Binding Energies and Optical Properties of Power-Exponential and Modified Gaussian Quantum Dots
Abstract
1. Introduction
2. Theoretical Details
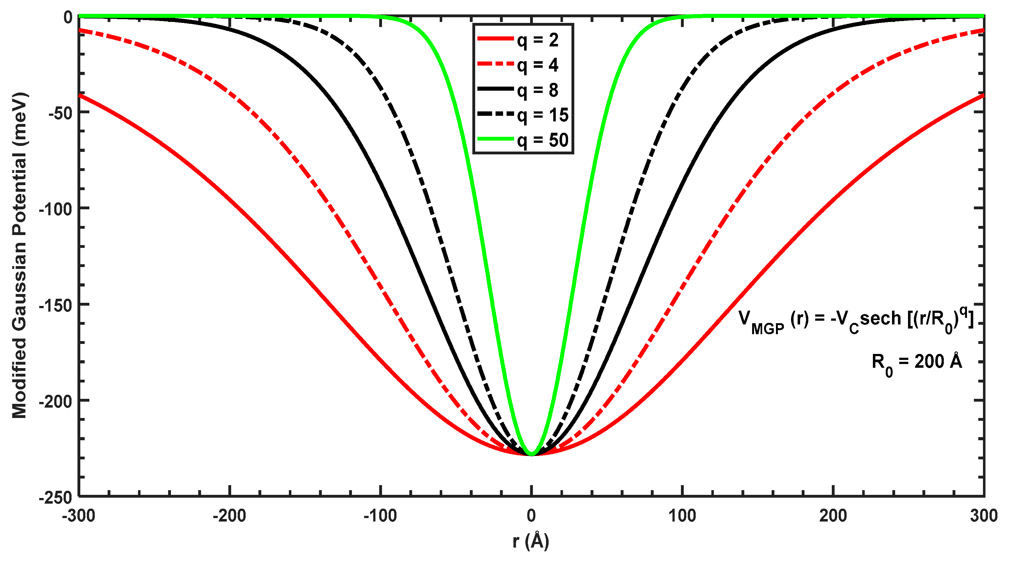
2.1. Geometrical Forms of MGP and PEP Potentials
2.2. Optical Absorption of the MGP and PEP Potentials
3. Results and Discussion
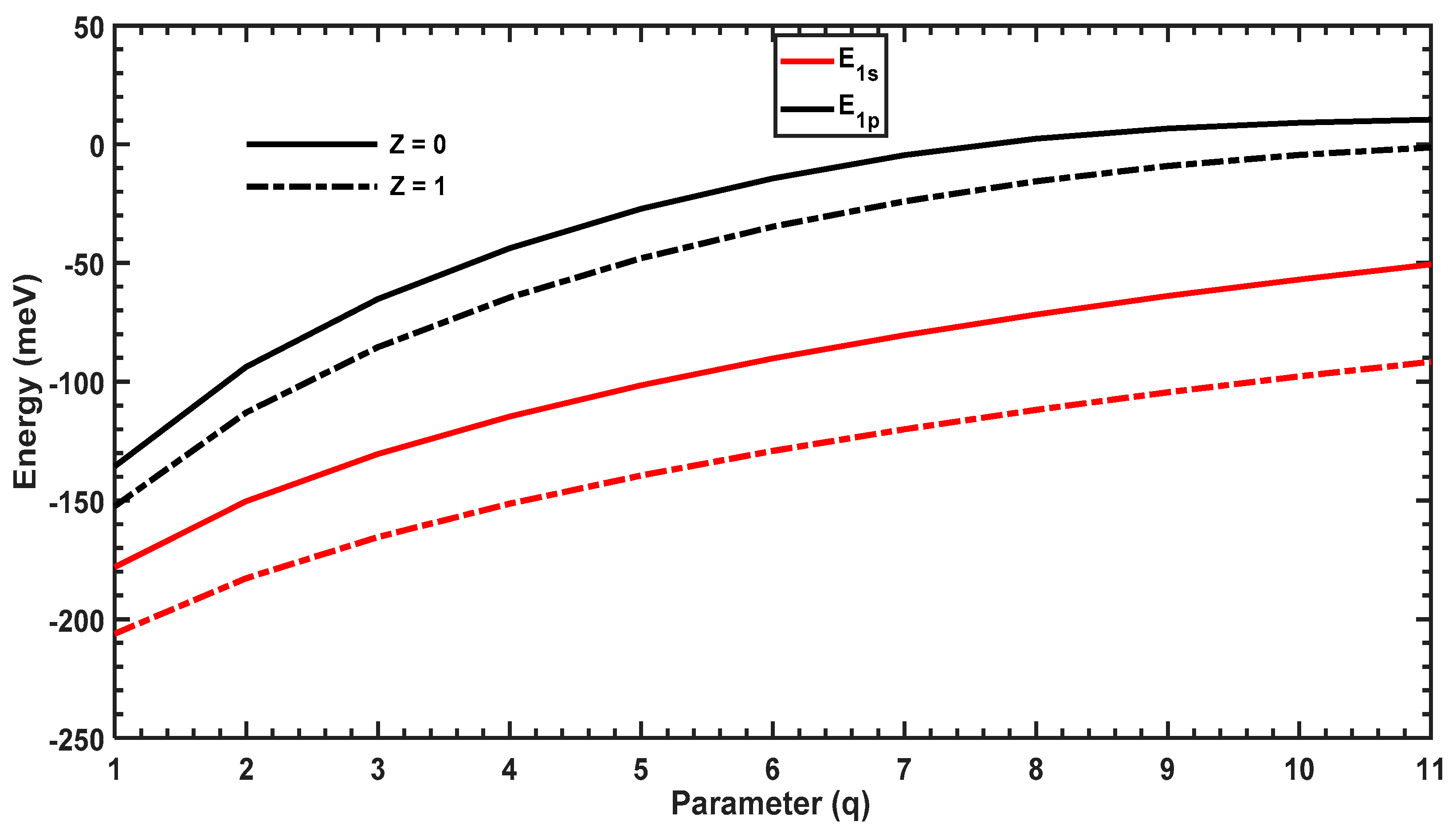
3.1. Optical Properties of GaAs Quantum Dot with PEP Potential
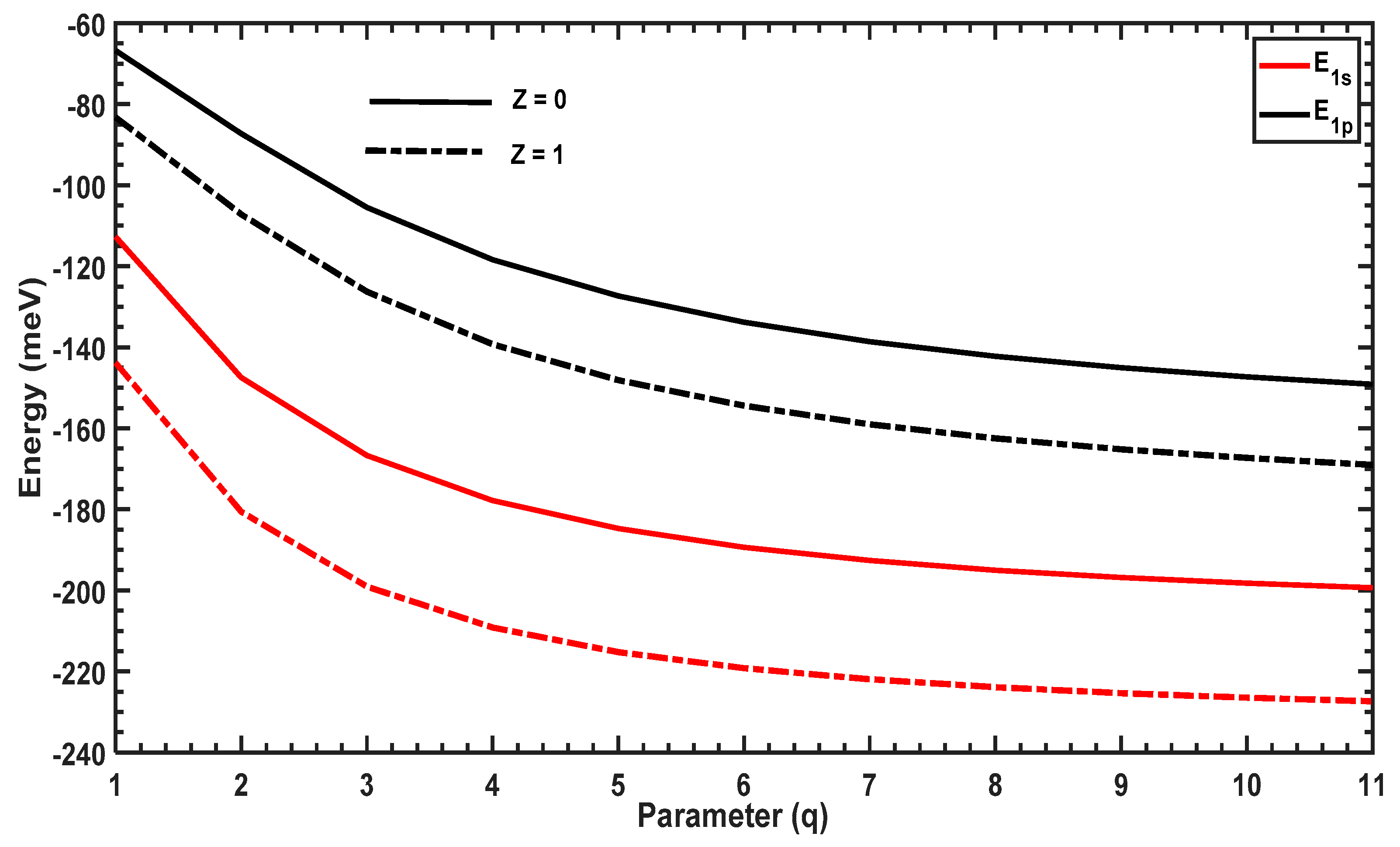
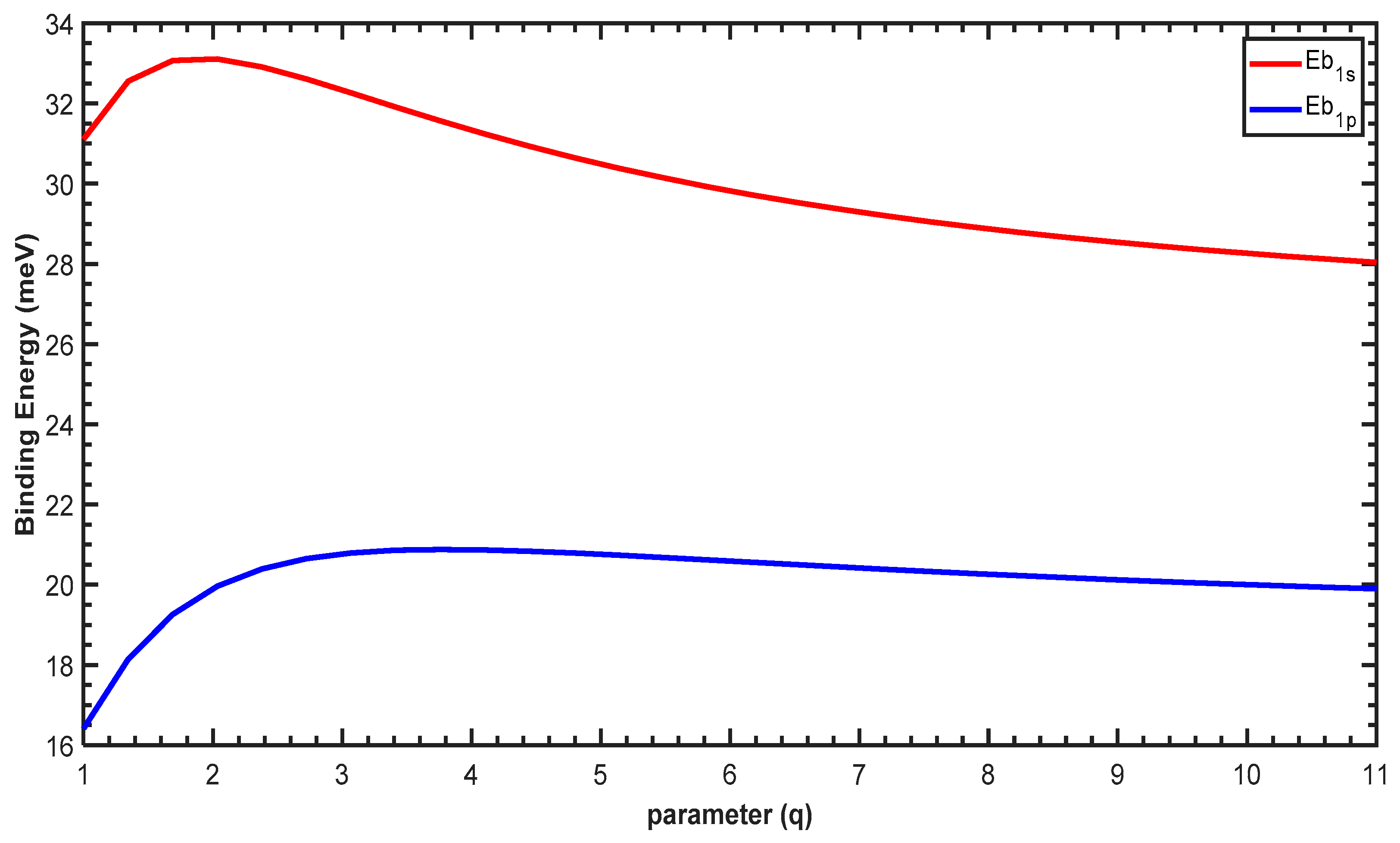
3.2. Optical Properties of a GaAs Quantum Dot with an MGP Potential
4. Conclusions
Author Contributions
Funding
Institutional Review Board Statement
Informed Consent Statement
Data Availability Statement
Conflicts of Interest
References
- Tang, J.; Sargent, E.H. Infrared Colloidal Quantum Dots for Photovoltaics: Fundamentals and Recent Progress. Adv. Mater. 2011, 23, 12–29. [Google Scholar] [CrossRef]
- Kastner, M.A. The single-electron transistor. Rev. Mod. Phys. 1992, 64, 849. [Google Scholar] [CrossRef]
- Nizamoglu, S.; Ozel, T.; Sari, E.; Demir, H.V. White light generation using CdSe/ZnS core–shell nanocrystals hybridized with InGaN/GaN light emitting diodes. Nanotechnology 2007, 18, 065709. [Google Scholar] [CrossRef]
- Levine, B.F. Quantum-well infrared photodetectors. J. Appl. Phys. 1993, 74, R1–R81. [Google Scholar] [CrossRef]
- Liu, H.C.; Gao, M.; McCaffrey, J.; Wasilewski, Z.R.; Fafard, S. Quantum dot infrared photodetectors. Appl. Phys. Lett. 2001, 78, 79. [Google Scholar] [CrossRef]
- Bouzaiene, L.; Alamri, H.; Sfaxi, L.; Maaref, H. Simultaneous effects of hydrostatic pressure, temperature and electric field on optical absorption in InAs/GaAs lens shape quantum dot. J. Alloys Compd. 2016, 655, 172–177. [Google Scholar] [CrossRef]
