes [Cp2Zr(H)(µ-H)2AlH2(L)] (L = C7H13N, NMe3) 79a and 79b were obtained in a 50% yield in the Cp2ZrCl2-LiAlH4 system in THF at 0 °C after the addition of H3GaL (Scheme 42) [96]. Complexes 79a and 79b can be also synthesized by the reaction of Cp2ZrH2 with [H3AlNR3]. The IR spectrum of complex 79a showed absorption bands at 1736 and 1544 cm−1 (Zr-H), and for complex 79b, bands were observed at 1768 and 1556 cm−1.
Scheme 42.
Synthesis of hydride complexes [Cp2Zr(H)(µ-H)2AlH2(L)] (L = C7H13N; NMe3) 79a and 79b.
The reaction of (Me3SiCp)2ZrCl2 (80) with 2 eq. of LiAlH4 in ether at room temperature yielded hydride complexes 81a and 81b (Scheme 43) [97]. The broadened signals of bridging hydrides of a Zr-H-Al bond at δH 2.06 ppm and broadened signals of terminal hydrides at δH −2.57 and −2.05 ppm were detected in the 1H NMR spectrum of compound 81a. According to X-ray diffraction data, compound 81 crystallizes from the solution as two structures, 81a and 81b. Similar structures were also obtained for Ti (III) [98,99,100].
Scheme 43.
Synthesis and structure of hydride complexes 81a and 81b.
The reaction of Cp2ZrMe2 (4) with (Mes*AlH)2 (Mes* = C6H2-2,4,6-But3) led to the Cp2Zr(H)(μ2-H)2Al(Me)Mes* complex (82), whereas the Cp2(H)Zr(μ2-H)2Al(H)Mes* complex (83) was formed as a result of an interaction between Cp2Zr(Cl)H and [Mes*AlH3Li(THF)2]2 (Scheme 44) [101]. The structures of 82 and 83 were elucidated using an XRD analysis, NMR, and IR spectroscopy (Scheme 44). The 1H NMR spectrum of complex 82 showed a doublet and singlet at δH −1.83 and −2.63 ppm (Zr-H-Al), a singlet at δH 0.02 (Al-Me), as well as a doublet of doublets at δH 2.52 ppm (Zr-Ht, 2JHH = 9.0 and 5.7 Hz). Complex 83 was characterized by the broadened singlets of bridging hydrogen atoms at δH −1.99 and −2.81 ppm and a doublet of doublets at δH 2.57 ppm (2JHH = 6.6 Hz, Zr-Ht).
Scheme 44.
Synthesis of complexes Cp2Zr(H)(μ2-H)2Al(Me)Mes* (82) and Cp2(H)Zr(μ2-H)2Al(H)Mes* (83).
A trinuclear heterometallic complex, Cp2Zr(X′)(µ-H)2Al(X)(µ-H)2TiCp2 (X, X′ = Cl, H, BH4) (84) (Scheme 45), was synthesized by the reaction of Cp2ZrCl2 and ½ (Cp2TiCl)2 with LiBH4 and LiAlH4 in toluene at 0 °C [102,103,104]. Complex 84, upon heating to 40 °C, transformed into 85, in which metal atoms were bound by hydride bridges, forming a six-membered ring, Zr2AlH3. Complex 85 proved to be unstable, and its decomposition at 40 °C over 2–3 h provided red needle-like crystals of compound 85. For complex 85, the 1H NMR spectrum in d8-THF at room temperature exhibited a broad singlet at δH −2.0 ppm (w1/2 ≈ 200 Hz, Al-H-Zr) and a narrow singlet at δH −7.96 ppm (Zr-H-Zr). The addition of a catalytic amount of CoBr2 increased the yield of complex 85 to 25% [103].
Scheme 45.
Synthesis of trinuclear heterometallic complex 85.
Complex [Cp2ZrH(µ-H)2]3Al (86), similar to structure 81a, was obtained by the reaction of Cp2ZrCl2 with LiBH4 and LiAlH4 in the presence of 5 mol% Cp2TiCl2 at 0 °C in THF (Scheme 46) [102]. The structure of complex 86 was determined using the X-ray diffraction method.
Scheme 46.
Synthesis of heterometallic complex: [Cp2ZrH(µ-H)2]3Al (86).
The reaction of Cp2ZrCl2 (3) with an excess of HAlBui2 (in a 1:3 ratio) in d6-benzene at 25 °C was accompanied by the formation of tetranuclear trihydride complex 87a. The complex is characterized by triplet signals at δH −0.89 ppm (Zr-H, J = 7.4 Hz) and doublet signals at δH −2.06 ppm (Zr-H-Al, J = 6.8 Hz) (Scheme 47) [105]. The replacement of zirconocene dichloride with dihydride [Cp2ZrH2]2 (61) in the reaction with HAlBui2 (at a ratio of [Zr]:[Al] = 1:1) at −75 °C provided initially intermediate 86a, which, after reacting with ClAlBui2, transformed into complex 87a (Scheme 47). The 1H NMR spectrum of compound 86a exhibited broadened signals of Zr-H hydride atoms at δH −2.11 and −3.05 ppm. In the case of an excess of the OAC (more than 3 equiv.), structure 88a was formed at −75 °C to 0 °C. For this compound, the 1H NMR spectra displayed signals: a doublet at δH −2.32 ppm (J = 16.5 Hz, Zr-H), a triplet at δH −1.46 ppm (J = 15.5 Hz, Zr-H), and a signal at δH −3.18 ppm (Al-H-Al) with an integral intensity ratio of 2:1:2. Upon raising the temperature to 25 °C, the proton signals of complex 88a broadened, indicating its propensity for exchange reactions.
Scheme 47.
Reactions of Cp2ZrCl2 (3) and [Cp2ZrH2]2 (61) with HAlBui2 [105].
The formation of the L2Zr(µ-H)3(AlBui2)3(µ-Cl)2 (87b–d) structures is characteristic for L2ZrCl2 complexes containing unbound cyclopentadienyl ligands (L = Bun-C5H4 (b), 1,2-Me2-C5H3 (c), or Me3Si-C5H4 (d)) (Scheme 48). The doublet signals of the hydride atoms of Zr-H bonds at δH −2.09–−1.13 ppm and triplet signals at δH −1.31–−0.20 ppm were detected in the 1H NMR spectra of compounds 87b–d. In this case, the signals of the protons of a Zr-H bond of compounds 87b–d were shifted downfield by 0.42–0.90 ppm compared to 87a due to a change in the electron density in the substituted cyclopentadienyl ligands [105].
Scheme 48.
Reactions of various L2ZrCl2 with HAlBui2 [105].
The reactions of the ansa-complexes, including (SBI)ZrCl2, (EBI)ZrCl2, (EBTHI)ZrCl2, Me2CCp2ZrCl2, Me2SiCp2ZrCl2, Me2Si(2,4-Me2-Cp)2ZrCl2, (Me2Si)2Cp2ZrCl2, and (Me2Si)2(3,5-Pri2-Cp)2ZrCl2, with 2–5 equiv. of HAlBui2 in toluene or benzene at room temperature provided hydride complexes 89e–l, whose 1H NMR spectra showed the broadened signals of hydride atoms of the [Zr-H]2 fragment at δH −1.75–−0.80 ppm (Scheme 48) [105].
The bulky tert-butyl groups in the ansa-complexes, rac-Me2Si(2-Me3Si-4-Me3C-Cp)2ZrCl2 and meso-Me2Si(3-Me3C-Cp)2ZrCl2, led to the formation of trihydride intermediates 90m and 90n. The signals of three nonequivalent protons were observed in the 1H NMR spectrum of compound 90m at δH −1.56, −0.60 (d, J = 8.2 Hz, Zr-H-Al), and 2.68 ppm (dd, J = 5.5 and 9.4 Hz, Zr-H). The signals at δH −2.17 (d, J = 5 Hz, Zr-H-Al), −0.21 (d, J = 10.2 Hz, Zr-H-Al), and 3.31 ppm (dd, J = 5.1 and 9.9 Hz, Zr-H) were detected in the 1H NMR spectrum of compound 90n (Scheme 48) [105].
The interaction of (SBI)ZrCl(µ-H)2AlBui2 (89e) with an excess of AlMe3 (at a [Zr]:[AlMe3] ratio of 1:128) provided complex (SBI)ZrCl(µ-H)2AlMe2 (91e) (Scheme 49) [105]. Upon the addition of AlMe3, the signal of a Zr-H bond proton in the 1H NMR spectrum shifted from δH 1.22 to 1.65 ppm but did not completely disappear. Therefore, it was concluded that the resulting compound (91e) is presumably an adduct containing AlMe3 coordinated to the terminal Cl atom in (SBI)ZrCl(µ-H)2AlMe2, rather than the desired product of exchanging the Me group for a chlorine atom.
Scheme 49.
Reaction of complex 89e with AlMe3 [105].
Further, it was established that in the reaction of L2ZrCl2 with HAlBui2 (at a Zr:Al ratio of 1:3), the L2Zr(μ-H)3(AlBui2)2(μ-Cl) (76a–c, 76f, 76h, and 76i) and Cp2Zr(μ-H)3(AlBui2)3(μ-Cl)(μ-H) (93a and 93b) complexes are predominantly formed (Scheme 50) [93,106]. Using EXSY spectroscopy, the exchange between the hydride atoms of complexes 76 and 93 and oligomers [HAlBui2]n was demonstrated. It was assumed that the exchange can proceed through the dissociation of Zr,Al–hydride complexes with the elimination of a HAlBui2 monomer.
Scheme 50.
Zr,Al–hydride intermediates generated in the reaction of L2ZrCl2 with HAlBui2 (the pink arrows show the hydride atom exchange observed by NMR) [93,106].
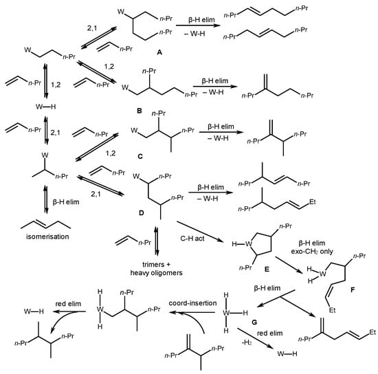
The dependence of the structure of the intermediates on the nature of the ligand in the initial zirconocene was also demonstrated (Scheme 50) [106]. Metallocenes with bulky η5-ligands provided structures 92c–f with a terminal Zr-H bond. 1H NMR spectra of complexes with sterically hindered ligands, for example, 92c, recorded at 220 K, exhibited signals of bridging hydrogen atoms at δH −1.27 ppm and δH −0.66 ppm (d, J = 9.6 Hz) (Zr-H-Al), and the signal of the terminal hydride atom at δH 4.38 ppm (dd, J = 9.6 Hz, 4.0 Hz). Moreover, the EXSY spectra showed cross-peaks between the [HAlBui2]n hydride signals and a downfield broadened signal at 6.85 ppm, which was attributed to the hydride atoms of the free (Cme5)2ZrHCl. A similar pattern in the NMR spectra was observed for sterically hindered complexes 92d–f: bridging hydride atoms of Zr-H-Al fragments resonated in the upfield region at δH −1.07–−0.33 ppm, while the signals of a terminal Zr-H bond were shifted to the downfield δH 2.05–3.51 ppm. The systems based on zirconocene dichlorides with sterically hindered ligands, which provided intermediates 92c, 92d, and 92f with an open Zr-H bond, appeared to be the most active in alkene hydroalumination reaction.
