Surfactant-Assisted Regulation of WS2/Tourmaline Microstructures for Excellent Photocatalytic Performance
Abstract
1. Introduction
2. Results and Discussion
| Material | Catalyst Loading | RhB Concentration | Degradation Rate | Ref. |
|---|---|---|---|---|
| WS2 | 10 mg | 100 mL of 10 mg/L | 65.7% | [29] |
| WS2/BiOCl | 20 mg | 100 mL of 20 mg/L | 80.1% | [30] |
| WS2/TiO2 | 20 mg | 100 mL of 20 mg/L | 86.1% | [31] |
| WS2/AgI | 50 mg | 150 mL of 10 mg/L | 91.2% | [32] |
| WS2/MoS2 | 50 mg | 50 mL of 10 mg/L | 93% | [33] |
| WS2/Bi2MoO6 | 50 mg | 50 mL of 10 mg/L | 95% | [34] |
| WS2/Tour-SDBS | 20 mg | 100 mL of 20 mg/L | 91.1% | This study |
3. Experimental
3.1. Materials
3.2. Preparation of WS2/Tourmaline Composites
3.3. Characterization
3.4. Photocatalytic Tests
4. Conclusions
Author Contributions
Funding
Institutional Review Board Statement
Informed Consent Statement
Data Availability Statement
Conflicts of Interest
References
- Das, R.; Vecitis, C.D.; Schulze, A.; Cao, B.; Ismail, A.F.; Lu, X.; Chen, J.; Ramakrishna, S. Recent Advances in Nanomaterials for Water Protection and Monitoring. Chem. Soc. Rev. 2017, 46, 6946–7020. [Google Scholar] [CrossRef] [PubMed]
- Ismail, P.M.; Ali, S.; Raziq, F.; Bououdina, M.; Abu-Farsakh, H.; Xia, P.; Wu, X.; Xiao, H.; Ali, S.; Qiao, L. Stable and Robust Single Transition Metal Atom Catalyst for CO2 Reduction Supported on Defective WS2. Appl. Surf. Sci. 2023, 624, 157073. [Google Scholar] [CrossRef]
- Bao, L.; Ren, X.; Liu, C.; Liu, X.; Dai, C.; Yang, Y.; Bououdina, M.; Ali, S.; Zeng, C. Modulating the Doping State of Transition Metal Ions in ZnS for Enhanced Photocatalytic Activity. Chem. Commun. 2023, 59, 11280–11283. [Google Scholar] [CrossRef] [PubMed]
- Akpan, U.G.; Hameed, B.H. Parameters Affecting the Photocatalytic Degradation of Dyes Using TiO2-Based Photocatalysts: A Review. J. Hazard. Mater. 2009, 170, 520–529. [Google Scholar] [CrossRef] [PubMed]
- Zhang, D.; Liu, T.; Cheng, J.; Liang, S.; Chai, J.; Yang, X.; Wang, H.; Zheng, G.; Cao, M. Controllable Synthesis and Characterization of Tungsten Disulfide Nanosheets as Promising Nanomaterials for Electronic Devices. Ceram. Int. 2019, 45, 12443–12448. [Google Scholar] [CrossRef]
- Chen, L.; Arshad, M.; Chuang, Y.; Hong, Y.-L.; Nguyen, T.-B.; Wu, C.-H.; Chen, C.-W.; Dong, C.-D. Facile Fabrication of Efficient Tungsten Disulfide Nanoparticles for Enhanced Photocatalytic Removal of Tetracycline (TC) and Pb (II) Photoreduction. Colloids Surf. A Physicochem. Eng. Asp. 2023, 662, 131004. [Google Scholar] [CrossRef]
