Palladium-Catalyzed Tsuji–Trost-Type Reaction of 3-Indolylmethylacetates with O, and S Soft Nucleophiles
Abstract
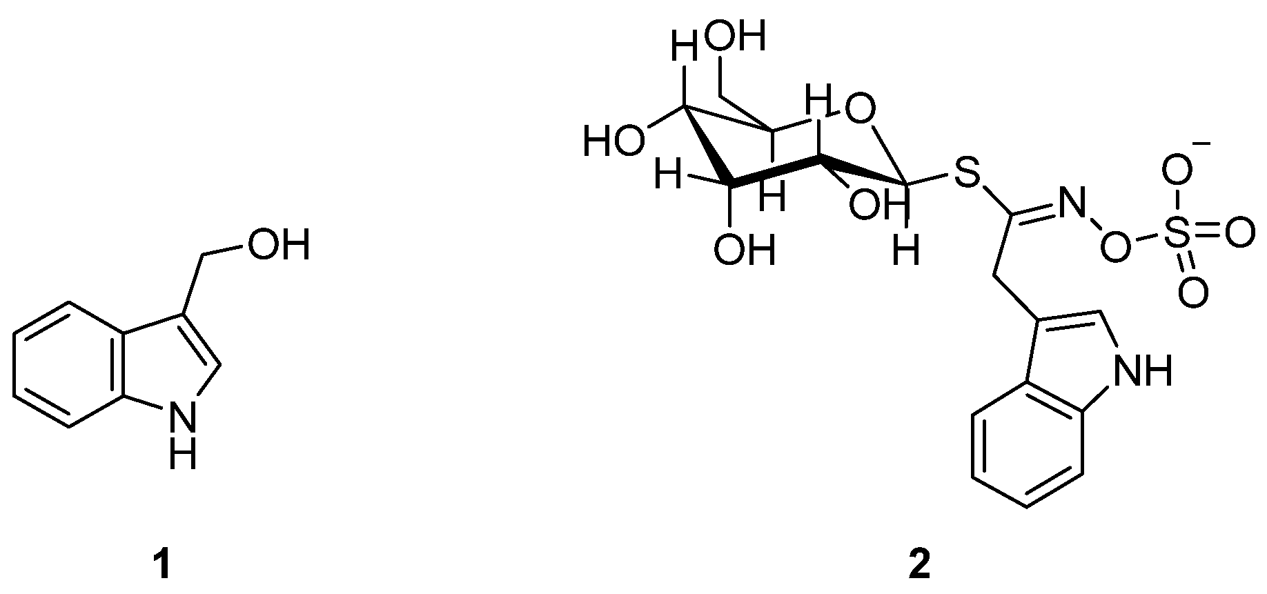
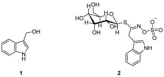
1. Introduction
- in situ generation under acidic or basic reaction conditions of highly unstable and reactive transient indole methides followed by the regioselective conjugated addition of nucleophiles [18,19]. This approach has been strictly correlated to in situ aza-o-QMs generation/nucleophile Michael-type [20,21];
- Tsuji–Trost-type reaction. Indeed, analogous to electrophilic systems of heteroaromatics with extended π conjugation featuring carboxylate and carbonate leaving groups, activated carbinols can generate π-(η3 indolyl)–palladium electrophilic intermediates in the presence of Pd(0) in equilibrium with cationic π-(η1-indolyl)-palladium complexes [22].