In the reaction of Cp2ZrCl2 with AlBui3 (1:5), alkyl chloride complex 94 was detected, which then transformed into complexes 95 and 76, undergoing intermolecular exchange via intermediate 90 (Scheme 51) [106]. The structure of complex 95 was identified based on the observation of three upfield doublets of magnetically non-equivalent hydride atoms of the bridging Zr-H-Al bonds in a 1:1:1 ratio, at δH −1.15, −1.83, and −2.48 ppm in the 1H NMR spectrum recorded at low temperature (230 K). It is noted that the probable reason for the high reactivity of the Cp2ZrCl2-AlBui3 catalytic system towards alkenes is the absence of fast exchange between hydride clusters, leading to an increase in the lifetime of intermediates with a free Zr-H bond and an absence of opportunity for the formation of larger clusters like complexes 87 and 93.
Scheme 51.
Zr,Al–hydride intermediates generated in the reaction of Cp2ZrCl2 with AlBui3 [106].
Indenyl hydride complexes 76f, 76h, and 76i obtained by the reaction of the corresponding zirconocenes with an excess of HAlBui2 also contained a [L2ZrH3] moiety (Scheme 50). The hydride atoms were in fast exchange with [HAlBui2]n oligomers; therefore, the signals of hydride atoms in the 1H NMR spectra were significantly broadened at room temperature. As the temperature decreased below 280 K, the exchange slowed down, and the multiplet signals of Zr-H-Al hydrides in the ranges of δH −1.55–−1.00 ppm and δH 0.62–1.06 ppm were detected in the 1H NMR spectra of compounds 76f, 76h, and 76i (Scheme 50) [106].
The studies on the catalytic activity of L2ZrCl2-XAlBui2 systems (L = Cp, CpMe, Ind, C5Me5; L2 = rac-Me2C(2-Me-4-But-Cp)2; meso-Me2C(2-Me-4-But-Cp)2; rac-Me2C(3-But-Cp)2; rac-Me2C(Ind)2; rac-Me2Si(Ind)2 (SBI); rac-C2H4(Ind)2 (EBI)); and X = H, Cl, and Bui) in the alkene hydroalumination showed that the maximum effect is achieved when complexes with more bulky cyclopentadienyl ligands are used in combination with HAlBui2. The catalysts with less bulky ligands are the most active in the reaction of alkenes with AlBui3 or ClAlBui2. Indenyl zirconium complexes provide a significant decrease in the yield of hydroalumination products, regardless of the structure of OACs. This dependence of the activity of a catalytic system on the nature of OAC and the structure of a ligand in zirconocene is due to the structural and dynamic features of bimetallic hydride intermediates formed in these systems [106].
Complexes 96a–c, together with the intermediates 75a–c and 76a–c (Scheme 52), were observed in the [Cp2ZrH2]2-ClAlR2 systems (R = Me (a), Et (b), and Bui (c)) [71,74,93]. The spectral pattern for complexes 96a–c differed significantly from those of 75a–c and 76a–c. The 1H NMR spectra of complexes 96a–c exhibited distinct triplet upfield signals at δH −6.64–−6.35 ppm (J = 17.0–17.6 Hz) assigned to a hydride atom of the Zr-H-Zr bond. This signal in the COSY HH spectrum correlated with a doublet at −1.39–−1.18 ppm (J = 17.0–17.6 Hz), with a ratio of integral intensities, 1(Zr-H-Zr):2(Zr-H-Al):20(Cp), which indicated the presence of the [(L2Zr)2H3] moiety in the molecule. Complex 96c, along with 75c and 76c, was also detected in minor amounts in the reaction of Cp2ZrCl2 with HAlBui2 at a low OAC content (Scheme 52).
Scheme 52.
Zr,Al–hydride intermediates observed in the [Cp2ZrH2]2-ClAlR2 and L2ZrCl2-HAlBui2 systems [71,74,75,93].
For the Cp2HfCl2 (22), (CpMe)2ZrCl2 (97), Me2CCp2ZrCl2 (58), (Me2C)2Cp2ZrCl2 (37), Ind2ZrCl2 (45), and Me2CInd2ZrCl2 (62) complexes, the reaction with HAlBui2 also resulted in the formation of structures 98–105c at a [Al]/[Zr] ratio of 3–8 [74,75]. Intermediates 106–108c were observed at low AOC contents in the system ([Al]/[Zr] = 2–3).
Recently, it has been demonstrated that the reaction of ansa-zirconocene (EBI)ZrCl2 with an excess of AlBui3 (in a 1:12 ratio) in d6-benzene at 25 °C for 10 min provided a mixture of complexes: (EBI)ZrBuiCl (109) (95%) and (EBI)Zr(µ-Cl)(µ-CH2CH2)AlBui2 (110) (5%) (Scheme 53) [107]. Complexes 109 and 110 transformed into hydride intermediates (EBI)Zr(μ-H)(μ-CH2CH2)AlBui2 (111) and (EBI)ZrH(μ-H)2AlBui2 (112) after 3 h of the reaction. In the 1H NMR spectrum of complex 111, the broadened singlet signal of a proton of a Zr-H-Al fragment at δH −2.62 ppm, multiplet signals of protons of the Zr(µ-CH2CH2)AlBui2 bridge at δH −2.12, −1.58, 0.14, and 1.17 ppm correlated with the signals in the 1H-13C HSQC spectra at δC 4.7 ppm (Al-CH2) and 53.4 ppm (Zr-CH2), were observed (Scheme 46). Complex 112 was characterized by the signals of hydrides at δH −1.77 (d, JHH = 6.3 Hz) and −1.44 ppm that correlated with a proton signal at δH −0.22 ppm in COSY HH spectra. The hydride complexes (EBI)ZrH(μ-H)2[μ-H(AlBui2)2] (113) and (EBI)ZrH(μ-H)2[μ-Cl(AlBui2)2] (114) were detected after 16 h of the experiment. Complexes 111–114 were the major products even after 40 h of reaction (Scheme 53).
Scheme 53.
Reaction of ansa-zirconocene (EBI)ZrCl2 with AlBui3 [107].
3.3. Influence of Al- and B-Containing Activators on Structure and Reactivity of Metallocene Hydrides
Aluminum- and boron-containing activators have significant effects on the structure and reactivity of intermediates formed in metallocene systems. For example, the hydride complexes [Cp′2ZrH]+[MeB(C6F5)3]− (115a,b) and [Cp′2ZrH]+[HB(C6F5)3]− (116a) were observed in the reaction of Cp′2Zr(CH3)2 or Cp’2ZrH2 (Cp′ = η5-Me5C5 (a) and η5-But2C5H3) (b)) with B(C6F5)3 at −78 °C in the presence of H2 (1 atm) (Scheme 54) [27,108]. In the 1H NMR spectra of complexes 115a and 116a, the hydride atoms of a Zr-H bond resonated at δH 7.70 and 8.18 ppm, respectively. The broadened singlet signals at δH 0.10 ppm (B-CH3, complex 115a) and δH 3.98 ppm (B-H, complex 116a) were also detected in the 1H NMR spectrum. Compounds 115a and 116a turned out to be active homogeneous catalysts for the polymerization of ethylene (3.2·106 gPE molZr−1 h−1 atm−1, MW = 4.34·105) and propylene (3.2·105 gPP molZr−1 h−1, MW = 3900).
Scheme 54.
Reactions of Cp′2Zr(CH3)2 and Cp′2ZrH2 with B(C6F5)3 at −78 °C in the presence of H2 [27,108].
Zr borohydride complexes 117 and 118 were synthesized by the reaction of alkyl zirconocenes with HB(C6F5)2 (Scheme 55) [109,110]. The formation of complex 117 in the reaction of Cp2ZrMe2 with HB(C6F5)2 was monitored by NMR spectroscopy through the evolution of CH4 (δH 0.16 ppm) and the appearance of a brick-red precipitate at the bottom of a tube (Scheme 55). In the 1H NMR spectra of complex 117 in hexane, signals of Cp-ring protons were observed at δH 5.23 ppm, signals of CH2 fragment hydrogen atoms were observed at δH 2.29 ppm, and broadened signals of Zr-H-B bridging hydrides were observed at δH −2.05 ppm in a ratio of 10:2:2. In the 13C NMR spectrum of compound 117, signals of Cp rings and the CH2 group were detected at δC 111.11 ppm and δC 0.5 ppm (1JC-H = 120 Hz), respectively. The fluorine atoms of a B(C6F5)2 group resonated at δF −132.4, −157.2, and −163.4 ppm in the 19F NMR spectra. The 11B NMR spectrum exhibited a signal at δB 0.00 ppm (1JH-B = 135 Hz), which is typical of a four-coordinated boron atom. The structure of complex 117 was also confirmed by X-ray diffraction. The replacement of an aliphatic solvent with toluene and an increase in the amount of HB(C6F5)2 to two equivalents led to the formation of complex 118. In the 1H NMR spectra, the signals of Cp rings and a Zr-H-B hydride atom were shifted to the upfield to δH 5.42 and 0.38 ppm, respectively, compared to structure 117. A triplet signal also appeared at δB −12.9 ppm (1JH-B = 64 Hz) in the 11B NMR spectra. The 19F NMR spectrum of compound 118 (δF −133.0, −156.8, and −163.4 ppm) remained almost unchanged compared to that of complex 117. It turned out that complex 118 was inactive in ethylene polymerization.
Scheme 55.
The reaction of Cp2ZrMe2 with HB(C6F5)2Zr to give borohydride complexes 117 and 118.
The Cp*(η5-η1-C5Me4CH2)ZrR 119a–c compounds (R = Cl, CH3, and C6H5) in reaction with highly electrophilic boranes, HB(C6F5)2 and B(C6F5)3, provided the following hydride cationic complexes: Cp*(η5-η1-C5Me4CH2B(C6F5)2(µ-H)ZrR (120a: R = Cl with 74% yield; 120b: R = C6H5, 62% yield) and Cp*[η5-C5Me4CH2B(C6F5)3]ZrH (123b, 77% yield) (Scheme 56) [111]. The 1H NMR spectrum of 120a showed the doublet and the doublet of doublet signals of a CH2 group at δH 3.11 and 2.88 ppm, respectively, as well as broadened signals of a Zr-H-B fragment at δH 0.5 ppm. For hydride complex 123b, obtained from Cp*(η5-η1-C5Me4CH2)ZrPh (119b) and B(C6F5)3 through a series of stages, as depicted in Scheme 56, the presence of hydrogen atom signals of CH2B moiety in the 1H NMR spectra at δH 2.66 and 3.13 ppm is characteristic. Upon increasing the temperature to 50 °C, the Cp*(η5-η1-C5Me4CH2)ZrPh compound (119b) in the NMR tube converted to product 122b, which then transformed into complex 123b after hydrogen bubbling. Compounds 120a, 121a, 122b, and 123b proved to be active catalysts in the ethylene polymerization reaction.
