Fluconazole Analogs and Derivatives: An Overview of Synthesis, Chemical Transformations, and Biological Activity
Abstract
1. Introduction
2. Syntheses of Fluconazole
3. Fluconazole Analogs with an Unsubstituted Hydroxy Group
3.1. Isotope-Substituted Fluconazole
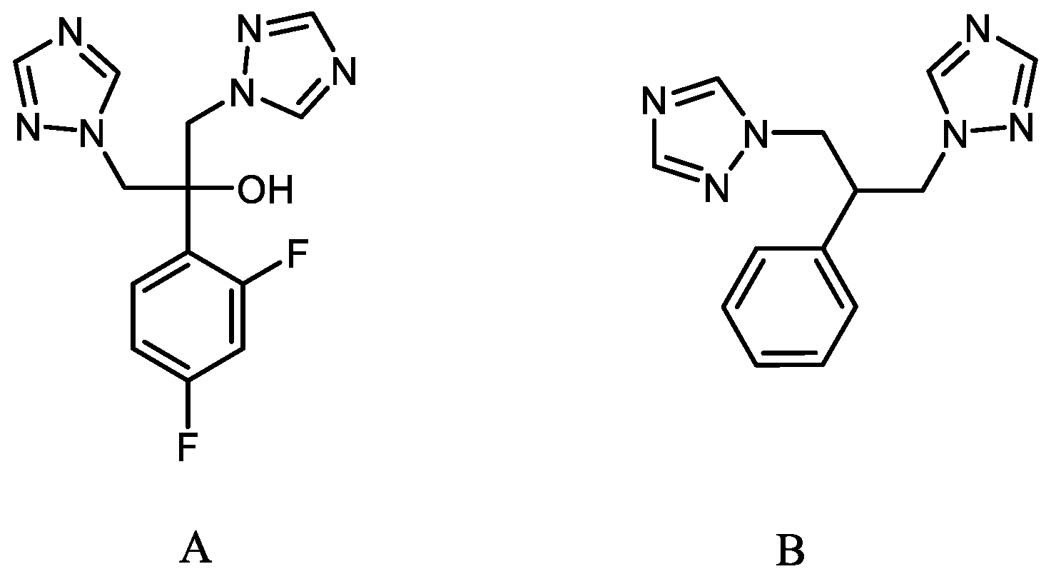
3.2. Fluconazole Analogs with Different Substituents on the Carboaromatic Ring and/or a C-Substituted Methylene Linkage
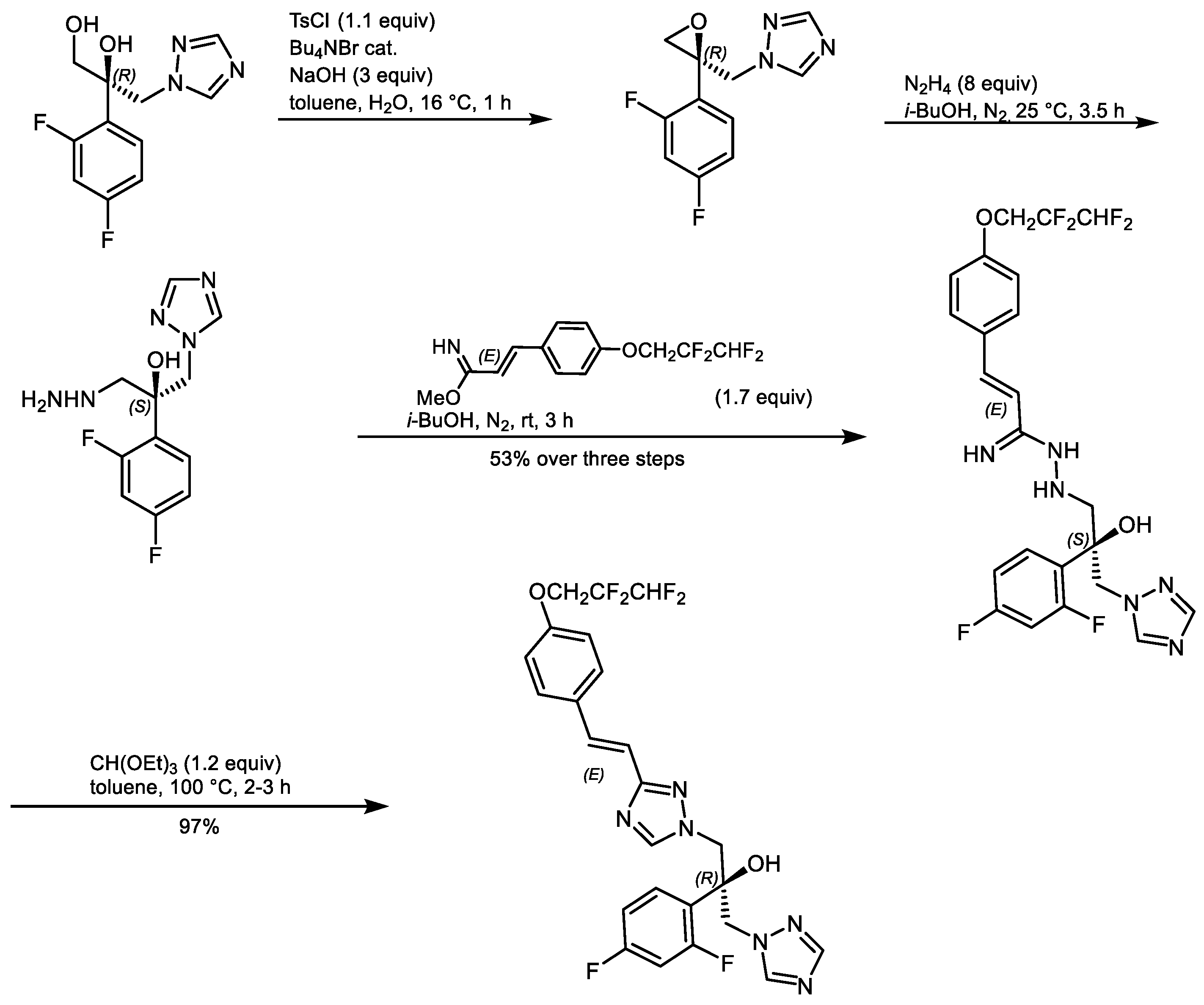
3.3. Fluconazole Analogs Containing N,C-Substituted-1,2,4-triazol-1-yl Units
4. Derivatization of the Hydroxy Group
4.1. Esters
4.2. Ethers
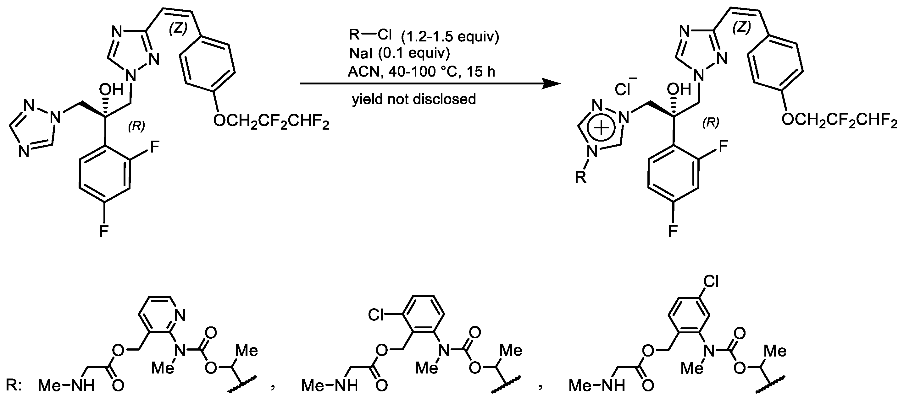
4.3. Halo Analogs of Fluconazole at the Carbinolic Center
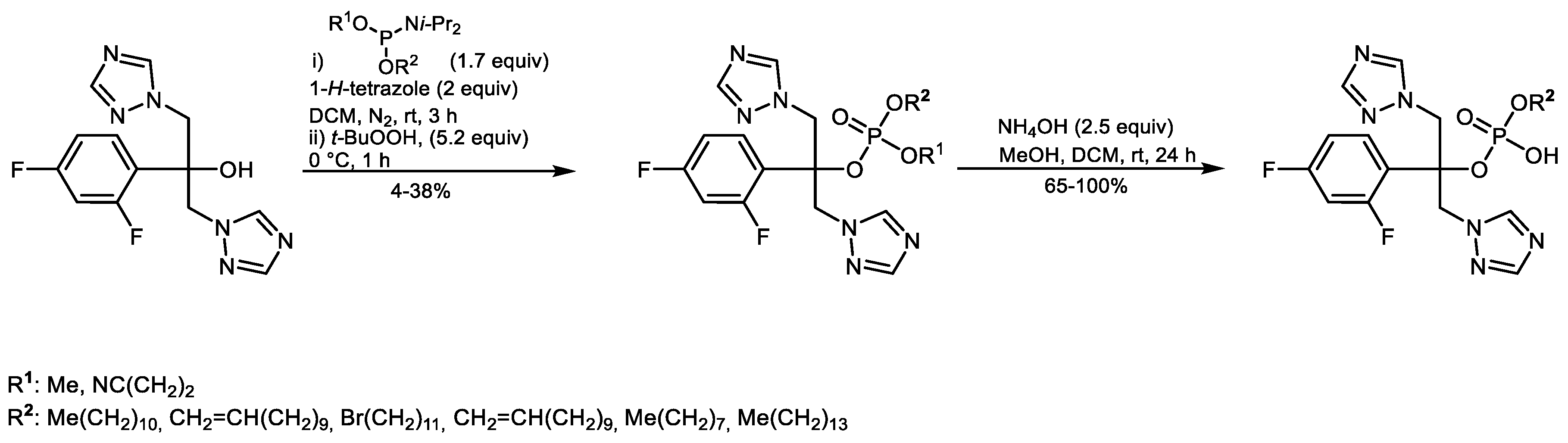
4.4. Fluconazole Analogs Comprising Other Groups at the Carbinolic Center
5. Conclusions
Supplementary Materials
Author Contributions
Funding
Institutional Review Board Statement
Informed Consent Statement
Data Availability Statement
Conflicts of Interest
References
