Cross-Linked Starch as Media for Crystal Violet Elimination from Water: Modeling Batch Adsorption with Fuzzy Regression
Abstract
1. Introduction
2. Results and Discussion
2.1. Sorbent Characteristics
2.2. Evaluation of Effective Adsorption Parameters
2.2.1. Impact of pH
2.2.2. Impact of Contact Time
2.2.3. Impact of Dye Initial Concentration
2.2.4. Impact of Adsorbent Dose
2.2.5. Impact of Temperature
2.3. Possible Mechanism
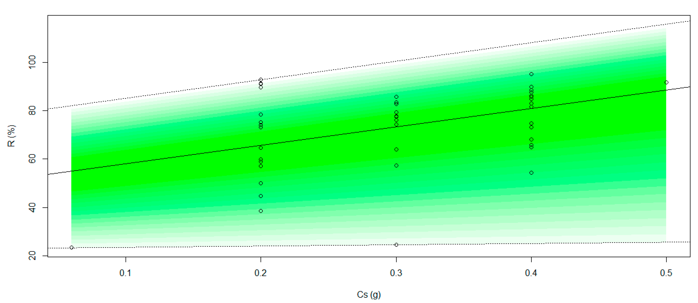
2.4. Fuzzy Regression Results
3. Materials and Methods
3.1. Preparation of Adsorbent
3.2. Analytical Techniques
3.3. Pollutant
3.4. Adsorption Test
3.5. Fuzzy Regression Modeling
4. Conclusions
Author Contributions
Funding
Institutional Review Board Statement
Informed Consent Statement
Data Availability Statement
Conflicts of Interest
References
- Mulla, B.; Ioannou, K.; Kotanidis, G.; Ioannidis, I.; Constantinides, G.; Baker, M.; Hinder, S.; Mitterer, C.; Pashalidis, I.; Kostoglou, N.; et al. Removal of Crystal Violet Dye from Aqueous Solutions through Adsorption onto Activated Carbon Fabrics. C 2024, 10, 19. [Google Scholar] [CrossRef]
- Amiri, M.J.; Raayatpisheh, M.; Radi, M.; Amiri, S. Preparation and characterization of biopolymer-based adsorbents and their application for methylene blue removal from wastewater. Sci. Rep. 2023, 13, 17263. [Google Scholar] [CrossRef]
- Mittal, H.; Al Alili, A.; Morajkar, P.P.; Alhassan, S.M. Graphene oxide crosslinked hydrogel nanocomposites of xanthan gum for the adsorption of crystal violet dye. J. Mol. Liq. 2021, 323, 115034. [Google Scholar] [CrossRef]
- Tan, Q.; Jia, X.; Dai, R.; Chang, H.; Woo, M.W.; Chen, H. Synthesis of a novel magnetically recyclable starch-based adsorbent for efficient adsorption of crystal violet dye. Sep. Purif. Technol. 2023, 320, 124157. [Google Scholar] [CrossRef]
- Amiri, M.J.; Faraji, A.; Azizi, M.; Goudarzi Nejad, B.; Arshadi, M. Recycling bone waste and cobalt-wastewater into a highly stable and efficient activator of peroxymonosulfate for dye and HEPES degradation. Process Saf. Environ. Prot. 2021, 147, 626–641. [Google Scholar] [CrossRef]
- Alsukaibi, A.K.D. Various Approaches for the Detoxification of Toxic Dyes in Wastewater. Processes 2022, 10, 1968. [Google Scholar] [CrossRef]
- Yaseen, D.A.; Scholz, M. Textile dye wastewater characteristics and constituents of synthetic effluents: A critical review. Int. J. Environ. Sci. Technol. 2019, 16, 1193–1226. [Google Scholar] [CrossRef]
- Akdemir, M.; Isik, B.; Cakar, F.; Cankurtaran, O. Comparison of the adsorption efficiency of cationic (Crystal Violet) and anionic (Congo Red) dyes on Valeriana officinalis roots: Isotherms, kinetics, thermodynamic studies, and error functions. Mater. Chem. Phys. 2022, 291, 126763. [Google Scholar] [CrossRef]
- Kyi, P.P.; Quansah, J.O.; Lee, C.-G.; Moon, J.-K.; Park, S.-J. The Removal of Crystal Violet from Textile Wastewater Using Palm Kernel Shell-Derived Biochar. Appl. Sci. 2020, 10, 2251. [Google Scholar] [CrossRef]
- Kumbhar, P.; Narale, D.; Bhosale, R.; Jambhale, C.; Kim, J.; Kolekar, S. Synthesis of tea waste/Fe3O4 magnetic composite (TWMC) for efficient adsorption of crystal violet dye: Isotherm, kinetic and thermodynamic studies. J. Environ. Chem. Eng. 2022, 10, 107893. [Google Scholar] [CrossRef]
