The Synthesis, Structural Characterization, and DFT Calculation of a New Binuclear Gd(III) Complex with 4-Aacetylphenoxyacetic Acid and 1,10-Phenanthroline Ligands and Its Roles in Catalytic Activity
Abstract
1. Introduction
2. Results and Discussion
2.1. Infrared Spectrum
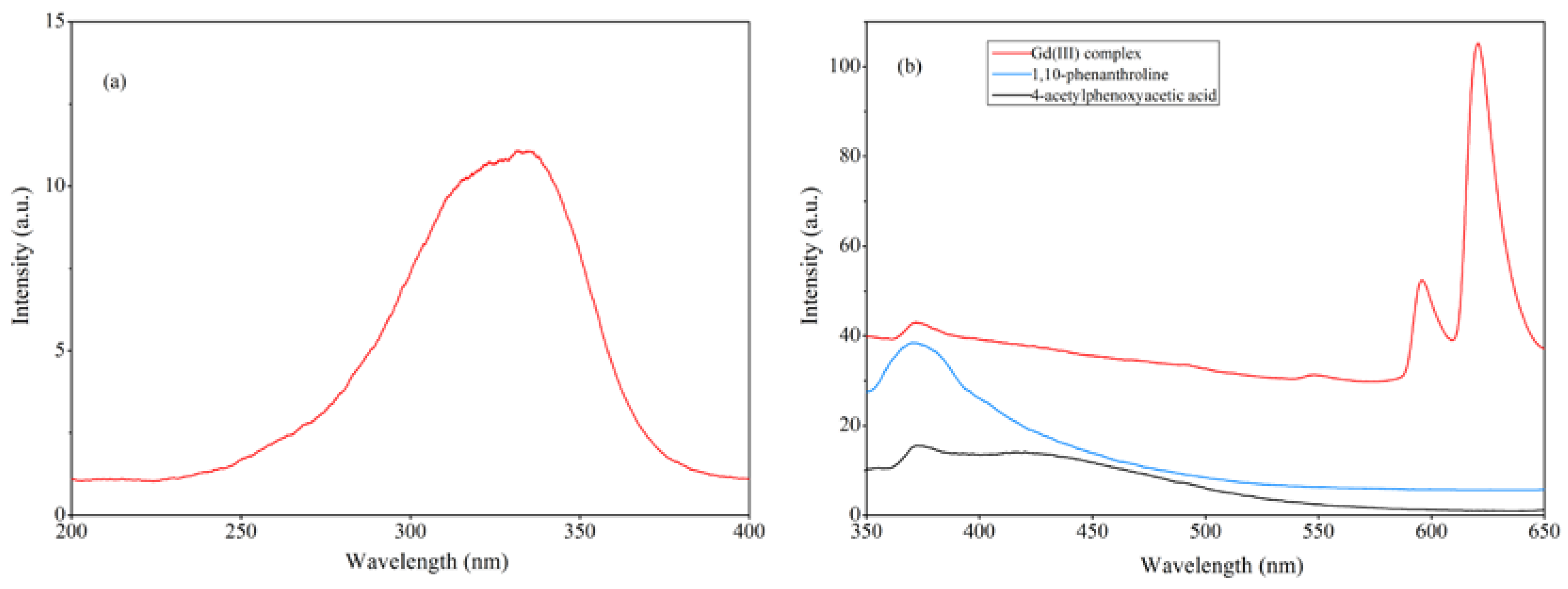
2.2. UV–Vis Spectra
2.3. Thermogravimetric Analysis
2.4. Structural Description of the Gd(III) Complex
2.5. DFT Computation
2.6. Hirschfeld Surface Analysis of the Gd(III) Complex
2.7. Fluorescence Properties
2.8. Photocatalytic CO2 Reduction Activity of the Gd(III) Complex
2.9. Catalytic Activity of the Gd(III) Complex
3. Experimental Section
3.1. Materials and Measurements
3.2. Synthesis of the Gd(III) Complex
3.3. Crystal Structure Determination
3.4. Photocatalytic CO2 Reduction Test
3.5. General Procedure for Benzyl Alcohol Oxidation
4. Conclusions
Supplementary Materials
Author Contributions
Funding
Institutional Review Board Statement
Informed Consent Statement
Data Availability Statement
Acknowledgments
Conflicts of Interest
References
- Liu, X.J.; Chen, T.Q.; Xue, Y.H.; Fan, J.C.; Shen, S.L.; Hossain, M.S.A.; Amin, M.A.; Pan, L.K.; Xu, X.T.; Yamauchi, Y. Nanoarchitectonics of MXene/semiconductor heterojunctions toward artificial photosynthesis via photocatalytic CO2 reduction. Coord. Chem. Rev. 2022, 459, 214440. [Google Scholar] [CrossRef]
- Li, M.D.; Wang, Z.M.; Qi, J.; Yu, R.B. Progress in the construction of metal oxide heterojunctions and their application in photocatalytic CO2 reduction. Chem. J. Chin. Univ. 2023, 44, 20230196. [Google Scholar] [CrossRef]
- Gao, X.Q.; Cao, L.L.; Chang, Y.; Yuan, Z.Y.; Zhang, S.X.; Liu, S.J.; Zhang, M.T.; Fan, H.; Jiang, Z.Y. Improving the CO2 Hydrogenation Activity of Photocatalysts via the Synergy between Surface Frustrated Lewis Pairs and the CuPt Alloy. ACS Sustain. Chem. Eng. 2023, 11, 5597–5607. [Google Scholar] [CrossRef]
- Yin, H.B.; Li, J.H. New insight into photocatalytic CO2 conversion with nearly 100% CO selectivity by CuO-Pd/HxMoO3-y hybrids. Appl. Catal. B Environ. 2023, 320, 121927. [Google Scholar] [CrossRef]
- Heng, Q.Q.; Ma, Y.B.; Wang, X.; Wu, Y.F.; Li, Y.Z.; Chen, W. Role of Ag, Pd cocatalysts on layered SrBi2Ta2O9 in enhancing the activity and selectivity of photocatalytic CO2 reaction. Appl. Surf. Sci. 2023, 632, 1257564. [Google Scholar] [CrossRef]
