Preparation of Ultra-High Temperature Resistant Cyclodextrin-Based Filtration Loss Reducer for Water-Based Drilling Fluids
Abstract
1. Introduction
2. Results and Discussion
2.1. Optimization of Polymer Monomer Ratio
2.1.1. Effect of Different Monomer Ratio on Particle Size
2.1.2. Influence of Different Monomer Ratios on BF Filtration Loss Properties
2.2. Characterization of LY-2
2.2.1. FTIR Analysis
2.2.2. Thermal Stability Analysis
2.3. Performance Evaluation of the LY-2
2.3.1. Zeta Potential
2.3.2. Sedimentation Stability Measurement
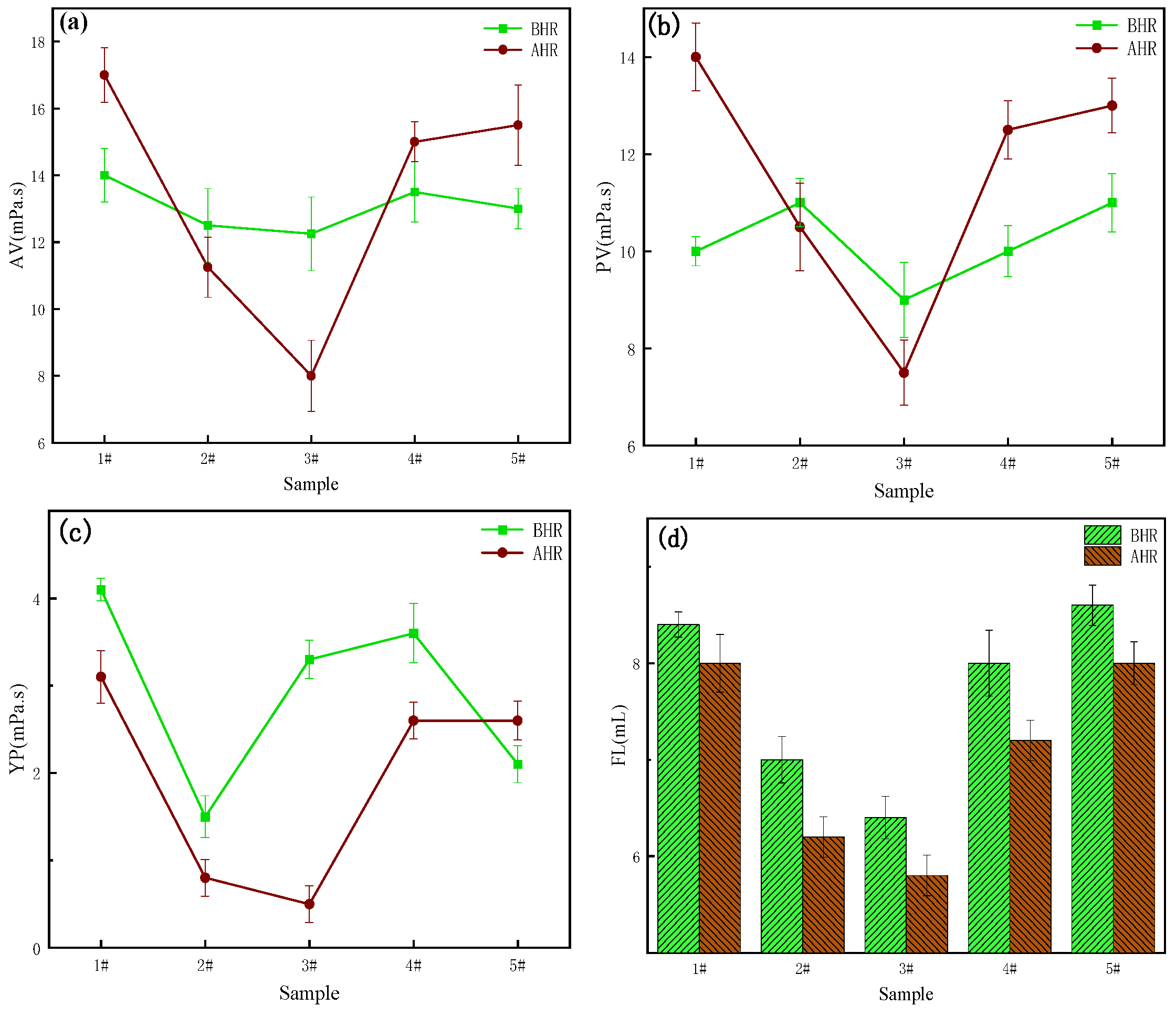
2.3.3. Rheological and Loss Control Properties
2.3.4. Physical and Microcosmic Images of Filter Cake
2.3.5. Comparing LY-2 with Other Anti-Temperature Filtrate Reducers
3. Materials and Methods
3.1. Materials and Instruments
3.2. Synthesis of Copolymer LY-2
3.3. Characterization of LY-2
3.4. Drilling Fluid Formulation
3.5. Evaluation of Rheological Properties
3.6. Evaluation of Filtration Reduction Performance
4. Conclusions
Author Contributions
Funding
Institutional Review Board Statement
Informed Consent Statement
Data Availability Statement
Conflicts of Interest
References
- Liu, J.-P.; Zhang, X.-F.; Zhang, W.-C.; Lv, K.-H.; Bai, Y.-R.; Wang, J.-T.; Huang, X.-B.; Jin, J.-F.; Sun, J.-S. Carbon nanotube enhanced Water-based drilling fluid for high temperature and high salinity deep resource Development. Pet. Sci. 2022, 19, 916–926. [Google Scholar] [CrossRef]
- Da Câmara, P.C.F.; Madruga, L.Y.C.; Marques, N.D.N.; Balaban, R.C.C. Evaluation of polymer/bentonite synergy on the properties of aqueous drilling fluids for high-temperature and high-pressure oil Wells. J. Mol. Liq. 2021, 327, 114808. [Google Scholar] [CrossRef]
- Mao, H.; Qiu, Z.; Xie, B.; Wang, Z.; Shen, Z. Development and Application of Ultra-High Temperature Drilling Fluids in Offshore Oilfield Around Bohai Sea Bay Basin, China. In Proceedings of the Offshore Technology Conference Asia, OTC, Kuala Lumpur, Malaysia, 22–25 March 2016. [Google Scholar]
- Mao, H.; Yang, Y.; Zhang, H.; Zheng, J.; Zhong, Y. Conceptual design and methodology for rheological control of Water-based drilling fluids in ultra-high temperature and ultra-high pressure drilling Applications. J. Pet. Sci. Eng. 2020, 188, 106884. [Google Scholar] [CrossRef]
- Akpan, E.U.; Enyi, G.C.; Nasr, G.; Yahaya, A.A.; Ahmadu, A.A.; Saidu, B. Water-based drilling fluids for high-temperature applications and water-sensitive and dispersible shale Formations. J. Pet. Sci. Eng. 2019, 175, 1028–1038. [Google Scholar] [CrossRef]