- Barve, A.V.; Lee, S.K.; Noh, S.K.; Krishna, S. Review of current progress in quantum dot infrared photodetectors. Laser Photonics Rev. 2010, 4, 738–750. [Google Scholar] [CrossRef]
- Guériaux, V.; de l’Isle, N.B.; Berurier, A.; Huet, O.; Manissadjian, A.; Facoetti, H.; Marcadet, X.; Carras, M.; Trinité, V.; Nedelcu, A. Quantum well infrared photodetectors: Present and future. Opt. Eng. 2011, 50, 061013. [Google Scholar]
- Al-Marhaby, F.A.; Al-Ghamdi, M.S. Experimental investigation of stripe cavity length effect on threshold current density for InP/AlGaInP QD laser diode. Opt. Mater. 2022, 127, 112191. [Google Scholar] [CrossRef]
- Al-Sheikhi, A.; Al-Abedi, N.A.A. The luminescent emission and quantum optical efficiency of Cd1-xSrxSe QDs developed via ions exchange approach for multicolor-lasing materials and LED applications. Optik 2021, 227, 166035. [Google Scholar] [CrossRef]
- Sargent, E.H. Colloidal quantum dot solar cells. Nat. Photonics 2012, 6, 133–135. [Google Scholar] [CrossRef]
- Nozik, A.J. Quantum dot solar cells. Physica E 2002, 14, 115–120. [Google Scholar] [CrossRef]
- Chung, S.-R.; Chen, S.-S.; Wang, K.-W.; Siao, C.-B. Promotion of solid-state lighting for ZnCdSe quantum dot modified-YAG-based white light-emitting diodes. RCS Adv. 2016, 6, 51989–51996. [Google Scholar] [CrossRef]
- Kim, L.; Anikeeva, P.O.; Coe-Sullivan, S.A.; Steckel, J.S.; Bawendi, M.B.; Bulović, V. Contact printing of quantum dot light-emitting devices. Nano Lett. 2008, 8, 4513–4517. [Google Scholar] [CrossRef] [PubMed]
- Chuang, C.-H.M.; Brown, P.R.; Bulović, V.; Bawendi, M.G. Improved performance and stability in quantum dot solar cells through band alignment engineering. Nat. Mater. 2014, 3, 796–801. [Google Scholar] [CrossRef]