- Shang, X.F.; Li, G.J.; Wang, R.N.; Xie, T.; Ding, J.; Zhong, Q. Precision loading of Pd on Cu species for highly selective CO2 photoreduction to methanol. Chem. Eng. J. 2023, 456, 140805. [Google Scholar] [CrossRef]
- Yuan, Z.M.; Zhu, X.L.; Jiang, Z.Y. Recent advances of constructing metal/semiconductor catalysts designing for photocatalytic CO2 hydrogenation. Molecules 2023, 28, 5693. [Google Scholar] [CrossRef] [PubMed]
- Zhu, X.L.; Zong, H.B.; Pérez, C.J.V.; Miao, H.H.; Sun, W.; Yuan, Z.M.; Wang, S.H.; Zeng, G.X.; Xu, H.; Jiang, Z.Y.; et al. Supercharged CO2 photothermal catalytic methanation: High conversion, rate, and selectivity. Angew. Chem. Int. Ed. 2023, 62, e202218694. [Google Scholar] [CrossRef] [PubMed]
- Jiang, M.P.; Huang, K.K.; Liu, J.H.; Wang, D.; Wang, Y.; Wang, X.; Li, Z.D.; Wang, X.Y.; Geng, Z.B.; Hou, X.Y.; et al. Magnetic-field-regulated TiO2 {100} facets: A strategy for C-C coupling in CO2 photocatalytic conversion. Chem 2020, 6, 2335–2346. [Google Scholar] [CrossRef]
- Qi, M.Y.; Lin, Q.; Tang, Z.R.; Xu, Y.J. Photoredox coupling of benzyl alcohol oxidation with CO2 reduction over CdS/TiO2 heterostructure under visible light irradiation. Appl. Catal. B Environ. 2022, 307, 121158. [Google Scholar] [CrossRef]
- Yang, M.; Wang, P.; Li, Y.; Tang, S.; Lin, X.; Zhang, H.; Zhu, Z.; Chen, F. Graphene aerogel-based NiAl-LDH/g-C3N4 with ultratight sheet-sheet heterojunction for excellent visible-light photocatalytic activity of CO2 reduction. Appl. Catal. B Environ. 2022, 306, 121065. [Google Scholar] [CrossRef]
- Zhao, K.; Zhao, S.; Gao, C.; Qi, J.; Yin, H.; Wei, D.; Mideksa, M.F.; Wang, X.; Gao, Y.; Tang, Z.; et al. Metallic cobalt–carbon composite as recyclable and robust magnetic photocatalyst for efficient CO2 reduction. Small 2018, 14, 1800762. [Google Scholar] [CrossRef] [PubMed]
- Cai, J.; Lu, J.Y.; Chen, Q.Y.; Qu, L.L.; Lu, Y.Q.; Gao, G.F. Eu-based MOF/graphene oxide composite: A novel photocatalyst for the oxidation of benzyl alcohol using water as oxygen source. New J. Chem. 2017, 41, 3882–3886. [Google Scholar] [CrossRef]
- Tan, T.H.; Scott, J.; Ng, Y.H.; Taylor, R.A.; Aguey-zinsou, K.F.; Amal, R. C–C Cleavage by Au/TiO2 during ethanol oxidation: Understanding bandgap photoexcitation and plasmonically mediated charge transfer via quantitative in situ drifts. ACS Catal. 2016, 6, 8021–8029. [Google Scholar] [CrossRef]