Scheme 56.
Reaction of Cp*(η5-η1-C5Me4CH2)ZrR compounds with highly electrophilic boranes HB(C6F5)2 and B(C6F5)3.
Binuclear hydride complexes [Cp′4Zr2H3][B(C6F4R)4] 124a and 124b (R = F (a) and SiPri3 (b)) were obtained by the reaction of [Cp′2ZrH2]2 with a solution of (Ph3C)[B(C6F4R)4] in d8-toluene (Scheme 57) [112]. Two signals of bridging hydrides H1 and H2 at δH −2.02 and −2.66 ppm and terminal H3 protons at δH 4.55 ppm were detected in the 1H NMR spectrum of complex 124a at −78 °C. All three signals coalesced at −30 °C due to a fast hydride exchange. The [Cp′2ZrH2]2-(Ph3C)[B(C6F4R)4] system turned out to be much more active in the homopolymerization of isobutene and the isobutene–isoprene copolymerization compared to the system based on Cp′2ZrMe2. Complex 124b, also obtained in the reaction of [Cp′2ZrH2]2 with (Ph3C)[B(C6F4SiPri3)4] in a [Zr]:[B] ratio of 1:1, transformed into pale yellow-green crystals of compound 125b over several days at 5 °C. The structure of the complex was confirmed by X-ray crystallography [112].
Scheme 57.
Zirconium hydride intermediates obtained in the reaction of [Cp′2ZrH2]2 with (Ph3C)[B(C6F4R)4].
Using NMR spectroscopy, it was demonstrated that in the reaction of Ph2C(CpFlu)ZrCl2 with AlBui3 in the presence of (PhNMe2H)[B(C6F5)4] with a [Zr]:[Al]:[B] reactant ratio of 1:(10–100):1 in d6-benzene at 60 °C, the isobutyl derivative, [Ph2C(CpFlu)ZrBui·AlBui3]+, transforms into the allyl hydrido complex, [Ph2C(CpFlu)Zr(μ-H)(μ-C4H7)AlBui2][B(C6F5)4] (68) (Scheme 34) [67]. The diastereotopic protons of a Zr–CH2 bond resonated at δH 2.87 and −1.66 ppm, and the hydrogen atoms of an Al-CH2 fragment resonated at δH 2.28 ppm and around 1 ppm in the 1H NMR spectrum. The signals correlated with resonance lines at δC 90.5 ppm (ZrCH2, 1JC-H = 157.5 Hz) and 47.7 ppm (AlCH2, 1JC-H = 129.4 Hz) in the 13C NMR spectrum; this indicates the non-symmetric bonding of the allyl moiety. The signal at δC 163.4 ppm was attributed to the quarternary methallyl C atom. The hydride atom of a Zr-H-Al bridge resonated at δH −2.78 ppm in the 1H NMR spectrum of compound 68. In the 19F spectrum of the compound, signals for the [B(C6F5)4]− anion were present as a broad singlet at δF −131.8 ppm (o-F), a triplet at δF −162.4 ppm (J = 20.4 Hz, p-F), and a multiplet at δF −166.2 ppm (m-F), which designated the lack of coordination of the anion with the cation.
The [(SBI)Zr(µ-Cl)2Zr(SBI)][B(C6F5)4]2 (126) and [(SBI)Zr(µ-H)(µ-C4H7)AlBui2][B(C6F5)4] (127) complexes were identified in the reaction of (SBI)ZrX2 (X = Cl and Me) with AlBui3 in the presence of (Ph3C)[B(C6F5)4] (Scheme 58) [66]. Initially, upon the interaction of (SBI)ZrCl2 and AlBui3 at [Zr]:[Al] = 1:(5–10) with the addition of 1 eq. of Ph3C[B(C6F5)4] over 5–15 min, ionic dimeric structure 126 occurred, which was characterized using X-ray crystallography (Scheme 58). Complex 127 was formed through several stages at a reagent ratio of (SBI)ZrCl2 and AlBui3 [Zr]:[Al] of 1: ≥20 at room temperature. In the 1H NMR spectrum of structure 127, singlet proton signals were observed at δH 3.03 (Zr-CHH) and −1.73 ppm (Zr-CHH), at δH 2.51 (Al-CHH) and 0.22 ppm (Al-CHH), as well as at δH −3.35 ppm (Zr-H-Al). The resonance lines of the C atoms of Zr-CH2 and Al–CH2 were located at δC 86.9 and 53.8 ppm, respectively. A chemical shift of the CH2 = CMe moiety equal to 166.6 ppm was characteristic of a methallylic structure. It is noted that in the presence of excess AlBui3, species 126 serves as precursor for propylene polymerization active sites, whereas species 127 is a thermodynamic sink of the catalytic system.
Scheme 58.
Reaction of (SBI)ZrX2 (X = Cl and Me) with AlBui3 in the presence of (Ph3C)[B(C6F5)4] [66].
Zr,B-hydride complexes 128 and 129 were obtained in the reaction of rac-ethylenebis(4,5,6,7-tetrahydro-1-indenyl) zirconium difluoride with HAlBui2 and B(C6F5)3 (Scheme 59) [113,114]. Compounds 128 and 129 were identified using X-ray crystallography and NMR spectroscopy. It has been demonstrated that a catalytic system based on metallocene fluorides and AlBui3 provides hydride-containing Zr complexes, exhibiting excellent activity in the polymerization of ethylene and propylene.
Scheme 59.
Reaction of rac-ethylenebis(4,5,6,7-tetrahydro-1-indenyl) zirconium difluoride with HAlBui2 and B(C6F5)3 [113,114].
The Me2C(Cp)IndMMe(µ-H)B(C6F5)3 (M = Zr and Hf) 130a, 130b, 131 hydride intermediates were observed in the reaction of Me2C(Cp)IndMMe2 dialkyl complexes with B(C6F5)3 (Scheme 60) [115]. Two isomeric structures, 130a and 130b, along with an oligomerization product, were detected in the case of a Zr–borohydride complex, Me2C(Cp)IndZrMe(µ-H)B(C6F5)3, obtained at a [Zr]:[B] reagent ratio of 1:1.2 at 25 °C in d8-toluene with the addition of 10 eq. of propylene. In the 1H NMR spectrum of major isomer 130a, signals corresponding to the protons of the Zr-Me bond were observed at δH −1.10 ppm (septet, 3JH-F = 2.2 Hz). The following 19F NMR signals were typical for isomer 130a: a broadened doublet at δF −131.0 (J = 18.3 Hz, o-F), a triplet at δF −155.0 (J = 21.4 Hz, p-F), and a multiplet at δF −162.0 ppm (m-F). The 1H NMR spectrum of minor isomer 130b exhibited the signals of protons of a Zr-Me bond at δH 0.27 ppm. The 19F NMR spectrum of compound 130b showed minor differences compared to 130a: a broadened doublet at δF −132.2 (J = 18.3 Hz, o-F), a triplet at δF −156.5 (J = 21.4 Hz, p-F), and a multiplet at δF −162.8 ppm (m-F).
Scheme 60.
Reaction of dialkyl Me2C(Cp)IndMMe2 complexes with B(C6F5)3 [115].
The ansa-hafnocene hydride complex 131 was characterized by X-ray diffraction and NMR spectroscopy as well (Scheme 60) [115]. In the 1H NMR spectrum, a signal corresponding to the Hf-Me bond was observed at δH −1.10 ppm (septet, 3JH-F = 2.2 Hz), and signals of the Hf-H-B fragment were found at δH 0.44 ppm, identified through correlation in the 1H−11B spectra. The following signals of the HB(C6F5)3 group of compound 131 were detected in the 19F NMR spectra: a doublet at δF −130.7 (J = 24.4 Hz, o-F), a triplet at δF −155.0 (J = 21.4 Hz, p-F), and a multiplet at δF −162.2 ppm (m-F). Intermediates 130a, 130b, and 131 were found to be relatively inert towards propene and were in an inactive “dormant” state.
Zr,Al–hydride L2ZrH3AlH2 complexes (132a–c) (L = CpMe5 (a), BunCp (b), and Me3SiCp (c)) formed the metallocene di- or polynuclear ion pairs with HB(C6F5)3− (134a–c) upon the activation with B(C6F5)3 at −50 °C in a 1:1 mixture of d5-bromobenzene and d8-toluene (Scheme 61) [116]. The dinuclear structure of the ion pair 134a was confirmed by the presence of two distinct signals of a C5Me5 ligand in a 1:1 ratio and broadened doublets of bridging hydrides of Zr-H1,2-Al bonds at δH −2.94 and −2.13 ppm, as well as terminal protons of the Al-H3 bonds at δH 4.16 ppm in the 1H NMR spectra. The broadened signals of the Al-H4-Al moiety were also observed at δH 0.4 ppm. The 19F NMR spectrum showed the characteristic signals of an HB(C6F5)3− anion at δF −133.0, −163.2, and −166.3 ppm (134a). Complex 134a transformed into L2ZrH(µ-H)2B(C6F5)2 (133a) and (C6F5)AlH2 as a result of thermal decomposition (Scheme 61). The same products were generated in the reaction of 132a with B(C6F5)3 in toluene. A singlet signal at δH 6.64 ppm and quartet signals of bridge hydrides at δH −0.73 ppm (JB-H = 75 Hz, Zr-H1) were observed in the 1H NMR spectrum of structure 133a. It has been shown that the two bridge hydride atoms are in rapid exchange between the central and side positions, but neither of them exchanges with a terminal hydride of a Zr-H2 bond. A broadened doublet at δF −130.3 (o-F), a triplet at δF −157.6 (p-F), and a multiplet at δF −163.6 ppm (m-F), which are characteristic of a tetrahedral fragment H2B(C6F5)2– coordinated with Zr, were detected in the 19F NMR spectrum. The obtained hydride complex 133a exhibited moderate activity in the ethylene polymerization reaction (activity—4 · 103 gPE mol−1 h−1 at 25 °C and 2.7 atm). However, the catalyst formed as a result of complex 132a activation with B(C6F5)3 proved to be 1000 times more active than 133a. Complex 132c also resulted in the generation of a more active catalyst at elevated temperatures upon activation with B(C6F5)3. The authors explained this by the higher thermal stability of the particles associated with the bridging anion, HB(C6F5)3− [116].
Scheme 61.
Reaction of Zr,Al–hydride complexes L2ZrH3AlH2 (132a–c) with B(C6F5)3 [116].