2. Results
3. Discussion
4. Conclusions
5. Materials and Methods
5.1. General Information
5.2. General Experimental Procedures
5.2.1. Typical Procedure for the Preparation of 1-Substituted 3-(aryloxymethyl)-1H-indole 4: 3-((4-methoxyphenoxy)methyl)-1-tosyl-1H-indole 4aa
5.2.2. Typical Procedure for the Preparation of 1-tosyl 3-((arylsulfonyl)methyl)-1-tosyl-1H-indole 9: Synthesis of 1-tosyl-3-(tosylmethyl)-1H-indole 9aa
5.3. Characterization Data of Synthesized Compounds
Characterization Data of Final Compounds 4aa–ed and 9aa–gb
Supplementary Materials
Author Contributions
Funding
Institutional Review Board Statement
Informed Consent Statement
Data Availability Statement
Acknowledgments
Conflicts of Interest
References
- Atanasov, A.G.; Zotchev, S.B.; Dirsch, V.M.; Supuran, C.T. Natural products in drug discovery: Advances and opportunities. Nat. Rev. Drug Discov. 2021, 20, 200–216. [Google Scholar] [CrossRef] [PubMed]
- Ding, Y.; Xue, X. Medicinal Chemistry Strategies for the Modification of Bioactive Natural Products. Molecules 2024, 29, 689. [Google Scholar] [CrossRef] [PubMed]
- Umer, S.M.; Solangi, M.; Khan, K.M.; Saleem, R.S.Z. Indole-Containing Natural Products 2019–2022: Isolations, Reappraisals, Syntheses, and Biological Activities. Molecules 2022, 27, 7586. [Google Scholar] [CrossRef]
- Weng, J.-R.; Tsai, C.-H.; Kulp, S.K.; Chen, C.-S. Indole-3-carbinol as a chemopreventive and anti-cancer agent. Cancer Lett. 2008, 262, 153–163. [Google Scholar] [CrossRef]
- Fuentes, F.; Paredes-Gonzalez, X.; Kong, A.-N.T. Dietary Glucosinolates Sulforaphane, Phenethyl Isothiocyanate, Indole-3-Carbinol/3,3′-Diindolylmethane: Antioxidative Stress/Inflammation, Nrf2, Epigenetics/Epigenomics and In Vivo Cancer Chemopreventive Efficacy. Curr. Pharmacol. Rep. 2015, 1, 179–196. [Google Scholar] [CrossRef]
- Caruso, J.A.; Campana, R.; Wei, C.; Su, C.-H.; Hanks, A.M.; Bornmann, W.G.; Keyomarsi, K. Indole-3-carbinol and its N-alkoxy derivatives preferentially target ERα-positive breast cancer cells. Cell Cycle 2014, 13, 2587–2599. [Google Scholar] [CrossRef] [PubMed]
- Cram, E.J.; Liu, B.D.; Bjeldanes, L.F.; Firestone, G.L. Indole-3-carbinol Inhibits CDK6 Expression in Human MCF-7 Breast Cancer Cells by Disrupting Sp1 Transcription Factor Interactions with a Composite Element in the CDK6 Gene Promoter. J. Biol. Chem. 2001, 26, 22332–22340. [Google Scholar] [CrossRef]
- Moiseeva, E.P.; Heukers, R. Indole-3-carbinol-induced modulation of NF-κB signalling is breast cancer cell-specific and does not correlate with cell death. Breast Cancer Res. Treat. 2008, 109, 451–462. [Google Scholar] [CrossRef][Green Version]
- Wang, X.; Zhang, L.; Dai, Q.; Si, H.; Zhang, L.; Eltom, S.E.; Si, H. Combined Luteolin and Indole-3-Carbinol Synergistically Constrains ERα-Positive Breast Cancer by Dual Inhibiting Estrogen Receptor Alpha and Cyclin-Dependent Kinase 4/6 Pathway in Cultured Cells and Xenograft Mice. Cancers 2021, 13, 2116. [Google Scholar] [CrossRef]
