Reactive Molecular Dynamics Simulation on Degradation of Tetracycline Antibiotics Treated by Cold Atmospheric Plasmas
Abstract
1. Introduction
2. Results and Discussion
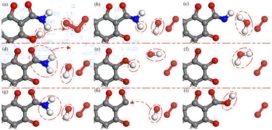
2.1. Common Interactions between ROS and TCs
2.2. Respective Individual Interactions between ROS and Other TCs
2.3. Dose Effects of Interactions between ROS and TCs
3. Molecular Dynamics Simulations
4. Conclusions
Author Contributions
Funding
Institutional Review Board Statement
Informed Consent Statement
Data Availability Statement
Conflicts of Interest
Sample Availability
References
- Ansari, M.; Moussavi, G.; Ehrampoosh, M.H.; Giannakis, S. A systematic review of non-thermal plasma (NTP) technologies for synthetic organic pollutants (SOPs) removal from water: Recent advances in energy yield aspects as their key limiting factor. J. Water Process. Eng. 2023, 51, 103371. [Google Scholar] [CrossRef]
- Popova, I.E.; Morra, M.J.; Parikh, S.J. Pressurized liquid extraction of six tetracyclines from agricultural soils. J. Environ. Sci. Health Part B 2019, 54, 35–40. [Google Scholar] [CrossRef] [PubMed]
- Mora-Gamboa, M.P.C.; Rincón-Gamboa, S.M.; Ardila-Leal, L.D.; Poutou-Piñales, R.A.; Pedroza-Rodríguez, A.M.; Quevedo-Hidalgo, B.E. Impact of Antibiotics as Waste, Physical, Chemical, and Enzymatical Degradation: Use of Laccases. Molecules 2022, 27, 4436. [Google Scholar] [CrossRef] [PubMed]
- Akshhayya, C.; Okla, M.K.; Al-Qahtani, W.H.; Rajeshwari, M.R.; Mohebaldin, A.; Alwasel, Y.A.; Soufan, W.; Abdel-Maksoud, M.A.; AbdElgawad, H.; Raju, L.L.; et al. Novel ZnFe2O4 decorated on ZnO nanorod: Synergistic photocatalytic degradation of tetracycline, kinetics, degradation pathway and antifungal activity. J. Environ. Chem. Eng. 2022, 10, 107673. [Google Scholar] [CrossRef]
- Kulikova, N.A.; Solovyova, A.A.; Perminova, I.V. Interaction of Antibiotics and Humic Substances: Environmental Consequences and Remediation Prospects. Molecules 2022, 27, 7754. [Google Scholar] [CrossRef]
- Fang, C.; Shao, C.; Wang, S.; Wu, Y.; Liu, C.; Huang, Q. Simultaneous removal of levofloxacin and sulfadiazine in water by dielectric barrier discharge (DBD) plasma: Enhanced performance and degradation mechanism. Process. Saf. Environ. Prot. 2023, 171, 459–469. [Google Scholar] [CrossRef]
- Roy, N.; Alex, S.A.; Chandrasekaran, N.; Mukherjee, A.; Kannabiran, K. A comprehensive update on antibiotics as an emerging water pollutant and their removal using nano-structured photocatalysts. J. Environ. Chem. Eng. 2021, 9, 104796. [Google Scholar] [CrossRef]
- Wu, G.R.; Sun, L.J.; Xu, J.K.; Gao, S.Q.; Tan, X.S.; Lin, Y.W. Efficient Degradation of Tetracycline Antibiotics by Engineered Myoglobin with High Peroxidase Activity. Molecules 2022, 27, 8660. [Google Scholar] [CrossRef]
- Daghrir, R.; Drogui, P. Tetracycline antibiotics in the environment: A review. Environ. Chem. Lett. 2013, 11, 209–227. [Google Scholar] [CrossRef]