- Wenlong, Z.; Xiaoming, W.; Yuming, H.; Jie, X.; Wenshi, W. Research and Application of High-Temperature Drilling Fluid for Scientific Core Drilling Project. In Proceedings of the Abu Dhabi International Petroleum Exhibition & Conference, SPE, Abu Dhabi, United Arab Emirates, 13–16 November 2017. [Google Scholar]
- Aghdam, S.B.; Moslemizadeh, A.; Kowsari, E.; Asghari, N. Synthesis and performance evaluation of a novel polymeric fluid loss controller in Water-based drilling fluids: High-temperature and high-salinity Conditions. J. Nat. Gas Sci. Eng. 2020, 83, 103576. [Google Scholar] [CrossRef]
- Li, H.; Lv, K.; Huang, X.; Lu, Z.; Dong, X.D. The Synthesis of Polymeric Nanospheres and the Application as High-Temperature Nano-Plugging Agent in Water Based Drilling Fluid. Front. Chem. 2020, 8, 247. [Google Scholar] [CrossRef] [PubMed]
- Chu, Q.; Lin, L.; Su, J. Amidocyanogen silanol as a High-temperature-resistant shale inhibitor in water-based drilling Fluid. Appl. Clay Sci. 2020, 184, 105396. [Google Scholar] [CrossRef]
- Muhammed, N.S.; Olayiwola, T.; Elkatatny, S. A review on clay chemistry, characterization and shale inhibitors for water-based drilling Fluids. J. Pet. Sci. Eng. 2021, 206, 109043. [Google Scholar] [CrossRef]
- Huang, X.-B.; Sun, J.-S.; Huang, Y.; Yan, B.C.; Dong, X.D.; Liu, F.; Wang, R. Laponite: A promising nanomaterial to formulate high-performance water-based drilling Fluids. Pet. Sci. 2021, 18, 579–590. [Google Scholar] [CrossRef]
- Gautam, S.; Guria, C.; Rajak, V.K. A state of the art review on the performance of High-pressure and high-temperature drilling fluids: Towards understanding the structure-property relationship of drilling fluid Additives. J. Pet. Sci. Eng. 2022, 213, 110318. [Google Scholar] [CrossRef]
- Mahmoud, H.; Hamza, A.; Nasser, M.S.; Hussein, I.A.; Ahmed, R.; Karami, H. Hole cleaning and drilling fluid sweeps in horizontal and deviated wells: Comprehensive Review. J. Pet. Sci. Eng. 2020, 186, 106748. [Google Scholar] [CrossRef]
- Elmgerbi, A.; Thonhauser, G.; Fine, A.; Hincapie, R.; Borovina, A. Experimental approach for assessing Filter-cake removability derived from reservoir drill-in Fluids. J. Pet. Explor. Prod. Technol. 2021, 11, 4029–4045. [Google Scholar] [CrossRef]
- Wandji Djouonkep, L.D.; Xie, B.; Tao, H.; Chen, J.D.; Zhuo, L.; Selabi, S.; Zhao, L. Enhanced amphoteric polymer filtration reducer with Vinyl-functionalized nanosilica for high-salt and ultra-high temperature water-based drilling Environments. Geoenergy Sci. Eng. 2024, 236, 212743. [Google Scholar] [CrossRef]