- Kainz, K.; Bauer, M.A.; Madeo, F.; Carmona-Gutierrez, D. Fungal Infections in Humans: The Silent Crisis. Microb. Cell 2020, 7, 143. [Google Scholar] [CrossRef] [PubMed]
- Ben-Ami, R.; Kontoyiannis, D.P. Resistance to Antifungal Drugs. Infect. Dis. Clin. N. Am. 2021, 35, 279–311. [Google Scholar] [CrossRef] [PubMed]
- Khosravi Rad, K.; Falahati, M.; Roudbary, M.; Farahyar, S.; Nami, S. Overexpression of MDR-1 and CDR-2 Genes in Fluconazole Resistance of Candida Albicans Isolated from Patients with Vulvovaginal Candidiasis. Curr. Med. Mycol. 2016, 2, 24–29. [Google Scholar] [CrossRef] [PubMed]
- Lewis, R.E. Importance of Pharmacokinetic Considerations for Selecting Therapy in the Treatment of Invasive Fungal Infections. Am. J. Ther. 2012, 19, 51–63. [Google Scholar] [CrossRef] [PubMed]
- Govindarajan, A.; Bistas, K.G.; Ingold, C.J.; Aboeed, A. Fluconazole. In Kucers’ the Use of Antibiotics: A Clinical Review of Antibacterial, Antifungal, Antiparasitic, and Antiviral Drugs, 7th ed.; CRC Press: Boca Raton, FL, USA, 2023; pp. 2756–2785. [Google Scholar]