- Fatima, T.; Husain, S.; Narang, J.; Khanuja, M.; Shetti, N.P.; Reddy, K.R. Novel Tungsten Disulfide (WS2) Nanosheets for Photocatalytic Degradation and Electrochemical Detection of Pharmaceutical Pollutants. J. Water Process Eng. 2022, 47, 102717. [Google Scholar] [CrossRef]
- Zhao, X.; Ma, X.; Sun, J.; Li, D.; Yang, X. Enhanced Catalytic Activities of Surfactant-Assisted Exfoliated WS2 Nanodots for Hydrogen Evolution. ACS Nano 2016, 10, 2159–2166. [Google Scholar] [CrossRef]
- Cheng, L.; Huang, W.; Gong, Q.; Liu, C.; Liu, Z.; Li, Y.; Dai, H. Ultrathin WS2 Nanoflakes as a High-Performance Electrocatalyst for the Hydrogen Evolution Reaction. Angew. Chem. Int. Ed. 2014, 53, 7860–7863. [Google Scholar] [CrossRef]
- Li, L.; Yan, Y.; Liu, H.; Du, J.; Fu, S.; Zhao, F.; Xu, S.-M.; Zhou, J. Hollow Core/Shell β-Bi2O3@WS2 p–n Heterojunction for Efficient Photocatalytic Degradation of Fluoroquinolones: A Theoretical and Experimental Study. Inorg. Chem. Front. 2020, 7, 1374–1385. [Google Scholar] [CrossRef]
- Tang, H.; Pasko, S.; Krotkus, S.; Anders, T.; Wockel, C.; Mischke, J.; Wang, X.; Conran, B.; McAleese, C.; Teo, K.; et al. Nucleation and Coalescence of Tungsten Disulfide Layers Grown by Metalorganic Chemical Vapor Deposition. J. Cryst. Growth 2023, 608, 127111. [Google Scholar] [CrossRef]
- Pam, M.E.; Huang, S.; Fan, S.; Geng, D.; Kong, D.; Chen, S.; Ding, M.; Guo, L.; Ang, L.K.; Yang, H.Y. Interface Engineering by Atomically Thin Layer Tungsten Disulfide Catalyst for High Performance Li–S battery. Mater. Today Energy 2020, 16, 100380. [Google Scholar] [CrossRef]
- Munawar, T.; Shahid Nadeem, M.; Mukhtar, F.; Manzoor, S.; Naeem Ashiq, M.; Iqbal, F. Surfactant-Assisted Facile Synthesis of Petal-Nanoparticle Interconnected Nanoflower Like NiO Nanostructure for Supercapacitor Electrodes Material. Mater. Sci. Eng. B 2022, 284, 115900. [Google Scholar] [CrossRef]
- Sade, H.; Lellouche, J.-P. Preparation and Characterization of WS2@SiO2 and WS2@PANI Core-Shell Nanocomposites. Nanomaterials 2018, 8, 156. [Google Scholar] [CrossRef] [PubMed]
- Li, J.; Xu, J.; Xu, M.; Guan, T.; Xia, Z.; Jiang, L.; Tan, C.; Zuo, J. Synthesis of ZnTiO3/Tourmaline/Ni Foam Catalyst and Enhanced Photocatalytic Performance. Arab. J. Chem. 2022, 16, 104436. [Google Scholar] [CrossRef]
- Zhang, H.; Lv, A.; Liang, J.; Meng, J. The Preparation of TiO2 Composite Materials Modified with Ce and Tourmaline and the Study of Their Photocatalytic Activity. RSC Adv. 2015, 5, 55704–55712. [Google Scholar] [CrossRef]
