In Vitro Multi-Bioactive Potential of Enzymatic Hydrolysis of a Non-Toxic Jatropha curcas Cake Protein Isolate
Abstract
1. Introduction
2. Results and Discussion
2.1. Protein Extraction
2.2. Proteolytic Capacity
2.2.1. Analysis of Free Amino Groups
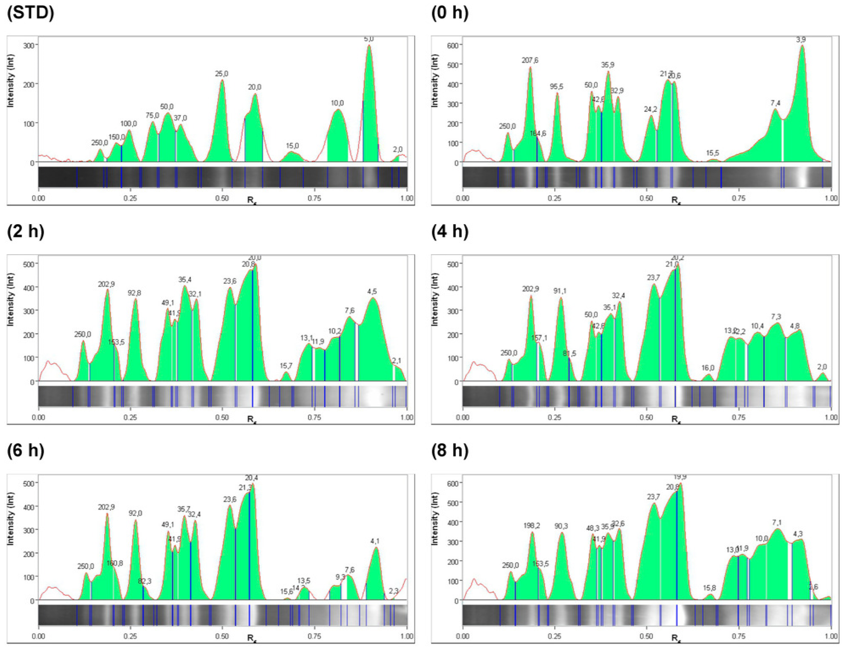
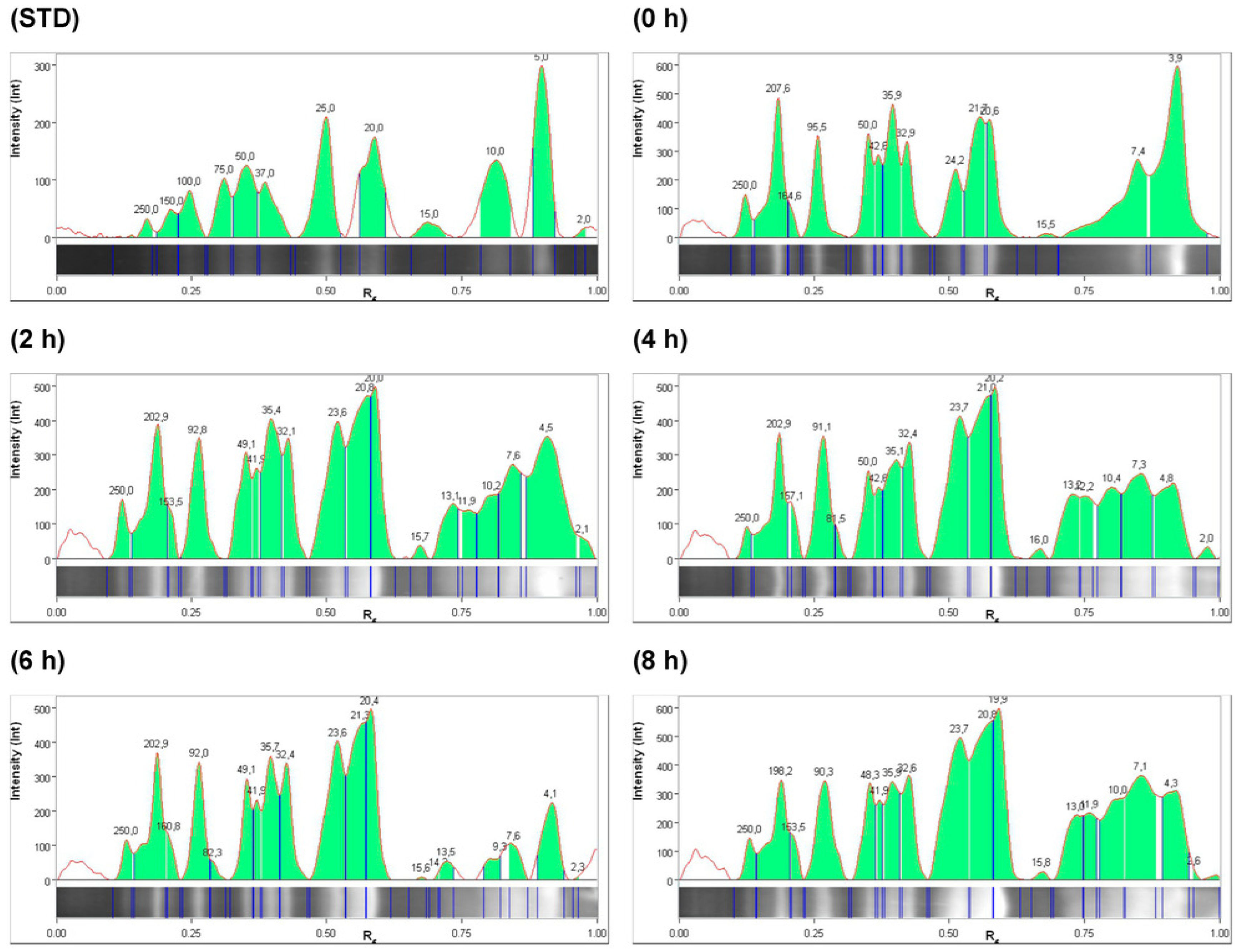
2.2.2. Separation of Peptides by Tris-Glycine-SDS-PAGE
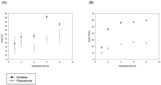
2.3. Antioxidant Activity
2.4. Antihypertensive Activity
2.5. Antidiabetic Capacity
3. Materials and Methods
3.1. Sample
3.2. Protein Extraction
3.3. Enzymatic Hydrolysis
3.4. Proteolytic Capacity
3.4.1. Free Amino Groups by the TNBS Method
3.4.2. Tris-Glycine Polyacrylamide Gel Electrophoresis (Tris-Glycine-SDS-PAGE)
3.5. Antioxidant Activity
3.5.1. Ferric-Reducing Power
3.5.2. Radical Scavenging Properties by DPPH
3.6. Antihypertensive Activity
3.7. Antidiabetic Capacity
3.8. Statistical Analysis
4. Conclusions
Author Contributions
Funding
Data Availability Statement
Acknowledgments
Conflicts of Interest
References
- Mitra, S.; Ghose, A.; Gujre, N.; Senthilkumar, S.; Borah, P.; Paul, A.; Rangan, L. A review on environmental and socioeconomic perspectives of three promising biofuel plants Jatropha curcas, Pongamia pinnata and Mesua ferrea. Biomass Bioenergy 2021, 151, 106173. [Google Scholar] [CrossRef]
- Ramadan, M.F. Bioactive Phytochemicals from Jatropha (Jatropha curcas L.) Oil Processing Byproducts. In Bioactive Phytochemicals from Vegetable Oil and Oilseed Processing By-Products; Springer: Berlin/Heidelberg, Germany, 2022; pp. 1–19. [Google Scholar]
- Olloqui, E.J.; Castañeda-Ovando, A.; Evangelista-Lozano, S.; Alanís-García, E.; Ramírez-Moreno, E.; Valadez-Vega, C.; Añorve-Morga, J. Measurement of nutrients and minor components of a non-toxic variety of Jatropha curcas. J. Food Meas. Charact. 2022, 16, 1029–1037. [Google Scholar] [CrossRef]
- Patil, S.M.; Sujay, S.; Tejaswini, M.; Sushma, P.P.; Prithvi, S.; Ramu, R. Bioactive peptides: Its production and potential role on health. Innov. Food Sci. Emerg. Technol. 2020, 7, 167–182. [Google Scholar]
- Cruz-Casas, D.E.; Aguilar, C.N.; Ascacio-Valdés, J.A.; Rodríguez-Herrera, R.; Chávez-González, M.L.; Flores-Gallegos, A.C. Enzymatic hydrolysis and microbial fermentation: The most favorable biotechnological methods for the release of bioactive peptides. Food Chem. Mol. Sci. 2021, 3, 100047. [Google Scholar] [CrossRef] [PubMed]