- Pappas, P.G.; Kauffman, C.A.; Andes, D.R.; Clancy, C.J.; Marr, K.A.; Ostrosky-Zeichner, L.; Reboli, A.C.; Schuster, M.G.; Vazquez, J.A.; Walsh, T.J.; et al. Clinical Practice Guideline for the Management of Candidiasis: 2016 Update by the Infectious Diseases Society of America. Clin. Infect. Dis. 2016, 62, e1–e50. [Google Scholar] [CrossRef] [PubMed]
- Perfect, J.R.; Dismukes, W.E.; Dromer, F.; Goldman, D.L.; Graybill, J.R.; Hamill, R.J.; Harrison, T.S.; Larsen, R.A.; Lortholary, O.; Nguyen, M.-H.; et al. Clinical Practice Guidelines for the Management of Cryptococcal Disease: 2010 Update by the Infectious Diseases Society of America. Clin. Infect. Dis. 2010, 50, 291–322. [Google Scholar] [CrossRef] [PubMed]
- Egunsola, O.; Adefurin, A.; Fakis, A.; Jacqz-Aigrain, E.; Choonara, I.; Sammons, H. Safety of Fluconazole in Paediatrics: A Systematic Review. Eur. J. Clin. Pharmacol. 2013, 69, 1211–1221. [Google Scholar] [CrossRef] [PubMed]
- Pfizer to Expand Fluconazole Donation Program to More Than 50 Developing Nations. Available online: https://kffhealthnews.org/morning-breakout/dr00005040/ (accessed on 15 March 2024).