- Zhou, H.; Xiao, L.P.; Liu, X.N.; Li, S.; Kobaya-shi, H.; Zheng, X.M.; Fan, J. Defectless, layered organo-titanosilicate with superhydrophobicity and its catalytic activity in room-temperature olefin epoxidation. Chem. Commun. 2012, 55, 6954–6956. [Google Scholar] [CrossRef] [PubMed]
- Xia, W.; Ren, Y.Y.; Liu, J.; Deng, B.Y.; Wang, F. Non-synergistic photocatalysis of CO2-to-CO conversion by a binuclear complex of rigidly linking two cobalt catalytic centers. J. Photochem. Photobiol. A Chem. 2022, 426, 113754. [Google Scholar] [CrossRef]
- Jing, H.W.; Zhao, L.; Song, G.Y.; Li, J.Y.; Wang, Z.Y.; Han, Y.; Wang, Z.X. Application of a mixed-ligand metal-organic framework in photocatalytic CO2 reduction, antibacterial activity and dye adsorption. Molecules 2023, 28, 5204. [Google Scholar] [CrossRef]
- Xin, X.; Ma, N.; Hu, C.Y.; Liang, Q.; Bian, Z.Y. Abundant manganese complex-anchored BiOI hybrid photocatalyst for visible light-driven CO2 reduction. Nano 2019, 14, 111–119. [Google Scholar] [CrossRef]
- Yasuomi, Y.; Takayuki, O.; Jun, I.; Shota, F.; Chinatsu, T.; Tomoya, U.; Taro, T. Photocatalytic CO2 reduction using various heteroleptic diimine-diphosphine Cu(I) complexes as photosensitizers. Front. Chem. 2019, 7, 288. [Google Scholar] [CrossRef]
- Fu, Z.C.; Mi, C.; Sun, Y.; Yang, Z.; Xu, Q.Q.; Fu, W.F. An unexpected iron (II)-based homogeneous catalytic system for highly efficient CO2-to-CO conversion under visible-light irradiation. Molecules 2019, 24, 1878. [Google Scholar] [CrossRef]
- Sakakibara, N.; Shizuno, M.; Kanazawa, T.; Kato, K.; Yamakata, A.; Nozawa, S.; Ito, T.; Terashima, K.; Maeda, K.; Tamaki, Y.; et al. Surface-specific modification of graphitic carbon nitride by plasma for enhanced durability and selectivity of photocatalytic CO2 reduction with a supramolecular photocatalyst. ACS Appl. Mater. Interfaces 2023, 15, 13205–13218. [Google Scholar] [CrossRef] [PubMed]
- Tai, X.S.; Wang, Y.F.; Wang, L.H.; Yan, X.H. Synthesis, structural characterization, hirschfeld surface analysis and photocatalytic CO2 reduction of Yb(III) complex with 4-acetylphenoxyacetic acid and 1,10-phenanthroline ligands. Bull. Chem. React. Eng. Catal. 2023, 18, 285–293. [Google Scholar] [CrossRef]
- Wang, L.H.; Tai, X.S. Synthesis, structural characterization, hirschfeld surface analysis and photocatalytic CO2 reduction activity of a new dinuclear Gd(III) complex with 6-phenylpyridine-2-carboxylic acid and 1,10-phenanthroline ligands. Molecules 2023, 28, 7595. [Google Scholar] [CrossRef] [PubMed]