- Centofanti, F.; Buono, A.; Verboni, M.; Tomino, C.; Lucarini, S.; Duranti, A.; Pandolfi, P.P.; Novelli, G. Synthetic Methodologies and Therapeutic Potential of Indole-3-Carbinol (I3C) and Its Derivatives. Pharmaceuticals 2023, 16, 240. [Google Scholar] [CrossRef]
- Megna, B.W.; Carney, P.R.; Nukaya, M.; Geiger, P.; Kennedy, G.D. Indole-3-carbinol induces tumor cell death: Function follows form. J. Surg. Res. 2016, 204, 47–54. [Google Scholar] [CrossRef] [PubMed]
- Fadlalla, K.; Elgendy, R.; Gilbreath, E.; Pondugula, S.R.; Yehualaeshet, T.; Mansour, M.; Serbessa, T.; Manne, U.; Samuel, T. 3-(2-Bromoethyl)-Indole Inhibits the Growth of Cancer Cells and NF-KB Activation. Oncol. Rep. 2015, 34, 495–503. [Google Scholar] [CrossRef] [PubMed]
- Park, M.-K.; Rhee, Y.-H.; Lee, H.-J.; Lee, E.-O.; Kim, K.-H.; Park, M.-J.; Jeon, B.-H.; Shim, B.-S.; Jung, C.-H.; Choi, S.-H.; et al. Antiplatelet and antithrombotic activity of indole-3-carbinol in vitro and in vivo. Phytother. Res. 2008, 22, 58–64. [Google Scholar] [CrossRef]
- Kim, Y.S.; Milner, J.A. Targets for indole-3-carbinol in cancer prevention. J. Nutr. Biochem. 2005, 16, 65–73. [Google Scholar] [CrossRef] [PubMed]
- Mohammadi, S.; Seyedhosseini, F.S.; Behnampour, N.; Yazdani, Y. Indole-3-carbinol induces G1 cell cycle arrest and apoptosis through aryl hydrocarbon receptor in THP-1 monocytic cell line. J. Recept. Signal Transduct. 2017, 37, 506–514. [Google Scholar] [CrossRef]
- Mohammadi, S.; Memarian, A.; Sedighi, S.; Behnampour, N.; Yazdani, Y. Immunoregulatory effects of indole-3-carbinol on monocyte-derived macrophages in systemic lupus erythematosus: A crucial role for aryl hydrocarbon receptor. Autoimmunity 2018, 51, 199–209. [Google Scholar] [CrossRef] [PubMed]
- Weng, J.R.; Omar, H.A.; Kulp, S.K.; Chen, C.S. Pharmacological exploitation of indole-3-carbinol to develop potent antitumor agents. Mini Rev. Med. Chem. 2010, 10, 398–404. [Google Scholar] [CrossRef]
- Arcadi, A.; Berden, G.; Ciogli, A.; Corinti, D.; Crestoni, M.E.; De Angelis, M.; Fabrizi, G.; Goggiamani, A.; Iazzetti, A.; Marrone, F.; et al. Reactivity of Indolylmethylacetates with N, O, and S Soft Nucleophiles: Evidence of 2-Alkylideneindolenines and 3-Alkylideneindoleninium Generation by ESI-MS and IRMPD Spectroscopy. Eur. J. Org. Chem. 2022, 2022, e202201166. [Google Scholar] [CrossRef]
- Luparello, C.; Cruciata, I.; Joerger, A.C.; Ocasio, C.A.; Jones, R.; Tareque, R.K.; Bagley, M.C.; Spencer, J.; Walker, M.; Austin, C.; et al. Genotoxicity and Epigenotoxicity of Carbazole-Derived Molecules on MCF-7 Breast Cancer Cells. Int. J. Mol. Sci. 2021, 22, 3410. [Google Scholar] [CrossRef]
- Wang, Y.-F.; Wang, C.-J.; Feng, Q.-Z.; Zhai, J.-J.; Qi, S.-S.; Zhong, A.-G.; Chu, M.-M.; Xu, D.-Q. Copper-catalyzed asymmetric 1, 6-conjugate addition of in situ generated para-quinone methides with β-ketoesters. Chem. Commun. 2022, 58, 6653–6656. [Google Scholar] [CrossRef]
- Arcadi, A.; Calcaterra, A.; Fabrizi, G.; Fochetti, A.; Goggiamani, A.; Iazzetti, A.; Marrone, F.; Mazzoccanti, G.; Serraiocco, A. One-pot synthesis of dihydroquinolones by sequential reactions of o-aminobenzyl alcohol derivatives with Meldrum’s acids. Org. Biomol. Chem. 2022, 20, 3160–3173. [Google Scholar] [CrossRef] [PubMed]