- Richardson, K. Antifungal Azole Compounds. Patent GB2099818A, 15 December 1982. [Google Scholar]
- Benigni, F.; Prendin, R. Process for the Preparation of Triazolyl Isopropanols. Patent CA2051281, 14 March 1993. [Google Scholar]
- Shih, K.-S.; Chen, L.-R.; Liu, C.-W.; Wang, C.-L.J. Preparation of Fluconazole and Pharmaceutically Acceptable Salts Thereof. Patent US5710280, 20 January 1998. [Google Scholar]
- Palomo Coll, A. Di:Fluoro Phenyl Tris-Triazolyl Propanol Prepn.—By Reaction of Triazolyl Alkali Metal Cpd. with Di:Fluoro Benzoyl-Chloride in Organic Solvent. Patent ES2049663A1, 16 April 1994. [Google Scholar]
- Miaogen, S.; Zhongliang, J.; Jinyin, W. Preparation Method of Broad-Spectrum Antifungal Drug Fluconazole. Patent CN102344419A, 8 February 2012. [Google Scholar]
- Weaver, J.D. Preparation of Fluoroarenes via Hydrogen Bond Directed Photocatalytic Hydrodefluorination of Perfluoroarenes. Patent WO2018187336, 11 October 2018. [Google Scholar]
- Palomo Coll, A. Process for Preparing Biologically Active Derivatives of 1,2,4-Triazole, Particularly Fluconazole, and Intermediates Useful in This Process. Patent WO9744330, 27 November 1997. [Google Scholar]
- Miaogen, S.; Jinyin, W. New Method for Preparing Fluconazole. Patent CN101891693, 5 November 2010. [Google Scholar]
- Karimian, K.; Tam, T.F.; Braganza, J.F.; Goldberg, Y.; Zinghini, S. Process for the Manufacture of Bis-Triazole Compounds and Their Intermediates Having Antifungal Activity. Patent CA2185654, 18 January 1997. [Google Scholar]
- Wang, J.; Shao, B.; Ge, H.; Li, Y.; Qi, H.; Xiao, L. Visible-Light-Induced Regioselective Radical Oxo-Amination of Alkenes with O2 as the Oxygen Source. Org. Lett. 2023, 25, 5333–5338. [Google Scholar] [CrossRef] [PubMed]
- Von Keutz, T.; Cantillo, D.; Kappe, C.O. Continuous Flow Synthesis of Terminal Epoxides from Ketones Using in Situ Generated Bromomethyl Lithium. Org. Lett. 2019, 21, 10094–10098. [Google Scholar] [CrossRef]
- Korwar, S.; Amir, S.; Tosso, P.N.; Desai, B.K.; Kong, C.J.; Fadnis, S.; Telang, N.S.; Ahmad, S.; Roper, T.D.; Gupton, B.F. The Application of a Continuous Grignard Reaction in the Preparation of Fluconazole. Eur. J. Org. Chem. 2017, 2017, 6495–6498. [Google Scholar] [CrossRef]
- Tlahuext-Aca, A.; Hartwig, J.F. Site-Selective Silver-Catalyzed C-H Bond Deuteration of Five-Membered Aromatic Heterocycles and Pharmaceuticals. ACS Catal. 2021, 11, 1119–1127. [Google Scholar] [CrossRef] [PubMed]
- Wolfe, J.P.; Singer, R.A.; Yang, B.H.; Buchwald, S.L. Highly Active Palladium Catalysts for Suzuki Coupling Reactions. J. Am. Chem. Soc. 1999, 121, 9550–9561. [Google Scholar] [CrossRef]
- Demchuk, O.M.; Kapłon, K.; Mazur, L.; Strzelecka, D.; Pietrusiewicz, K.M. Readily Available Catalysts for Demanding Suzuki–Miyaura Couplings under Mild Conditions. Tetrahedron 2016, 72, 6668–6677. [Google Scholar] [CrossRef]
- Bourriquen, F.; Rockstroh, N.; Bartling, S.; Junge, K.; Beller, M. Manganese-Catalysed Deuterium Labelling of Anilines and Electron-Rich (Hetero)Arenes. Angew. Chem. Int. Ed. 2022, 61, e202202423. [Google Scholar] [CrossRef] [PubMed]