- Cadix, A.; Wilson, J.; Phan, C.; Villafane, L.; Gomez, J.R.; Bzducha, W.; Feuillette, A.; Poix-Davaine, C.; Thant, K.; Nelson, T. New Diblock Copolymers as Fluid Loss Additive for High Temperature Cementing. In Proceedings of the SPE Annual Technical Conference Exhibition, SPE, Dubai, United Arab Emirates, 26–28 September 2016. [Google Scholar]
- Wang, Z. Research and application of modified humic acid treatments for drilling fluids. Oilfield Chem. 2008, 25, 381–385. [Google Scholar]
- Song, K.; Wu, Q.; Li, M.; Ren, S.; Dong, L. Water-based bentonite drilling fluids modified by novel biopolymer for minimizing fluid loss and formation Damage. Colloids Surf. A Physicochem. Eng. Asp. 2016, 507, 58–66. [Google Scholar] [CrossRef]
- Zoveidavianpoor, M.; Samsuri, A. The use of Nano-sized Tapioca starch as a natural water-soluble polymer for filtration control in water-based drilling Muds. J. Nat. Gas Sci. Eng. 2016, 34, 832–840. [Google Scholar] [CrossRef]
- Wang, Y.; Jiang, B.; Lan, J.; Xu, N.; Sun, J.S.; Meng, L.T. Synthesis and properties of a High-performance environment-friendly micro–nano filtration Reducer. RSC Adv. 2020, 10, 43204–43212. [Google Scholar] [CrossRef] [PubMed]
- Chen, Q.; Yu, H.; Wang, L.; Ul Abdin, Z.; Chen, Y.S. Recent progress in chemical modification of starch and its Applications. RSC Adv. 2015, 5, 67459–67474. [Google Scholar] [CrossRef]
- Sugih, A.K.; Christabella, L.; Kristianto, H.; Prasetyo, S. Effect of different types of phosphorylating reagent on the synthesis of modified tapioca starch. IOP Conf. Ser. Mater. Sci. Eng. 2019, 673, 012001. [Google Scholar] [CrossRef]
- Jiang, G.; Wang, C.; Zhang, M. Preparation and performance evaluation of a novel filter loss depressant CBF. Oilfield Chem. 2010, 27, 360–365. [Google Scholar]
- Tavares, K.M.; Campos, A.D.; Mitsuyuki, M.C.; Luchesi, B.R.; Marconcini, J.M. Corn and cassava starch with carboxymethyl cellulose films and its mechanical and hydrophobic Properties. Carbohydr. Polym. 2019, 223, 115055. [Google Scholar] [CrossRef] [PubMed]
- Wang, D.; Wang, J.; Song, Z. Development of inorganic silica-modified sodium carboxymethyl starch filter loss reducer and its performance. Petrochemicals 2010, 39, 440–443. [Google Scholar]
- Dias FT, G.; Souza, R.R.; Lucas, E.F. Influence of modified starches composition on their performance as fluid loss additives in Invert-emulsion drilling Fluids. Fuel 2015, 140, 711–716. [Google Scholar] [CrossRef]