- Wang, D.; Xu, H.; Ma, J.; Lu, X.; Qi, J.; Song, S. Strong Promoted Catalytic Ozonation of Atrazine at Low Temperature Using Tourmaline as Catalyst: Influencing Factors, Reaction Mechanisms and Pathways. Chem. Eng. J. 2018, 354, 113–125. [Google Scholar] [CrossRef]
- Luo, G.; Chen, A.; Zhu, M.; Zhao, K.; Zhang, X.; Hu, S. Improving the Electrocatalytic Performance of Pd for Formic Acid Electrooxidation by Introducing Tourmaline. Electrochim. Acta 2020, 360, 137023. [Google Scholar] [CrossRef]
- Ashraf, W.; Fatima, T.; Srivastava, K.; Khanuja, M. Superior Photocatalytic Activity of Tungsten Disulfide Nanostructures: Role of Morphology and Defects. Appl. Nanosci. 2019, 9, 1515–1529. [Google Scholar] [CrossRef]
- Roniboss, A.; Subramani, A.K.; Ramamoorthy, R.K.; Yuvaraj, S.; Sundararajan, M.; Dash, C.S. Investigation of Structural, Optical and Magnetic Behavior of MAl2O4 (M = Zn and Co) Nanoparticles via Microwave Combustion Technique. Mater. Sci. Semicond. Process. 2020, 123, 105507. [Google Scholar] [CrossRef]
- Kumar, G.P.; Phani, A.R.; Prasad, R.G.S.V.; Sanganal, J.S.; Manali, N.; Gupta, R.; Rashmi, N.; Prabhakara, G.S.; Salins, C.P.; Sandeep, K.; et al. Polyvinylpyrrolidone Oral Films of Enrofloxacin: Film Characterization and Drug Release. Int. J. Pharm. 2014, 471, 146–152. [Google Scholar] [CrossRef] [PubMed]
- Wang, Q.-Q.; Lin, B.-Z.; Xu, B.-H.; Li, X.-L.; Chen, Z.-J.; Pian, X.-T. Preparation and Photocatalytic Properties of Mesoporous SnO2–Hexaniobate Layered Nanocomposite. Microporous Mesoporous Mater. 2010, 130, 344–351. [Google Scholar] [CrossRef]
- Zhang, H.; Hu, C. Effective Solar Absorption and Radial Microchannels of SnO2 Hierarchical Structure for High Photocatalytic Activity. Catal. Commun. 2011, 14, 32–36. [Google Scholar] [CrossRef]
- Ordóñez, F.; Chejne, F.; Pabón, E.; Cacua, K. Synthesis of ZrO2 Nanoparticles and Effect of Surfactant on Dispersion and Stability. Ceram. Int. 2020, 46, 11970–11977. [Google Scholar] [CrossRef]
- Duan, M.; Ding, Z.; Wang, H.; Xiong, Y.; Fang, S.; Shi, P.; Liu, S. Evolution of Oil/Water Interface in the Presence of SDBS Detected by Dual Polarization Interferometry. Appl. Surf. Sci. 2018, 427, 917–926. [Google Scholar] [CrossRef]
- Hu, J.-Q.; Chen, Q.; Xie, Z.-X.; Han, G.-B.; Wang, R.-H.; Ren, B.; Zhang, Y.; Yang, Z.-L.; Tian, Z.-Q. A Simple and Effective Route for the Synthesis of Crystalline Silver Nanorods and Nanowires. Adv. Funct. Mater. 2004, 14, 183–189. [Google Scholar] [CrossRef]
- Wang, X.; Cheng, Y.; Qiao, X.; Zhang, D.; Xia, Y.; Fan, J.; Huang, C.; Yang, S. High-Loading and High-Performance NiMn Layered Double Hydroxide Nanosheets Supported on Nickel Foam for Supercapacitor via Sodium Dodecyl Sulfonate Intercalation. J. Energy Storage 2022, 52, 104834. [Google Scholar] [CrossRef]