- De Franceschi, S.; Kouwenhoven, L.; Schönenberger, C.; Wernsdorfer, W. Hybrid superconductor–quantum dot devices. Nat. Nanotechnol. 2010, 5, 703–711. [Google Scholar] [CrossRef]
- Gao, X.; Yang, L.; Petros, J.A.; Marshall, F.F.; Simons, J.W.; Nie, S. In vivo molecular and cellular imaging with quantum dots. Cur. Opin. Biotechnol. 2005, 16, 63–72. [Google Scholar] [CrossRef]
- Ben Mahrsia, R.; Choubani, M.; Bouzaiene, L.; Maaref, H. Second-Harmonic Generation in Vertically Coupled InAs/GaAs Quantum Dots with a Gaussian Potential Distribution: Combined Effects of Electromagnetic Fields, Pressure, and Temperature. Electron. Mater. 2015, 44, 2792–2799. [Google Scholar]
- Ameenah, A.N. The anti-crossing and dipping spectral behavior of coupled nanocrystal system under the influence of the magnetic field. Results Phys. 2021, 22, 103835. [Google Scholar] [CrossRef]
- Kastner, M.A. Artificial Atoms. Phys. Today 1993, 46, 24–31. [Google Scholar] [CrossRef]
- Ashoori, R.C. Electrons in artificial atoms. Nature 1996, 379, 413–419. [Google Scholar] [CrossRef]
- Johnson, N.F. Quantum dots: Few-body, low-dimensional systems. Phys. Condens. Matter 1995, 7, 965. [Google Scholar] [CrossRef]
- Akman, N.; Tomak, M. Interacting electrons in a 2D quantum dot. Phys. B 1999, 262, 317–321. [Google Scholar] [CrossRef]
- Bednarek, S.; Szafran, B.; Adamowski, J. Many-electron artificial atoms. Phys. Rev. B 1999, 59, 13036. [Google Scholar] [CrossRef]
- Sahin, M.; Tomak, M. Electronic structure of a many-electron spherical quantum dot with an impurity. Phys. Rev. B 2005, 72, 125323. [Google Scholar] [CrossRef]
