Optimization of Extraction Conditions for Water-Soluble Polysaccharides from the Roots of Adenophora tetraphylla (Thunb.) Fisch. and Its Effects on Glucose Consumption on HepG2 Cells
Abstract
1. Introduction
2. Results and Discussion
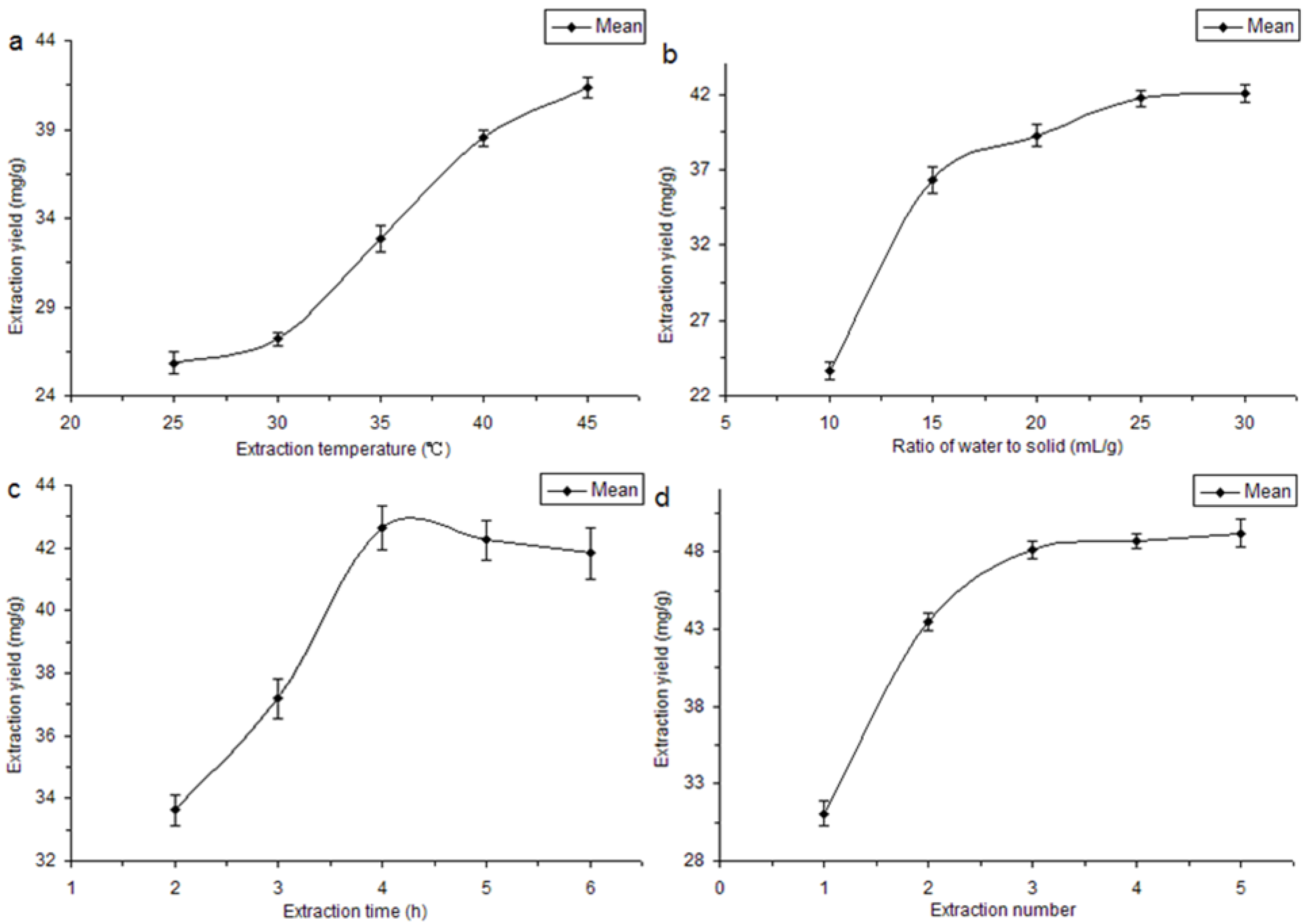
2.1. Effect of Single-Factor on the Extraction Efficiency of ARPs
2.2. Response Surface Optimization of the Extraction Conditions of ARPs
2.2.1. The Model Fitting and Statistical Analysis
2.2.2. Optimization for the Extraction Conditions of ARPs
2.2.3. Validation of Predictive Model
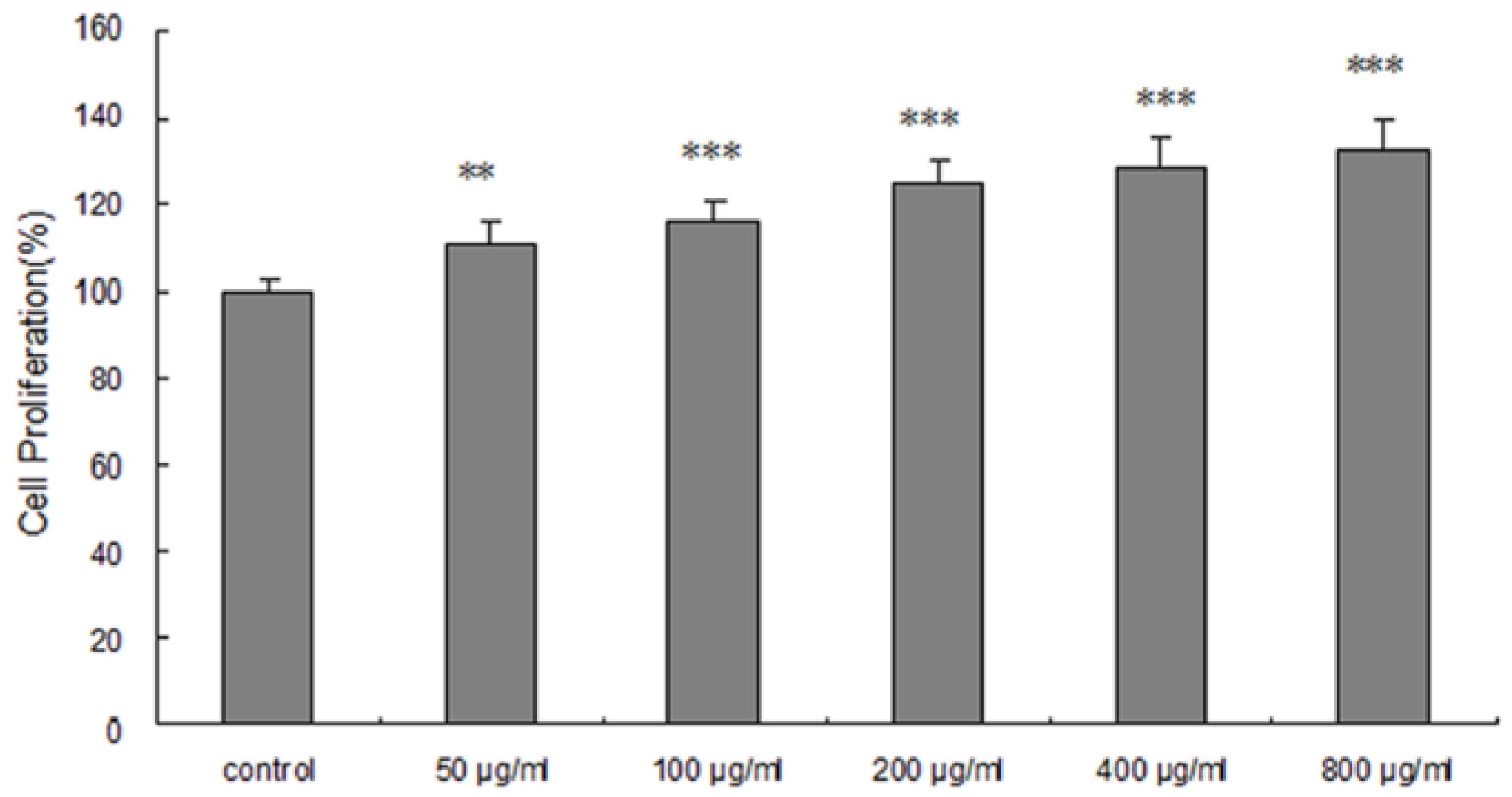
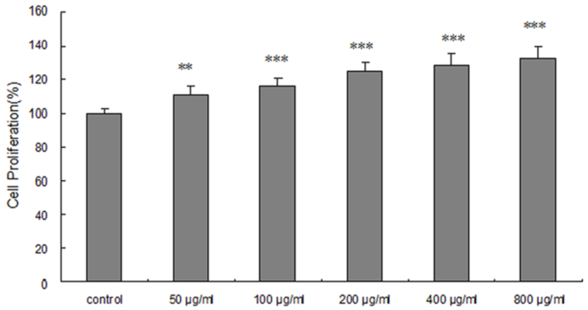
2.3. Promotion of HepG2 Cell Proliferation by ARPs
2.4. ARPs Promote Glucose Consumption in HepG2 Cells
3. Materials and Methods
3.1. Materials and Chemicals
3.2. Extraction of ARPs
3.3. Determination of ARPs
3.4. Experimental Design and Statistical Analysis
3.5. Cell Culture
3.6. The Effects of ARPs on HepG2 Cell Proliferation
3.7. Glucose Consumption Assay
3.8. Statistical Analysis
4. Conclusions
Author Contributions
Funding
Institutional Review Board Statement
Informed Consent Statement
Data Availability Statement
Conflicts of Interest
References
- Yu, Y.; Shen, M.; Song, Q.; Xie, J. Biological activities and pharmaceutical applications of polysaccharide from natural resources: A review. Carbohydr. Polym. 2018, 183, 91–101. [Google Scholar] [CrossRef] [PubMed]
- Li, M.M.; Jiang, H.J.; Hao, Y.L.; Du, K.Q.; Du, H.L.; Ma, C.; Tu, H.; He, Y. A systematic review on botany, processing, application, phytochemistry and pharmacological action of Radix Rehmnniae. J. Ethnopharmacol. 2022, 285, 114820. [Google Scholar] [CrossRef] [PubMed]
- Zhou, S.; Huang, G.; Huang, H. Extraction, derivatization and antioxidant activities of onion polysaccharide. Food Chem. 2022, 388, 133000. [Google Scholar] [CrossRef] [PubMed]
- Ru-Ming Liu, R.M.; Dai, R.; Luo, Y.; Xiao, J.H. Glucose-lowering and hypolipidemic activities of polysaccharides from Cordyceps taii in streptozotocin-induced diabetic mice. BMC Complement. Altern. Med. 2019, 19, 230. [Google Scholar] [CrossRef]
- Zhang, Y.; Khan, M.Z.H.; Yuan, T.T.; Zhang, Y.W.; Liu, X.H.; Du, Z.L.; Zhao, Y.Y. Preparation and characterization of D. opposita Thunb polysaccharide-zinc inclusion complex and evaluation of anti-diabetic activities. Int. J. Biol. Macromol. 2019, 121, 1029–1036. [Google Scholar] [CrossRef] [PubMed]