- Liu, K.; Tong, Z.; Muhammad, Y.; Huang, G.; Zhang, H.; Wang, Z.; Zhu, Y.; Tang, R. Synthesis of Sodium Dodecyl Sulfate Modified BiOBr/Magnetic Bentonite Photocatalyst with Three-Dimensional Parterre Like Structure for the Enhanced Photodegradation of Tetracycline and Ciprofloxacin. Chem. Eng. J. 2020, 388, 124374. [Google Scholar] [CrossRef]
- Li, S.; Zhao, Z.; Yu, D.; Zhao, J.-Z.; Su, Y.; Liu, Y.; Lin, Y.; Liu, W.; Xu, H.; Zhang, Z. Few-layer transition metal dichalcogenides (MoS2, WS2, and WSe2) for water splitting and degradation of organic pollutants: Understanding the piezocatalytic effect. Nano Energy 2019, 66, 104083. [Google Scholar] [CrossRef]
- Xiao, P.; Lou, J.; Zhang, H.; Song, W.; Wu, X.-L.; Lin, H.; Chen, J.; Liu, S.; Wang, X. Enhanced Visible-Light-Driven Photocatalysis from WS2 Quantum Dots Coupled to BiOCl Nanosheets: Synergistic Effect and Mechanism Insight. Catal. Sci. Technol. 2018, 8, 201–209. [Google Scholar] [CrossRef]
- Wu, Y.; Liu, Z.; Li, Y.; Chen, J.; Zhu, X.; Na, P. WS2 Nanodots-Modified TiO2 Nanotubes to Enhance Visible-Light Photocatalytic Activity. Mater. Lett. 2019, 240, 47–50. [Google Scholar] [CrossRef]
- Wu, X.-F.; Li, H.; Zhang, Y.; Zhang, J.-R.; Su, J.-Z.; Feng, Y.-M.; Zhang, W.-G.; Sun, L.-S.; Sun, X.-G. Synthesis of AgI/WS2 Hybrids as a Novel Photocatalyst with Efficient Degradation of Rhodamine B. Micro Nano Lett. 2019, 14, 173–177. [Google Scholar] [CrossRef]
- Luo, S.; Dong, S.; Lu, C.; Yu, C.; Ou, Y.; Luo, L.; Sun, J.; Sun, J. Rational and Green Synthesis of Novel Two-Dimensional WS2/MoS2 Heterojunction via Direct Exfoliation in Ethanol-Water Targeting Advanced Visible-Light-Responsive Photocatalytic Performance. J. Colloid Interface Sci. 2018, 513, 389–399. [Google Scholar] [CrossRef] [PubMed]
- Gao, J.; Liu, C.; Wang, F.; Jia, L.; Duan, K.; Liu, T. Facile Synthesis of Heterostructured WS2/Bi2MoO6 as High-Performance Visible-Light-Driven Photocatalysts. Nanoscale Res. Lett. 2017, 12, 377. [Google Scholar] [CrossRef] [PubMed]
- Chen, Y.; Wang, S.; Li, Y.; Liu, Y.; Chen, Y.; Wu, Y.; Zhang, J.; Li, H.; Peng, Z.; Xu, R.; et al. Adsorption of Pb(II) by tourmaline-montmorillonite composite in aqueous phase. J. Colloid Interface Sci. 2020, 575, 367–376. [Google Scholar] [CrossRef]
- Yu, C.; Tong, Z.; Li, S.; Yin, Y. Enhancing the photocatalytic activity of ZnO by using tourmaline. Mater. Lett. 2019, 240, 161–164. [Google Scholar] [CrossRef]
