Next Article in Journal
New Hybrid Tetrahydropyrrolo[3,2,1-ij]quinolin-1-ylidene-2-thioxothiazolidin-4-ones as New Inhibitors of Factor Xa and Factor XIa: Design, Synthesis, and In Silico and Experimental Evaluation
Next Article in Special Issue
[1,2,4]triazolo[4,3-a]quinoxaline as Novel Scaffold in the Imiqualines Family: Candidates with Cytotoxic Activities on Melanoma Cell Lines
Previous Article in Journal
Reactive Molecular Dynamics Simulation on Degradation of Tetracycline Antibiotics Treated by Cold Atmospheric Plasmas
Previous Article in Special Issue
Design, Synthesis, In Vitro, and In Silico Insights of 5-(Substituted benzylidene)-2-phenylthiazol-4(5H)-one Derivatives: A Novel Class of Anti-Melanogenic Compounds
 
 
Font Type:
Arial Georgia Verdana
Font Size:
Aa Aa Aa
Line Spacing:
Column Width:
Background:
Article

New Chemistry of Chiral 1,3-Dioxolan-4-Ones

EaStCHEM School of Chemistry, University of St. Andrews, North Haugh, St. Andrews, Fife KY16 9ST, UK
*
Author to whom correspondence should be addressed.
Molecules 2023, 28(9), 3845; https://doi.org/10.3390/molecules28093845
Submission received: 29 March 2023 / Revised: 27 April 2023 / Accepted: 28 April 2023 / Published: 1 May 2023

Abstract

(2S,5S)-5-Phenyl-2-t-butyl-1,3-dioxolan-4-one, readily derived from mandelic acid, undergoes the Michael addition to butenolide and 4-methoxy-β-nitrostyrene with the absolute configuration of the products confirmed by X-ray diffraction in each case. In the former case, thermal fragmentation gives the phenyl ketone, thus illustrating use of the dioxolanone as a chiral benzoyl anion equivalent. The Diels–Alder cycloaddition chemistry of (2S)-5-methylene-2-t-butyl-1,3-dioxolan-4-one, derived from lactic acid, has been further examined with the X-ray structures of four adducts determined. In one case, thermal fragmentation of the adduct gives a chiral epoxy ketone resulting from the dioxolanone acting as a chiral ketene equivalent, while in others the products give insight into the mechanism of the dioxolanone fragmentation process.

1. Introduction

Starting from the seminal work of Seebach almost 40 years ago [1], chiral 1,3-dioxolan-4-ones 1 have proved very useful in asymmetric synthesis. As shown (Scheme 1), they are readily formed from α-hydroxy acids, such as lactic (R1 = Me) and mandelic acid (R1 = Ph), that are available in enantiomerically pure form and are readily purified to give pure diastereomers in which a second stereogenic centre has been introduced under control from the first. This is fortunate, since, although deprotonation results in loss of the stereochemical information at C–5, this is “stored” by the C–2 centre, and subsequent reaction with an electrophile takes place with high selectivity to give products 2.
The initial study used not only alkyl halides as electrophiles but also aldehydes and ketones [1], and this was quickly followed by extension to nitroalkenes [2]. The new stereogenic centre created within the electrophile in these cases was also formed with high selectivity, meaning that chiral products could be obtained even after sacrificing the stereochemistry at both R1 and R2. In this way, the dioxolanones 1 could be used as chiral acyl anion equivalents [3] leading to products 4 with a stereogenic centre within the electrophilic group E. Conversion of the initial adducts 2 into 4 could be achieved either by hydrolysis to the α-hydroxy acid 3 followed by oxidative decarboxylation [4] or, in our own studies, by flash vacuum pyrolysis (FVP) with loss of the aldehyde R2CHO and CO [5]. Conjugate addition of a chiral dioxolanone anion to cyclopentenone later featured in the industrial scale synthesis of a muscarinic receptor antagonist [6,7,8], and around the same time Pedro and coworkers reported detailed studies in the conjugate addition of dioxolanone anions both to enones [9,10] and to nitrostyrenes [11].
As a specific example of the latter reaction, interaction of the anion derived from 5 with β-nitro-4-methoxystyrene gave the two diastereomeric products 6a and 6b in a ratio of 90:10 in an overall yield of 79%, but only in the presence of the toxic additive HMPA [11]. The stereochemistry was assigned by NOE studies on the lactam 7a derived by reduction of the major product (Scheme 2). More recently, organocatalytic asymmetric Michael addition of a 2,2-bis(trifluoromethyl)dioxolanone to β-nitrostyrenes with excellent diastereo- and enantioselectivity using a cinchona/thiourea catalyst has been described [12].
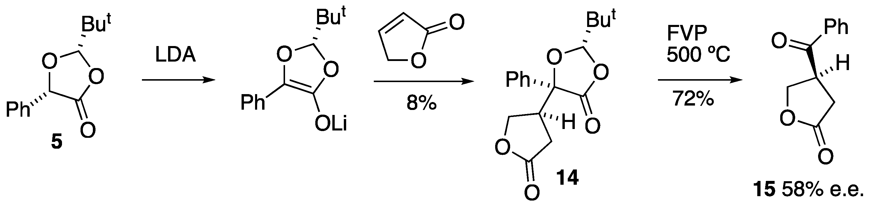
Shortly after the initial report on dioxolanone alkylation, Seebach extended the chemistry by bromination and dehydrobromination of the lactic acid-derived compound 8 to give the chiral 5-methylenedioxolanone 9 (Scheme 3) [13]. The reactivity of this as a Diels–Alder dienophile with cyclopentadiene to afford adduct 10 with high stereoselectivity was reported simultaneously by the groups of Mattay [14] and Roush [15], with the former study including confirmation of the absolute stereochemistry of the major adduct 10a by X-ray diffraction, as well as its subsequent degradation to give chiral norbornenone 11 in 90% e.e. Roush later used a similar method to obtain the opposite enantiomer of 11 in 99% e.e. [16]. In these reactions, compound 9 is behaving as a chiral ketene equivalent and a similar approach incorporating a hydrogenation step was also patented as a route to optically active norbornan-2-one [17]. The range of dienes has been extended to include α,β-unsaturated aldehydes giving 12 [18] and butadiene, which gives 13 [19].
In this paper, we describe our studies on the Michael addition of the anion derived from dioxolanone 5 to the previously unexamined acceptor butenolide, as well as to β-nitro-4-methoxystyrene with confirmation of the adduct’s structure by X-ray diffraction in each case and unmasking of the former product by FVP to give the chiral benzoyl anion adduct. Further studies on the Diels–Alder chemistry of methylenedioxolanone 9 including functionalisation of the double bond in the cyclopentadiene adduct, and formation and structural characterisation of adducts with more sterically hindered dienes, as well as an examination of their pyrolytic behaviour, leads to greater mechanistic understanding.