- Sun, W.; Kou, X.H.; Wu, C.E.; Fan, G.J.; Li, T.T.; Cheng, X.; Xu, K.Q.; Suo, A.D.; Tao, Z. Low-temperature plasma modification, structural characterization and anti-diabetic activity of an apricot pectic polysaccharide. Int. J. Biol. Macromol. 2023, 240, 124301. [Google Scholar] [CrossRef] [PubMed]
- Chinese Pharmacopoeia Commission. The Pharmacopoeia of The People’s Republic of China, 1st ed.; China Medical Science Press: Beijing, China, 2020; pp. 255–256. [Google Scholar]
- Xiao, P.G. Modern Chinese Material Medica; Chemical Industry Press: Beijing, China, 2020; Volume 3, pp. 666–673. [Google Scholar]
- Wang, C.Z.; Chen, J.L.; Li, P.Y. Research progress in chemical constituents and biological activities of Adenophora tetraphylla (Thunb.) Fisch. Guide China Med. 2014, 12, 81–82. [Google Scholar] [CrossRef]
- Li, J.W.; Liu, Y.; Li, B.H.; Wang, Y.Y.; Wang, H.; Zhou, C.L. A polysaccharide purified from Radix Adenophorae promotes cell activation and pro-inflammatory cytokine production in murine RAW264.7 macrophages. Chin. J. Nat. Med. 2016, 14, 370–376. [Google Scholar] [PubMed]
- Garcia-Vaquero, M.; Rajauria, G.; O’Doherty, J.V.; Sweeney, T. Polysaccharides from macroalgae: Recent advances, innovative technologies and challenges in extraction and purification. Food Res. Int. 2017, 99, 1011–1120. [Google Scholar] [CrossRef]
- Nai, J.J.; Zhang, C.; Shao, H.L.; Li, B.Q.; Li, H.; Gao, L.; Dai, M.M.; Zhu, L.Q.; Sheng, H.G. Extraction, structure, pharmacological activities and drug carrier applications of Angelica sinensis polysaccharide. Int. J. Biol. Macromol. 2021, 183, 2337–2353. [Google Scholar] [CrossRef]
- Kuang, H.X.; Shao, C.J.; Kasai, R.; Ohtani, K.; Tian, Z.K.; Xu, J.D.; Tanaka, O. Phenolic glycosides from roots of Adenophora tetraphylla collected in Heilongjiang, China. Chem. Pharm. Bull. 1991, 39, 2440–2442. [Google Scholar] [CrossRef]
- Han, Z.Y.; Wu, J.T.; Lin, Y.X.; Bi, Y.; Naseem, A.; Hao, Z.C.; Pan, J.; Guan, W.; Kuang, H.X.; Chen, Q.S.; et al. Seven new triterpenoids from the roots of Adenophora tetraphylla (Thub.) Fisch. Fitoterapia 2024, 175, 105902. [Google Scholar] [CrossRef] [PubMed]