- Sagitov, R.R.; Minaev, K.M.; Zakharov, A.S.; Korolev, A.S.; Minaeva, D.O. The study of the drilling mud fluid loss reducing agents based on carboxymethyl starch and cellulose. Neft. Khozyaystvo Oil Ind. 2017, 11, 102–105. [Google Scholar] [CrossRef]
- Ricky, E.; Mpelwa, M.; Wang, C.; Hamad, B.H.; Xu, X.G. Modified Corn Starch as an Environmentally Friendly Rheology Enhancer and Fluid Loss Reducer for Water-Based Drilling Mud. SPE J. 2022, 27, 1064–1080. [Google Scholar] [CrossRef]
- Xu, Y.; Rashwan, A.K.; Osman, A.I.; Abd El-Monaem, E.M.; Elgarahy, A.M.; Eltaweil, A.S.; Omar, M.; Li, Y.; Mehanni, A.H.; Chen, W.; et al. Synthesis and potential applications of Cyclodextrin-based metal–organic frameworks: A Review. Environ. Chem. Lett. 2023, 21, 447–477. [Google Scholar] [CrossRef]
- Hedges, A.R. Industrial Applications of Cyclodextrins. Chem. Rev. 1998, 98, 2035–2044. [Google Scholar] [CrossRef]
- Poulson, B.G.; Alsulami, Q.A.; Sharfalddin, A.; El Agammy, E.; Mouffouk, F.; Emwas AH, M.; Jaremko, L.; Jaremko, M. Cyclodextrins: Structural, Chemical, and Physical Properties, and Applications. Polysaccharides 2021, 3, 1–31. [Google Scholar] [CrossRef]
- Crini, G.; Morcellet, M. Synthesis and applications of adsorbents containing Cyclodextrins. J. Sep. Sci. 2002, 25, 789–813. [Google Scholar] [CrossRef]
- Krabicová, I.; Appleton, S.L.; Tannous, M.; Hoti, G.; Caldera, F.; Pedrazzo, A.R.; Cecone, C.; Cavalli, R.; Trotta, F. History of Cyclodextrin Nanosponges. Polymers 2020, 12, 1122. [Google Scholar] [CrossRef]
- De Lara, L.S.; Voltatoni, T.; Rodrigues, M.C.; Miranda, C.R.; Brochsztain, S. Potential applications of cyclodextrins in enhanced oil Recovery. Colloids Surf. A Physicochem. Eng. Asp. 2015, 469, 42–50. [Google Scholar] [CrossRef]
- Liu, J.; Liu, G.; Liu, W. Preparation of Water-soluble β-cyclodextrin/poly(acrylic acid)/graphene oxide nanocomposites as new adsorbents to remove cationic dyes from aqueous Solutions. Chem. Eng. J. 2014, 257, 299–308. [Google Scholar] [CrossRef]
- Narayanan, G.; Shen, J.; Matai, I.; Sachdev, A.; Boy, R.; Tonelli, A.E. Cyclodextrin-based Nanostructures. Prog. Mater. Sci. 2022, 124, 100869. [Google Scholar] [CrossRef]
- Loftsson, T.; Saokham, P.; Sá Couto, A.R. Self-association of cyclodextrins and cyclodextrin complexes in aqueous Solutions. Int. J. Pharm. 2019, 560, 228–234. [Google Scholar] [CrossRef] [PubMed]