- Pfeifer, V.; Certiat, M.; Bouzouita, D.; Palazzolo, A.; Garcia-Argote, S.; Marcon, E.; Buisson, D.A.; Lesot, P.; Maron, L.; Chaudret, B.; et al. Hydrogen Isotope Exchange Catalyzed by Ru Nanocatalysts: Labelling of Complex Molecules Containing N-Heterocycles and Reaction Mechanism Insights. Chem. Eur. J. 2020, 26, 4988–4996. [Google Scholar] [CrossRef]
- Livni, E.; Fischman, A.J.; Ray, S.; Sinclair, I.; Elmaleh, D.R.; Alpert, N.M.; Weiss, S.; Correia, J.A.; Webb, D.; Dahl, R.; et al. Synthesis of 18F-Labeled Fluconazole and Positron Emission Tomography Studies in Rabbits. Int. J. Rad. Appl. Instrum. B 1992, 19, 191–199. [Google Scholar] [CrossRef] [PubMed]
- Worthington, P.A. Fungicidal Bis-Azolyl Compounds. Patent EP44605, 27 January 1982. [Google Scholar]
- Boyle, F.T. Antifungal Triazole Compound. Patent EP145314, 19 June 1985. [Google Scholar]
- Richardson, K.; Narayanaswami, S. Triazole Antifungal Agents. Patent EP122056, 17 October 1984. [Google Scholar]
- Ogata, M.; Matsumoto, H.; Kida, S.; Tawara, K.; Shimizu, S. Antifungal Azolylpropanol Derivatives. Patent EP234499, 2 September 1987. [Google Scholar]
- Boyle, F.T. Heterocyclic Compounds. Patent EP299684, 18 January 1989. [Google Scholar]
- Narayanan, A.; Chapman, D.R.; Upadhyaya, S.P.; Bauer, L. Conversion of 4-Amino-4H-1,2,4-Triazole to 1,3-Bis(1H-Azol-l-Yl)-2-Aryl-2-Propanols and 1-Phenacyl-4-[(Benzoyl or 4-Toluenesulfonyl)-Imino]-(1H-1,2,4-Triazolium) Ylides. J. Heterocycl. Chem. 1993, 30, 1405–1412. [Google Scholar] [CrossRef]
- Ogata, M.; Matsumoto, H.; Shimizu, S.; Kida, S.; Shiro, M.; Tawara, K. Synthesis and Oral Anti-Fungal Activity of Novel 1,3-Bis-(Azolyl)-2-Arylpropan-2-Ols. Eur. J. Med. Chem. 1989, 24, 137–143. [Google Scholar] [CrossRef]
- Itoh, K.; Okonogi, K.; Tamura, N. Optically Active Azole Compounds, Their Production and Use. Patent EP548553, 30 June 1993. [Google Scholar]
- Fringuelli, R.; Schiaffella, F.; Bistoni, F.; Pitzurra, L.; Vecchiarelli, A. Azole Derivatives of 1,4-Benzothiazine as Antifungal Agents. Bioorg. Med. Chem. 1998, 6, 103–108. [Google Scholar] [CrossRef]
- Yu, G.-P.; Xu, L.-Z.; Yi, X.; Bi, W.-Z.; Zhu, Q.; Zhai, Z.-W. Synthesis and Fungicidal Evaluation of 2-Arylphenyl Ether-3-(1H-1,2,4-Triazol-1-Yl)Propan-2-Ol Derivatives. J. Agric. Food Chem. 2009, 57, 4854–4860. [Google Scholar] [CrossRef]
- Yang, S.-H.; Zhai, Z.-W.; Zhang, S.-W. Synthesis and Antifungal Activities of Novel Fluorine-Containing Triazole Compounds. Asian J. Chem. 2015, 27, 173–176. [Google Scholar] [CrossRef]
- Grammenos, W.; Boudet, N.; Mueller, B.; Escribano Cuesta, A.; Lohmann, J.K.; Grote, T.; Craig, I.R.; Fehr, M.; Quintero Palomar, M.A.; Lauterwasser, E.M.W. Preparation of Substituted [1,2,4]Triazole Compounds as Agrochemical Fungicides. Patent WO2015185708, 10 December 2015. [Google Scholar]
- Gravestock, M.B. Antifungal Azole Compounds. Patent EP165775, 25 December 1985. [Google Scholar]
- Boyle, F.T. Antifungal Di(Azolyl)Propanol Derivatives. Patent EP122693, 24 October 1984. [Google Scholar]
- Bayles, R.W.; Boyle, F.T.; Gravestock, M.B.; Wardleworth, J.M. Antifungal Azole Compounds. Patent EP174769, 19 March 1986. [Google Scholar]