The interaction of L’HfCl2 hafnocenes (L = (SBI) (a), Me2C(C5H4)(Flu) (b), Ph2C(C5H4)(Flu) (c), and C2H4(Flu)(5,6-C3H6-2-MeInd) (d)) with AlBui3/(Ph3C)[B(C6F5)4] provided cationic intermediates, [LHf(μ-H)2AlBui2]+ or [LHf(μ-H)2Al(H)Bui]+ (135a–d), which showed greater activity in the alkene polymerization than the heterobinuclear methyl-bridged intermediates, [LHf(μ-Me)2Al(μ-Me)2][MeMAO] (136a–d) and [LHf(μ-Me)2Al(μ-Me)2][B(C6F5)4] (137a–d) (Scheme 62) [117]. Complex (SBI)HfCl2, in the reaction with AlBui3 and (Ph3C)[B(C6F5)4] at a [Hf]:[Al]:[B] ratio of 1:(10–50):1.1, gave rise to the viscous product 135a, which settled at the bottom of the NMR tube. The 1H NMR spectrum of compound 135a showed two signals of hydride atoms at δH −1.13 ppm (d, 2JHH = 5 Hz, H2) and δH 1.40 ppm (t, 2JHH = 5 Hz, H1), which were correlated in the COSY HH spectra. Complexes 135b and 135c were unstable at 2–5 °C. Hydride complex 135d, obtained at a [Hf]:[Al]:[B] reagent ratio of 1:(40–100):1, was characterized by a signal of an H1 proton at δH −2.11 ppm (d, JHH = 6 Hz) and a signal of hydrogen atoms H2 at δH −4.00 ppm (dd, JHH = 10 Hz and 3.7 Hz). The 19F NMR spectrum of the complex exhibited the signals of B(C6F5)4– groups at δF −132.5, −163.0, and −166.5 ppm [117].
Scheme 62.
Cationic intermediates observed in the reaction of hafnocenes with AlBui3/(Ph3C)[B(C6F5)4] [117].
The bimetallic Zr,Al-trihydride cations [L2M(μ-H)3(Al(Bui2)2]+ (138a–j and 139d) were obtained in L2MCl2-HAlBui2-(Ph3C)[B(C6F5)4] catalytic systems (L = EBI, EBTHI, SBI, Cp, Me2SiCp2, Me4C2Cp2, (Me2Si)2Cp2, CpBun, CpSiMe3, and 1,2-Me2Cp; M = Zr and Hf) [118]. In the 1H NMR spectra of compounds 138a–j, doublet and triplet signals of three hydride atoms of a ZrH3 moiety in the ratio of intensities of 2:1 were observed in the upfield region (Scheme 63). The structures of complexes 138c and 138g were confirmed by X-ray diffraction.
Scheme 63.
Bimetallic Zr,Al-trihydride cations obtained in L2MCl2-HAlBui2-(Ph3C)[B(C6F5)4] catalytic systems [118].
Complex [(SBI)Zr(μ-H)3(AlBui2)2]+ (138c) generated in the (SBI)ZrCl2–HAlBui2-(Ph3C)[B(C6F5)4] system at a [Zr]:[Al]:[B]:[propylene] ratio of 1:20:1:20 in d8-toluene at −30°C has been shown to polymerize propylene, yielding an isotactic product with 97mmmm% and PDI = 1.90 (Scheme 64) [119]. Polypropylene was also obtained in the presence of a [(SBI)Zr-(μ-Me)2AlMe2]+ cation (141) formed in the reaction of complex 140 with (AlMe3)2. The polymer contained terminal isopropyl groups originated from the chain termination through its transfer to aluminum. After the complete consumption of aluminum hydride, the [(SBI)Zr(μ-Me)2AlR2]+ complex with a dimethyl bridge (141) became the sole intermediate in these reaction systems. In the reaction of (SBI)ZrCl2 with 20 eq. of HAlMe2 and 1 eq. of (Ph3C)[B(C6F5)4] in d8-toluene, the [(SBI)Zr(μ-H)3(AlMe2)2]+ intermediate (140) was identified. The cation, [(SBI)Zr(μ-H)3(AlBui2)2]+ (138c), formed under the action of HAlBui2 catalyzed the polymerization of propylene, and its analog, [(SBI)Zr(μ-H)3(AlMe2)2]+ (140), formed in the presence of HAlMe2, showed the activity in propene hydroalumination, transforming during this reaction into the [(SBI)Zr(μ-Me)2AlR2]+ cation (141), which also catalyzed the polymerization of propene.
Scheme 64.
Propene transformations under the actions of complexes 138c, 140, and 141 [119].
The study of the Cp2ZrMe2-AlMe3-(Ph3C)[B(C6F5)4] system (fluorobenzene as a solvent) with the ESI-MS method showed that the main product was the [Cp2Zr(μ-Me)2AlMe2]+[B(C6F5)4]− complex (142) (Scheme 65) [120]. When 1-hexene is added to the system, complexes 145 and 146, and the allylic structures [Cp2Zr(η3-C6H10)(C6H12)nH]+ (147a,b) are formed, and the [Cp2Zr(µ-H)2AlMe2]+ compound (143) with a mass (m/z) of 279, accumulated as an alkene, is consumed. The formation of dimethylalane hydride structures 144 and 146 is a catalyst deactivation process because a monomer is consumed slowly in the presence of these complexes compared to the starting reaction rates.
Scheme 65.
Study of the Cp2ZrMe2-AlMe3-(Ph3C)[B(C6F5)4] system using the ESI-MS method [120].
There are not much data in the literature on the structures of metallocene hydrides obtained as a result of an interaction with MAO in comparison with hydride complexes activated by B-containing compounds.
It was shown, for example, that aluminum hydride complexes (RCp)2ZrH3AlH2 132b and 132c (R = Bun (b), Me3Si (c), Scheme 61) activated by MAO possess higher activity in an ethylene polymerization reaction (132b: 15.8·106 goligomer molcat−1 h−1 and 132c: 58.1·106 goligomer molcat−1 h−1) than the corresponding dichloride complexes, BunCp2ZrCl2 (40) and (Me3SiCp)2ZrCl2 (80) (40: 11.8·106 goligomer molcat−1 h−1 and 80: 43.6·106 goligomer molcat−1 h−1) [116]. The molecular weight of the polymer decreased significantly when using a SiO2-supported or leached catalyst compared to the corresponding soluble catalyst under the same conditions [121,122]. Polyethylene with MW = 149,500 was obtained in the presence of complex 132b and SiO2 modified with MAO (at [Zr]:[Al] = 1:2600, the activity was 5.16 · 106 gPE mol−1 h−1). The activity of zirconocene 40 in the polymerization reaction on a MAO-SiO2 carrier was 2.15·106 gPE mol−1 h−1 (MW= 229,500). The reactivity of complex 132c ((Me3SiCp)2ZrH3AlH2) activated by MAO and supported on SiO2 with the addition of molecular H2 increased by 25% during ethylene polymerization. Nevertheless, there was a significant decrease in the molecular weight of the product from MN = 63,700 and MW = 175,000 to MN = 691 and MW = 1930 with the introduction of H2, which was used as a chain transfer agent in the reactions of ethylene polymerization and copolymerization of ethylene with 1-hexene [121].
Polyethylene was synthesized in the presence of the BunCp2ZrH3AlH2/MAO/KCl system that showed activity at a level of 4.07 · 106 gPE mol−1h−1 (MW = 16,950) [123].
The neutral dihydride complexes, (SBI)ZrH2·{nAlR2X} (148), were found as a result of the interaction between (SBI)ZrCl2 (25) and MAO ([Al]MAO/[Zr] = 600) both in the solution and on the surface of SiO2 in the presence of diisobutylaluminum hydride or triisobutylaluminum (Scheme 66) [84]. The 1H NMR spectrum of the systems based on (SBI)ZrCl2, Al2Me6, HAlBui2, and MAO contained the broadened singlet signals of a Zr–H bond at δH −1.39 (SBI)ZrH2·{2AlMe3}), −1.54 (SBI)ZrH2·{2AlMe2Cl}), and −1.95 ppm (SBI)ZrH2·{x(AlMeO)n}) (148). The observed complexes appeared to be inactive in olefin polymerization.
Scheme 66.
Reaction of (SBI)ZrCl2 with MAO in the presence of HAlBui2 or AlBui3 [84].
The addition of MMAO-12 to the Cp2ZrH2-ClAlR2 system (R = Me (a), Et (b), and Bui (c)) in a [Zr]:[ClAlR2]:[MMAO-12] ratio of 1:(1.5–3):(3–8), containing equilibrium mixture of complexes 75a–c, 76a–c, and 96a–c (Scheme 52), led to the appearance of adduct 96a–c with MMAO-12 with the separation of the reaction mixture into light and heavy fractions (Scheme 67) [71,72,73,74,75]. The triplet signals of protons of a Zr-H-Zr bond at δH −6.56–−6.44 ppm and doublet signals of a Zr-H-Al fragment at δH from −1.74 to −1.28 ppm were observed in the 1H NMR spectrum of the light fraction in the case of the 96a–c·MAO adduct. The 1H NMR spectrum of the heavy adduct, 96a–c·MAO, exhibited the broadened signals of hydride atoms in the ranges of δH −7.10–−6.54 ppm (Zr-H-Zr) and δH −1.44–−1.22 ppm (Zr-H-Al). When (Ph3C)[B(C6F5)4] was added to the [Cp2ZrH2]2-ClAlEt2 system (at a ratio of 1:(3–4):(0.15–0.5)), additional upfield triplet and doublet signals at δH −6.87 ppm and −1.72 ppm, respectively, appeared in the 1H NMR spectrum, which were assigned to the 96b·RnAl(C6F5)3−n adduct [72]. Similar adducts were found in the Cp2ZrCl2-HAlR2-MMAO-12 catalytic systems ((Ph3C)[B(C6F5)4]) [71,72,73].
Scheme 67.
Structures observed in the Cp2ZrH2-ClAlR2-MMAO-12 ((Ph3C)[B(C6F5)4]) and L2ZrCl2-HAlBui2-MMAO-12 ((Ph3C)[B(C6F5)4]) systems and reactivity of Zr,Al–hydride intermediates towards an alkene [71,72,73,74,75].
Analogous MMAO-12 associations ((106–108c)·MAO, 151c·MAO, 152c·MAO) were observed in the reactions of L2ZrCl2 (22, 37, 45, 58, 97) with HAlBui2 and MMAO-12 (Scheme 67) [74,75]. Moreover, complexes, probably being a cationic type, [Cp2ZrH]+ (149, 150), whose proton signals were located at δH −6.6–−0.1 ppm in the 1H NMR spectra, formed in the L2ZrCl2-HAlBui2-(Ph3C)[B(C6F5)4] catalytic systems (L = Cp, Ind) at a [Zr]:[Al]:[B] ratio of 1:(5–8):0.5 (Scheme 67) [71,72,74].
An NMR study on the activity of the Zr,Al–hydride intermediates towards an alkene (Scheme 67) showed that hydride complexes 76a–c and 98c–102c reacted first to provide hydrometalation product 153. Intermediates with the [(L2Zr)2H3] moiety associated with MAO or RnAl(C6F5)3−n provided dimer 2. The addition of an alkene to the systems with hydride species of a cationic type, [L2ZrH]+ (149c or 150c), led to the formation of oligomer 21 at a high rate [71,72,74,75]. As a result, studies on the metallocene–OAC–activator systems (MMAO-12, (Ph3C)[B(C6F5)4]), disclosed the generation of various hydride clusters, including bis-zirconium hydride intermediates of the [(L2Zr)2H3] type, which were the precursors of active centers that initiated an alkene dimerization, whereas cationic species [L2ZrH]+ ensured the formation of the oligomeric products.