2. Results and Discussion

2.1. Michael Addition of Dioxolanone 5 to Butenolide and β-Nitro-4-Methoxystyrene

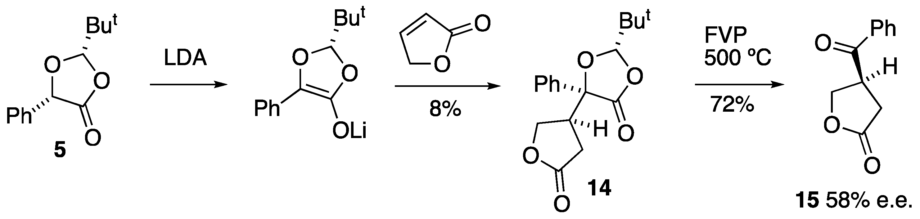
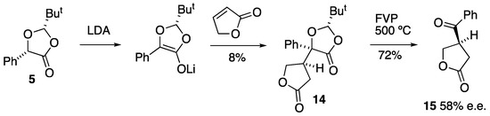
Treatment of the anion derived from dioxolanone 5 with butenolide [20] followed by chromatographic purification gave a low yield of the expected adduct 14 as a single stereoisomer (Scheme 4). This showed well-defined AB patterns of doublets at δ 4.02 and 4.17 ppm for CH2O and at δ 2.55 and 2.69 ppm for CH2C=O, both coupled to the CH between them which appeared as a multiplet at δ 3.26 ppm. The corresponding 13C NMR signals appeared, respectively, at δ 67.8, 29.9 and 45.3 ppm. The two lactone C=O groups gave a single IR absorption at 1789 cm−1 and a correct HRMS measurement was obtained. The relative and absolute configuration was confirmed by X-ray diffraction to be (S,S,S) (Figure 1). When this was subjected to FVP at 500 °C, there was almost complete reaction with loss of pivalaldehyde and CO to give, after preparative TLC, the lactone (4S)-4-benzoyltetrahydrofuran-2-one 15 in good yield. This showed good agreement with NMR chemical shift values from the literature and based on its optical rotation [21], the e.e. was 58%.
We now examined the Michael addition of the anion derived from 5 to β-nitro-4-methoxystyrene and, wishing to avoid the use of toxic and carcinogenic additive HMPA [11], we adopted a slightly different procedure. Rather than adding LDA to a preformed mixture of dioxolanone, nitrostyrene and HMPA as previously described [11], we added the dioxolanone to LDA at −78 °C, allowed it to warm to −20 °C and then re-cooled it to −78 °C before adding the nitrostyrene. In this way, a more equal mixture of diastereomeric products was obtained with a slight bias in favour of the opposite isomer as compared to the previous study. Although the overall yield was low, the diastereomers were readily separated by column chromatography and significant amounts of each were obtained for further study. For further structural confirmation, we were able to reduce each isomer to the respective hydroxylactam 7 in almost quantitative yield using hydrogenation with a Raney nickel catalyst (Scheme 5).
Both the spectroscopic data (see Supplementary Materials) and optical rotation of our minor product 6a and its derived hydroxylactam 7a were in full agreement with the literature values [11] and we were also able to characterise our major product 6b and its derived hydroxylactam 7b for the first time. The newly formed CH–CH2–NO2 function was confirmed by the appearance of three separate doublets of doublets in the 1H NMR spectra, centred at δ 5.07, 4.48 and 4.10 ppm for 6a and at δ 4.87, 4.20 and 4.19 ppm for 6b. The associated 13C NMR signals were observed at δ 52.3 (CH) and 75.0 (CH2) ppm for 6a and at δ 51.8 (CH) and 74.7 (CH2) ppm for 6b. For 6b, IR absorptions were observed at 1786 (C=O), 1555 and 1380 (NO2) cm−1 and a correct HRMS measurement was obtained. The 13C NMR signals for the two adjacent stereocentres were observed at δ 53.5 (CH) and 78.7 (COH) ppm for 7a and at 53.6 (CH) and 81.3 (COH) ppm for 7b. Since Pedro’s stereochemical assignment relied only on NOE effects in the 1H NMR spectrum of 7a, we thought it wise to confirm this and were able to obtain an X-ray structure of 6b (Figure 1). Although this had a rather high R-factor owing to the presence of disordered solvent, it was sufficient to confirm the structure, which was indeed in agreement with the earlier stereochemical assignments.