- Boyle, F.T.; Gilman, D.J.; Gracvestock, M.B.; Wardleworth, J.M. Synthesis and Structure-Activity Relationships of a Novel Antifungal Agent, ICI 195,739. Ann. N. Y. Acad. Sci. 1988, 544, 86–100. [Google Scholar] [CrossRef] [PubMed]
- Murakami, K.; Mochizuki, H. Optically Active Triazole Derivatives and Compositions. Patent EP472392, 26 February 1992. [Google Scholar]
- Monfort, N.; Archelas, A.; Furstoss, R. Enzymatic Transformations. Part 53: Epoxide Hydrolase-Catalysed Resolution of Key Synthons for Azole Antifungal Agents. Tetrahedron Asymmetry 2002, 13, 2399–2401. [Google Scholar] [CrossRef]
- Davies, E.P.; Mallion, K.B.; Pittam, J.D.; Taylor, N.P. Process for Preparing an Antifungal Azole with Hydrazino and Amidrazone Intermediates. Patent WO9604256, 15 February 1996. [Google Scholar]
- Fukuda, H.; Hayase, T.; Mizuguchi, E.; Shimma, N.; Ohwada, J.; Oikawa, N.; Sakaitani, M.; Tsukazaki, M.; Umeda, I. N-Substituted Carbamoyloxyalkyl-Azolium Derivatives. Patent WO2001032652, 10 May 2001. [Google Scholar]
- Salman, M.; Sattigeri, J. Improved Process for the Preparation of Thiotriazolone Derivatives Useful as Antifungal Agents. Patent IN193553, 24 July 2004. [Google Scholar]
- Shao, Y.; Molestak, E.; Su, W.; Stankevič, M.; Tchórzewski, M. Sordarin—An Anti-fungal Antibiotic with a Unique Modus. Operandi. Br. J. Pharmacol. 2022, 179, 1125–1145. [Google Scholar] [CrossRef]
- Brenner, S.; Goelet, P.; Stackhouse, J.; Millward, S.W. Drug Conjugates and Methods of Designing the Same. Patent WO2001013958, 28 August 2001. [Google Scholar]
- Kim, B.T.; Min, Y.K.; Lee, Y.S.; Park, N.K.; Kim, W.J. Antifungal Azole Derivatives Having a Fluorovinyl Moiety and Process for the Preparation Thereof. Patent WO2005014583, 9 August 2005. [Google Scholar]
- Papadopoulou, M.V.; Bloomer, W.D.; Lepesheva, G.I.; Rosenzweig, H.S.; Kaiser, M.; Aguilera-Venegas, B.; Wilkinson, S.R.; Chatelain, E.; Ioset, J.-R. Novel 3-Nitrotriazole-Based Amides and Carbinols as Bifunctional Antichagasic Agents. J. Med. Chem. 2015, 58, 1307–1319. [Google Scholar] [CrossRef]
- Sadeghpour, H.; Khabnadideh, S.; Zomorodian, K.; Pakshir, K.; Hoseinpour, K.; Javid, N.; Faghih-Mirzaei, E.; Rezaei, Z. Design, Synthesis, and Biological Activity of New Triazole and Nitro-Triazole Derivatives as Antifungal Agents. Molecules 2017, 22, 1150. [Google Scholar] [CrossRef]
- Zhang, Y.-Y.; Mi, J.-L.; Zhou, C.-H.; Zhou, X.-D. Synthesis of Novel Fluconazoliums and Their Evaluation for Antibacterial and Antifungal Activities. Eur. J. Med. Chem. 2011, 46, 4391–4402. [Google Scholar] [CrossRef] [PubMed]
- Toth, F.; Aungst, R.A., Jr.; Bulusu, A.R.C.M.; Webb, R.; Mutz, M. Antifungal Agents for Treating Infections by Microorganisms. Patent WO2012047762, 12 April 2012. [Google Scholar]
- Motahari, K.; Badali, H.; Hashemi, S.M.; Fakhim, H.; Mirzaei, H.; Vaezi, A.; Shokrzadeh, M.; Emami, S. Discovery of Benzylthio Analogs of Fluconazole as Potent Antifungal Agents. Future Med. Chem. 2018, 10, 987–1002. [Google Scholar] [CrossRef]
- Han, G.; Liu, N.; Li, C.; Tu, J.; Li, Z.; Sheng, C. Discovery of Novel Fungal Lanosterol 14α-Demethylase (CYP51)/Histone Deacetylase Dual Inhibitors to Treat Azole-Resistant Candidiasis. J. Med. Chem. 2020, 63, 5341–5359. [Google Scholar] [CrossRef]