- Shang, A.H.; Ye, J.; Chen, D.H.; Lu, X.X.; Lu, H.D.; Liu, C.N.; Wang, L.M. Physiological effects of tetracycline antibiotic pollutants on non-target aquatic Microcystis aeruginosa. J. Environ. Sci. Health Part B 2015, 50, 809–818. [Google Scholar] [CrossRef]
- Miranda, C.D.; Zemelman, R. Bacterial resistance to oxytetracycline in Chilean salmon farming. Aquaculture 2002, 212, 31–47. [Google Scholar] [CrossRef]
- Zhou, Y.; Zhang, L.; Cheng, Z. Removal of organic pollutants from aqueous solution using agricultural wastes: A review. J. Mol. Liq. 2015, 212, 739–762. [Google Scholar] [CrossRef]
- Chen, J.; Ren, Q.; Ding, Y.; Xiong, C.; Guo, W. Synthesis of bifunctional composites Ag/BiOCl/diatomite: Degradation of tetracycline and evaluation of antimicrobial activity. J. Environ. Chem. Eng. 2021, 9, 106476. [Google Scholar] [CrossRef]
- Zhao, W.; Duan, J.; Ji, B.; Ma, L.; Yang, Z. Novel formation of large area N-TiO2/graphene layered materials and enhanced photocatalytic degradation of antibiotics. J. Environ. Chem. Eng. 2020, 8, 102206. [Google Scholar] [CrossRef]
- Lin, X.; Su, M.; Fang, F.; Hong, J.; Zhang, Y.; Zhou, S.F. Hierarchically Annular Mesoporous Carbon Derived from Phenolic Resin for Efficient Removal of Antibiotics in Wastewater. Molecules 2022, 27, 6735. [Google Scholar] [CrossRef] [PubMed]
- Zhang, P.; Li, Y.; Cao, Y.; Han, L. Characteristics of tetracycline adsorption by cow manure biochar prepared at different pyrolysis temperatures. Bioresour. Technol. 2019, 285, 121348. [Google Scholar] [CrossRef] [PubMed]
- Picón, D.; Vergara-Rubio, A.; Estevez-Areco, S.; Cerveny, S.; Goyanes, S. Adsorption of Methylene Blue and Tetracycline by Zeolites Immobilized on a PBAT Electrospun Membrane. Molecules 2022, 28, 81. [Google Scholar] [CrossRef] [PubMed]
- Choi, K.J.; Kim, S.G.; Kim, S.H. Removal of antibiotics by coagulation and granular activated carbon filtration. J. Hazard. Mater. 2008, 151, 38–43. [Google Scholar] [CrossRef]
- Saitoh, T.; Shibata, K.; Fujimori, K.; Ohtani, Y. Rapid removal of tetracycline antibiotics from water by coagulation-flotation of sodium dodecyl sulfate and poly(allylamine hydrochloride) in the presence of Al(III) ions. Sep. Purif. Technol. 2017, 187, 76–83. [Google Scholar] [CrossRef]
- Crisafully, R.; Milhome, M.A.L.; Cavalcante, R.M.; Silveira, E.R.; Keukeleire, D.D.; Nascimento, R.F. Removal of some polycyclic aromatic hydrocarbons from petrochemical wastewater using low-cost adsorbents of natural origin. Bioresour. Technol. 2008, 99, 4515–4519. [Google Scholar] [CrossRef]
- Iakovides, I.; Michael-Kordatou, I.; Moreira, N.; Ribeiro, A.; Fernandes, T.; Pereira, M.; Nunes, O.; Manaia, C.; Silva, A.; Fatta-Kassinos, D. Continuous ozonation of urban wastewater: Removal of antibiotics, antibiotic-resistant Escherichia coli and antibiotic resistance genes and phytotoxicity. Water Res. 2019, 159, 333–347. [Google Scholar] [CrossRef] [PubMed]