- Marrufo-Estrada, D.M.; Segura-Campos, M.R.; Chel-Guerrero, L.A.; Betancur-Ancona, D.A. Defatted Jatropha curcas flour and protein isolate as materials for protein hydrolysates with biological activity. Food Chem. 2013, 138, 77–83. [Google Scholar] [CrossRef]
- León-Villanueva, A.; Huerta-Ocampo, J.A.; Barrera-Pacheco, A.; Medina-Godoy, S.; de la Rosa, A.P.B. Proteomic analysis of non-toxic Jatropha curcas byproduct cake: Fractionation and identification of the major components. Ind. Crops Prod. 2018, 111, 694–704. [Google Scholar] [CrossRef]
- León-Villanueva, A.; Espinosa-Alonso, L.G.; Udenigwe, C.C.; Valdez-Morales, M.; Valdez-Ortiz, A.; Barba de la Rosa, A.P.; Medina-Godoy, S. Chemical and functional characterization of major protein fractions extracted from nontoxic Jatropha curcas byproduct meals. J. Am. Oil Chem. Soc. 2022, 99, 511–523. [Google Scholar] [CrossRef]
- Ahluwalia, S.; Bidlan, R.; Shrivastav, A.K.; Goswami, R.K.; Singh, P.; Sharma, J.G. Optimization of protein extraction from detoxified Jatropha seed cake using response surface methodology and amino acid analysis. Int. J. Environ. Sci. Technol. 2020, 17, 1087–1100. [Google Scholar] [CrossRef]
- Liu, B.; Li, N.; Chen, F.; Zhang, J.; Sun, X.; Xu, L.; Fang, F. Review on the release mechanism and debittering technology of bitter peptides from protein hydrolysates. Compr. Rev. Food Sci. Food Saf. 2022, 21, 5153–5170. [Google Scholar] [CrossRef]
- Merz, M.; Eisele, T.; Berends, P.; Appel, D.; Rabe, S.; Blank, I.; Stressler, T.; Fischer, L. Flavourzyme, an enzyme preparation with industrial relevance: Automated nine-step purification and partial characterization of eight enzymes. J. Agric. Food Chem. 2015, 63, 5682–5693. [Google Scholar] [CrossRef]
- Juca, L.T.; Ramos, V.M.; de Freitas, D.T.C.; Monteiro-Moreira, C.O.A. Peptides from the genus Jatropha: Beyond isolation. Curr. Chem. Biol. 2017, 11, 100–109. [Google Scholar] [CrossRef]
- Tacias-Pascacio, V.G.; Morellon-Sterling, R.; Siar, E.H.; Tavano, O.; Berenguer-Murcia, A.; Fernandez-Lafuente, R. Use of Alcalase in the production of bioactive peptides: A review. Int. J. Biol. Macromol. 2020, 165, 2143–2196. [Google Scholar]
- Lv, R.; Dong, Y.; Bao, Z.; Zhang, S.; Lin, S.; Sun, N. Advances in the activity evaluation and cellular regulation pathways of food-derived antioxidant peptides. Trends Food Sci. Technol. 2022, 122, 171–186. [Google Scholar] [CrossRef]