- Jautelat, M.; Dutzmann, S.; Stenzel, K. Preparation of 3-Alkylsulfonylthio-1,2,4-Triazoles and Analogs as Agrochemical Microbicides. Patent DE19620590, 27 November 1997. [Google Scholar]
- Jautelat, M.; Dutzmann, S.; Stenzel, K.; Haensler, G. Preparation of Thiocyanotriazoles as Microbicides for Plant Protection and Materials Preservation. Patent DE19620407, 27 November 1997. [Google Scholar]
- Nam, N.-H.; Sardari, S.; Selecky, M.; Parang, K. Carboxylic Acid and Phosphate Ester Derivatives of Fluconazole: Synthesis and Antifungal Activities. Bioorg. Med. Chem. 2004, 12, 6255–6269. [Google Scholar] [CrossRef]
- Parang, K.; Sardari, S.; Nam, N.H. Azole Derivatives and Methods for Making the Same. Patent WO2005006860, 27 January 2005. [Google Scholar]
- Ohlan, R.; Ohlan, S.; Judge, V.; Narang, R.; Ahuja, M.; Narasimhan, B. 2-(2,4-Difluorophenyl)-1,3-Bis(1,2,4-Triazol-1-Yl)Propan-2-Ol Derivatives: Synthesis, Antifungal Evaluation and QSAR Studies by Hansch Analysis. Arkivoc 2007, 2007, 172–184. [Google Scholar] [CrossRef]
- Mora, S.J.; Cormick, M.P.; Milanesio, M.E.; Durantini, E.N. The Photodynamic Activity of a Novel Porphyrin Derivative Bearing a Fluconazole Structure in Different Media and against Candida Albicans. Dye. Pigment. 2010, 87, 234–240. [Google Scholar] [CrossRef]
- Pawar, B.; Kanyalkar, M.; Srivastava, S. Search for Novel Antifungal Agents by Monitoring Fungal Metabolites in Presence of Synthetically Designed Fluconazole Derivatives Using NMR Spectroscopy. Biochim. Biophys. Acta Biomembr. 2010, 1798, 2067–2075. [Google Scholar] [CrossRef] [PubMed][Green Version]
- De Vita, D.; Simonetti, G.; Pandolfi, F.; Costi, R.; Di Santo, R.; D’Auria, F.D.; Scipione, L. Exploring the Anti-Biofilm Activity of Cinnamic Acid Derivatives in Candida Albicans. Bioorg. Med. Chem. Lett. 2016, 26, 5931–5935. [Google Scholar] [CrossRef] [PubMed]
- Bentley, A.; Butters, M.; Green, S.P.; Learmonth, W.J.; Macrae, J.A.; Morland, M.C.; O’connor, G.; Skuse, J. The Discovery and Process Development of a Commercial Route to the Water Soluble Prodrug, Fosfluconazole. Org. Process. Res. Dev. 2002, 6, 109–112. [Google Scholar] [CrossRef]
- Greenwald, R.B.; Pendri, A.; Zhao, H. High Molecular Weight Polymer-Based Prodrugs. Patent WO9807713, 26 February 1998. [Google Scholar]
- Mulvihill, M.J. Intermediates for Biologically Active Compounds. Patent WO2001055082, 2 August 2001. [Google Scholar]
- Mulvihill, M.J.; Shaber, S.H. Enhanced Propetied Pharmaceuticals. Patent US20040254182, 16 December 2004. [Google Scholar]
- Burnet, M.; Guse, J.-H.; Gutke, H.-J.; Beck, A.; Tsotsou, G.; Droste-Borel, I.; Reichert, J.; Luyten, K.; Busch, M.; Wolff, M. Conjugates of Biologically Active Compounds, Methods for Their Preparation and Use, Formulation and Pharmaceutical Applications Thereof. Patent WO2003070174, 14 February 2003. [Google Scholar]
- Gonnissen, Y.R.J.P. Fluconazole Carboxylic Ester Derivatives, Synthesis, and Use in Long Acting Formulations. Patent WO2010100199, 10 September 2010. [Google Scholar]
- Gonnissen, Y.R.J.P. Fluconazole Carboxylic Ester Derivatives, Synthesis, and Use in Long Acting Formulations. Patent WO2010100186, 10 September 2010. [Google Scholar]