4. Conclusions
Dimerization and oligomerization reactions are widely used to convert light olefins resulting from various processes (thermal and catalytic cracking, Fischer–Tropsch synthesis, etc.) into higher olefins that are demanded in various industrial fields. The dimerization and oligomerization of α-olefins are carried out by heterogeneous acid catalysis, which is mainly used for the production of fuels, and by transition metal catalytic systems, utilized primarily for the production of high value-added products.
An analysis of the data in the literature shows that much attention is commonly paid to the consideration of the catalytic properties of transition metal complexes of various structures and systems to search for the most active catalysts for alkene dimerization and oligomerization. Here, the focus is shifting towards post-metallocene complexes and heterocenes, where varying the transition metal atom and ligand structure allows a significant influence to be exerted on the activity of catalytic systems, the regioselectivity of alkene insertion, and the molecular weight distribution of reaction products. The design of new activators with predictable effects in contrast to stochastic-structured aluminoxanes is highly relevant, as well as the search of heterogeneous carriers for catalytic systems, aiming to implement new processes on an industrial scale. Another interesting direction is the variation of monomer structures (including the use of polar monomers) to obtain products with unique physical and physicochemical properties for the development of new materials.
Metal hydrides can act as active centers of the considered catalytic systems. The metal-H bond exhibits remarkable activity, contributing to a diverse array of catalytic applications. This includes the reduction in unsaturated compounds; the di-, oligo-, and polymerization of alkenes with varied structures; as well as the functionalization of olefins and acetylenes through hydrometalation. Despite the large amount of information on the structures of hydride intermediates generated in transition metal complex activator systems, the mechanisms of their actions in the discussed processes remain open questions.
Therefore, the investigation of the mechanisms of alkene dimerization and oligomerization reactions is crucial for a more targeted exploration of novel, efficient catalysts and activators. In this field, significant attention will still be given to metallocene systems as the most convenient models for studying reaction mechanisms. Priority lies in comprehending the structure and dynamics of active centers, a factor that is significantly influenced by the metal’s nature, ligand, and cocatalyst structure. The σ- and π-ligand environments of the transition metal play pivotal roles in determining the lifespan of specific active sites, which are necessary for successful alkene insertion, chain propagation, and termination. Consequently, future research demands a comprehensive approach encompassing the exploration of catalytic system properties and the experimental and theoretical analysis of structural and dynamic features of hydride intermediates. This holistic approach aims to develop robust models for reaction mechanisms and predict the properties of new promising catalytic systems.
Author Contributions
Conceptualization, L.V.P. and L.M.K.; writing—original draft preparation, A.K.B., P.V.K. and L.V.P.; writing—review and editing, L.V.P. and L.M.K.; visualization, A.K.B., P.V.K. and L.V.P.; supervision, L.V.P. and L.M.K.; project administration, L.M.K.; funding acquisition, L.M.K. All authors have read and agreed to the published version of the manuscript.
Funding
This work was financially supported by the Russian Science Foundation, grant number 23-73-00024, https://rscf.ru/project/23-73-00024/ (accessed on 12 January 2024).
Institutional Review Board Statement
Not applicable.
Informed Consent Statement
Not applicable.
Data Availability Statement
Not applicable.
Conflicts of Interest
The authors declare no conflicts of interest.
References
- Janiak, C. Metallocene and related catalysts for olefin, alkyne and silane dimerization and oligomerization. Coord. Chem. Rev. 2006, 250, 66–94. [Google Scholar] [CrossRef]
- de Klerk, A. Oligomerization. In Fischer-Tropsch Refining; de Klerk, A., Ed.; Wiley-VCH Verlag: Hoboken, NJ, USA, 2011; pp. 369–391. [Google Scholar]
- McGuinness, D.S. Olefin Oligomerization via Metallacycles: Dimerization, Trimerization, Tetramerization, and Beyond. Chem. Rev. 2011, 111, 2321–2341. [Google Scholar] [CrossRef] [PubMed]
- Osakada, K. (Ed.) Organometallic Reactions and Polymerization; Springer: Berlin/Heidelberg, Germany, 2014; p. 301. [Google Scholar] [CrossRef]
- Nifant’ev, I.; Ivchenko, P.; Tavtorkin, A.; Vinogradov, A.; Vinogradov, A. Non-traditional Ziegler-Natta catalysis in a-olefin transformations: Reaction mechanisms and product design. Pure Appl. Chem. 2017, 89, 1017–1032. [Google Scholar] [CrossRef]
- Nicholas, C.P. Applications of light olefin oligomerization to the production of fuels and chemicals. Appl. Cat. A Gen. 2017, 543, 82–97. [Google Scholar] [CrossRef]
- Busca, G. Acid Catalysts in Industrial Hydrocarbon Chemistry. Chem. Rev. 2007, 107, 5366–5410. [Google Scholar] [CrossRef] [PubMed]
- Lavrenov, A.V.; Karpova, T.R.; Buluchevskii, E.A.; Bogdanets, E.N. Heterogeneous oligomerization of light alkenes: 80 years in oil refining. Catal. Ind. 2016, 8, 316–327. [Google Scholar] [CrossRef]
- Arlman, E.J.; Cossee, P. Ziegler-Natta catalysis III. Stereospecific polymerization of propene with the catalyst system TiCl3*AlEt3. J. Catal. 1964, 3, 99–104. [Google Scholar] [CrossRef]
- Wu, M.M.-S.; Coker, C.L.; Walzer, J.F., Jr.; Jiang, P. Process to Produce Low Viscosity Poly-alpha-Olefins. U.S. Patent 8207390 B2, 26 June 2012. [Google Scholar]
- Wu, M.M.; Hagemeister, M.P.; Yang, N. Process to Produce Polyalphaolefins. U.S. Patent 8513478 B2, 20 August 2013. [Google Scholar]
- Comyns, A.E. Encyclopedic Dictionary of Named Processes in Chemical Technology, 4th ed.; CRC Press: Boca Raton, FL, USA, 2014; p. 416. [Google Scholar]
- Martin, R.W.; Deckman, D.E.; Kelly, K.J.; Emett, C.J.; Hagemeister, M.P.; Harrington, B.A.; Lin, C.-Y.; Matsunaga, P.T.; Ruff, C.J.; Stavens, K.B. Low Viscosity Engine Oil Compositions. U.S. Patent 9234150 B2, 12 January 2016. [Google Scholar]
- Patil, A.O.; Bodige, S. Synthetic Lubricant Basestocks and Prepared from Vinyl-Terminated Olefin Macromonomers. U.S. Patent 9422497 B2, 23 August 2016. [Google Scholar]
- Harvey, B.G.; Meylemans, H.A. 1-Hexene: A renewable C6 platform for full-performance jet and diesel fuels. Green Chem. 2014, 16, 770–776. [Google Scholar] [CrossRef]
- Natta, G.; Danusso, F. Stereoregular Polymers and Stereospecific Polymerizations: The Contributions of Giulio Natta and His School to Polymer Chemistry; Symposium Publications Division, Pergamon Press: Long Island City, NY, USA, 1967; p. 888. Available online: https://books.google.ru/books?id=iwQkAQAAMAAJ (accessed on 12 January 2024).
- Fink, G. Polymerization on Molecular Catalysts. In Handbook of Heterogeneous Catalysis; Ertl, G., Helmut Knözinger, H., Schüth, F., Weitkamp, J., Eds.; Wiley-VCH Verlag: Fairford, UK, 2008; pp. 3792–3830. [Google Scholar]
- Nowlin, T.; Mink, R.; Kissin, Y. Supported Magnesium/Titanium-Based Ziegler Catalysts for Production of Polyethylene. In Handbook of Transition Metal Polymerization Catalysts; Hoff, R., Mathers, R.T., Eds.; John Wiley & Sons: Hoboken, NJ, USA, 2010; pp. 131–155. [Google Scholar]
- Gardner, B.M.; Seechurn, C.C.C.J.; Colacot, T.J. Industrial Milestones in Organometallic Chemistry. In Organometallic Chemistry in Industry; Colacot, T.J., Seechurn, C.C.C.J., Eds.; Wiley-VCH Verlag: Weinheim, Germany, 2020; pp. 1–22. [Google Scholar]
- Kumawat, J.; Gupta, V.K. Fundamental aspects of heterogeneous Ziegler–Natta olefin polymerization catalysis: An experimental and computational overview. Polym. Chem. 2020, 11, 6107–6128. [Google Scholar] [CrossRef]
- Pawlak, M.; Drzeżdżon, J.; Jacewicz, D. The greener side of polymers in the light of d-block metal complexes as precatalysts. Coord. Chem. Rev. 2023, 484, 215122. [Google Scholar] [CrossRef]
- Wilkinson, G.; Birmingham, J.M. Bis-cyclopentadienyl Compounds of Ti, Zr, V, Nb and Ta. J. Am. Chem. Soc. 1954, 76, 4281–4284. [Google Scholar] [CrossRef]
- Long, W.P.; Breslow, D.S. Der Einfluß von Wasser auf die katalytische Aktivität von Bis(π-cyclopentadienyl)titandichlorid-Dimethylaluminiumchlorid zur Polymerisation von Äthylen. Justus Liebigs Ann. Chem. 1975, 3, 463–469. [Google Scholar] [CrossRef]