- Primault, G.; Legros, J.-Y.; Fiaud, J.-C. Palladium-catalyzed benzylic-like nucleophilic substitution of benzofuran-, benzothiophene- and indole-based substrates by dimethyl malonate anion. J. Organomet. Chem. 2003, 687, 353–364. [Google Scholar] [CrossRef]
- Arcadi, A.; Aschi, M.; Chiarini, M.; Fabrizi, G.; Fochetti, A.; Goggiamani, A.; Iavarone, F.; Iazzetti, A.; Serraiocco, A.; Zoppoli, R. Experimental Results and Mechanistic Insights on the Reactions of Indolylmethyl Acetates with Soft Carbon Pronucleophiles. ACS Omega 2024, 9, 28450–28462. [Google Scholar] [CrossRef]
- Arcadi, A.; Calcaterra, A.; Chiarini, M.; Fabrizi, G.; Fochetti, A.; Goggiamani, A.; Iazzetti, A.; Marrone, F.; Marsicano, V.; Serraiocco, A. Synthesis of Indole/Benzofuran-Containing Diarylmethanes through Palladium-Catalyzed Reaction of Indolylmethyl or Benzofuranylmethyl Acetates with Boronic Acids. Synthesis 2021, 54, 741–753. [Google Scholar] [CrossRef]
- Tang, Y.; Zhuang, K.; Zhang, X.; Xie, F.; Yang, L.; Lin, B.; Cheng, M.; Li, D.; Liu, Y. Ferric Chloride Catalyzed 1,3-Rearrangement of (Phenoxymethyl)heteroarenes to (Heteroarylmethyl)phenols. Eur. J. Org. Chem. 2020, 23, 3441–3451. [Google Scholar] [CrossRef]
- Frigerio, M.; Santagostino, M.; Sputore, S.; Palmisano, G. Oxidation of Alcohols with o-Iodoxybenzoic Acid in DMSO: A New Insight into an Old Hypervalent Iodine Reagent. J. Org. Chem. 1995, 60, 7272–7276. [Google Scholar] [CrossRef]
- Yoshimura, A.; Zhdankin, V.V. Advances in Synthetic Applications of Hypervalent Iodine Compounds. Chem. Rev. 2016, 116, 3328–3435. [Google Scholar] [CrossRef] [PubMed]
- Arcadi, A.; Fabrizi, G.; Fochetti, A.; Ghirga, F.; Goggiamani, A.; Iazzetti, A.; Marrone, F.; Mazzoccanti, G.; Serraiocco, A. Palladium-catalyzed Tsuji–Trost-type reaction of benzofuran-2-ylmethyl acetates with nucleophiles. RSC Adv. 2021, 11, 909–917. [Google Scholar] [CrossRef]
- DeAngelis, A.J.; Gildner, P.G.; Chow, R.; Colacot, T.J. Generating Active “L-Pd(0)” via Neutral or Cationic π-Allylpalladium Complexes Featuring Biaryl/Bipyrazolylphosphines: Synthetic, Mechanistic, and Structure–Activity Studies in Challenging Cross-Coupling Reactions. J. Org. Chem. 2015, 80, 6794–6813. [Google Scholar] [CrossRef]
- McGarry, K.R.; McDaniel, M.; Chan, B.C.; O’Connor, A.R.J.P. Synthesis and characterization of (π-allyl) palladium (II) complexes containing dialkylbiaryl phosphine ligands. Polyhedron 2016, 114, 101–109. [Google Scholar] [CrossRef]
- Surry, D.S.; Buchwald, S.L. Biaryl Phosphane Ligands in Palladium-Catalyzed Amination. Angew. Chem. Int. Ed. 2008, 47, 6338–6361. [Google Scholar] [CrossRef]
- Meadows, D.C.; Gervay-Hague, J. Vinyl sulfones: Synthetic preparations and medicinal chemistry applications. Med. Res. Rev. 2006, 26, 793–814. [Google Scholar] [CrossRef] [PubMed]