- Dakhlaoui, H.; Belhadj, W.; Elabidi, H.; Ungan, F.; Wong, B.M. GaAs Quantum Dot Confined with a Woods–Saxon Potential: Role of Structural Parameters on Binding Energy and Optical Absorption. Inorganics 2023, 11, 401. [Google Scholar] [CrossRef]
- Zhu, J.; Xiong, J.; Gu, B. Confined electron and hydrogenic donor states in a spherical quantum dot of GaAs-Ga1−xAlxAs. Phys. Rev. B 1990, 41, 6001. [Google Scholar] [CrossRef] [PubMed]
- Porras-Montenegro, N.; Perez-Merchancano, S.T. Hydrogenic impurities in GaAs-(Ga,Al)As quantum dots. Phys. Rev. B 1992, 46, 9780. [Google Scholar] [CrossRef] [PubMed]
- Aktas, S.; Boz, F. The binding energy of hydrogenic impurity in multilayered spherical quantum dot. Physica E 2008, 40, 753. [Google Scholar] [CrossRef]
- Sahin, M. Photoionization cross section and intersublevel transitions in a one- and two-electron spherical quantum dot with a hydrogenic impurity. Phys. Rev. B 2008, 77, 045317. [Google Scholar] [CrossRef]
- Sahin, M. Third-order nonlinear optical properties of a one- and two-electron spherical quantum dot with and without a hydrogenic impurity. Appl. Phys. 2009, 106, 063710. [Google Scholar] [CrossRef]
- Holovatsky, V.A.; Frankiv, I.B. Oscillator strength of quantum transition in multi-shell quantum dots with impurity. J. Optoelectr. Adv. Mater. 2013, 15, 88–93. [Google Scholar]
- Holovatsky, V.; Bernik, I.; Voitsekhivska, O. Oscillator Strengths of Quantum Transitions in Spherical Quantum Dot GaAs/AlxGa1-xAs/GaAs/AlxGa1-xAs with On-Center Donor Impurity. Acta Phys. Pol. A 2014, 125, 93. [Google Scholar] [CrossRef]
- Li, S.-S.; Xia, J.-B. Intraband optical absorption in semiconductor coupled quantum dots. Phys. Rev. B 1997, 55, 15434. [Google Scholar] [CrossRef]