- Zhong, H.; Gao, X.; Qiu, Z. Mechanism of high-temperature filter loss reduction by environmentally friendly β-cyclodextrin polymer microspheres. J. Pet. 2021, 42, 1091–1102, 1112. [Google Scholar]
- Yang, J.; Sun, J.; Wang, R.; Liu, F.; Wang, J.; Qu, Y.; Wang, P.; Huang, H.; Liu, L.; Zhao, Z. Laponite-polymer composite as a rheology modifier and filtration loss reducer for water-based drilling fluids at high Temperature. Colloids Surf. A Physicochem. Eng. Asp. 2022, 655, 130261. [Google Scholar] [CrossRef]
- Luo, Y.; Lin, L.; Luo, P.; Guo, Y.; Xie, S.; Wang, M.; Xiong, G.; Gu, H. Polymer nanocomposite ADA@SM as a High-temperature filtrate reducer for water-based drilling fluids and its filtration loss Mechanism. Colloids Surf. A Physicochem. Eng. Asp. 2023, 672, 131701. [Google Scholar] [CrossRef]
- Audibert, A.; Rousseau, L.; Pétrole, I.F.; Kieffer, J.; Floerger, S. Novel High-Pressure/High Temperature Fluid Loss Reducer for Water-Based Formulation. In Proceedings of the SPE International Conference on Oilfield Chemistry, Houston, TX, USA, 16–19 February 1999. [Google Scholar]
- Chang, X.F.; Sun, J.S.; Zhang, F.; Lv, K.H. Preparation and application of a novel high temperature resistant filtration reducer in Water-based drilling Fluids. IOP Conf. Ser. Mater. Sci. Eng. 2019, 634, 012029. [Google Scholar] [CrossRef]
- Wang, G.; Jiang, G.; Yang, J. Novel N,N-dimethylacrylamide copolymer containing multiple rigid comonomers as a filtrate reducer in water-based drilling fluids and mechanism Study. J. Appl. Polym. Sci. 2021, 138, 51001. [Google Scholar] [CrossRef]
- Ma, X.; Yang, M.; Zhang, M. Synthesis and properties of a betaine type copolymer filtrate Reducer. Chem. Eng. Process. Process Intensif. 2020, 153, 107953. [Google Scholar] [CrossRef]
- Ban, G.; Xu, J.; Zeng, J.; Zhou, S.S. Performance and mechanism of new silicone polymer as filtrate reducer with inhibitory effect for Water-based drilling Fluid. Eng. Res. Express 2022, 4, 025030. [Google Scholar] [CrossRef]
- Liu, X.; Gao, Y.; Hou, W.; Ma, Y.; Zhang, Y. Non-Toxic High Temperature Polymer Drilling Fluid Significantly Improving Marine Environmental AcceptabiIity and Reducing Cost for Offshore Drilling. In Proceedings of the International Petroleum Technology Conference, IPTC, Beijing, China, 26–28 March 2019. [Google Scholar]
- Ali FA, A.; Alam, J.; Qaid SM, H.; Shukla, A.K.; Al-Fatesh, A.S.; Alghamdi, A.M.; Fadhillah, M.; Osman, A.I.; Alhoshan, M. Fluoride Removal Using Nanofiltration-Ranged Polyamide Thin-Film Nanocomposite Membrane Incorporated Titanium Oxide Nanosheets. Nanomaterials 2024, 14, 731. [Google Scholar] [CrossRef] [PubMed]