2.2. Diels–Alder Reactions of 5-Methylenedioxolanone 9

We began by preparing the cyclopentadiene adduct 10a by the reported method [14] and examining its fragmentation using FVP at 500 °C. However, as might have been expected, this simply resulted in a retro-Diels–Alder reaction to give cyclopentadiene, compound 9 and a little pivalaldehyde from its fragmentation. In previous studies [22], we found that an effective way to prevent cycloreversion in such cases is to functionalise the double bond as the epoxide or aziridine. Compound 10a was therefore converted into the epoxide 16 in low yield using peroxyacetic acid and into the N-ethoxycarbonylaziridine 17 in good yield by photolysis in neat ethyl azidoformate [23] (Scheme 6). In these the alkene signals of 10a had been replaced in the 1H NMR spectra by signals at δ 3.38 and 3.35 ppm for 16 and 2.98 and 2.88 ppm for 17 with associated 13C NMR signals at δ 48.2, 51.2 ppm (16) and 35.0, 38.7 ppm (17). The IR spectrum of 17 showed two separate C=O absorptions at 1789 and 1720 cm−1. The Diels–Alder adduct of 9 with 1,3-cyclohexadiene was also prepared using forcing conditions but the adduct 18 was formed in low yield and could not be satisfactorily purified, although spectroscopic data for the major diastereomer present were obtained.
Upon FVP, the epoxide 16 reacted completely at 550 °C to give the expected epoxynorbornanone 19 in low yield but high e.e. It is worth noting that the only previous route to this compound in non-racemic form involved enzymatic resolution [24]. The corresponding FVP behaviour of the aziridine 17 came as a surprise. At 525 °C it was found to convert to an extent of 50% into a new isomeric compound with very similar spectroscopic properties. The two were, however, readily separable by preparative TLC, and X-ray structure determination revealed that the new product 20 differed from 17 only in the absolute configuration of the CHBut centre (Figure 2). The most likely way in which this occurs is thermal equilibration of the dioxolanone 17 with a ring-opened zwitterionic oxonium carboxylate in which there can be rotation about the C–O+ bond before ring closure to give the epimeric isomer 20. We believe that this serendipitous observation has in fact given a valuable insight into the likely mechanism of thermal fragmentation of dioxolanones in general: this normally proceeds by initial ring-opening to an oxonium carboxylate (Scheme 7) which is then followed by attack of O and the C–O+ carbon with expulsion of the aldehyde and formation of an α-lactone which subsequently loses CO. A further insight into this process is given by the results below.
We now decided to examine the reactivity of 5-methylenedioxolanone 9 with more sterically hindered 1,3-dienes and started with tetraphenylcyclopentadienone. This was a very reluctant reaction and after 24 h in boiling toluene much of the diene and dienophile were unchanged and the partly reduced diene, tetraphenylcyclopentenone [25], was formed by a process that is not well understood. Nonetheless, chromatographic separation allowed us to obtain a low yield of the expected adduct 21 as a single stereoisomer whose stereochemistry is assigned by analogy with that of 22a (see below). Distinctive features confirming the structure were an AB pattern at δ 3.10 and 3.21 ppm (J 12.8 Hz) in the 1H NMR spectrum for CH2 with the corresponding 13C NMR signal at δ 42.4 ppm and two separate carbonyl absorptions at 1795 and 1782 cm−1 in the IR spectrum. The less hindered and more reactive diene 1,3-diphenylisobenzofuran reacted more readily and, after 36 h, chromatographic separation of the product mixture led to isolation of a major stereoisomer 22a (25%) in pure form and a minor stereoisomer 22b (10%) contaminated by a little 22a. The spectra of these two stereoisomers showed significant differences with the two CH2 protons much more similar in 22a (AB pattern δ 2.77, 2.86 ppm) than in 22b (AB pattern δ 2.37, 3.14 ppm) and the position of the CHtBu signal was also markedly different (δ 4.26 ppm for 22a vs. 5.39 ppm for 22b). In addition, a significant amount of the byproduct 1,2-dibenzoylbenzene formed by air oxidation of diphenylisobenzofuran was obtained and characterised by comparison of its melting point [26] and NMR data [27] with values from the literature.
The structure of 22a was determined by X-ray diffraction (Figure 3) and is that resulting from addition of the diene to the face of 9 away from tert-butyl and with the diene overlying the lactone rather than the ether side of the ring. We assume 22b has the structure shown resulting from addition of the diene again to the face away from tert-butyl but this time with the diene overlying the ether side of the ring in 9. For both 21 and 22a the only process observed upon FVP was a clean retro-Diels–Alder reaction to give the starting components.
We then moved on to examine the reactivity of 9 with tetrachlorothiophene 1,1-dioxide 23, a diene known to undergo cycloaddition to a wide range of dienophiles with loss of SO2 [28]. The expected adduct 24 was formed in moderate yield and showed a distinctive AB pattern at δ 2.93 and 3.58 ppm (J 18.8 Hz) for CH2 in the 1H NMR spectrum with associated 13C NMR signal at δ 42.3 ppm. Upon pyrolysis, this was expected to undergo thermal fragmentation with loss of pivalaldehyde and CO to give 2,3,4,5-tetrachlorophenol. However, in reality this took a different course: upon FVP at 550 °C, only pivalaldehyde was lost to give a high yield of 2,3,4,5-tetrachlorobenzoic acid with distinctive NMR signals for the single aromatic ring CH at δ 8.09 (1H) and 129.2 ppm (13C), as well as signals for C=O at δ 164.8 ppm (13C NMR) and 1797 cm−1 (IR). We envisage this proceeding as shown (Scheme 8) with initial formation of the usual oxonium carboxylate but, rather than attacking back at the ring to form a (non-aromatic) α-lactone, this instead abstracts a proton from the adjacent position to reform the aromatic system and give the products shown.