- Wang, H.; Liao, B.; Lu, T.; Ai, Y.; Liu, G. Enhanced visible-light photocatalytic degradation of tetracycline by a novel hollow BiOCl@CeO2 heterostructured microspheres: Structural characterization and reaction mechanism. J. Hazard. Mater. 2020, 385, 121552. [Google Scholar] [CrossRef] [PubMed]
- Lai, C.; Huang, F.; Zeng, G.; Huang, D.; Qin, L.; Cheng, M.; Zhang, C.; Li, B.; Yi, H.; Liu, S.; et al. Fabrication of novel magnetic MnFe2O4/bio-char composite and heterogeneous photo-Fenton degradation of tetracycline in near neutral pH. Chemosphere 2019, 224, 910–921. [Google Scholar] [CrossRef]
- Bautitz, I.R.; Nogueira, R.F.P. Degradation of tetracycline by photo-Fenton process–Solar irradiation and matrix effects. J. Photochem. Photobiol. A Chem. 2007, 187, 33–39. [Google Scholar] [CrossRef]
- Wang, J.; Zhi, D.; Zhou, H.; He, X.; Zhang, D. Evaluating tetracycline degradation pathway and intermediate toxicity during the electrochemical oxidation over a Ti/Ti4O7 anode. Water Res. 2018, 137, 324–334. [Google Scholar] [CrossRef] [PubMed]
- Dalmázio, I.; Almeida, M.O.; Augusti, R.; Alves, T.M.A. Monitoring the degradation of tetracycline by ozone in aqueous medium via atmospheric pressure ionization mass spectrometry. J. Am. Soc. Mass Spectrom. 2007, 18, 679–687. [Google Scholar] [CrossRef]
- Li, Q.; Jiang, L.; Li, Y.; Wang, X.; Zhao, L.; Huang, P.; Chen, D.; Wang, J. Enhancement of Visible-Light Photocatalytic Degradation of Tetracycline by Co-Doped TiO2 Templated by Waste Tobacco Stem Silk. Molecules 2023, 28, 386. [Google Scholar] [CrossRef] [PubMed]
- Prado, N.; Ochoa, J.; Amrane, A. Biodegradation by activated sludge and toxicity of tetracycline into a semi-industrial membrane bioreactor. Bioresour. Technol. 2009, 100, 3769–3774. [Google Scholar] [CrossRef]
- Li, B.; Zhang, T. Mass flows and removal of antibiotics in two municipal wastewater treatment plants. Chemosphere 2011, 83, 1284–1289. [Google Scholar] [CrossRef]
- Gao, P.; Mao, D.; Luo, Y.; Wang, L.; Xu, B.; Xu, L. Occurrence of sulfonamide and tetracycline-resistant bacteria and resistance genes in aquaculture environment. Water Res. 2012, 46, 2355–2364. [Google Scholar] [CrossRef]
- Singh, R.K.; Philip, L.; Ramanujam, S. Rapid degradation, mineralization and detoxification of pharmaceutically active compounds in aqueous solution during pulsed corona discharge treatment. Water Res. 2017, 121, 20–36. [Google Scholar] [CrossRef] [PubMed]
- Brault, P.; Abraham, M.; Bensebaa, A.; Aubry, O.; Hong, D.; Rabat, H.; Magureanu, M. Insight into plasma degradation of paracetamol in water using a reactive molecular dynamics approach. J. Appl. Phys. 2021, 129, 183304. [Google Scholar] [CrossRef]
- Attri, P.; Bogaerts, A. Perspectives of Plasma-treated Solutions as Anticancer Drugs. Anti Cancer Agents Med. Chem. 2019, 19, 436–438. [Google Scholar] [CrossRef] [PubMed]
- Ma, Y.; Sun, M.; Mominou, N.; Zuo, N.; Li, S.; Jing, C.; Wang, L. Efficient degradation of tetracycline over Co/La oriented on g-C3N4 with the outstanding oxygen activation property under visible light. J. Environ. Chem. Eng. 2022, 10, 107916. [Google Scholar] [CrossRef]