- Andresen, A.; Cordes, H.-G.; Herwig, J.; Kaminsky, W.; Merck, A.; Mottweiler, R.; Pein, J.; Sinn, H.; Vollmer, H.-J. Halogen-Free Soluble Ziegler Catalysts for the Polymerization of Ethylene. Control of Molecular Weight by Choice of Temperature. Angew. Chem. Int. Ed. 1976, 15, 630–632. [Google Scholar] [CrossRef]
- Bolesłlawski, M.; Pasynkiewicz, S.; Kunicki, A.; Serwatowski, J. Proton magnetic resonance studies on the structure of tetraethylalumoxane. J. Organomet. Chem. 1976, 116, 285–289. [Google Scholar] [CrossRef]
- Yang, X.; Stern, C.L.; Marks, T.J. Cation-like homogeneous olefin polymerization catalysts based upon zirconocene alkyls and tris(pentafluorophenyl)borane. J. Am. Chem. Soc. 1991, 113, 3623–3625. [Google Scholar] [CrossRef]
- Yang, X.; Stern, C.L.; Marks, T.J. Cationic Zirconocene Olefin Polymerization Catalysts Based on the Organo-Lewis Acid Tris(pentafluorophenyl)borane. A Synthetic, Structural, Solution Dynamic, and Polymerization Catalytic Study. J. Am. Chem. Soc. 1994, 116, 10015–10031. [Google Scholar] [CrossRef]
- Brintzinger, H.H.; Fischer, D.; Mülhaupt, R.; Rieger, B.; Waymouth, R.M. Stereospecific Olefin Polymerization with Chiral Metallocene Catalysts. Angew. Chem. Int. Ed. 1995, 34, 1143–1170. [Google Scholar] [CrossRef]
- Chen, E.Y.-X.; Marks, T.J. Cocatalysts for Metal-Catalyzed Olefin Polymerization: Activators, Activation Processes, and Structure−Activity Relationships. Chem. Rev. 2000, 100, 1391–1434. [Google Scholar] [CrossRef]
- Collins, R.A.; Russell, A.F.; Mountford, P. Group 4 metal complexes for homogeneous olefin polymerisation: A short tutorial review. Appl. Petrochem. Res. 2015, 5, 153–171. [Google Scholar] [CrossRef]
- Dzhemilev, U.M.; Ibragimov, A.G. Metal complex catalysis in the synthesis of organoaluminium compounds. Russ. Chem. Rev. 2000, 69, 121–135. [Google Scholar] [CrossRef]
- Guiry, P.J.; Coyne, A.G.; Carroll, A.M. C–E bond formation through hydroboration and hydroalumination. In Comprehensive Organometallic Chemistry III; Crabtree, R.H., Mingos, D.M.P., Eds.; Elsevier: Oxford, UK, 2007; pp. 839–869. [Google Scholar]
- Dzhemilev, U.M.; Ibragimov, A.G. Hydrometallation of Unsaturated Compounds. In Modern Reduction Methods; Andersson, P.G., Munslow, I.J., Eds.; Wiley-VCH Verlag GmbH & Co. KGaA: Weinheim, Germany, 2008; pp. 447–489. [Google Scholar]
- Tolstikov, G.A.; Dzhemilev, U.M.; Tolstikov, A.G. Aluminiyorganicheskie Soedineniya v Organicheskom Sinteze (Organoaluminum Compounds in Organic Synthesis); Akad. Izd. GEO: Novosibirsk, Russia, 2009; p. 645. ISBN 978-645-9747-0147-9744. [Google Scholar]
- Zaidlewicz, M.; Wolan, A.; Budny, M.M. 8.24 Hydrometallation of C=C and C=C bonds. Group 3. In Comprehensive Organic Synthesis II; Knöchel, P., Gary, A., Eds.; Elsevier Science & Technology Books: Amsterdam, The Netherlands, 2014; Volume 877–963. [Google Scholar] [CrossRef]
- Skupinska, J. Oligomerization of alpha-olefins to higher oligomers. Chem. Rev. 1991, 91, 613–648. [Google Scholar] [CrossRef]
- Janiak, C.; Blank, F. Metallocene Catalysts for Olefin Oligomerization. Macromol. Symp. 2006, 236, 14–22. [Google Scholar] [CrossRef]
- Belov, G.P. Selective dimerization, oligomerization, homopolymerization and copolymerization of olefins with complex organometallic catalysts. Russ. J. Appl. Chem. 2008, 81, 1655–1666. [Google Scholar] [CrossRef]
- Breuil, P.-A.R.; Magna, L.; Olivier-Bourbigou, H. Role of Homogeneous Catalysis in Oligomerization of Olefins: Focus on Selected Examples Based on Group 4 to Group 10 Transition Metal Complexes. Catal. Lett. 2015, 145, 173–192. [Google Scholar] [CrossRef]
- Nifant’ev, I.; Ivchenko, P. Fair Look at Coordination Oligomerization of Higher α-Olefins. Polymers 2020, 12, 1082. [Google Scholar] [CrossRef] [PubMed]
- Olivier-Bourbigou, H.; Breuil, P.A.R.; Magna, L.; Michel, T.; Fernandez Espada Pastor, M.; Delcroix, D. Nickel Catalyzed Olefin Oligomerization and Dimerization. Chem. Rev. 2020, 120, 7919–7983. [Google Scholar] [CrossRef] [PubMed]
- Patel, N.; Valodkar, V.; Tembe, G. Recent developments in catalyst systems for selective oligomerization and polymerization of higher α-olefins. Polym. Chem. 2023, 14, 2542–2571. [Google Scholar] [CrossRef]
- Slaugh, L.H.; Schoenthal, G.W. Vinylidene Olefin Process. U.S. Patent 4658078, 14 April 1987. [Google Scholar]
- Kondakov, D.Y.; Negishi, E.-I. Zirconium-catalyzed enantioselective methylalumination of monosubstituted alkenes. J. Am. Chem. Soc. 1995, 117, 10771–10772. [Google Scholar] [CrossRef]
- Christoffers, J.; Bergman, R.G. Catalytic Dimerization Reactions of α-Olefins and α,ω-Dienes with Cp2ZrCl2/Poly(methylalumoxane): Formation of Dimers, Carbocycles, and Oligomers. J. Am. Chem. Soc. 1996, 118, 4715–4716. [Google Scholar] [CrossRef]
- Christoffers, J.; Bergman, R.G. Zirconocene-alumoxane (1:1)—A catalyst for the selective dimerization of α-olefins. Inorg. Chim. Acta 1998, 270, 20–27. [Google Scholar] [CrossRef]
- Kretschmer, W.P.; Troyanov, S.I.; Meetsma, A.; Hessen, B.; Teuben, J.H. Regioselective Homo- and Codimerization of α-Olefins Catalyzed by Bis(2,4,7-trimethylindenyl)yttrium Hydride. Organometallics 1998, 17, 284–286. [Google Scholar] [CrossRef]
- Wahner, U.M.; Brüll, R.; Pasch, H.; Raubenheimer, H.G.; Sanderson, R.D. Oligomerisation of 1-pentene with metallocene catalysts. Angew. Makromol. Chem. 1999, 270, 49–55. [Google Scholar] [CrossRef]
- Brüll, R.; Kgosane, D.; Neveling, A.; Pasch, H.; Raubenheimer, H.; Sanderson, R.; Wahner, U. Synthesis and properties of poly-1-olefins. Macromol. Symp. 2001, 165, 11–18. [Google Scholar] [CrossRef]
- Boccia, A.C.; Costabile, C.; Pragliola, S.; Longo, P. Selective Dimerization of γ-Branched α-Olefins in the Presence of C2v Group-4 Metallocene-Based Catalysts. Macromol. Chem. Phys. 2004, 205, 1320–1326. [Google Scholar] [CrossRef]
- Small, B.L.; Marcucci, A.J. Iron Catalysts for the Head-to-Head Dimerization of α-Olefins and Mechanistic Implications for the Production of Linear α-Olefins. Organometallics 2001, 20, 5738–5744. [Google Scholar] [CrossRef]
- Small, B.L. Tridentate Cobalt Catalysts for Linear Dimerization and Isomerization of α-Olefins. Organometallics 2003, 22, 3178–3183. [Google Scholar] [CrossRef]
- Broene, R.D.; Brookhart, M.; Lamanna, W.M.; Volpe, A.F. Cobalt-Catalyzed Dimerization of α-Olefins to Give Linear α-Olefin Products. J. Am. Chem. Soc. 2005, 127, 17194–17195. [Google Scholar] [CrossRef] [PubMed]
- Hanton, M.J.; Daubney, L.; Lebl, T.; Polas, S.; Smith, D.M.; Willemse, A. Selective dimerisation of α-olefins using tungsten-based initiators. Dalton Trans. 2010, 39, 7025–7037. [Google Scholar] [CrossRef]
- Gunasekara, T.; Preston, A.Z.; Zeng, M.; Abu-Omar, M.M. Highly Regioselective α-Olefin Dimerization Using Zirconium and Hafnium Amine Bis(phenolate) Complexes. Organometallics 2017, 36, 2934–2939. [Google Scholar] [CrossRef]
- Flory, P.J. Molecular Size Distribution in Linear Condensation Polymers1. J. Am. Chem. Soc. 1936, 58, 1877–1885. [Google Scholar] [CrossRef]
- Nakata, N.; Nakamura, K.; Ishii, A. Highly Efficient and 1,2-Regioselective Method for the Oligomerization of 1-Hexene Promoted by Zirconium Precatalysts with [OSSO]-Type Bis(phenolate) Ligands. Organometallics 2018, 37, 2640–2644. [Google Scholar] [CrossRef]
- Lian, B.; Beckerle, K.; Spaniol, T.P.; Okuda, J. Regioselective 1-Hexene Oligomerization Using Cationic Bis(phenolato) Group 4 Metal Catalysts: Switch from 1,2- to 2,1-Insertion. Angew. Chem. Int. Ed. 2007, 46, 8507–8510. [Google Scholar] [CrossRef] [PubMed]
- Nifant’ev, I.E.; Vinogradov, A.A.; Vinogradov, A.A.; Ivchenko, P.V. Zirconocene-catalyzed dimerization of 1-hexene: Two-stage activation and structure–catalytic performance relationship. Catal. Commun. 2016, 79, 6–10. [Google Scholar] [CrossRef]
- Nifant’ev, I.E.; Vinogradov, A.A.; Vinogradov, A.A.; Sedov, I.V.; Dorokhov, V.G.; Lyadov, A.S.; Ivchenko, P.V. Structurally uniform 1-hexene, 1-octene, and 1-decene oligomers: Zirconocene/MAO-catalyzed preparation, characterization, and prospects of their use as low-viscosity low-temperature oil base stocks. Appl. Catal. A Gen. 2018, 549, 40–50. [Google Scholar] [CrossRef]
- Nifant’ev, I.E.; Vinogradov, A.A.; Vinogradov, A.A.; Churakov, A.V.; Ivchenko, P.V. Synthesis of zirconium(III) complex by reduction of O[SiMe2(η5-C5H4)]2ZrCl2and its selectivity in catalytic dimerization of hex-1-ene. Mendeleev Commun. 2018, 28, 467–469. [Google Scholar] [CrossRef]