2.3. Diels–Alder Reactions of the Achiral Methylenedioxolanone 26

With a view to obtain racemic samples of some of the pyrolysis products for reference, we also examined Diels–Alder cycloaddition of 2,2-dimethyl-5-methylene-1,3-dioxolan-4-one 26. Although this compound has been prepared in several ways [29,30], we were able to obtain it best by condensation of lactic acid and acetone followed by NBS bromination and treatment with triethylamine [18]. The Diels–Alder adduct with cyclopentadiene 27 [31] was readily formed, although in low yield, and was difficult to purify owing to partial cycloreversion to the starting components upon distillation or column chromatography. Despite this, satisfactory spectroscopic data were obtained and peroxyacetic acid oxidation afforded the epoxide 28. In this the alkene signals of 27 (δ 6.17, 6.48 ppm in 1H NMR and 133.0, 140.3 ppm in 13C NMR) had been replaced by new signals for CH–O at δ 3.30, 3.44 ppm in 1H NMR and 47.9, 50.9 ppm in 13C NMR. When this was subjected to FVP at 550 °C, the expected fragmentation took place with loss of acetone and carbon monoxide to give the racemic epoxyketone 19 spectroscopically identical to the chiral material obtained earlier from 16 (Scheme 9).
With both faces of the ring hindered by a methyl group, 26 proved to be a poorer dienophile than 9 and reaction with diphenylisobenzofuran gave only a low yield of cycloadducts after 48 h in boiling toluene. These were separated with some difficulty by column chromatography, followed by repeated recrystallisation to give a major adduct 29a and a minor adduct 29b. These were readily distinguishable by 1H NMR with a much smaller separation of the diastereotopic CH2 protons in 29a (δ 2.79, 2.91 ppm) as compared to 29b (δ 2.41, 3.13 ppm). The associated 13C NMR signals were more similar appearing at δ 51.0 ppm for 29a and 49.3 ppm for 29b. The structure of the latter was confirmed by X-ray diffraction (Figure 4), and it can be seen that, as for 22, cycloaddition with the diene overlying the lactone as opposed to the ether side of the dienophile ring is favoured.