- Gonnissen, Y.R.J.P.; Voorspoels, J.F.M. Fosfluconazole Derivatives, Synthesis, and Use in Long Acting Formulations. Patent US20120010173, 12 January 2012. [Google Scholar]
- Murtiashaw, C.W.; Stephenson, P.T. Triazole Derivatives Useful in Therapy. Patent WO9728169, 7 August 1997. [Google Scholar]
- Kreidl, J.; Szantay, C.; Czibula, L.; Farkas, M.; Deutsch, I.; Szegedi, M.; Hegedues, I. Novel Substituted Propane-2-Ol Derivatives. Patent WO9508552, 30 March 1995. [Google Scholar]
- Wright, J.J.; Eliott, A.J.; Cooper, A.B.; Desai, J.A. Triazolyl- and Imidazolyl-Substituted Fluoroalkane Derivatives, Process for Their Preparation and Pharmaceutical Compositions Containing Them. Patent EP122452, 24 October 1984. [Google Scholar]
- Narayanaswami, S.; Richardson, K. Triazole Antifungal Agents. Patent EP96569, 6 June 1983. [Google Scholar]
- Richardson, K.; Bass, R.J.; Cooper, K. Triazole Antifungal Agents. Patent EP164246, 29 May 1985. [Google Scholar]
- Richardson, K. The Discovery of Fluconazole. Contemp. Org. Synth. 1996, 3, 125. [Google Scholar] [CrossRef]
- Bell, A.S. Triazole Antifungals: Itraconazole (Sporanox ®), Fluconazole (Diflucan ®), Voriconazole (Vfend ®), and Fosfluconazole (Prodif ®). In The Art of Drug Synthesis; Wiley: Hoboken, NJ, USA, 2007; pp. 71–82. [Google Scholar]
- Rogers, T.E.; Galgiani, J.N. Activity of Fluconazole (UK 49,858) and Ketoconazole against Candida Albicans in Vitro and in Vivo. Antimicrob. Agents Chemother. 1986, 30, 418–422. [Google Scholar] [CrossRef]


































































Disclaimer/Publisher’s Note: The statements, opinions and data contained in all publications are solely those of the individual author(s) and contributor(s) and not of MDPI and/or the editor(s). MDPI and/or the editor(s) disclaim responsibility for any injury to people or property resulting from any ideas, methods, instructions or products referred to in the content. |
© 2024 by the authors. Licensee MDPI, Basel, Switzerland. This article is an open access article distributed under the terms and conditions of the Creative Commons Attribution (CC BY) license (https://creativecommons.org/licenses/by/4.0/).
Share and Cite
Janowski, M.; Demchuk, O.M.; Wujec, M. Fluconazole Analogs and Derivatives: An Overview of Synthesis, Chemical Transformations, and Biological Activity. Molecules 2024, 29, 2855. https://doi.org/10.3390/molecules29122855
Janowski M, Demchuk OM, Wujec M. Fluconazole Analogs and Derivatives: An Overview of Synthesis, Chemical Transformations, and Biological Activity. Molecules. 2024; 29(12):2855. https://doi.org/10.3390/molecules29122855
Chicago/Turabian StyleJanowski, Michał, Oleg M. Demchuk, and Monika Wujec. 2024. "Fluconazole Analogs and Derivatives: An Overview of Synthesis, Chemical Transformations, and Biological Activity" Molecules 29, no. 12: 2855. https://doi.org/10.3390/molecules29122855
APA StyleJanowski, M., Demchuk, O. M., & Wujec, M. (2024). Fluconazole Analogs and Derivatives: An Overview of Synthesis, Chemical Transformations, and Biological Activity. Molecules, 29(12), 2855. https://doi.org/10.3390/molecules29122855