- Liu, F.; Yao, H.; Liu, Q.; Wang, X.; Dai, X.; Zhou, M.; Wang, Y.; Zhang, C.; Wang, D.; Deng, Y. Nano-silica/polymer composite as filtrate reducer in water-based drilling Fluids. Colloids Surf. A Physicochem. Eng. Asp. 2021, 627, 127168. [Google Scholar] [CrossRef]
- Xiong, G.; Lin, L.; Feng, R.; Wang, X.W.; Dai, X.D.; Zhou, M.Y.; Zhang, C.X.; Wang, D.X.; Deng, Y.Q. Preparation and performance evaluation of PDDSA-MS composite as high temperature and high salinity filtration Additive. Geoenergy Sci. Eng. 2024, 234, 212557. [Google Scholar] [CrossRef]
- Izyurov, V.; Kharitonov, A.; Semenikhin, I.; Korsunov, E.; Gassan, A.; Tikhonov, E.; Jadan, G.; Stashko, V.; Blagonadeshniy, I.; Manikhin, A.; et al. Selecting Bridging Agents’ Particle Size Distribution for Optimum Plugging While Drilling in Permeable Zones. In Proceedings of the SPE Russian Petroleum Technology Conference, SPE, Moscow, Russia, 22–24 October 2019. [Google Scholar]
- Qu, Y.; Lin, L.; Gao, S.; Yang, Y.; Huang, H.; Li, X.; Ren, H.; Luo, W. A molecular dynamics study on adsorption mechanisms of polar, cationic, and anionic polymers on Montmorillonite. RSC Adv. 2023, 13, 2010–2023. [Google Scholar] [CrossRef] [PubMed]
- Zhang, C.; Lv, K.; Gong, J.; Wang, Z.; Huang, X.; Sun, J.; Yao, X.; Liu, K.; Rong, K.; Li, M. Synthesis of a hydrophobic quaternary ammonium salt as a shale inhibitor for Water-based drilling fluids and determination of the inhibition Mechanism. J. Mol. Liq. 2022, 362, 119474. [Google Scholar] [CrossRef]
- Zhong, H.; Gao, X.; Qiu, Z.; Zhao, C.; Zhang, X.; Guo, B.; Li, G. Formulation and evaluation of β-cyclodextrin polymer microspheres for improved HTHP filtration control in water-based drilling Fluids. J. Mol. Liq. 2020, 313, 113549. [Google Scholar] [CrossRef]
- Razavi, O.; Karimi Vajargah, A.; Van Oort, E.; Aldin, M.; Govindarajan, S. Optimum particle size distribution design for lost circulation control and wellbore Strengthening. J. Nat. Gas Sci. Eng. 2016, 35, 836–850. [Google Scholar] [CrossRef]
- Cui, W.Y.; Lai, S.J.; Yang, X.L. Synthesis and performance evaluation of temperature- and salt-resistant hydrophobically coupled polymers. Fine Chem. 2024, 41, 447–457. [Google Scholar]
- Yang, J.; Bai, Y.; Sun, J.; Lu, K.; Liu, F.; Zhu, Y. Supramolecular gel plugging agent and its plugging mechanism. J. China Univ. Pet. (Nat. Sci. Ed.) 2024, 1–16. Available online: http://kns.cnki.net/kcms/detail/37.1441.TE.20240424.1644.004.html (accessed on 27 April 2024).