3. Experimental

3.1. General Experimental Details

NMR spectra were recorded on solutions in CDCl3 unless otherwise stated using Bruker instruments and chemical shifts are given in ppm to high frequency from Me4Si with coupling constants J in Hz. On 1H NMR spectra signals at 0.0, 2.50 and 7.26 ppm are due to internal Me4Si and residual CD3SOCD2H and CHCl3, respectively. The 13C NMR spectra are referenced to the solvent signals at 77.0 (CDCl3) or 39.5 ppm (CD3SOCD3). IR spectra were recorded on a Perkin Elmer 1420 instrument. Elemental analysis was conducted using a Carlo Erba CHNS analyser. Mass spectra were obtained using a Micromass instrument and the ionisation method used is noted in each case. Column chromatography was carried out using silica gel of 40–63 μm particle size and preparative TLC was carried out using 1.0 mm layers of Merck alumina 60G containing 0.5% Woelm fluorescent green indicator on glass plates. Melting points were recorded on a Gallenkamp 50W melting point apparatus or a Reichert hot-stage microscope. Optical rotation measurements were made using an Optical Activity 1000 polarimeter and are given in units of 10−1 deg cm2 g−1.
Flash vacuum pyrolysis (FVP) was carried out in a conventional flow system by subliming the starting material through a horizontal quartz tube (30 × 2.5 cm) externally heated by a tube furnace to 500–550 °C and maintained at a pressure of 2–5 × 10−2 Torr by a rotary vacuum pump. Products were collected in a liquid N2 cooled U-shaped trap and purified as noted.
General organic and inorganic reagents and solvents were obtained from standard suppliers and used as received. Dry THF was prepared by storage over sodium wire. Starting materials (2S,5S)-2-t-Butyl-5-phenyl-1,3-dioxolan-4-one 5 [1], butenolide [20], (2R)-2-t-butyl-5-methylene-1,3-dioxolan-4-one 9 [13], (2S,5R,1′R,4′R)-spiro[2-t-butyl-1,3- dioxolan-4-one-5,2′-bicyclo[2.2.1]hept-5-ene] 10a [14], tetrachlorothiophene 1,1-dioxide 23 [28] and 5-methylene-2,2-dimethyl-1,3-dioxolan-4-one 26 [18] were prepared by the reported methods.

3.2. Preparation and Reactions of Dioxolanone Michael Addition Products

3.2.1. Preparation of (2S,5S,4′S)-2-t-Butyl-5-(2-oxo-tetrahydrofuran-4-yl)-5-phenyl-1,3-dioxolan-4-one 14

To a solution of LDA (4.4 mmol) in dry THF (24 cm3) at −78 °C, (2S,5S)-2-t-butyl-5-phenyl-1,3-dioxolan-4-one 5 (1.0 g, 4 mmol) dissolved in dry THF (8 cm3) was added slowly by syringe. The reaction mixture was stirred at −78 °C for 30 min and then warmed to −30 °C for 30 min. The reaction was then re-cooled to −78 °C and butenolide (0.41 g, 4.4 mmol) was added. The reaction mixture was kept at −78 °C for 2 h, then warmed to room temperature and allowed to stir overnight. Aqueous NH4Cl (25 cm3) was added and the mixture was extracted with ether (2 × 15 cm3). The combined organic layers were washed with water, dried and the solvent removed to yield a yellow liquid. The product was then purified by flash column chromatography (silica gel, Et2O/hexane, 1:2) to give the product as a colourless solid (79.1 mg, 8%), mp 175–178 °C; [α]D –24.8 (c = 0.592, CH2Cl2); νmax/cm−1 1789, 1457, 1369, 1200, 1027 and 694; 1H NMR (300 MHz) δH 0.92 (9 H, s, But), 2.55 (1 H, half AB pattern of d, J 17.4, 7.7, CH2-C=O), 2.69 (1 H, half AB pattern of d, J 17.4, 8.5, CH2-C=O), 3.21–3.32 (1 H, m, CH-CH2O), 4.02 (1 H, half AB pattern of d, J 9.7, 7.8, CH2-O), 4.17 (1 H, half AB pattern of d, J 9.7, 7.0, CH2-O), 5.46 (1 H, s, CH-But), 7.36–7.46 (3 H, m, Ph) and 7.64–7.70 (2 H, m, Ph); 13C NMR (75 MHz) δC 23.4 (But), 29.9 (CH2), 35.8 (C-Me3), 45.3 (CH), 67.8 (CH2), 80.7 (C), 111.4 (CH-But), 124.8 (2CH), 128.7 (2CH), 128.9 (CH), 135.5 (C), 171.7 (C=O) and 175.0 (C=O); HRMS (ES+): found 327.1200. C17H20NaO5 (M + Na) requires 327.1208.

3.2.2. Pyrolysis of (2S,5S,4′S)-2-t-Butyl-5-(2-oxo-tetrahydrofuran-4-yl)-5-phenyl-1,3-dioxolan-4-one 14

FVP of the reactant 14 (24.0 mg, 78.8 µmol) was performed at 500 °C and 3.8 × 10−2 Torr. Preparative TLC (silica, diethyl ether) was used to separate the product from some unchanged starting material, giving the product (4S)-4-benzoyltetrahydrofuran-2-one 15 as a yellow oil (10.8 mg, 72%). [α]D −11.3 (c = 0.56, CHCl3), [lit. [21], –19.6 (c = 1.08, CHCl3)], e.e.= 58%; 1H NMR (300 MHz) δH 2.81 (1 H, half AB pattern of d, J 17.8, 9.3, CH2-C=O), 3.03 (1 H, half AB pattern of d, J 17.8, 7.4, CH2-C=O), 4.34–4.44 (1 H, m, CH), 4.48 (1 H, half AB pattern of d, J 9.0, 6.7, CH2O), 4.63 (1 H, half AB pattern of d, J 9.0, 8.5, CH2O), 7.50–7.57 (2 H, m, Ph), 7.62–7.68 (1 H, m, Ph) and 7.91–7.96 (2 H, m, Ph); 13C NMR (75 MHz) δC 30.9 (CH2-C=O), 42.1 (CH), 68.9 (CH2O), 128.5 (2CH), 129.1 (2CH), 134.2 (CH), 134.8 (C), 175.4 (C=O) and 196.2 (C=O).