- Ganea, I.-V.; Nan, A.; Baciu, C.; Turcu, R. Effective Removal of Crystal Violet Dye Using Neoteric Magnetic Nanostructures Based on Functionalized Poly(Benzofuran-co-Arylacetic Acid): Investigation of the Adsorption Behaviour and Reusability. Nanomaterials 2021, 11, 679. [Google Scholar] [CrossRef]
- Yassin, M.T.; Al-Otibi, F.O.; Al-Askar, A.A. Photocatalytic Removal of Crystal Violet Dye Utilizing Greenly Synthesized Iron Oxide Nanoparticles. Separations 2023, 10, 513. [Google Scholar] [CrossRef]
- Campos, A.M.; Riaño, P.F.; Lugo, D.L.; Barriga, J.A.; Celis, C.A.; Moreno, S.; Pérez, A. Degradation of Crystal Violet by Catalytic Wet Peroxide Oxidation (CWPO) with Mixed Mn/Cu Oxides. Catalysts 2019, 9, 530. [Google Scholar] [CrossRef]
- El Brychy, R.; Rguiti, M.M.; Rhazzane, N.; Mellaoui, M.D.; Abbiche, K.; Abali, M.; Bazzi, L.; Hilali, M.; El Issami, S.; Groenen-Serrano, K.; et al. Electrochemical Degradation of Crystal Violet Using Ti/Pt/SnO2 Electrode. Appl. Sci. 2021, 11, 8401. [Google Scholar] [CrossRef]
- Zhang, Z.; Chen, F.; Liu, R.; Sun, C.; Fan, H. Crystal violet degradation in the ozone/persulfate/ferroferric oxide system: A heterogeneous catalytic process for simultaneous catalysis of ozone and persulfate. J. Clean. Prod. 2024, 434, 139937. [Google Scholar] [CrossRef]
- Mansor, E.S.; Abdallah, H.; Shaban, A.M. Fabrication of high selectivity blend membranes based on poly vinyl alcohol for crystal violet dye removal. J. Environ. Chem. Eng. 2020, 8, 103706. [Google Scholar] [CrossRef]
- Mecheri, R.; Zobeidi, A.; Atia, S.; Neghmouche Nacer, S.; Salih, A.A.M.; Benaissa, M.; Ghernaout, D.; Arni, S.A.; Ghareba, S.; Elboughdiri, N. Modeling and Optimizing the Crystal Violet Dye Adsorption on Kaolinite Mixed with Cellulose Waste Red Bean Peels: Insights into the Kinetic, Isothermal, Thermodynamic, and Mechanistic Study. Materials 2023, 16, 4082. [Google Scholar] [CrossRef]
- Thamer, B.M.; Al-aizari, F.A.; Abdo, H.S. Activated Carbon-Incorporated Tragacanth Gum Hydrogel Biocomposite: A Promising Adsorbent for Crystal Violet Dye Removal from Aqueous Solutions. Gels 2023, 9, 959. [Google Scholar] [CrossRef]
- Mosoarca, G.; Vancea, C.; Popa, S.; Dan, M.; Boran, S. Crystal Violet Adsorption on Eco-Friendly Lignocellulosic Material Obtained from Motherwort (Leonurus cardiaca L.) Biomass. Polymers 2022, 14, 3825. [Google Scholar] [CrossRef]
- Alorabi, A.Q.; Hassan, M.S.; Alam, M.M.; Zabin, S.A.; Alsenani, N.I.; Baghdadi, N.E. Natural Clay as a Low-Cost Adsorbent for Crystal Violet Dye Removal and Antimicrobial Activity. Nanomaterials 2021, 11, 2789. [Google Scholar] [CrossRef] [PubMed]
- Algarni, T.S.; Al-Mohaimeed, A.M.; Al-Odayni, A.-B.; Abduh, N.A.Y. Activated Carbon/ZnFe2O4 Nanocomposite Adsorbent for Efficient Removal of Crystaal Violet Cationic Dye from Aqueous Solutions. Nanomaterials 2022, 12, 3224. [Google Scholar] [CrossRef]
- Gupta, A.D.; Rawat, K.P.; Bhadauria, V.; Singh, H. Recent trends in the application of modified starch in the adsorption of heavy metals from water: A review. Carbohydr. Polym. 2021, 269, 117763. [Google Scholar] [CrossRef]
- Le Corre, D.; Angellier-Coussy, H. Preparation and application of starch nanoparticles for nanocomposites: A review. React. Funct. Polym. 2014, 85, 97–120. [Google Scholar] [CrossRef]
- Alcázar-Alay, S.C.; Meireles, M.A. Physicochemical properties, modifications and applications of starches from different botanical sources. Food Sci. Technol. 2015, 35, 215–236. [Google Scholar] [CrossRef]