- Chen, X.; Hussain, S.; Parveen, S.; Zhang, S.; Yang, Y.; Zhu, C. Sulfonyl group-containing compounds in the design of potential drugs for the treatment of diabetes and its complications. Curr. Med. Chem. 2012, 19, 3578–3604. [Google Scholar] [CrossRef] [PubMed]
- Zhao, C.; Rakesh, K.P.; Ravidar, L.; Fang, W.-Y.; Qin, H.-L. Pharmaceutical and medicinal significance of sulfur (SVI)-Containing motifs for drug discovery: A critical review. Eur. J. Med. Chem. 2019, 162, 679–734. [Google Scholar] [CrossRef]
- Simpkins, N.S. Sulfones in Organic Synthesis; Pergamon Press: Oxford, UK, 1993. [Google Scholar]
- Le Duc, G.; Bernoud, E.; Prestat, G.; Cacchi, S.; Fabrizi, G.; Iazzetti, A.; Madec, D.; Poli, G. Palladium-Catalyzed Aromatic Sulfonylation: A New Catalytic Domino Process Exploiting in situ Generated Sulfinate Anions. Synlett 2011, 2011, 2943–2946. [Google Scholar] [CrossRef]
- Shavnya, A.; Hesp, K.D.; Mascitti, V.; Smith, A.C. Palladium-Catalyzed Synthesis of (Hetero)Aryl Alkyl Sulfones from (Hetero)Aryl Boronic Acids, Unactivated Alkyl Halides, and Potassium Metabisulfite. Angew. Chem. Int. Ed. 2015, 54, 13571–13575. [Google Scholar] [CrossRef]
- Johnson, M.W.; Bagley, S.W.; Mankad, N.P.; Bergman, R.G.; Mascitti, V.; Toste, F.D. Application of Fundamental Organometallic Chemistry to the Development of a Gold-Catalyzed Synthesis of Sulfinate Derivatives. Angew. Chem. Int. Ed. 2014, 53, 4404–4407. [Google Scholar] [CrossRef] [PubMed]
- Yadav, D.; Menon, R.S. Recent developments in the chemistry of allenyl sulfones. Org. Biomol. Chem. 2020, 8, 365–378. [Google Scholar] [CrossRef] [PubMed]
- Liu, J.; Zheng, L. Recent Advances in Transition-Metal-Mediated Chelation- Assisted Sulfonylation of Unactivated C−H Bonds. Adv. Synth. Catal. 2019, 361, 1710–1732. [Google Scholar] [CrossRef]
- Zhu, J.; Yang, W.-C.; Wang, X.-d.; Wu, L. Photoredox Catalysis in C–S Bond Construction: Recent Progress in Photo-Catalyzed Formation of Sulfones and Sulfoxides. Adv. Synth. Catal. 2018, 360, 386–400. [Google Scholar] [CrossRef]
- Higham, J.I.; Bull, J.A. Copper catalysed oxidative α-sulfonylation of branched aldehydes using the acid enhanced reactivity of manganese (IV) oxide. Chem. Commun. 2020, 56, 4587–4590. [Google Scholar] [CrossRef] [PubMed]
- Gong, B.; Zhu, H.; Liu, Y.; Li, Q.; Yang, L.; Wu, G.; Fan, Q.; Xie, Z.; Le, Z. Palladium-catalyzed sulfonylative coupling of benzyl(allyl) carbonates with arylsulfonyl hydrazides. Green Synth. Catal. 2022, 3, 110–115. [Google Scholar] [CrossRef]
- Wu, Y.; Chen, J.; Li, L.; Wen, K.; Yao, X.; Pang, J.; Wu, T.; Tang, X. Copper-Mediated Decarboxylative Sulfonylation of Arylacetic Acids with Sodium Sulfinates. Org. Lett. 2020, 22, 7164–7168. [Google Scholar] [CrossRef] [PubMed]
- Lu, S.; Zhu, Y.-S.; Yan, K.-X.; Cui, T.-W.; Zhu, X.; Hao, X.-Q.; Song, M.-P. Iron-Catalyzed C–H Sulfonylmethylation of Indoles in Water–PEG400. Synlett 2019, 30, 1924–1928. [Google Scholar] [CrossRef]
- Cacchi, S.; Fabrizi, G.; Goggiamani, A.; Parisi, L.M.; Bernini, R. Unsymmetrical Diaryl Sulfones and Aryl Vinyl Sulfones through Palladium-Catalyzed Coupling of Aryl and Vinyl Halides or Triflates with Sulfinic Acid Salts. J. Org. Chem. 2004, 69, 5608–5614. [Google Scholar] [CrossRef] [PubMed]