- Segura-Campos, M.R.; Peralta-González, F.; Castellanos-Ruelas, A.; Chel-Guerrero, L.A.; Betancur-Ancona, D.A. Effect of Jatropha curcas peptide fractions on the angiotensin I-converting enzyme inhibitory activity. BioMed Res. Int. 2013, 2013, 541947. [Google Scholar] [CrossRef]
- Benzie, I.F.; Strain, J.J. The ferric reducing ability of plasma (FRAP) as a measure of “antioxidant power”: The FRAP assay. Anal. Biochem. 1996, 239, 70–76. [Google Scholar] [CrossRef]
- Brand-Williams, W.; Cuvelier, M.E.; Berset, C.L.W.T. Use of a free radical method to evaluate antioxidant activity. LWT-Food Sci. Technol. 1995, 28, 25–30. [Google Scholar] [CrossRef]
- Gallegos-Tintoré, S.; Torres-Fuentes, C.; Martínez-Ayala, A.L.; Solorza-Feria, J.; Alaiz, M.; Girón-Calle, J.; Vioque, J. Antioxidant and chelating activity of Jatropha curcas L. protein hydrolysates. J. Sci. Food Agric. 2011, 91, 1618–1624. [Google Scholar] [CrossRef]
- Ayala-Niño, A.; Rodríguez-Serrano, G.M.; González-Olivares, L.G.; Contreras-López, E.; Regal-López, P.; Cepeda-Saez, A. Sequence identification of bioactive peptides from amaranth seed proteins (Amaranthus hypochondriacus spp.). Molecules 2019, 24, 3033. [Google Scholar] [CrossRef]
- Berraquero-García, C.; Rivero-Pino, F.; Ospina, J.L.; Pérez-Gálvez, R.; Espejo-Carpio, F.J.; Guadix, A.; García-Moreno, P.J.; Guadix, E.M. Activity, structural features and in silico digestion of antidiabetic peptides. Food Biosci. 2023, 55, 102954. [Google Scholar] [CrossRef]
- Chirinos, R.; Cerna, E.; Pedreschi, R.; Calsin, M.; Aguilar-Galvez, A.; Campos, D. Multifunctional in vitro bioactive properties: Antioxidant, antidiabetic, and antihypertensive of protein hydrolyzates from tarwi (Lupinus mutabilis Sweet) obtained by enzymatic biotransformation. Cereal Chem. 2021, 98, 423–433. [Google Scholar] [CrossRef]
- Ribeiro-Oliveira, R.; Martins, Z.E.; Sousa, J.B.; Ferreira, I.M.; Diniz, C. The health-promoting potential of peptides from brewing by-products: An up-to-date review. Trends Food Sci. Technol. 2021, 118, 143–153. [Google Scholar] [CrossRef]
- Fuentes, L.R.; Richard, C.; Chen, L. Sequential alcalase and flavourzyme treatment for preparation of α-amylase, α-glucosidase, and dipeptidyl peptidase (DPP)-IV inhibitory peptides from oat protein. J. Funct. Foods 2021, 87, 104829. [Google Scholar] [CrossRef]
- Zhang, M.; Zhu, L.; Zhang, H.; Wang, X.; Liu, T.; Qi, X.; Wu, G. Identification of novel dipeptidyl peptidase-4 inhibitory peptides from pea proteins: A combined in silico and in vitro study. Food Biosci. 2023, 56, 103374. [Google Scholar] [CrossRef]