- Awokoya, K.N.; Oninla, V.O.; Bello, D.J. Synthesis of oxidized Dioscorea dumentorum starch nanoparticles for the adsorption of lead(II) and cadmium(II) ions from wastewater. Environ. Nanotechnol. Monit. Manag. 2021, 15, 100440. [Google Scholar] [CrossRef]
- Alvarado, N.; Abarca, R.L.; Urdaneta, J.; Romero, J.; Galotto, M.J.; Guarda, A. Cassava starch: Structural modification for development of a bio adsorber for aqueous pollutants. characterization and adsorption studies on methylene blue. Polym. Bull. 2020, 78, 1087–1107. [Google Scholar] [CrossRef]
- Bahrami, M.; Amiri, M.J.; Bagheri, F. Optimization of the lead removal from aqueous solution using two starch based adsorbents: Design of experiments using response surface methodology (RSM). J. Environ. Chem. Eng. 2019, 7, 102793. [Google Scholar] [CrossRef]
- Yeamin, M.B.; Islam, M.M.; Chowdhury, A.-N.; Awual, M.R. Efficient encapsulation of toxic dyes from wastewater using several biodegradable natural polymers and their composites. J. Clean. Prod. 2021, 291, 125920. [Google Scholar] [CrossRef]
- Bodjrenou, D.M.; Huang, Z.; Liu, T.; Zheng, B.; Zeng, H. Effects of crosslinking with sodium trimetaphosphate on structural, physicochemical, rheological and in vitro digestibility properties of purple sweet potato starch. Food Res. Int. 2023, 173, 113427. [Google Scholar] [CrossRef]
- Gao, F.; Li, D.; Bi, C.-H.; Mao, Z.-H.; Adhikari, B. Preparation and characterization of starch crosslinked with sodium trimetaphosphate and hydrolyzed by enzymes. Carbohydr. Polym. 2014, 103, 310–318. [Google Scholar] [CrossRef]
- Amiri, M.J.; Roohi, R.; Gil, A. Numerical simulation of Cd(II) removal by ostrich bone ash supported nanoscale zero-valent iron in a fixed-bed column system: Utilization of unsteady advection-dispersion-adsorption equation. J. Water Proc. Eng. 2018, 25, 1–14. [Google Scholar] [CrossRef]
- Bahrami, M.; Amiri, M.J.; Mahmoudi, M.R.; Zare, A. Statistical and Mathematical Modeling for Predicting Caffeine Removal from Aqueous Media by Rice Husk-Derived Activated Carbon. Sustainability 2023, 15, 7366. [Google Scholar] [CrossRef]
- Bahrami, M.; Amiri, M.J.; Rajabi, S.; Mahmoudi, M.R. The removal of methylene blue from aqueous solutions by polyethylene microplastics: Modeling batch adsorption using random forest regression. Alex. Eng. J. 2024, 95, 101–113. [Google Scholar] [CrossRef]
- Ghaedi, M.; Hosaininia, R.; Ghaedi, A.M.; Vafaei, A.; Taghizadeh, F. Adaptive neuro-fuzzy inference system model for adsorption of 1, 3, 4-thiadiazole-2, 5-dithiol onto gold nanoparticales-activated carbon. Spectrochim. Acta A Mol. Biomol. Spectrosc. 2014, 131, 606–614. [Google Scholar] [CrossRef]
- Heo, H.; Lee, Y.K.; Chang, Y.H. Effect of cross-linking on physicochemical and in vitro digestibility properties of potato starch. EJFA 2017, 5, 463–469. [Google Scholar] [CrossRef]
- Rojas, J.; Suarez, D.; Moreno, A.; Silva-Agredo, J.; Torres-Palma, R. Kinetics, Isotherms and Thermodynamic Modeling of Liquid Phase Adsorption of Crystal Violet Dye onto Shrimp-Waste in Its Raw, Pyrolyzed Material and Activated Charcoals. Appl. Sci. 2019, 9, 5337. [Google Scholar] [CrossRef]
- Parisi, F. Adsorption and separation of crystal violet, cerium (III) and lead (II) by means of a multi-step strategy based on k10-montmorillonite. Minerals 2020, 10, 466. [Google Scholar] [CrossRef]