- Meena, B.I.; Lakk-Bogáth, D.; Kaizer, J. Effect of redox potential on manganese-mediated benzylalcohol and sulfide oxidation. Comptes Rendus Chim. 2021, 24, 281–290. [Google Scholar] [CrossRef]
- Lu, M.Y.; Hu, X.Y.; Hu, Q.X.; Yang, H.C.; Lai, D.L.; Yan, X.L.; Feng, R.; Zhao, G.F. Selective oxidation of benzyl alcohol to benzaldehyde with air using ZIF-67 derived catalysts. Colloids Surf. A Physicochem. Eng. Asp. 2021, 629, 127520. [Google Scholar] [CrossRef]
- Shoair, A.F.; El-Bindary, A.A.; Abd El-Kader, M.K. Structural and catalytic properties of some azo-rhodanine ruthenium(III) complexes. J. Mol. Struct. 2017, 1143, 100–115. [Google Scholar] [CrossRef]
- Yang, X.J.; Mao, J.C.; Zhang, H.; Zhang, Y.; Mao, J.H. Copper-catalyzed aerobic oxidation reaction of benzyl alcohol in water under base-free condition. Chin. J. Org. Chem. 2018, 38, 2780–2783. [Google Scholar] [CrossRef]
- Urgoitia, G.; Galdón, G.; Churruca, F.; Sanmartin, R.; Herrero, M.T.; Domínguez, E. Aerobic oxidation of secondary benzyl alcohols catalyzed by phosphinite-based palladium pincer complexes. Environ. Chem. Lett. 2018, 16, 1101–1108. [Google Scholar] [CrossRef]
- Tai, X.S.; Yan, X.H.; Wang, L.H. Synthesis, structural characterization, hirschfeld surface analysis, density functional theory, and photocatalytic CO2 reduction activity of a new Ca(II) complex with a bis-Schiff base ligand. Molecules 2024, 29, 1047. [Google Scholar] [CrossRef]
- Wang, L.H.; Wang, Z.J.; Zhao, M.L.; Tai, X.S.; Ouyang, J.; Li, Y.F.; Zhang, W.; Jia, W.L. Synthesis, crystal structure of tetra-nuclear macrocyclic Zn (II) complex and its application as catalyst for oxidation of benzyl alcohol. Bull. Chem. React. Eng. Catal. 2021, 16, 839–846. [Google Scholar] [CrossRef]
- Wang, L.H.; Tai, X.S.; Liu, L.L.; Li, P.F. Synthesis, crystal structure and catalytic activity of a novel Ba(II) complex with pyridine-2-carboxaldehyde-2-phenylacetic acid hydrazone ligand. Crystals 2017, 7, 305. [Google Scholar] [CrossRef]
- Wu, Y.X.; Zhou, J.H.; Zhao, H.B.; Hu, Y.C. Characterization and analysis of phenanthroline derivatives. J. Cent. South For. Univ. 2005, 25, 103–105. [Google Scholar] [CrossRef]
- Becke, A.D. A new mixing of Hartree-Fock and local density-functional theories. J. Chem. Phys. 1993, 98, 1372–1377. [Google Scholar] [CrossRef]