- Zhang, X.Q.; Chen, J.Y.; Mao, M.X.; Guo, H.Z.; Dai, Y.R. Extraction optimization of the polysaccharide from Adenophorae Radix by Central Composite Design. Int. J. Biol. Macromol. 2014, 67, 318–322. [Google Scholar] [CrossRef] [PubMed]
- Khaoula, M.H.; Majdi, H.; Christophe, R.; Didier, L.C.; Riadh, K.; Hatem, M. Optimization extraction of polysaccharide from Tunisian Zizyphus lotus fruit by response surface methodology: Composition and antioxidant activity. Food Chem. 2016, 212, 476–484. [Google Scholar] [CrossRef]
- El-Gendi, H.; Abu-Serie, M.M.; Kamoun, E.A.; Saleh, A.K.; El-Fakharany, E.M. Statistical optimization and characterization of fucose-rich polysaccharides extracted from pumpkin (Cucurbita maxima) along with antioxidant and antiviral activities. Int. J. Biol. Macromol. 2023, 232, 123372. [Google Scholar] [CrossRef] [PubMed]
- Leng, X.; Miao, W.; Li, J.; Liu, Y.; Zhao, W.; Mu, Q.; Li, Q. Physicochemical characteristics and biological activities of grape polysaccharides collected from different cultivars. Food Res. Int. 2023, 163, 112161. [Google Scholar] [CrossRef]
- Mujtaba, M.A. Development of Apigenin-Loaded Niosomes Using Ecological Probe Sonication Technique for Enhanced Oral Delivery: Application of Box-Behnken Design. Curr. Pharm. Biotechnol. 2022, 23, 882–893. [Google Scholar] [CrossRef] [PubMed]
- Polo-Castellano, C.; Álvarez, J.Á.; Palma, M.; Barbero, G.F.; Ayuso, J.; Ferreiro-González, M. Optimization through a Box-Behnken Experimental Design of the Microwave-Assisted Extraction of the Psychoactive Compounds in Hallucinogenic Fungi (Psylocibe cubensis). J. Fungi 2022, 8, 598. [Google Scholar] [CrossRef]
- Zhou, S.H.; Jiang, N.; Zhang, M.; Xiao, X.; Liu, Z.Y.; Xu, X.H.; Gao, Q.H.; Lv, W.L. Analyzing active constituents and optimal steaming conditions related to the hematopoietic effect of steamed Panax notoginseng by network pharmacology coupled with Response Surface Methodology. Biomed. Res. Int. 2020, 2020, 9371426. [Google Scholar] [CrossRef]
- Ji, X.; Rong, L.; Yu, Q.; Chen, Y.; Li, J.; Xie, J. Gallic acid and heat moisture treatment improve pasting, rheological, and microstructure properties of Chinese yam starch-chitosan gels: A comparative study. Int. J. Biol. Macromol. 2022, 222, 114–120. [Google Scholar] [CrossRef]