- Xu, H.; Zheng, Z.; Mao, G. Enhanced photocatalytic discoloration of acid fuchsine wastewater by TiO2/schorl composite catalyst. J. Hazard. Mater. 2010, 175, 658–665. [Google Scholar] [CrossRef]










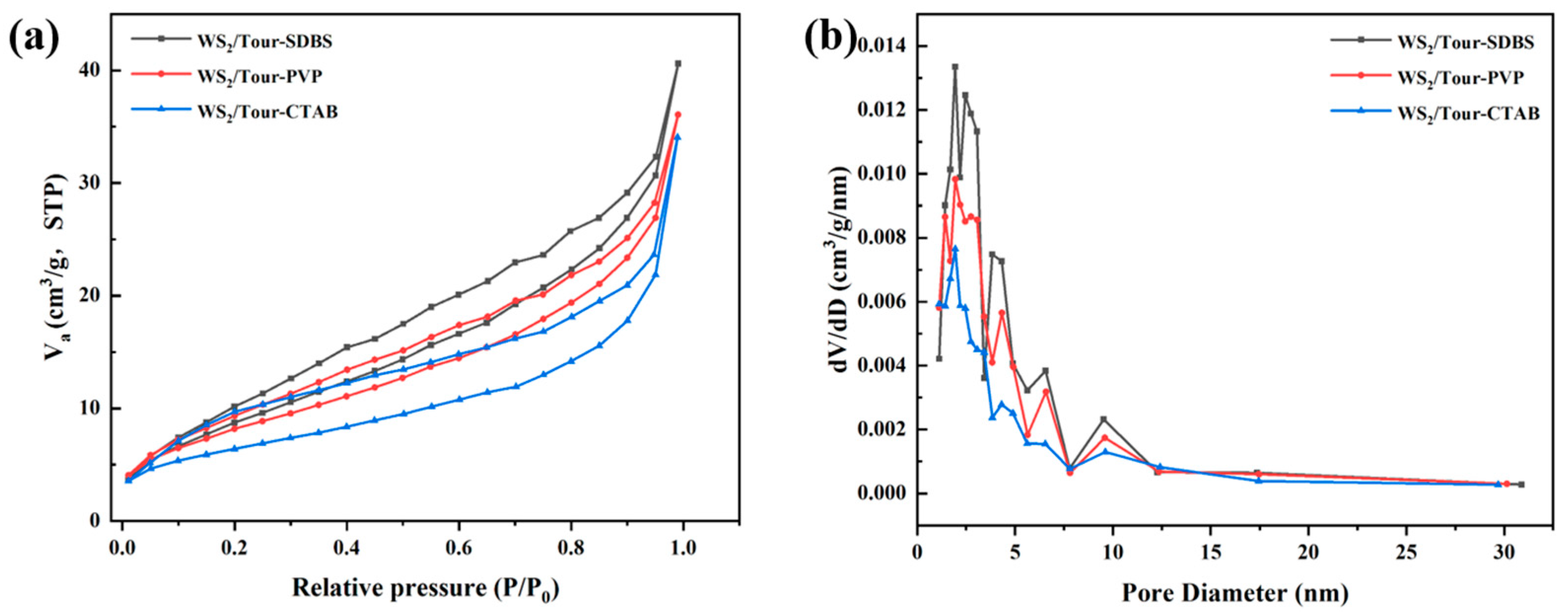
| Sample | Specific Surface Area (m2/g) | Average Pore Diameter (nm) | Total Pore Volume (cc/g) |
|---|---|---|---|
| WS2/Tour-SDBS | 32.657 | 7.689 | 0.063 |
| WS2/Tour-PVP | 30.016 | 7.451 | 0.056 |
| WS2/Tour-CTAB | 22.955 | 9.198 | 0.053 |
| 30 min | 60 min | 90 min | 120 min | 150 min | |
| WS2/Tour | 36.4% | 62.1% | 75.1% | 80.8% | 89.4% |
| WS2/Tour-SDBS | 41.2% | 74.2% | 81.0% | 84.2% | 91.1% |
| WS2/Tour-PVP | 7.6% | 18.2% | 24.2% | 29.3% | 39.6% |
| WS2/Tour-CTAB | 9.8% | 20.2% | 34.5% | 46.4% | 50.6% |
| 30 min | 60 min | 90 min | 120 min | 150 min | |
| 0.5 mmol/L | 23.5% | 49.8% | 64.1% | 73.8% | 76.4% |
| 1.0 mmol/L | 41.2% | 74.2% | 81.0% | 84.2% | 91.1% |
| 1.5 mmol/L | 26.3% | 54.7% | 70.5% | 78.2% | 83.3% |
| 2.0 mmol/L | 14.2% | 42.1% | 56.2% | 68.5% | 72.7% |
Disclaimer/Publisher’s Note: The statements, opinions and data contained in all publications are solely those of the individual author(s) and contributor(s) and not of MDPI and/or the editor(s). MDPI and/or the editor(s) disclaim responsibility for any injury to people or property resulting from any ideas, methods, instructions or products referred to in the content. |
© 2024 by the authors. Licensee MDPI, Basel, Switzerland. This article is an open access article distributed under the terms and conditions of the Creative Commons Attribution (CC BY) license (https://creativecommons.org/licenses/by/4.0/).
Share and Cite
Wang, X.; Cui, K.; Zhao, Y.; Hao, M.; Bian, L.; Wang, M.; Wang, F. Surfactant-Assisted Regulation of WS2/Tourmaline Microstructures for Excellent Photocatalytic Performance. Molecules 2024, 29, 4555. https://doi.org/10.3390/molecules29194555
Wang X, Cui K, Zhao Y, Hao M, Bian L, Wang M, Wang F. Surfactant-Assisted Regulation of WS2/Tourmaline Microstructures for Excellent Photocatalytic Performance. Molecules. 2024; 29(19):4555. https://doi.org/10.3390/molecules29194555
Chicago/Turabian StyleWang, Xianku, Kaibin Cui, Yuqin Zhao, Ming Hao, Liang Bian, Mingming Wang, and Fei Wang. 2024. "Surfactant-Assisted Regulation of WS2/Tourmaline Microstructures for Excellent Photocatalytic Performance" Molecules 29, no. 19: 4555. https://doi.org/10.3390/molecules29194555
APA StyleWang, X., Cui, K., Zhao, Y., Hao, M., Bian, L., Wang, M., & Wang, F. (2024). Surfactant-Assisted Regulation of WS2/Tourmaline Microstructures for Excellent Photocatalytic Performance. Molecules, 29(19), 4555. https://doi.org/10.3390/molecules29194555