- Wang, L.H.; Tai, H.W. Synthesis, structural characterization, DFT, hirschfeld surface and catalytic activity of a new Zn(II) complex of 4-acetylbenzoic acid. Bull. Chem. React. Eng. Catal. 2023, 18, 200–209. [Google Scholar] [CrossRef]
- Wang, L.H.; Kong, F.Y.; Tai, X.S. Synthesis, structural characterization of a new Ni(II) complex and its catalytic activity for oxidation of benzyl alcohol. Bull. Chem. React. Eng. Catal. 2022, 17, 375–382. [Google Scholar] [CrossRef]
- Frisch, M.J.; Trucks, G.W.; Schlegel, H.B.; Scuseria, G.E.; Robb, M.A.; Cheeseman, J.R.; Calmani, G.; Barone, V.; Petersson, G.A.; Nakatsuji, H.; et al. Gaussian 16, Revision C.02; Gaussian, Inc.: Wallingford, CT, USA, 2019. [Google Scholar]
- Adamo, C.; Barone, V. Toward reliable density functional methods without adjustable parameters: The PBE0 model. J. Chem. Phys. 1999, 110, 6158–6170. [Google Scholar] [CrossRef]
- Francl, M.M.; Pietro, W.J.; Hehre, W.J.; Binkley, J.S.; Gordon, M.S.; DeFrees, D.J.; Pople, J.A. Self-consistent molecular orbital methods. XXIII. A polarization-type basis set for second-row elements. J. Chem. Phys. 1982, 77, 3654–3665. [Google Scholar] [CrossRef]
- Dolg, M.; Stoll, H.; Savin, A.; Preuss, H. Energy-adjusted pseudopotentials for the rare Earth elements. Theor. Chim. Acta 1989, 75, 173–194. [Google Scholar] [CrossRef]
- Humphrey, W.; Dalke, A.; Schulten, K. VMD: Visual molecular dynamics. J. Mol. Graph. 1996, 14, 33–38. [Google Scholar] [CrossRef]
- Lu, T.; Chen, F. Multiwfn: A multifunctional wavefunction analyzer. J. Comput. Chem. 2012, 33, 580–593. [Google Scholar] [CrossRef]
- Spackman, P.R.; Turner, M.J.; McKinnon, J.J.; Wolff, S.K.; Grimwood, D.J.; Jayatilaka, D.; Spackman, M.A. CrystalExplorer:a program for Hirshfeld surface analysis, vis-ualization and quantitative analysis of molecular crystals. J. Appl. Crystallogr. 2021, 54, 1006–1011. [Google Scholar] [CrossRef] [PubMed]
- Dolomanov, O.V.; Bourhis, L.J.; Gildea, R.J.; Howard, J.A.K.; Puschmann, H. OLEX2: A complete structure solution, refinement and analysis program. J. Appl. Crystallogr. 2009, 42, 339–341. [Google Scholar] [CrossRef]
- Sheldrick, G.M. A short history of SHELX. Acta Crystallogr. 2008, A64, 112–122. [Google Scholar] [CrossRef] [PubMed]
- Sheldrick, G.M. Crystal structure refinement with SHELXL. Acta Crystallogr. 2015, C71, 3–8. [Google Scholar] [CrossRef]











| Bond | d | Angle | (°) |
|---|---|---|---|
| Gd1-O1 | 2.424(3) | O1-Gd1-N1 | 89.00(12) |
| Gd1-O2 | 2.540(3) | O1-Gd1-N2 | 75.85(12) |