- Nie, C.Z.P.; Zhu, P.L.; Wang, M.C.; Ma, S.P.; Wei, Z.H. Optimization of water-soluble polysaccharides from stem lettuce by response surface methodology and study on its characterization and bioactivities. Int. J. Biol. Macromol. 2017, 105, 912–923. [Google Scholar] [CrossRef] [PubMed]
- Qu, Y.; Li, C.; Zhang, C.; Zeng, R.; Fu, C. Optimization of infrared-assisted extraction of Bletilla striata polysaccharides based on response surface methodology and their antioxidant activities. Carbohydr. Polym. 2016, 148, 345–353. [Google Scholar] [CrossRef] [PubMed]
- Zhu, C.; Zhai, X.C.; Li, L.Q.; Wu, X.X.; Li, B. Response surface optimization of ultrasound-assisted polysaccharides extraction from pomegranate peel. Food Chem. 2015, 177, 139–146. [Google Scholar] [CrossRef] [PubMed]
- He, N.W.; Qin, J.J.; Wang, X.J. Optimization of ultrasonic assisted extraction technology of polysaccharide from Chenopodium album Linn and its antioxidant activity in vitro. Sci. Technol. Food Ind. 2018, 39, 235–240+252. [Google Scholar] [CrossRef]
- Chen, C.L.; Kasimu, R.; Xie, X.Y.; Zheng, Y.L.; Ding, W.H. Optimised extraction of Erythronium sibiricum bulb polysaccharides and evaluation of their bioactivities. Int. J. Biol. Macromol. 2016, 82, 898–904. [Google Scholar] [CrossRef] [PubMed]
- Liang, R.J. Optimization of extraction process of Glycyrrhiza glabra polysaccharides by response surface methodology. Carbohyd. Polym. 2008, 74, 858–861. [Google Scholar] [CrossRef]
- Chang, M.L.; Shi, S.Y.; Liu, H.P.; Tu, J.Q.; Yan, Z.Q.; Ding, S.Y. Extraction, characterization, and in vivo antitumor activity of a novel polysaccharide from Coriandrum sativum L. J. Food Biochem. 2022, 46, e14323. [Google Scholar] [CrossRef]
- Shao, Y.W.; Zheng, C.Q.; Liu, K.K.; Xiong, J.Y.; Wang, X.L.; Han, M.Y.; Li, L.; Shi, Y.L.; Lu, J.K.; Yi, J.J. Extraction optimization, purification, and biological properties of polysaccharide from Chinese yam peel. J. Food Biochem. 2022, 46, e14490. [Google Scholar] [CrossRef] [PubMed]
- Adams, A.G.; Bulusu, R.K.M.; Mukhitov, N.; Mendoza-Cortes, J.L.; Roper, M.G. Online measurement of glucose consumption from HepG2 cells using an integrated bioreactor and enzymatic assay. Anal. Chem. 2019, 91, 5184–5190. [Google Scholar] [CrossRef]
- Jin, D.; Zhao, T.; Feng, W.W.; Mao, G.H.; Zou, Y.; Wang, W.; Li, Q.; Chen, Y.; Wang, X.T.; Yang, L.Q.; et al. Schisandra polysaccharide increased glucose consumption by up-regulating the expression of GLUT-4. Int. J. Biol. Macromol. 2016, 87, 555–562. [Google Scholar] [CrossRef]