- Modha, S.G.; Mehta, V.P.; Van der Eycken, E.V. Transition metal-catalyzed C–C bond formation via C–S bond cleavage: An overview. Chem. Soc. Rev. 2013, 42, 5042–5055. [Google Scholar] [CrossRef] [PubMed]
- Ortgies, D.H.; Hassanpour, A.; Chen, F.; Woo, S.; Forgione, P. Desulfination as an Emerging Strategy in Palladium-Catalyzed C–C Coupling Reactions. Eur. J. Org. Chem. 2016, 2016, 408–425. [Google Scholar] [CrossRef]
- Zhou, X.; Luo, J.; Liu, J.; Peng, S.; Deng, G.-J. Pd-Catalyzed Desulfitative Heck Coupling with Dioxygen as the Terminal Oxidant. Org. Lett. 2011, 13, 1432–1435. [Google Scholar] [CrossRef] [PubMed]
- Liu, B.; Guo, Q.; Cheng, Y.; Lan, J.; You, J. Palladium-Catalyzed Desulfitative C-H Arylation of Heteroarenes with Sodium Sulfinates. Chem. Eur. J. 2011, 48, 13415–13419. [Google Scholar] [CrossRef]
- Moseley, J.D.; Murray, P.M.; Turp, E.R.; Tyler, S.N.G.; Burn, R.T. A mild robust generic protocol for the Suzuki reactionusing an air stable catalyst. Tetrahedron 2012, 68, 6010–6017. [Google Scholar] [CrossRef]








![]() | ||||||||
|---|---|---|---|---|---|---|---|---|
| Entry b | R | Pd Cat | Ligand | Solvent | Base | t (h) | 4 (%) | 7 (%) |
| 1 | Ts | / | / | DMSO | K2CO3 | 0.5 | / (4aa) | / |
| 2 | Ts | / | / | MeCN | K2CO3 | 8 | / (4aa) | / |
| 3 c | Bz | / | / | DMSO | K2CO3 | 5 | / (4ba) | / |
| 4 d | SEM | / | / | DMSO | K2CO3 | 24 | 23 (4ca) | / |
| 5 | SEM | / | / | MeCN | K2CO3 | 24 | 32 (4ca) | / |
| 6 | SEM | [Pd(C3H5)Cl]2 | XPhos | MeCN/THF 4:1 | K2CO3 | 2 | 75 (4ca) | / |
| 7 | SEM | Pd2dba3 | XPhos | MeCN | K2CO3 | 24 | 37 (4ca) | / |
| 8 | SEM | Pd(PPh3)4 | / | MeCN | K2CO3 | 24 | 38 (4ca) | / |
| 9 | SEM | [Pd(C3H5)Cl]2 | XPhos | MeCN/THF 4:1 | Cs2CO3 | 17 | 52 (4ca) | 18 (7ca) |
| 10 | SEM | [Pd(C3H5)Cl]2 | XPhos | MeCN/THF 4:1 | Na2CO3 | 23 | 62 (4ca) | 6 (7ca) |
| 11 | SEM | [Pd(C3H5)Cl]2 | XPhos | MeCN/THF 4:1 | K3PO4 | 23 | 49 (4ca) | 13 (7ca) |
| 12 e | SEM | [Pd(C3H5)Cl]2 | XPhos | MeCN/THF 4:1 | tBuONa | 0.5 | 9 (4ca) | / |
| 13 f | SEM | [Pd(C3H5)Cl]2 | XPhos | MeCN/THF 4:1 | K2CO3 | 2 | 65 (4ca) | / |
| 14 | SEM | [Pd(C3H5)Cl]2 | RuPhos | MeCN/THF 4:1 | K2CO3 | 25 | 45 (4ca) | 21 (7ca) |
| 15 | SEM | [Pd(C3H5)Cl]2 | SPhos | MeCN/THF 4:1 | K2CO3 | 24 | 31 (4ca) | 20 (7ca) |
| 16 | SEM | [Pd(C3H5)Cl]2 | tBuXPhos | MeCN/THF 4:1 | K2CO3 | 4.5 | 64 (4ca) | 2 (7ca) |
| 17 | SEM | [Pd(C3H5)Cl]2 | JohnPhos | MeCN/THF 4:1 | K2CO3 | 7.5 | 39 (4ca) | 24 (7ca) |
| 18 | SEM | [Pd(C3H5)Cl]2 | DavePhos | MeCN/THF 4:1 | K2CO3 | 23 | 47 (4ca) | 13 (7ca) |
| 19 | SEM | [Pd(C3H5)Cl]2 | XPhos | DMF/THF 4:1 | K2CO3 | 24 | 30 (4ca) | 18 (7ca) |
| 20 g | SEM | [Pd(C3H5)Cl]2 | XPhos | DMSO/THF 4:1 | K2CO3 | 24 | 20 (4ca) | 3 (7ca) |
| 21 | Ts | [Pd(C3H5)Cl]2 | XPhos | MeCN/THF 4:1 | K2CO3 | 2 | 97 (4aa) | / |
| 22 | Bz | [Pd(C3H5)Cl]2 | XPhos | MeCN/THF 4:1 | K2CO3 | 3 | 57 (4ba) | 13 (7ba) |
![]() | ||||||
|---|---|---|---|---|---|---|
| Entry b | R1 | 3 | R2 | 6 | t (h) | 4 (%) |