- Ekanayake, U.M.; Barclay, M.; Seo, D.H.; Park, M.J.; MacLeod, J.; O’Mullane, A.P.; Motta, N.; Shon, H.K.; Ostrikov, K.K. Utilization of plasma in water desalination and purification. Desalination 2021, 500, 114903. [Google Scholar] [CrossRef]
- Aggelopoulos, C.; Meropoulis, S.; Hatzisymeon, M.; Lada, Z.; Rassias, G. Degradation of antibiotic enrofloxacin in water by gas-liquid nsp-DBD plasma: Parametric analysis, effect of H2O2 and CaO2 additives and exploration of degradation mechanisms. Chem. Eng. J. 2020, 398, 125622. [Google Scholar] [CrossRef]
- Zhang, G.; Sun, Y.; Zhang, C.; Yu, Z. Decomposition of acetaminophen in water by a gas phase dielectric barrier discharge plasma combined with TiO2-rGO nanocomposite: Mechanism and degradation pathway. J. Hazard. Mater. 2017, 323, 719–729. [Google Scholar] [CrossRef]
- Jose, J.; Philip, L. Degradation of chlorobenzene in aqueous solution by pulsed power plasma: Mechanism and effect of operational parameters. J. Environ. Chem. Eng. 2019, 7, 103476. [Google Scholar] [CrossRef]
- Tian, S.Q.; Wang, X.L.; Zhang, Y.T. Numerical study on interactions of atmospheric plasmas and vegetable oils by reactive molecular dynamic simulations. Plasma Process. Polym. 2021, 18, 2100124. [Google Scholar] [CrossRef]
- Zang, Y.; Zhou, M.; Wu, Y.; Qin, S.; Huang, S.; Meng, J. Numerical Simulation of Interaction between Plasma and Azithromycin Based on Molecular Dynamics. Appl. Sci. 2022, 12, 12878. [Google Scholar] [CrossRef]
- He, D.; Sun, Y.; Xin, L.; Feng, J. Aqueous tetracycline degradation by non-thermal plasma combined with nano-TiO2. Chem. Eng. J. 2014, 258, 18–25. [Google Scholar] [CrossRef]
- Wang, C.; Qu, G.; Wang, T.; Deng, F.; Liang, D. Removal of tetracycline antibiotics from wastewater by pulsed corona discharge plasma coupled with natural soil particles. Chem. Eng. J. 2018, 346, 159–170. [Google Scholar] [CrossRef]
- Guo, H.; Wang, Y.; Yao, X.; Zhang, Y.; Li, Z.; Pan, S.; Han, J.; Xu, L.; Qiao, W.; Li, J.; et al. A comprehensive insight into plasma-catalytic removal of antibiotic oxytetracycline based on graphene-TiO2-Fe3O4 nanocomposites. Chem. Eng. J. 2021, 425, 130614. [Google Scholar] [CrossRef]
- Huang, J.; Puyang, C.; Wang, Y.; Zhang, J.; Guo, H. Hydroxylamine activated by discharge plasma for synergetic degradation of tetracycline in water: Insight into performance and mechanism. Sep. Purif. Technol. 2022, 300, 121913. [Google Scholar] [CrossRef]
- Yi, R.; Guo, H.; Wang, H.; Du, D.; Zhang, Q.; Yi, C. Multiple production of highly active particles for oxytetracycline degradation in a large volume strong ionization dielectric barrier discharge system: Performance and degradation pathways. Sep. Purif. Technol. 2021, 274, 119103. [Google Scholar] [CrossRef]
- Zhang, Y.T.; He, J. Frequency effects on the production of reactive oxygen species in atmospheric radio frequency helium-oxygen discharges. Phys. Plasmas 2013, 20, 013502. [Google Scholar] [CrossRef]