3.2.3. Preparation of (2S,5S)-2-t-Butyl-5-(1′-(4-methoxyphenyl)-2′-nitroethyl)-5-phenyl-1,3-dioxolan-4-one 6a/6b [11]

To a solution of LDA (22 mmol) in dry THF (100 cm3) at −78 °C, a solution of (2S,5S)-2-t-butyl-5-phenyl-1,3-dioxolan-4-one 5 (4.40 g, 20 mmol) in dry THF (30 cm3) was added slowly by syringe. The solution was stirred at −78 °C for 30 min, then warmed up to −20 °C for 30 min and then re-cooled to −78 °C. A solution of 1-methoxy-4-[(E)-2-nitrovinyl]benzene (3.94 g, 22 mmol) in dry THF (20 cm3) was then added slowly by syringe and the mixture was stirred at −78 °C for 2 h and then warmed up to room temperature and stirred overnight. Aqueous NH4Cl (100 cm3) was added and the mixture was extracted with ether (2 × 60 cm3). The combined organic layers were washed with water, dried and the solvent removed to yield a viscous brown liquid. 1H NMR spectroscopic analysis showed that the diastereomers were present in a 3:4 ratio along with a number of impurities. Separation was achieved by flash column chromatography (silica gel, Et2O/hexane, 1:5). This gave first the minor product 6a (0.41 g, 5%) and on removal of solvent this was recrystallised to give a pure product (0.24 g, 3%) as colourless prism-like crystals. This was followed by the major product 6b as colourless crystals (1.01 g, 12%).
Minor isomer, (2S,5S,1′R)-2-t-butyl-5-(1′-(4-methoxyphenyl)-2′-nitroethyl)-5-phenyl-1,3-dioxolan-4-one 6a: mp 98–102 °C, (lit. [11], 96–98 °C); [α]D –61.07, (c = 1.5, CHCl3) [lit. [11], −54.2, (c = 1.5, CHCl3)]; (Found: C, 66.4; H, 6.4; N, 3.5. C22H25NO6 requires C, 66.2; H, 6.3; N, 3.5%); νmax/cm−1 1778, 1612, 1559, 1513, 1424, 1404 and 1350; 1H NMR (300 MHz) δH 0.71 (9 H, s, But), 3.81 (3 H, s, OMe), 4.10 (1 H, dd, J 11.1, 4.7, CH2), 4.43 (1H, s, HC-But), 4.48 (1 H, dd, J 13.5, 4.7, CH2), 5.07 (1 H, dd, J 13.5, 11.1, CH-C6H4-OMe), 6.86 (2 H, d, J 8.7, Ar H-3, H-5), 7.20 (2 H, d, J 8.7, Ar H-2, H-6), 7.36–7.42 (3 H, m, Ph) and 7.59–7.64 (2 H, m, Ph); 13C NMR (75 MHz) δC 23.1 (But), 35.0 (C-Me3), 52.3 (CH-CH2-NO2), 55.2 (MeO), 75.0 (CH2), 83.6 (C), 110.6 (C-But), 114.2 (2CH), 125.1 (C), 125.5 (2CH), 128.7 (2CH), 129.0 (2CH), 130.2 (CH), 136.1 (C), 159.8 (C), and 171.3 (C=O); m/z 422.11 (M+ + Na+, 100%).
Major isomer, (2S,5S,1′S)-2-t-butyl-5-(1′-(4-methoxyphenyl)-2′-nitroethyl)-5-phenyl-1,3-dioxolan-4-one 6b: mp 139–140 °C; [α]D +37.6 (c = 1, CH2Cl2) (Found: C, 66.5; H, 6.2; N, 3.6. C22H25NO6 requires C, 66.2; H, 6.3; N, 3.5%); νmax/cm−1 1786, 1611, 1585, 1555, 1514, 1459, 1450, 1436, 1380, 1350, 1301, 1252, 1200 and 1184; 1H NMR (300 MHz) δH 0.84 (9 H, s, But), 3.82 (3 H, s, OMe), 4.19 (1 H, dd, J 14.2, 4.4, CH2), 4.20 (1H, dd, J 12.8, 4.4, CH2), 4.65 (1 H, s, HC-But), 4.87 (1 H, dd, J 14.2, 12.7, CH-C6H4-OMe), 6.91 (2 H, d, J 8.8, Ar H-3, H-5), 7.35 (2 H, d, J 8.8, Ar H-2, H-6), 7.38–7.50 (3 H, m, Ph) and 7.78–7.83 (2 H, m, Ph); 13C NMR (75 MHz) δC 23.5 (But), 35.4 (C-Me3), 51.8 (CH-CH2-NO2), 55.3 (MeO), 74.7 (CH2), 84.1 (C), 110.9 (C-But), 114.5 (2CH), 124.5 (C), 125.0 (2CH), 128.9 (2CH), 129.0 (2CH), 130.4 (CH), 135.9 (C), 160.1 (C) and 171.4 (C=O); HRMS (ES+): found 422.1584. C22H25NaNO6 (M + Na) requires 422.1580.