- Islas-Martínez, D.; Ávila-Vargas, Y.N.; Rodríguez-Serrano, G.M.; González-Olivares, L.G.; Pérez-Flores, J.G.; Contreras-López, E.; Olloqui, E.J.; Pérez-Escalante, E. Multi-Bioactive Potential of a Rye Protein Isolate Hydrolysate by Enzymatic Processes. Biol. Life Sci. Forum 2023, 26, 38. [Google Scholar] [CrossRef]
- Sharma, S.; Pradhan, R.; Manickavasagan, A.; Tsopmo, A.; Thimmanagari, M.; Dutta, A. Corn distillers solubles by two-step proteolytic hydrolysis as a new source of plant-based protein hydrolysates with ACE and DPP4 inhibition activities. Food Chem. 2023, 401, 134120. [Google Scholar] [CrossRef]
- Bligh, E.G.; Dyer, W.J. A rapid method of total lipid extraction and purification. Can. J. Biochem. Physiol. 1959, 37, 911–917. [Google Scholar] [CrossRef]
- Sashidhar, R.B.; Capoor, A.K.; Ramana, D. Quantitation of ϵ-amino group using amino acids as reference standards by trinitrobenzene sulfonic acid: A simple spectrophotometric method for the estimation of hapten to carrier protein ratio. J. Immunol. Methods 1994, 167, 121–127. [Google Scholar] [CrossRef]
- Pérez-Escalante, E.; González-Olivares, L.G.; Cruz-Guerrero, A.E.; Galán-Vidal, C.A.; Páez-Hernández, M.E.; Álvarez-Romero, G.A. Size exclusion chromatography (SEC-HPLC) as an alternative to study thrombin inhibition. J. Chromatogr. B 2018, 1074, 34–38. [Google Scholar] [CrossRef]
- Cushman, D.W.; Cheung, H.S.; Sabo, E.F.; Ondetti, M.A. Design of potent competitive inhibitors of angiotensin-converting enzyme. Carboxyalkanoyl and mercaptoalkanoyl amino acids. Biochemistry 1977, 16, 5484–5491. [Google Scholar] [CrossRef]
- Nongonierma, A.B.; Mooney, C.; Shields, D.C.; FitzGerald, R.J. Inhibition of dipeptidyl peptidase IV and xanthine oxidase by amino acids and dipeptides. Food Chem. 2013, 141, 644–653. [Google Scholar] [CrossRef]




| Time (h) | Hydrolysis Degree (ppm) | FRAP (mmol Fe2+) | DPPH (mmol Trolox) | ACE-I Inhibition (%) | DPP-IV Inhibition (%) |
|---|---|---|---|---|---|
| Alcalase | |||||
| 0 | 1277.25 ± 119.26 a | 15.45 ± 3.31 a | 18.11 ± 1.71 a | 87.34 ± 0.62 | 20.50 ± 1.02 a |
| 2 | 4041.38 ± 50.89 bc | 18.80 ± 1.82 a | 46.17 ± 0.86 b | 80.57 ± 5.25 | 40.87 ± 2.04 b |
| 4 | 3802.28 ± 267.04 b | 19.19 ± 1.23 a | 56.17 ± 1.14 c | 83.19 ± 4.63 | 32.07 ± 0.19 ab |
| 6 | 4437.48 ± 345.70 c | 28.33 ± 0.55 b | 57.01 ± 0.34 cd | 81.64 ± 0.03 | 68.86 ± 8.27 c |
| 8 | 4514.77 ± 163.79 c | 24.87 ± 0.60 b | 59.70 ± 0.30 d | 91.70 ± 1.24 | 43.10 ± 2.57 b |