- Nifant’ev, I.; Vinogradov, A.; Vinogradov, A.; Karchevsky, S.; Ivchenko, P. Zirconocene-Catalyzed Dimerization of α-Olefins: DFT Modeling of the Zr-Al Binuclear Reaction Mechanism. Molecules 2019, 24, 3565. [Google Scholar] [CrossRef]
- Kuklin, M.S.; Hirvi, J.T.; Bochmann, M.; Linnolahti, M. Toward Controlling the Metallocene/Methylaluminoxane-Catalyzed Olefin Polymerization Process by a Computational Approach. Organometallics 2015, 34, 3586–3597. [Google Scholar] [CrossRef]
- Nifant’ev, I.E.; Vinogradov, A.A.; Vinogradov, A.A.; Bagrov, V.V.; Churakov, A.V.; Minyaev, M.E.; Kiselev, A.V.; Salakhov, I.I.; Ivchenko, P.V. A competetive way to low-viscosity PAO base stocks via heterocene-catalyzed oligomerization of dec-1-ene. Mol. Catal. 2022, 529, 112542. [Google Scholar] [CrossRef]
- Nifant’ev, I.E.; Vinogradov, A.A.; Vinogradov, A.A.; Bagrov, V.V.; Kiselev, A.V.; Minyaev, M.E.; Samurganova, T.I.; Ivchenko, P.V. Heterocene Catalysts and Reaction Temperature Gradient in Dec-1-ene Oligomerization for the Production of Low Viscosity PAO Base Stocks. Ind. Eng. Chem. Res. 2023, 62, 6347–6353. [Google Scholar] [CrossRef]
- Bryliakov, K.P.; Talsi, E.P.; Semikolenova, N.V.; Zakharov, V.A.; Brand, J.; Alonso-Moreno, C.; Bochmann, M. Formation and structures of cationic zirconium complexes in ternary systems rac-(SBI)ZrX2/AlBu3i/[CPh3][B(C6F5)4] (X=Cl, Me). J. Organomet. Chem. 2007, 692, 859–868. [Google Scholar] [CrossRef][Green Version]
- Götz, C.; Rau, A.; Luft, G. Ternary metallocene catalyst systems based on metallocene dichlorides and AlBu3i/[PhNMe2H][B(C6F5)4]: NMR investigations of the influence of Al/Zr ratios on alkylation and on formation of the precursor of the active metallocene species. J. Mol. Catal. A Chem. 2002, 184, 95–110. [Google Scholar] [CrossRef]
- Shao, H.; Wang, R.; Li, H.; Guo, X.; Jiang, T. Synthesis of low-molecular-weight poly-α-olefins using silicon-bridged zirconocene catalyst for lubricant basestock. Arab. J. Chem. 2018, 13, 2715–2721. [Google Scholar] [CrossRef]
- Dong, S.Q.; Mi, P.K.; Xu, S.; Zhang, J.; Zhao, R.D. Preparation and Characterization of Single-Component Poly-α-olefin Oil Base Stocks. Energy Fuels 2019, 33, 9796–9804. [Google Scholar] [CrossRef]
- Hanifpour, A.; Bahri-Laleh, N.; Nekoomanesh-Haghighi, M.; Poater, A. Group IV diamine bis(phenolate) catalysts for 1-decene oligomerization. Mol. Catal. 2020, 493, 111047. [Google Scholar] [CrossRef]
- Parfenova, L.V.; Kovyazin, P.V.; Bikmeeva, A.K. Bimetallic Zr, Zr-Hydride Complexes in Zirconocene Catalyzed Alkene Dimerization. Molecules 2020, 25, 2216. [Google Scholar] [CrossRef]
- Parfenova, L.V.; Kovyazin, P.V.; Bikmeeva, A.K.; Palatov, E.R. Catalytic Systems Based on Cp2ZrX2 (X = Cl, H), Organoaluminum Compounds and Perfluorophenylboranes: Role of Zr, Zr- and Zr, Al-Hydride Intermediates in Alkene Dimerization and Oligomerization. Catalysts 2021, 11, 39. [Google Scholar] [CrossRef]
- Kovyazin, P.V.; Bikmeeva, A.K.; Islamov, D.N.; Yanybin, V.M.; Tyumkina, T.V.; Parfenova, L.V. Ti Group Metallocene-Catalyzed Synthesis of 1-Hexene Dimers and Tetramers. Molecules 2021, 26, 2775. [Google Scholar] [CrossRef]
- Parfenova, L.V.; Kovyazin, P.V.; Bikmeeva, A.K.; Palatov, E.R.; Ivchenko, P.V.; Nifant’ev, I.E.; Khalilov, L.M. Catalytic Properties of Zirconocene-Based Systems in 1-Hexene Oligomerization and Structure of Metal Hydride Reaction Centers. Molecules 2023, 28, 2420. [Google Scholar] [CrossRef]
- Parfenova, L.V.; Kovyazin, P.V.; Bikmeeva, A.K.; Palatov, E.R.; Ivchenko, P.V.; Nifant’ev, I.E. Activation of metallocene hydride intermediates by methylaluminoxane in alkene dimerization and oligomerization. React. Kinet. Mech. Catal. 2023. [Google Scholar] [CrossRef]
- McInnis, J.P.; Delferro, M.; Marks, T.J. Multinuclear Group 4 Catalysis: Olefin Polymerization Pathways Modified by Strong Metal-Metal Cooperative Effects. Acc. Chem. Res. 2014, 47, 2545–2557. [Google Scholar] [CrossRef]
- Rebenstorf, B.; Larsson, R. Why do homogeneous analogs of phillips (CrO3/SiO2) and union carbide (Chromocene/SiO2) polyethylene catalysts fail? Some answers from ir investigations. J. Mol. Catal. 1981, 11, 247–256. [Google Scholar] [CrossRef]
- Brückner, A.; Jabor, J.K.; McConnell, A.E.C.; Webb, P.B. Monitoring Structure and Valence State of Chromium Sites during Catalyst Formation and Ethylene Oligomerization by in Situ EPR Spectroscopy. Organometallics 2008, 27, 3849–3856. [Google Scholar] [CrossRef]
- Rosenthal, U.; Müller, B.H.; Peulecke, N.; Peitz, S.; Wöhl, A.; Müller, W.; Olivier-Bourbigou, H.; Magna, L.; van Leeuwen, P.W.N.M.; Tschan, M.J.L.; et al. Oligomerization, Cyclooligomerization, Dimerization. In Applied Homogeneous Catalysis with Organometallic Compounds; Cornils, B., Herrmann, W.A., Beller, M., Paciello, R., Eds.; Wiley-VCH Verlag GmbH & Co. KGaA: Weinheim, Germany, 2017; pp. 307–410. [Google Scholar]
- Bochmann; Sarsfield, M.J. Reaction of AlR3 with [CPh3][B(C6F5)4]: Facile Degradation of [B(C6F5)4]− by Transient “[AlR2]+”. Organometallics 1998, 17, 5908–5912. [Google Scholar] [CrossRef]
- Janiak, C.; Lassahn, P.-G. 19F NMR Investigations of the Reaction of B(C6F5)3 with Different Tri(alkyl)aluminum Compounds. Macromol. Symp. 2006, 236, 54–62. [Google Scholar] [CrossRef]
- Bryliakov, K.P.; Semikolenova, N.V.; Panchenko, V.N.; Zakharov, V.A.; Brintzinger, H.H.; Talsi, E.P. Activation of rac-Me2Si(ind)2ZrCl2 by Methylalumoxane Modified by Aluminum Alkyls: An EPR Spin-Probe, 1H NMR, and Polymerization Study. Macromol. Chem. Phys. 2006, 207, 327–335. [Google Scholar] [CrossRef]
- Babushkin, D.E.; Brintzinger, H.H. Modification of Methylaluminoxane-Activated ansa-Zirconocene Catalysts with Triisobutylaluminum-Transformations of Reactive Cations Studied by NMR Spectroscopy. Chem. Eur. J. 2007, 13, 5294–5299. [Google Scholar] [CrossRef]
- Babushkin, D.E.; Panchenko, V.N.; Timofeeva, M.N.; Zakharov, V.A.; Brintzinger, H.H. Novel Zirconocene Hydride Complexes in Homogeneous and in SiO2-Supported Olefin-Polymerization Catalysts Modified with Diisobutylaluminum Hydride or Triisobutylaluminum. Macromol. Chem. Phys. 2008, 209, 1210–1219. [Google Scholar] [CrossRef]
- Zaccaria, F.; Zuccaccia, C.; Cipullo, R.; Budzelaar, P.H.M.; Vittoria, A.; Macchioni, A.; Busico, V.; Ehm, C. Methylaluminoxane’s Molecular Cousin: A Well-defined and “Complete” Al-Activator for Molecular Olefin Polymerization Catalysts. ACS Catal. 2021, 11, 4464–4475. [Google Scholar] [CrossRef]
- Urciuoli, G.; Zaccaria, F.; Zuccaccia, C.; Cipullo, R.; Budzelaar, P.H.M.; Vittoria, A.; Ehm, C.; Macchioni, A.; Busico, V. A Hydrocarbon Soluble, Molecular and “Complete” Al-Cocatalyst for High Temperature Olefin Polymerization. Polymers 2023, 15, 1378. [Google Scholar] [CrossRef]
- Nanda, R.K.; Wallbridge, M.G.H. Dicyclopentadienylzirconium Diborohydride. Inorg. Chem. 1964, 3, 1798. [Google Scholar] [CrossRef]
- James, B.D.; Nanda, R.K.; Walbridge, M.G.H. Reactions of Lewis bases with tetrahydroborate derivatives of the Group IVa elements. Preparation of new zirconium hydride species. Inorg. Chem. 1967, 6, 1979–1983. [Google Scholar] [CrossRef]
- Wailes, P.C.; Weigold, H. Hydrido complexes of zirconium I. Preparation. J. Organomet. Chem. 1970, 24, 405–411. [Google Scholar] [CrossRef]
- Wailes, P.C.; Weigold, H.; Bell, A.P. Reaction of dicyclopentadienylzirconium dihydride with trimethylaluminium. Formation of a novel hydride containing both Zr-H-Zr and Zr-H-Al. J. Organomet. Chem. 1972, 43, C29–C31. [Google Scholar] [CrossRef]
- Parfenova, L.V.; Pechatkina, S.V.; Khalilov, L.M.; Dzhemilev, U.M. Mechanism of Cp2ZrCl2-catalyzed olefin hydroalumination by alkylalanes. Russ. Chem. Bull. 2005, 54, 316–327. [Google Scholar] [CrossRef]
- Parfenova, L.V.; Vil’danova, R.F.; Pechatkina, S.V.; Khalilov, L.M.; Dzhemilev, U.M. New effective reagent [Cp2ZrH2·ClAlEt2]2 for alkene hydrometallation. J. Organomet. Chem. 2007, 692, 3424–3429. [Google Scholar] [CrossRef]
- Parfenova, L.V.; Kovyazin, P.V.; Tyumkina, T.V.; Islamov, D.N.; Lyapina, A.R.; Karchevsky, S.G.; Ivchenko, P.V. Reactions of bimetallic Zr, Al-hydride complexes with methylaluminoxane: NMR and DFT study. J. Organomet. Chem. 2017, 851, 30–39. [Google Scholar] [CrossRef]
- Shoer, L.I.; Gell, K.I.; Schwartz, J. Mixed-metal hydride complexes containing Zr-H-Al bridges. synthesis and relation to transition-metal-catalyzed reactions of aluminum hydrides. J. Organomet. Chem. 1977, 136, c19–c22. [Google Scholar] [CrossRef]
- Siedle, A.R.; Newmark, R.A.; Schroepfer, J.N.; Lyon, P.A. Solvolysis of dimethylzirconocene by trialkylaluminum compounds. Organometallics 1991, 10, 400–404. [Google Scholar] [CrossRef]