- Dou, Z.; Chen, C.; Fu, X. The effect of ultrasound irradiation on the physicochemical properties and α-glucosidase inhibitory effect of blackberry fruit polysaccharide. Food Hydrocoll. 2019, 96, 568–576. [Google Scholar] [CrossRef]
- Masuko, T.; Minami, A.; Iwasaki, N.; Majima, T.; Nishimura, S.I.; Lee, Y.C. Carbohydrate analysis by a phenol-sulfuric acid method in a microplate format. Anal. Biochem. 2005, 339, 69–72. [Google Scholar] [CrossRef] [PubMed]
- Mosmann, T. Rapid colorimetric assay for cellular growth and survival: Application to proliferation and cytotoxicity assays. J. Immunol. Methods 1983, 65, 55–63. [Google Scholar] [CrossRef] [PubMed]
- Li, Y.Y.; Wu, H.S.; Tang, L.; Feng, C.R.; Yu, J.H.; Li, Y.; Yang, Y.S.; Yang, B.; He, Q.J. The potential insulin sensitizing and glucose lowering effects of a novel indole derivative in vitro and in vivo. Pharmacol. Res. 2007, 56, 335–343. [Google Scholar] [CrossRef] [PubMed]




| No. | X1/Extraction Temperature (°C) | X2/Ratio of Water to Solid (mL/g) | X3/Extraction Time (h) | Y/Extraction Yield (mg/g) |
|---|---|---|---|---|
| 1 | 40 | 30 | 3 | 52.42 |
| 2 | 35 | 25 | 5 | 58.16 |
| 3 | 45 | 30 | 4 | 64.28 |
| 4 | 35 | 30 | 4 | 51.32 |
| 5 | 45 | 25 | 3 | 58.01 |
| 6 | 45 | 20 | 4 | 59.18 |
| 7 | 40 | 30 | 5 | 60.52 |
| 8 | 35 | 20 | 4 | 48.82 |
| 9 | 40 | 20 | 5 | 55.42 |
| 10 | 35 | 25 | 3 | 46.15 |
| 11 | 45 | 25 | 5 | 62.46 |
| 12 | 40 | 20 | 3 | 44.97 |
| 13 | 40 | 25 | 4 | 56.45 |
| 14 | 40 | 25 | 4 | 57.62 |
| 15 | 40 | 25 | 4 | 56.02 |
| 16 | 40 | 25 | 4 | 58.09 |
| 17 | 40 | 25 | 4 | 57.31 |
| Source | Sum of Squares | Degree of Freedom | Mean Square | F-Value | p-Value (Prob > F) |
|---|---|---|---|---|---|
| Model | 449.49 | 9 | 49.94 | 27.10 | 0.0001 |
| X1 | 194.83 | 1 | 194.83 | 105.72 | <0.0001 |
| X2 | 50.75 | 1 | 50.75 | 27.54 | 0.0012 |
| X3 | 153.21 | 1 | 153.21 | 83.14 | <0.0001 |
| X1X2 | 1.69 | 1 | 1.69 | 0.92 | 0.3702 |
| X1X3 | 14.29 | 1 | 14.29 | 7.75 | 0.0271 |
| X2X3 | 1.38 | 1 | 1.38 | 0.75 | 0.4154 |
| X12 | 2.92 | 1 | 2.92 | 1.58 | 0.2487 |
| X22 | 17.36 | 1 | 17.36 | 9.42 | 0.0181 |
| X32 | 12.68 | 1 | 12.68 | 6.88 | 0.0343 |
| Residual | 12.90 | 7 | 1.84 | ||