- Wu, Y.-T.; Quan, H.-P.; Huang, Z.-Y.; Li, B.; Feng, X. Study on synthesis and mechanism of fluid loss reducer for high temperature drilling fluid. Petrochem. Ind. 2023, 52, 946–955. [Google Scholar]
- Li, Q.; Yu, X.; Xiao, X.; Luo, Y.; Yang, H. Preparation and properties of SiO2 nano-enhanced PAM/PEI gel. Fine Chem. 2021, 38, 200–205. [Google Scholar]
- Davoodi, S.; Ramazani, S.A.A.; Jamshidi, S.; Jahromi, A.F. A novel field applicable mud formula with enhanced fluid loss properties in High Pressure-High Temperature well condition containing pistachio shell Powder. J. Pet. Sci. Eng. 2018, 162, 378–385. [Google Scholar] [CrossRef]











| Sample | 1# | 2# | 3# | 4# | 5# |
|---|---|---|---|---|---|
| ratio | β-CD50 wt% EPI 10 wt% | β-CD60 wt% EPI 10 wt% | β-CD 70 wt% EPI 10 wt% | β-CD 70 wt% EPI 15 wt% | β-CD 70 wt% EPI 25 wt% |
| D50/μm | 27 | 40.68 | 50.4 | 59.75 | 81.67 |
| Additive | Concentration (wt%) |
|---|---|
| bentonite | 4 |
| Na2CO3 | 0.2 |
| NaOH | 0.5 |
| sulfonated asphalt | 2~3 |
| polymerized alcohols | 0.3~0.5 |
| sulfonated lignite resins | 1~3 |
| high temperature stabilizers | 0.1 |
| film-forming sealer | 1~2 |
| lubricants | 2 |
| shale inhibitors | 1~3 |
| potassium chloride | 7 |
Disclaimer/Publisher’s Note: The statements, opinions and data contained in all publications are solely those of the individual author(s) and contributor(s) and not of MDPI and/or the editor(s). MDPI and/or the editor(s) disclaim responsibility for any injury to people or property resulting from any ideas, methods, instructions or products referred to in the content. |
© 2024 by the authors. Licensee MDPI, Basel, Switzerland. This article is an open access article distributed under the terms and conditions of the Creative Commons Attribution (CC BY) license (https://creativecommons.org/licenses/by/4.0/).
Share and Cite
Liu, Y.; Djouonkep, L.D.W.; Yu, B.; Li, C.; Ma, C. Preparation of Ultra-High Temperature Resistant Cyclodextrin-Based Filtration Loss Reducer for Water-Based Drilling Fluids. Molecules 2024, 29, 2933. https://doi.org/10.3390/molecules29122933
Liu Y, Djouonkep LDW, Yu B, Li C, Ma C. Preparation of Ultra-High Temperature Resistant Cyclodextrin-Based Filtration Loss Reducer for Water-Based Drilling Fluids. Molecules. 2024; 29(12):2933. https://doi.org/10.3390/molecules29122933
Chicago/Turabian StyleLiu, Yilin, Lesly Dasilva Wandji Djouonkep, Boyang Yu, Chenyang Li, and Chao Ma. 2024. "Preparation of Ultra-High Temperature Resistant Cyclodextrin-Based Filtration Loss Reducer for Water-Based Drilling Fluids" Molecules 29, no. 12: 2933. https://doi.org/10.3390/molecules29122933
APA StyleLiu, Y., Djouonkep, L. D. W., Yu, B., Li, C., & Ma, C. (2024). Preparation of Ultra-High Temperature Resistant Cyclodextrin-Based Filtration Loss Reducer for Water-Based Drilling Fluids. Molecules, 29(12), 2933. https://doi.org/10.3390/molecules29122933