| Gd1-O7a | 2.496(3) | O1-Gd1-O2 | 52.44(11) |
| Gd1-O8 | 2.365(3) | O1-Gd1-O7a | 148.14(11) |
| Gd1-O8a | 2.548(3) | O1-Gd1-O8a | 148.81(11) |
| Gd1-O9 | 2.350(3) | O2-Gd1-N1 | 72.05(12) |
| Gd1-O10a | 2.374(3) | O2-Gd1-N2 | 111.00(11) |
| Gd1-N1 | 2.545(4) | O2-Gd1-O8a | 137.75(11) |
| Gd1-N2 | 2.599(4) | O7a-Gd1-N1 | 74.37(11) |
| O7a-Gd1-N2 | 72.45(11) | ||
| O7a-Gd1-O2 | 139.45(11) | ||
| O7a-Gd1-O8a | 51.53(10) | ||
| O8-Gd1-N1 | 142.33(12) | ||
| O8a-Gd1-N2 | 110.60(11) | ||
| O8-Gd1-N2 | 148.26(12) | ||
| O8-Gd1-O1 | 85.70(11) | ||
| O8-Gd1-O2 | 75.30(11) | ||
| O8-Gd1-O7a | 123.92(10) | ||
| O8-Gd1-O8a | 73.44(11) | ||
| O8-Gd1-O10a | 74.18(11) | ||
| O9-Gd1-N1 | 78.67(11) | ||
| O9-Gd1-N2 | 136.76(11) | ||
| O9-Gd1-O1 | 126.53(12) | ||
| O9-Gd1-O2 | 74.38(11) | ||
| O9-Gd1-O7a | 77.35(11) | ||
| O8-Gd1-O9 | 74.89(10) | ||
| O9-Gd1-O8a | 70.55(10) | ||
| O9-Gd1-O10a | 137.61(10) | ||
| N1-Gd1-O10a | 140.92(12) | ||
| N2-Gd1-O10a | 77.04(11) | ||
| O1-Gd1-O10a | 78.89(12) | ||
| O2-Gd1-O10a | 123.53(12) | ||
| O7a-Gd1-O10a | 96.91(12) | ||
| O8a-Gd1-O10a | 73.32(11) |
| Entry | Solvent | Reaction Temperature (°C) | Conversion (%) b | Selectivity (%) c | Yield (%) d |
|---|---|---|---|---|---|
| 1 | THF | 100 | 3.3 | 90.3 | 3.0 |
| 2 | THF | 120 | 56.5 | 80.8 | 45.7 |
| 3 | 1,4-dioxane | 100 | 5.5 | 81.3 | 4.5 |
| 4 | 1,4-dioxane | 110 | 66.1 | 54.3 | 35.9 |
| 5 | 1,4-dioxane | 120 | 87.4 | 15.0 | 13.1 |
| Entry | Reaction Temperature (°C) | Conversion (%) | Selectivity (%) | Yield (%) |
|---|---|---|---|---|
| Fresh | 120 | 56.5 | 80.8 | 45.7 |
| Run 1 | 120 | 56.7 | 82.1 | 46.6 |
| Run 2 | 100 | 55.6 | 82.5 | 45.9 |
| Run 3 | 110 | 55.8 | 79.0 | 44.1 |
| Ring-Ring | Symmetric Operation Code | Distance between Ring Centroids (Å) | Slippage (Å) |
|---|---|---|---|
| Cg2-Cg3 | -x, 2-y, 1-z | 3.726(3) | 1.297 |
| Cg2-Cg8 | 3.707(3) | 1.210 | |
| Cg3-Cg2 | 3.726(3) | 1.241 | |
| Cg8-Cg2 | 3.707(3) | 1.220 | |
| Cg8-Cg8 | 3.725(2) | 1.281 |
| Empirical Formula | C84H78Gd2N4O28 |
|---|---|
| Formula weight | 1906 |
| Temperature/K | 296.15 |
| Crystal system | Triclinic |
| Space group | P-1 |
| a/Å | 12.305(3) |
| b/Å | 12.816(3) |
| c/Å | 14.551(3) |
| α/° | 70.654(5) |
| β/° | 80.229(5) |
| γ/° | 65.394(5) |
| Volume/Å3 | 1967.1(8) |
| Z | 1 |
| ρcalc, mg/mm3 | 1.609 |
| μ/mm−1 | 1.759 |
| S | 1.052 |
| F(000) | 962 |
| Index ranges | −14 ≤ h ≤ 14, −15 ≤ k ≤ 15, −17 ≤ l ≤ 17 |