| 1 | H | 3a | 4-t-Bu | 6b | 3 | 83 (4ab) |
| 2 | H | 3a | 4-F | 6c | 3 | 81 (4ac) |
| 3 | H | 3a | 2-Ph | 6d | 1.5 | 80 (4ad) |
| 4 | H | 3a | 3-CO2Me | 6e | 3 | 76 (4ae) |
| 5 | H | 3a | 4-CN | 6f | 3 | 46 (4af) |
| 6 c | H | 3a | 4-CN | 6f | 1 | 75 (4af) |
| 7 | H | 3a | 4-NO2 | 6g | 24 | / |
| 8 c | H | 3a | 4-NO2 | 6g | 24 | / |
| 9 | 5-OMe | 3d | 4-OMe | 6a | 1 | 90 (4da) |
| 10 | 5-OMe | 3d | 4-t-Bu | 6b | 1.5 | 94 (4db) |
| 11 | 5-OMe | 3d | 2-Ph | 6c | 1.5 | 92 (4dd) |
| 12 | 5-OMe | 3d | 3-CO2Me | 6e | 1.5 | 90 (4de) |
| 13 | 5-Ph | 3e | 2-Ph | 6d | 1 | 89 (4ed) |
| 14 | 6-Cl | 3f | 4-t-Bu | 6b | 24 | / |
![]() | ||||||
|---|---|---|---|---|---|---|
| Entry b | R1 | 3 | R2 | 8 | t (h) | 9 (%) |
| 1 c,d | H | 3a | Me | 8a | 16 | / |
| 2 | H | 3a | Me | 8a | 1.5 | 98 (9aa) |
| 3 | H | 3a | H | 8b | 1 | 98 (9ab) |
| 4 | 5-OMe | 3d | Me | 8a | 1 | 84 (9da) |
| 5 | 5-OMe | 3d | H | 8b | 1 | 76 (9db) |
| 6 | 5-Ph | 3e | Me | 8a | 1 | 87 (9ea) |
| 7 | 5-Ph | 3e | H | 8b | 30 | 75 (9eb) |
| 8 e,f | 6-Cl | 3f | Me | 8a | 26 | 75 (9fa) |
| 9 g | 6-Cl | 3f | H | 8b | 7 | 62 (9fb) |
| 10 | 5-NO2 | 3g | H | 8a | 1 | 92 (9ga) |
| 11 | 5-NO2 | 3g | H | 8b | 6 | 83 (9gb) |
Disclaimer/Publisher’s Note: The statements, opinions and data contained in all publications are solely those of the individual author(s) and contributor(s) and not of MDPI and/or the editor(s). MDPI and/or the editor(s) disclaim responsibility for any injury to people or property resulting from any ideas, methods, instructions or products referred to in the content. |
© 2024 by the authors. Licensee MDPI, Basel, Switzerland. This article is an open access article distributed under the terms and conditions of the Creative Commons Attribution (CC BY) license (https://creativecommons.org/licenses/by/4.0/).
Share and Cite
Iazzetti, A.; Arcadi, A.; Chiarini, M.; Fabrizi, G.; Goggiamani, A.; Marrone, F.; Serraiocco, A.; Zoppoli, R. Palladium-Catalyzed Tsuji–Trost-Type Reaction of 3-Indolylmethylacetates with O, and S Soft Nucleophiles. Molecules 2024, 29, 3434. https://doi.org/10.3390/molecules29143434
Iazzetti A, Arcadi A, Chiarini M, Fabrizi G, Goggiamani A, Marrone F, Serraiocco A, Zoppoli R. Palladium-Catalyzed Tsuji–Trost-Type Reaction of 3-Indolylmethylacetates with O, and S Soft Nucleophiles. Molecules. 2024; 29(14):3434. https://doi.org/10.3390/molecules29143434
Chicago/Turabian StyleIazzetti, Antonia, Antonio Arcadi, Marco Chiarini, Giancarlo Fabrizi, Antonella Goggiamani, Federico Marrone, Andrea Serraiocco, and Roberta Zoppoli. 2024. "Palladium-Catalyzed Tsuji–Trost-Type Reaction of 3-Indolylmethylacetates with O, and S Soft Nucleophiles" Molecules 29, no. 14: 3434. https://doi.org/10.3390/molecules29143434
APA StyleIazzetti, A., Arcadi, A., Chiarini, M., Fabrizi, G., Goggiamani, A., Marrone, F., Serraiocco, A., & Zoppoli, R. (2024). Palladium-Catalyzed Tsuji–Trost-Type Reaction of 3-Indolylmethylacetates with O, and S Soft Nucleophiles. Molecules, 29(14), 3434. https://doi.org/10.3390/molecules29143434