- Schrey, F.F.; Rebohle, L.; Muller, T.; Strasser, G.; Unterrainer, K.; Nguyen, D.P.; Regnault, N.; Ferreira, R.; Bastard, G. ntraband transitions in quantum dot superlattice heterostructures. Phys. Rev. B 2005, 72, 155310. [Google Scholar] [CrossRef]
- Bahar, M.K.; Baser, P. Nonlinear optical characteristics of thermodynamic effects- and electric field-triggered Mathieu quantum dot. Micro Nanostruct. 2022, 170, 207371. [Google Scholar] [CrossRef]
- Batra, K.; Prasad, V. Spherical quantum dot in Kratzer confining potential: Study of linear and nonlinear optical absorption coefficients and refractive index changes. Eur. Phys. J. B 2018, 91, 298. [Google Scholar] [CrossRef]
- Buczko, R.; Bassani, F. Bound and resonant electron states in quantum dots: The optical spectrum. Phys. Rev. B 1996, 54, 2667. [Google Scholar] [CrossRef]
- Narvaez, G.A.; Zunger, A. Calculation of conduction-to-conduction and valence-to-valence transitions between bound states in (In,Ga)As/GaAs quantum dots. Phys. Rev. B 2007, 75, 085306. [Google Scholar] [CrossRef]
- Ed-Dahmouny, A.; Arraoui, R.; Jaouane, M.; Fakkahi, A.; Sali, A.; Es-Sbai, N.; El-Bakkari, K.; Zeiri, N.; Duque, C.A. The influence of the electric and magnetic fields on donor impurity electronic states and optical absorption coefficients in a core/shell GaAs/AlGaAs ellipsoidal quantum dot. Eur. Phys. J. Plus 2023, 138, 774. [Google Scholar] [CrossRef]
- Fakkahi, A.; Jaouane, M.; Kirak, M.; Khordad, R.; Sali, A.; Arraoui, R.; El-bakkari, K.; Ed-Dahmouny, A.; Azmi, H. Optical absorption coefficients of a single electron in a multilayer spherical quantum dot with a Kratzer-like confinement potential. Results Opt. 2023, 13, 100553. [Google Scholar] [CrossRef]