3.2.4. Reduction of 6b Using Raney Ni under Hydrogen to Give the γ-Lactam (3S,4S)-3-Hydroxy-4-(4-methoxyphenyl)-3-phenylpyrrolidin-2-one 7b

Raney Ni (6.00 g) and 6b (0.51 g, 1.27 mmol) were stirred in methanol (20 cm3) in a hydrogenation flask under hydrogen gas until the required amount of gas (85.3 cm3) was consumed. The mixture was filtered through a layer of Celite to remove the nickel. The filtrate was concentrated to yield the product 7b (0.34 g, 94%) as a white powder, mp 226–227 °C; [α]D −161.2 (c = 0.5, MeOH); (Found: C, 71.7; H, 6.0; N, 5.0. C17H17NO3 requires C, 72.1; H, 6.1; N, 4.9%); νmax/cm−1 3301, 1772, 1612, 1516, 1464 and 1377; 1H NMR (300 MHz) δH 3.53 (1 H, m, CH2), 3.60 (1 H, dd, J 10.3, 7.8, CH2), 3.72 (3 H, s, OMe), 3.89 (1 H, dd, J 10.3, 7.8, CH), 6.49 (1 H, br s, NH or OH), 6.61–6.62 (2 H, m, Ar), 6.69–6.74 (2 H, m, Ar), 6.99–7.04 (2 H, m, Ph) and 7.14–7.20 (3 H, m, Ph); 13C NMR (75 MHz) δC 42.8 (CH2), 53.6 (CH), 55.2 (OMe), 81.3 (C-OH), 113.3 (2CH), 126.1 (2CH), 127.5 (C), 127.9 (CH), 128.0 (2CH), 129.6 (2CH), 137.9 (C), 158.7 (C) and 178.3 (C=O); m/z (ES) 306.14 (M + Na+, 100%).

3.2.5. Reduction of 6a Using Raney Ni under Hydrogen to Give the γ-Lactam, (3S,4R)-3-Hydroxy-4-(4-methoxyphenyl)-3-phenylpyrrolidin-2-one 7a

Raney Ni (6.00 g) and 6a (0.45 g, 1.13 mmol) were stirred in methanol (20 cm3) as for the formation of 7b. The filtrate was concentrated to yield the product 7a (0.32 g, 100%) as a white powder, mp 220–222 °C (lit. [11], 220–222 °C); [α]D −38.4 (c = 0.5, MeOH) [lit. [11], –37.9 (c = 0.5 MeOH)]; (Found: C, 72.2; H, 5.7; N, 5.1. C17H17NO3 requires C, 72.1; H, 6.1; N, 4.9%); νmax/cm−1 3327, 1700, 1517, 1378, 1248, 1178 and 1028; 1H NMR (300 MHz) δH (DMSO-d6) 3.45 (2 H, m, CH2), 3.60 (1 H, t, J 6.76, CH), 3.69 (3 H, s, OMe), 5.98 (1 H, s, NH), 6.75 (2 H, d, J 8.7, Ar), 6.97 (2 H, d, J 8.7, Ar), 7.17–7.31 (5 H, m, Ph) and 8.21 (1 H, s, OH); 13C NMR (75 MHz) δC (DMSO-d6) 44.0 (CH2), 53.5 (CH), 54.9 (Ome), 78.7 (C-OH), 112.9 (2CH), 126.4 (2CH), 126.7 (CH), 127.3 (2CH), 127.9 (C), 130.5 (2CH), 142.4 (C), 158.1 (C) and 176.1 (C=O); m/z (ES) 306.09 (M + Na+, 100%).