| Flavourzyme | |||||
| 0 | 859.86 ± 13.28 a | 14.77 ± 1.44 a | 10.35 ± 0.90 a | 81.00 ± 0.93 a | 28.02 ± 1.75 a |
| 2 | 2090.29 ± 83.90 b | 14.68 ± 0.12 a | 16.72 ± 0.95 b | 80.79 ± 0.62 a | 39.59 ± 3.35 b |
| 4 | 2901.40 ± 73.30 c | 14.51 ± 0.12 a | 22.95 ± 0.37 c | 80.57 ± 0.31 a | 24.59 ± 0.84 a |
| 6 | 3435.16 ± 59.31 d | 18.26 ± 0.84 b | 26.64 ± 0.52 d | 86.46 ± 1.85 b | 52.75 ± 2.23 c |
| 8 | 3843.34 ± 333.33 d | 20.73 ± 0.96 b | 24.70 ± 1.00 cd | 88.43 ± 0.31 b | 50.17 ± 1.51 c |
Disclaimer/Publisher’s Note: The statements, opinions and data contained in all publications are solely those of the individual author(s) and contributor(s) and not of MDPI and/or the editor(s). MDPI and/or the editor(s) disclaim responsibility for any injury to people or property resulting from any ideas, methods, instructions or products referred to in the content. |
© 2024 by the authors. Licensee MDPI, Basel, Switzerland. This article is an open access article distributed under the terms and conditions of the Creative Commons Attribution (CC BY) license (https://creativecommons.org/licenses/by/4.0/).
Share and Cite
Javier, O.E.; Alejandro, G.-R.M.; Elizabeth, C.-L.; Guadalupe, P.-F.J.; Emmanuel, P.-E.; Carlos, M.-S.J.; Daniel, M.-C. In Vitro Multi-Bioactive Potential of Enzymatic Hydrolysis of a Non-Toxic Jatropha curcas Cake Protein Isolate. Molecules 2024, 29, 3088. https://doi.org/10.3390/molecules29133088
Javier OE, Alejandro G-RM, Elizabeth C-L, Guadalupe P-FJ, Emmanuel P-E, Carlos M-SJ, Daniel M-C. In Vitro Multi-Bioactive Potential of Enzymatic Hydrolysis of a Non-Toxic Jatropha curcas Cake Protein Isolate. Molecules. 2024; 29(13):3088. https://doi.org/10.3390/molecules29133088
Chicago/Turabian StyleJavier, Olloqui Enrique, González-Rodríguez Maurilio Alejandro, Contreras-López Elizabeth, Pérez-Flores Jesús Guadalupe, Pérez-Escalante Emmanuel, Moreno-Seceña Juan Carlos, and Martínez-Carrera Daniel. 2024. "In Vitro Multi-Bioactive Potential of Enzymatic Hydrolysis of a Non-Toxic Jatropha curcas Cake Protein Isolate" Molecules 29, no. 13: 3088. https://doi.org/10.3390/molecules29133088
APA StyleJavier, O. E., Alejandro, G.-R. M., Elizabeth, C.-L., Guadalupe, P.-F. J., Emmanuel, P.-E., Carlos, M.-S. J., & Daniel, M.-C. (2024). In Vitro Multi-Bioactive Potential of Enzymatic Hydrolysis of a Non-Toxic Jatropha curcas Cake Protein Isolate. Molecules, 29(13), 3088. https://doi.org/10.3390/molecules29133088