- Yilmaz, S.; Safak, H. Oscillator strengths for the intersubband transitions in a CdS–SiO2 quantum dot with hydrogenic impurity. Physica E 2007, 36, 40–44. [Google Scholar] [CrossRef]
- Kirak, M.; Yilmaz, S.; Sahin, M.; Gencaslan, M.J. The electric field effects on the binding energies and the nonlinear optical properties of a donor impurity in a spherical quantum dot. Appl. Phys. 2011, 109, 094309. [Google Scholar] [CrossRef]
- Khordad, R. Use of modified Gaussian potential to study an exciton in a spherical quantum dot. Superlattices Microstruct. 2013, 54, 7–15. [Google Scholar] [CrossRef]
- Ciurla, M.; Adamowski, J.; Szafran, B.; Bednarek, S. Modelling of confinement potentials in quantum dots. Physica E 2002, 15, 261. [Google Scholar] [CrossRef]
- Bednarek, S.; Szafran, B.; Lis, K.; Adamowski, J. Modeling of electronic properties of electrostatic quantum dots. Phys. Rev. B 2003, 68, 155333. [Google Scholar] [CrossRef]
- Szafran, B.; Bednarek, S.; Adamowski, J. Parity symmetry and energy spectrum of excitons in coupled self-assembled quantum dots. Phys. Rev. B 2001, 64, 125301. [Google Scholar] [CrossRef]
- Gharaati, A.; Khordad, R. A new confinement potential in spherical quantum dots: Modified Gaussian potential. Superlattices Microstruct. 2010, 48, 276–287. [Google Scholar] [CrossRef]
- Harrison, P. Quantum Wells, Wires and Dots: Theoretical and Computational Physics of Semiconductor Nanostructures; Wiley: Chichester, UK, 2009. [Google Scholar]
- Ben Daniel, D.J.; Duke, C.B. Space-Charge Effects on Electron Tunneling. Phys. Rev. 1996, 152, 683. [Google Scholar] [CrossRef]
- Sahin, M.; Koksal, K. The linear optical properties of a multi-shell spherical quantum dot of a parabolic confinement for cases with and without a hydrogenic impurity. Semicond. Sci. Technol. 2012, 27, 125011. [Google Scholar] [CrossRef]