- Khan, K.; Raston, C.L.; McGrady, J.E.; Skelton, B.W.; White, A.H. Hydride-Bridged Heterobimetallic Complexes of Zirconium and Aluminum. Organometallics 1997, 16, 3252–3254. [Google Scholar] [CrossRef]
- Etkin, N.; Stephan, D.W. The Zirconocene Dihydride–Alane Adducts [(Cp‘)2ZrH(μ-H)2]3Al and [(Cp‘)2ZrH(μ-H)2]2AlH (Cp‘ = Me3SiC5H4). Organometallics 1998, 17, 763–765. [Google Scholar] [CrossRef]
- Lobkovskii, E.B.; Soloveichik, G.L.; Sizov, A.I.; Bulychev, B.M. Structural chemistry of titanium and aluminium bimetallic hydride complexes: III. Synthesis, molecular structure and catalytic properties of [(η5-C5H5)2Ti(μ2-H)2Al(μ2-H)(η1:η5-C5H4)Ti(η5-C5H5)(μ2-H)]2·C6H5CH3. J. Organomet. Chem. 1985, 280, 53–66. [Google Scholar] [CrossRef]
- Bel’sky, V.K.; Sizov, A.I.; Bulychev, B.M.; Soloveichik, G.L. Structural chemistry of titanium and aluminium bimetallic hydride complexes: IV. Molecular structures and catalytic properties of {[η5-C5(CH3)5]2Ti(μ2-H)2Al(H)(μ2-H)}2 and [η5-C5(CH3)5]2Ti(μ2-H)2Al(H)(μ2-H)2Ti[η5-C5(CH3)5]2. J. Organomet. Chem. 1985, 280, 67–80. [Google Scholar] [CrossRef]
- Sizov, A.I.; Zvukova, T.M.; Bulychev, B.M.; Belsky, V.K. Synthesis and properties of unsolvated bis(cyclopentadienyl)titanium alumohydride. Structure of {[(η5-C5H5)2Ti(μ-H)]2[(η5-C5H5)Ti(μ-H2]Al3(μ-H4)(H)}2·C6H6 a 12-nuclear titanium aluminum hydride complex with a short Al·Al bond length, and refined structure of LiAlEt4. J. Organomet. Chem. 2000, 603, 167–173. [Google Scholar] [CrossRef]
- Wehmschulte, R.J.; Power, P.P. Reaction of cyclopentadienyl zirconium derivatives with sterically encumbered arylaluminum hydrides: X-ray crystal structure of (η5-C5H5)2(H)Zr(μ2-H)2Al(H)C6H2-2,4,6-But3. Polyhedron 1999, 18, 1885–1888. [Google Scholar] [CrossRef]
- Sizov, A.I.; Zvukova, T.; Belsky, V.; Bulychev, B.M. Aluminium zirconium (+3 and +4) heterometallic hydrido complexes of compositions [(η5-C5H5)2Zr(μ-H)]2(μ-H)AlCl2 and [(η5-C5H5)2ZrH(μ-H)2]3Al. J. Organomet. Chem. 2001, 619, 36–42. [Google Scholar] [CrossRef]
- Sizov, A.I.; Zvukova, T.; Khvostov, A.V.; Belsky, V.; Stash, A.; Bulychev, B.M. Transition metal-catalyzed reduction of ZrIV in Cp2ZrX2-LiAlH4 and Cp2ZrX2-AlH3 (X = Cl, Br, I) systems: Structural study of resulting zirconocene(III) aluminum hydride complexes. J. Organomet. Chem. 2003, 681, 167–173. [Google Scholar] [CrossRef]
- Sizov, A.I.; Zvukova, T.; Khvostov, A.V.; Gorkovskii, A.A.; Starikova, Z.A.; Bulychev, B. Heterometallic (Zr-III)2-Al hydrides [(Cp2Zr)2(µ-H)](µ-H)2AlX2 (X = Cl or Br): Preparative synthesis and reactivity. Molecular structure of [(Cp2Zr)2(µ-Cl)](µ-H)2AlCl2. Russ. Chem. Bull. 2005, 54, 2496–2501. [Google Scholar] [CrossRef]
- Baldwin, S.M.; Bercaw, J.E.; Brintzinger, H.H. Alkylaluminum-Complexed Zirconocene Hydrides: Identification of Hydride-Bridged Species by NMR Spectroscopy. J. Am. Chem. Soc. 2008, 130, 17423–17433. [Google Scholar] [CrossRef]
- Parfenova, L.V.; Kovyazin, P.V.; Nifant’ev, I.E.; Khalilov, L.M.; Dzhemilev, U.M. Role of Zr, Al Hydride Intermediate Structure and Dynamics in Alkene Hydroalumination with XAlBui2 (X = H, Cl, Bui), Catalyzed by Zr η5-Complexes. Organometallics 2015, 34, 3559–3570. [Google Scholar] [CrossRef]
- Culver, D.B.; Corieri, J.; Lief, G.; Conley, M.P. Reactions of Triisobutylaluminum with Unbridged or Bridged Group IV Metallocene Dichlorides. Organometallics 2022, 41, 892–899. [Google Scholar] [CrossRef]
- Yang, X.; Stern, C.L.; Marks, T.J. Cationic Metallocene Polymerization Catalysts. Synthesis and Properities of the First Base-Free Zirconocene Hydride. Angew. Chem. Int. Ed. 1992, 31, 1375–1377. [Google Scholar] [CrossRef]
- Spence, R.E.V.H.; Parks, D.J.; Piers, W.E.; MacDonald, M.-A.; Zaworotko, M.J.; Rettig, S.J. Competing Pathways in the Reaction of Bis(pentafluorophenyl)borane with Bis(η5-cyclopentadienyl)dimethylzirconium: Methane Elimination versus Methyl-Hydride Exchange and an Example of Pentacoordinate Carbon. Angew. Chem. Int. Ed. 1995, 34, 1230–1233. [Google Scholar] [CrossRef]
- Spence, R.E.v.H.; Piers, W.E.; Sun, Y.; Parvez, M.; MacGillivray, L.R.; Zaworotko, M.J. Mechanistic Aspects of the Reactions of Bis(pentafluorophenyl)borane with the Dialkyl Zirconocenes Cp2ZrR2 (R = CH3, CH2SiMe3, and CH2C6H5). Organometallics 1998, 17, 2459–2469. [Google Scholar] [CrossRef]
- Sun, Y.; Spence, R.E.v.H.; Piers, W.E.; Parvez, M.; Yap, G.P.A. Intramolecular Ion−Ion Interactions in Zwitterionic Metallocene Olefin Polymerization Catalysts Derived from “Tucked-In” Catalyst Precursors and the Highly Electrophilic Boranes XB(C6F5)2 (X = H, C6F5). J. Am. Chem. Soc. 1997, 119, 5132–5143. [Google Scholar] [CrossRef]
- Carr, A.G.; Dawson, D.M.; Thornton-Pett, M.; Bochmann, M. Cationic Zirconocene Hydrides: A New Type of Highly Effective Initiators for Carbocationic Polymerizations. Organometallics 1999, 18, 2933–2935. [Google Scholar] [CrossRef]
- Arndt, P.; Baumann, W.; Spannenberg, A.; Rosenthal, U.; Burlakov, V.V.; Shur, V.B. Reactions of Titanium and Zirconium Derivatives of Bis(trimethylsilyl)acetylene with Tris(pentafluorophenyl)borane: A Titanium(III) Complex of an Alkynylboranate. Angew. Chem. Int. Ed. 2003, 42, 1414–1418. [Google Scholar] [CrossRef]
- Arndt, P.; Jäger-Fiedler, U.; Klahn, M.; Baumann, W.; Spannenberg, A.; Burlakov, V.V.; Rosenthal, U. Formation of Zirconocene Fluoro Complexes: No Deactivation in the Polymerization of Olefins by the Contact-Ion-Pair Catalysts [Cp’2ZrR]+[RB(C6F5)3]−. Angew. Chem. Int. Ed. 2006, 45, 4195–4198. [Google Scholar] [CrossRef]
- Al-Humydi, A.; Garrison, J.C.; Mohammed, M.; Youngs, W.J.; Collins, S. Propene polymerization using ansa-metallocenium ions: Catalyst deactivation processes during monomer consumption and molecular structures of the products formed. Polyhedron 2005, 24, 1234–1249. [Google Scholar] [CrossRef]
- González-Hernández, R.; Chai, J.; Charles, R.; Pérez-Camacho, O.; Kniajanski, S.; Collins, S. Catalytic System for Homogeneous Ethylene Polymerization Based on Aluminohydride−Zirconocene Complexes. Organometallics 2006, 25, 5366–5373. [Google Scholar] [CrossRef]
- Bryliakov, K.P.; Talsi, E.P.; Voskoboynikov, A.Z.; Lancaster, S.J.; Bochmann, M. Formation and Structures of Hafnocene Complexes in MAO- and AlBui3/CPh3[B(C6F5)4]-Activated Systems. Organometallics 2008, 27, 6333–6342. [Google Scholar] [CrossRef]
- Baldwin, S.M.; Bercaw, J.E.; Henling, L.M.; Day, M.W.; Brintzinger, H.H. Cationic Alkylaluminum-Complexed Zirconocene Hydrides: NMR-Spectroscopic Identification, Crystallographic Structure Determination, and Interconversion with Other Zirconocene Cations. J. Am. Chem. Soc. 2011, 133, 1805–1813. [Google Scholar] [CrossRef] [PubMed]
- Baldwin, S.M.; Bercaw, J.E.; Brintzinger, H.H. Cationic Alkylaluminum-Complexed Zirconocene Hydrides as Participants in Olefin Polymerization Catalysis. J. Am. Chem. Soc. 2010, 132, 13969–13971. [Google Scholar] [CrossRef] [PubMed]
- Joshi, A.; Zijlstra, H.S.; Collins, S.; McIndoe, J.S. Catalyst Deactivation Processes during 1-Hexene Polymerization. ACS Catal. 2020, 10, 7195–7206. [Google Scholar] [CrossRef]
- González, R.; Morales, E.; García, M.; Revilla, J.; Charles, R.; Collins, S.; Cadenas, G.; Lugo, L.; Pérez, O. Heterogeneous Polymerization of Ethylene and 1-Hexene with Me3SiCp2ZrH3AlH2/SiO2 Activated with MAO. Macromol. Symp. 2009, 283–284, 96–102. [Google Scholar] [CrossRef]
- Comparán-Padilla, V.E.; Pérez-Berúmen, C.M.; Cadenas-Pliego, G.; Rodríguez-Hernández, M.T.; Collins, S.; Pérez-Camacho, O. Evaluation of catalyst leaching in silica supported zirconocene alumino hydride catalysts. Can. J. Chem. Eng. 2017, 95, 1124–1132. [Google Scholar] [CrossRef]
- Padilla-Gutiérrez, B.; Ventura-Hunter, C.; García-Zamora, M.; Collins, S.; Estrada-Ramírez, A.N.; Pérez-Camacho, O. Zirconocene Aluminohydride-Methylaluminoxane Clathrates for Ethylene Polymerization in Slurry. Macromol. Symp. 2017, 374, 1600139. [Google Scholar] [CrossRef]
Disclaimer/Publisher’s Note: The statements, opinions and data contained in all publications are solely those of the individual author(s) and contributor(s) and not of MDPI and/or the editor(s). MDPI and/or the editor(s) disclaim responsibility for any injury to people or property resulting from any ideas, methods, instructions or products referred to in the content. |
© 2024 by the authors. Licensee MDPI, Basel, Switzerland. This article is an open access article distributed under the terms and conditions of the Creative Commons Attribution (CC BY) license (https://creativecommons.org/licenses/by/4.0/).



































