- Lu, X.; Naidis, G.; Laroussi, M.; Reuter, S.; Graves, D.; Ostrikov, K. Reactive species in non-equilibrium atmospheric-pressure plasmas: Generation, transport, and biological effects. Phys. Rep. 2016, 630, 1–84. [Google Scholar] [CrossRef]
- Yao, X.; Guo, J.S.; Zhang, Y.T. Unveiling pathways of oxytetracycline degradation induced by cold atmospheric plasma. AIP Adv. 2022, 12, 035046. [Google Scholar] [CrossRef]
- Mouele, E.S.M.; Tijani, J.O.; Badmus, K.O.; Pereao, O.; Babajide, O.; Fatoba, O.O.; Zhang, C.; Shao, T.; Sosnin, E.; Tarasenko, V.; et al. A critical review on ozone and co-species, generation and reaction mechanisms in plasma induced by dielectric barrier discharge technologies for wastewater remediation. J. Environ. Chem. Eng. 2021, 9, 105758. [Google Scholar] [CrossRef]
- Davies, A.K.; McKellar, J.F.; Phillips, G.O.; Reid, A.G. Photochemical oxidation of tetracycline in aqueous solution. J. Chem. Soc. Perkin Trans. 2 1979, 3, 369–375. [Google Scholar] [CrossRef]
- Zhang, W.; Watanabe, K.; Cai, X.; Jung, M.E.; Tang, Y.; Zhan, J. Identifying the Minimal Enzymes Required for Anhydrotetracycline Biosynthesis. J. Am. Chem. Soc. 2008, 130, 6068–6069. [Google Scholar] [CrossRef] [PubMed]
- Van der Paal, J.; Aernouts, S.; van Duin, A.C.T.; Neyts, E.C.; Bogaerts, A. Interaction of O and OH radicals with a simple model system for lipids in the skin barrier: A reactive molecular dynamics investigation for plasma medicine. J. Phys. D Appl. Phys. 2013, 46, 395201. [Google Scholar] [CrossRef]
- Cornell, W.D.; Cieplak, P.; Bayly, C.I.; Gould, I.R.; Merz, K.M.; Ferguson, D.M.; Spellmeyer, D.C.; Fox, T.; Caldwell, J.W. A Second Generation Force Field for the Simulation of Proteins, Nucleic Acids, and Organic Molecules. J. Am. Chem. Soc. 1995, 117, 5179–5197. [Google Scholar] [CrossRef]
- Brooks, B.R.; Bruccoleri, R.E.; Olafson, B.D.; States, D.J.; Swaminathan, S.; Karplus, M. CHARMM: A program for macromolecular energy, minimization, and dynamics calculations. J. Comput. Chem. 1983, 4, 187–217. [Google Scholar] [CrossRef]
- Mayo, S.L.; Olafson, B.D.; Goddard, W.A. DREIDING: A generic force field for molecular simulations. J. Phys. Chem. 1990, 94, 8897–8909. [Google Scholar] [CrossRef]
- Rappe, A.K.; Casewit, C.J.; Colwell, K.S.; Goddard, W.A.; Skiff, W.M. UFF, a full periodic table force field for molecular mechanics and molecular dynamics simulations. J. Am. Chem. Soc. 1992, 114, 10024–10035. [Google Scholar] [CrossRef]
- van Duin, A.C.T.; Dasgupta, S.; Lorant, F.; Goddard, W.A. ReaxFF: A Reactive Force Field for Hydrocarbons. J. Phys. Chem. A 2001, 105, 9396–9409. [Google Scholar] [CrossRef]
- Mueller, J.E.; van Duin, A.C.T.; Goddard, W.A. Application of the ReaxFF Reactive Force Field to Reactive Dynamics of Hydrocarbon Chemisorption and Decomposition. J. Phys. Chem. C 2010, 114, 5675–5685. [Google Scholar] [CrossRef]
- You, Z.; Xiao, J.; Mao, Q.; Ye, S.; Zhong, Q. Influence mechanism of Nano-Fe2O3 on amorphous carbon graphitisation in molecular view via ReaxFF MD simulation. Mol. Simul. 2021, 47, 1241–1249. [Google Scholar] [CrossRef]