Disclaimer/Publisher’s Note: The statements, opinions and data contained in all publications are solely those of the individual author(s) and contributor(s) and not of MDPI and/or the editor(s). MDPI and/or the editor(s) disclaim responsibility for any injury to people or property resulting from any ideas, methods, instructions or products referred to in the content. |
© 2024 by the authors. Licensee MDPI, Basel, Switzerland. This article is an open access article distributed under the terms and conditions of the Creative Commons Attribution (CC BY) license (https://creativecommons.org/licenses/by/4.0/).
Share and Cite
Alauwaji, R.M.; Dakhlaoui, H.; Algraphy, E.; Ungan, F.; Wong, B.M. Binding Energies and Optical Properties of Power-Exponential and Modified Gaussian Quantum Dots. Molecules 2024, 29, 3052. https://doi.org/10.3390/molecules29133052
Alauwaji RM, Dakhlaoui H, Algraphy E, Ungan F, Wong BM. Binding Energies and Optical Properties of Power-Exponential and Modified Gaussian Quantum Dots. Molecules. 2024; 29(13):3052. https://doi.org/10.3390/molecules29133052
Chicago/Turabian StyleAlauwaji, Ruba Mohammad, Hassen Dakhlaoui, Eman Algraphy, Fatih Ungan, and Bryan M. Wong. 2024. "Binding Energies and Optical Properties of Power-Exponential and Modified Gaussian Quantum Dots" Molecules 29, no. 13: 3052. https://doi.org/10.3390/molecules29133052
APA StyleAlauwaji, R. M., Dakhlaoui, H., Algraphy, E., Ungan, F., & Wong, B. M. (2024). Binding Energies and Optical Properties of Power-Exponential and Modified Gaussian Quantum Dots. Molecules, 29(13), 3052. https://doi.org/10.3390/molecules29133052