| Lack of fit | 10.02 | 3 | 3.34 | 4.63 | 0.0864 |
| Pure error | 2.88 | 4 | 0.72 | ||
| Cor total | 462.39 | 16 | |||
| R2 | 0.9721 | ||||
| Adj. R2 | 0.9362 | ||||
| Pred. R2 | 0.6436 | ||||
| Adequate precision | 18.258 |
| Independent Variables | Coded Symbols | Levels | ||
|---|---|---|---|---|
| −1 | 0 | 1 | ||
| Extraction temperature (°C) | X1 | 35 | 40 | 45 |
| Ratio of water to solid (mL/g) | X2 | 20 | 25 | 30 |
| Extraction time (h) | X3 | 3 | 4 | 5 |
Disclaimer/Publisher’s Note: The statements, opinions and data contained in all publications are solely those of the individual author(s) and contributor(s) and not of MDPI and/or the editor(s). MDPI and/or the editor(s) disclaim responsibility for any injury to people or property resulting from any ideas, methods, instructions or products referred to in the content. |
© 2024 by the authors. Licensee MDPI, Basel, Switzerland. This article is an open access article distributed under the terms and conditions of the Creative Commons Attribution (CC BY) license (https://creativecommons.org/licenses/by/4.0/).
Share and Cite
Wu, J.; Zhou, X.; Sun, H.; Yu, D. Optimization of Extraction Conditions for Water-Soluble Polysaccharides from the Roots of Adenophora tetraphylla (Thunb.) Fisch. and Its Effects on Glucose Consumption on HepG2 Cells. Molecules 2024, 29, 3049. https://doi.org/10.3390/molecules29133049
Wu J, Zhou X, Sun H, Yu D. Optimization of Extraction Conditions for Water-Soluble Polysaccharides from the Roots of Adenophora tetraphylla (Thunb.) Fisch. and Its Effects on Glucose Consumption on HepG2 Cells. Molecules. 2024; 29(13):3049. https://doi.org/10.3390/molecules29133049
Chicago/Turabian StyleWu, Junkai, Xiaohang Zhou, Huifeng Sun, and Dan Yu. 2024. "Optimization of Extraction Conditions for Water-Soluble Polysaccharides from the Roots of Adenophora tetraphylla (Thunb.) Fisch. and Its Effects on Glucose Consumption on HepG2 Cells" Molecules 29, no. 13: 3049. https://doi.org/10.3390/molecules29133049
APA StyleWu, J., Zhou, X., Sun, H., & Yu, D. (2024). Optimization of Extraction Conditions for Water-Soluble Polysaccharides from the Roots of Adenophora tetraphylla (Thunb.) Fisch. and Its Effects on Glucose Consumption on HepG2 Cells. Molecules, 29(13), 3049. https://doi.org/10.3390/molecules29133049