- Monti, S.; van Duin, A.C.T.; Kim, S.Y.; Barone, V. Exploration of the Conformational and Reactive Dynamics of Glycine and Diglycine on TiO2: Computational Investigations in the Gas Phase and in Solution. J. Phys. Chem. C 2012, 116, 5141–5150. [Google Scholar] [CrossRef]
- Ganeshan, K.; Shin, Y.K.; Osti, N.C.; Sun, Y.; Prenger, K.; Naguib, M.; Tyagi, M.; Mamontov, E.; Jiang, D.e.; van Duin, A.C.T. Structure and Dynamics of Aqueous Electrolytes Confined in 2D-TiO2 /Ti3 C2 T2 MXene Heterostructures. ACS Appl. Mater. Interfaces 2020, 12, 58378–58389. [Google Scholar] [CrossRef] [PubMed]
- Prenger, K.; Sun, Y.; Ganeshan, K.; Al-Temimy, A.; Liang, K.; Dun, C.; Urban, J.J.; Xiao, J.; Petit, T.; van Duin, A.C.T.; et al. Metal Cation Pre-Intercalated Ti3C2Tx MXene as Ultra-High Areal Capacitance Electrodes for Aqueous Supercapacitors. ACS Appl. Energy Mater. 2022, 5, 9373–9382. [Google Scholar] [CrossRef]
- Hou, D.; Feng, M.; Wei, J.; Wang, Y.; van Duin, A.C.; Luo, K.H. A reactive force field molecular dynamics study on the inception mechanism of titanium tetraisopropoxide (TTIP) conversion to titanium clusters. Chem. Eng. Sci. 2022, 252, 117496. [Google Scholar] [CrossRef]
- Hou, D.; Mao, Q.; Ren, Y.; Luo, K.H. Atomic insights into mechanisms of carbon coating on titania nanoparticle during flame synthesis. Carbon 2023, 201, 189–199. [Google Scholar] [CrossRef]















Disclaimer/Publisher’s Note: The statements, opinions and data contained in all publications are solely those of the individual author(s) and contributor(s) and not of MDPI and/or the editor(s). MDPI and/or the editor(s) disclaim responsibility for any injury to people or property resulting from any ideas, methods, instructions or products referred to in the content. |
© 2023 by the authors. Licensee MDPI, Basel, Switzerland. This article is an open access article distributed under the terms and conditions of the Creative Commons Attribution (CC BY) license (https://creativecommons.org/licenses/by/4.0/).
Share and Cite
Guo, J.; Zhang, Y. Reactive Molecular Dynamics Simulation on Degradation of Tetracycline Antibiotics Treated by Cold Atmospheric Plasmas. Molecules 2023, 28, 3850. https://doi.org/10.3390/molecules28093850
Guo J, Zhang Y. Reactive Molecular Dynamics Simulation on Degradation of Tetracycline Antibiotics Treated by Cold Atmospheric Plasmas. Molecules. 2023; 28(9):3850. https://doi.org/10.3390/molecules28093850
Chicago/Turabian StyleGuo, Jinsen, and Yuantao Zhang. 2023. "Reactive Molecular Dynamics Simulation on Degradation of Tetracycline Antibiotics Treated by Cold Atmospheric Plasmas" Molecules 28, no. 9: 3850. https://doi.org/10.3390/molecules28093850
APA StyleGuo, J., & Zhang, Y. (2023). Reactive Molecular Dynamics Simulation on Degradation of Tetracycline Antibiotics Treated by Cold Atmospheric Plasmas. Molecules, 28(9), 3850. https://doi.org/10.3390/molecules28093850