| Reflections collected | 39,298 |
| Independent reflections | 6998 [R(int) = 0.0704] |
| Data/restraints/parameters | 6998/9/538 |
| Goodness-of-fit on F2 | 1.047 |
| Refinement method | Full-matrix least-squares on F2 |
| Final R indexes [I ≥ 2σ (I)] | R1 = 0.0402, wR2 = 0.0698 |
| Final R indexes [all data] | R1 = 0.0673, wR2 = 0.0790 |
Disclaimer/Publisher’s Note: The statements, opinions and data contained in all publications are solely those of the individual author(s) and contributor(s) and not of MDPI and/or the editor(s). MDPI and/or the editor(s) disclaim responsibility for any injury to people or property resulting from any ideas, methods, instructions or products referred to in the content. |
© 2024 by the authors. Licensee MDPI, Basel, Switzerland. This article is an open access article distributed under the terms and conditions of the Creative Commons Attribution (CC BY) license (https://creativecommons.org/licenses/by/4.0/).
Share and Cite
Liu, Y.; Tang, X.; Yan, X.-H.; Wang, L.-H.; Tai, X.-S.; Azam, M.; Zhao, D.-Q. The Synthesis, Structural Characterization, and DFT Calculation of a New Binuclear Gd(III) Complex with 4-Aacetylphenoxyacetic Acid and 1,10-Phenanthroline Ligands and Its Roles in Catalytic Activity. Molecules 2024, 29, 3039. https://doi.org/10.3390/molecules29133039
Liu Y, Tang X, Yan X-H, Wang L-H, Tai X-S, Azam M, Zhao D-Q. The Synthesis, Structural Characterization, and DFT Calculation of a New Binuclear Gd(III) Complex with 4-Aacetylphenoxyacetic Acid and 1,10-Phenanthroline Ligands and Its Roles in Catalytic Activity. Molecules. 2024; 29(13):3039. https://doi.org/10.3390/molecules29133039
Chicago/Turabian StyleLiu, Ying, Xiao Tang, Xi-Hai Yan, Li-Hua Wang, Xi-Shi Tai, Mohammad Azam, and Dong-Qiu Zhao. 2024. "The Synthesis, Structural Characterization, and DFT Calculation of a New Binuclear Gd(III) Complex with 4-Aacetylphenoxyacetic Acid and 1,10-Phenanthroline Ligands and Its Roles in Catalytic Activity" Molecules 29, no. 13: 3039. https://doi.org/10.3390/molecules29133039
APA StyleLiu, Y., Tang, X., Yan, X.-H., Wang, L.-H., Tai, X.-S., Azam, M., & Zhao, D.-Q. (2024). The Synthesis, Structural Characterization, and DFT Calculation of a New Binuclear Gd(III) Complex with 4-Aacetylphenoxyacetic Acid and 1,10-Phenanthroline Ligands and Its Roles in Catalytic Activity. Molecules, 29(13), 3039. https://doi.org/10.3390/molecules29133039