- Hameed, B.H.; Ahmad, A.L.; Latiff, K.N. Adsorption of basic dye (methylene blue) onto activated carbon prepared from rattan sawdust. Dyes Pigm. 2007, 75, 143–149. [Google Scholar] [CrossRef]
- Madduri, S.; Elsayed, I. Novel oxone treated hydrochar for the removal of Pb (II) and methylene blue (MB) dye from aqueous solutions. Chemosphere 2020, 260, 127683. [Google Scholar] [CrossRef]
- Djelloul, C.; Hasseine, A.; Hamdaoui, O. Adsorption of cationic dye from aqueous solution by milk thistle seeds: Isotherm, kinetic and thermodynamic studies. Desalin. Water Treat. 2017, 78, 313–320. [Google Scholar] [CrossRef]
- Wei, H.; Ma, J.; Shi, Y.; Cui, D.; Liu, M.; Lu, N.; Wang, N.; Wu, T.; Wujcik, E.K.; Guo, Z. Sustainable cross-linked porous corn starch adsorbents with high methyl violet adsorption. ES Mater. Manuf. 2018, 2, 28–34. [Google Scholar] [CrossRef]
- Anombogo, G.A.; Măicăneanu, A.N.; Mbah, J.B.; Ndjeumi, C.C.; Cotet, C.; Kamga, R. Physico-chemical properties and crystal violet adsorption performances of H3PO4-modified mango seeds kernel. Stud. UBB Chem. 2016, 3, 195–214. [Google Scholar]
- Hesamian, G.; Torkian, F.; Johannssen, A.; Chukhrova, N. A fuzzy nonparametric regression model based on an extended center and range method. J. Comput. Appl. Math. 2024, 15, 115377. [Google Scholar] [CrossRef]
- Asai, H.T.; Tanaka, S.; Uegima, K. Linear regression analysis with fuzzy model. IEEE Trans. Syst. Man. Cybern. 1982, 12, 903–907. [Google Scholar] [CrossRef]
















| b | Std | t | p. Value | R2 |
|---|---|---|---|---|
| 0.9984 | 0.01672 | 0.09885 | 0.921 | 0.985 |
Disclaimer/Publisher’s Note: The statements, opinions and data contained in all publications are solely those of the individual author(s) and contributor(s) and not of MDPI and/or the editor(s). MDPI and/or the editor(s) disclaim responsibility for any injury to people or property resulting from any ideas, methods, instructions or products referred to in the content. |
© 2024 by the authors. Licensee MDPI, Basel, Switzerland. This article is an open access article distributed under the terms and conditions of the Creative Commons Attribution (CC BY) license (https://creativecommons.org/licenses/by/4.0/).
Share and Cite
Bahrami, M.; Amiri, M.J.; Busquets, R.; Nematollahi, M.J. Cross-Linked Starch as Media for Crystal Violet Elimination from Water: Modeling Batch Adsorption with Fuzzy Regression. Molecules 2024, 29, 3894. https://doi.org/10.3390/molecules29163894
Bahrami M, Amiri MJ, Busquets R, Nematollahi MJ. Cross-Linked Starch as Media for Crystal Violet Elimination from Water: Modeling Batch Adsorption with Fuzzy Regression. Molecules. 2024; 29(16):3894. https://doi.org/10.3390/molecules29163894
Chicago/Turabian StyleBahrami, Mehdi, Mohammad Javad Amiri, Rosa Busquets, and Mohammad Javad Nematollahi. 2024. "Cross-Linked Starch as Media for Crystal Violet Elimination from Water: Modeling Batch Adsorption with Fuzzy Regression" Molecules 29, no. 16: 3894. https://doi.org/10.3390/molecules29163894
APA StyleBahrami, M., Amiri, M. J., Busquets, R., & Nematollahi, M. J. (2024). Cross-Linked Starch as Media for Crystal Violet Elimination from Water: Modeling Batch Adsorption with Fuzzy Regression. Molecules, 29(16), 3894. https://doi.org/10.3390/molecules29163894