3.3. Preparation and Reactions of Diels–Alder Adducts of (2R)-2-t-Butyl-5-methylene-1,3-dioxolan-4-one 9

3.3.1. Preparation of (2S,5R,1′R,2′R,4′R,5′R)-Spiro[2-t-butyl-1,3-dioxolan-4-one-5,6′-3′-oxatricyclo[3.2.1.02,4]octane] 16

The alkene 10a (0.78 g, 3.5 mmol) was stirred in CH2Cl2 (25 cm3) for 5 min. Sodium carbonate (5 g) was then added followed by addition of peracetic acid (40%, 0.532 g, 7.0 mmol) in acetic acid. The reaction proceeded immediately with vigorous bubbling and the mixture was allowed to stir for 3 days. The mixture was filtered to remove the sodium acetate and the solvent was then removed to yield the product as colourless oil (0.67 g).1H NMR spectroscopic analysis indicated that the product had been formed in a 2:1 ratio with the starting material. The crude product was separated by flash column chromatography (silica gel, Et2O:hexane, 1:3) giving the product (0.22 g, 26%) as a colourless liquid. νmax/cm−1 1787, 1639, 1485, 1407, 1348, 1289, 1245, 1208 and 1175; 1H NMR (300 MHz) δH 0.95 (9 H, s, But), 1.39–1.42 (1 H, dd, J 3.7, 1.8, H2C-8′), 1.45–1.47 (1 H, m, H2C-8′), 1.53 (1 H, dd, J 13.4, 3.8, H2C-7′), 2.21 (1 H, dd, J 13.4, 4.1, H2C-7′), 2.60 (1 H, dd, J 3.7, 1.6, HC-1′), 2.83 (1H, q, J 1.3, HC-5′), 3.35 (1 H, half AB pattern of d, J 3.7, 1.0, HC-4′), 3.38 (1 H, half AB pattern of d, J 3.6, 1.1, HC-2′) and 5.17 (1 H, s, HC-But); 13C NMR (75 MHz) δC 23.2 (But), 24.0 (CH2), 34.4 (C-Me3), 36.2 (CH), 37.1 (CH2), 42.9 (CH), 48.2 (CH), 51.2 (CH), 85.1 (C), 108.0 (But-C) and 175.1 (C=O); m/z (ES) 261.20 (M + Na+, 3%), M+ 100%, 281.15; M+ 23%, 195.07.

3.3.2. Preparation of (2S,5R,1′R,2′R,4′R,5′R)-Spiro[2-t-butyl-1,3-dioxolan-4-one-5,6′-3′-ethoxycarbonyl-3′-azatricyclo[3.2.1.02,4]octane] 17

A mixture of 10a (0.55 g, 2.4 mmol) and ethyl azidoformate (0.828 g, 7.2 mmol) was placed in a quartz tube and positioned 15 cm from a 400 W medium pressure mercury lamp. After 10 min irradiation the solution changed colour from colourless to pale yellow and a stream of N2 gas was released. The reaction was left on for approximately 8 h until the starting material was judged to be consumed (TLC). The crude product was purified by flash column chromatography (silica gel, dry loaded, Et2O:hexane, 1:1), to furnish the product (0.6 g, 81%) as pale yellow crystals mp 90–91 °C [α]D +61.76 (c = 0.102, CH2Cl2); (Found C, 62.0; H, 7.3; N, 4.2. C16H23NO5 requires C, 62.1; H, 7.5; N, 4.5%); νmax/cm−1 1789, 1720, 1406, 1378, 1298, 1278, 1265, 1228, 1187 and 1173; δH 0.95 (9 H, s, But), 1.28 (3 H, t, J 7.0, CH3), 1.45–1.60 (3 H, m, H2C-7′, H2C-8′), 2.17 (1 H, dd, J 12.9, 4.0, H2C-7′), 2.62–2.67 (1 H, m, HC-1′), 2.86–2.87 (1 H, m, HC-5′), 2.88 (1 H, m, HC-2′), 2.96–3.00 (1 H, m, HC-4′), 4.15 (2 H, q, J 7.0, CH2CH3) and 5.16 (1 H, s, CH-But); δC 14.3 (CH3 of OEt), 23.2 (But), 25.7 (C-8′), 34.4 (C-Me3), 35.0 (HC-2′), 35.4 (C-1′), 37.5 (C-7′), 38.7 (HC-4′), 42.1 (C-5′), 62.5 (CH2 in OEt), 84.6 (C-6′/C-5), 108.0 (CH-But), 162.1 (N-C=O) and 174.9 (C=O); HRMS (ES+): found 332.1474. C16H23NaNO5 (M + Na) requires 332.1474.

3.3.3. Preparation of Spiro[2-t-Butyl-1,3-dioxolan-4-one-5,2′-bicyclo[2.2.2]oct-5′-ene] 18

A solution of 9 (1.51 g, 9.7 mmol) and 1,3-cyclohexadiene (0.77 g, 9.6 mmol) in toluene (15 cm3) was heated in a 50 cm3 autoclave at 150 °C for 84 h. Once the reaction mixture had cooled the contents of the flask were washed into an evaporating flask using CH2Cl2 and the solvent was then removed to yield a brown liquid (2.26 g). The 1H NMR spectrum showed that the product had formed but further purification was required. This was attempted by flash column chromatography (silica gel, Et2O/hexane, 1:4) to give the product (0.98 g, 43%) as a yellow oil with a strong sweet smell; νmax/cm−1 1789, 1407, 1367, 1342, 1289, 1252, 1178 and 1113; δH 0.92 (9 H, s, But), 1.11–1.21 (1 H, m), 1.24–1.31 (1H, m), 1.54–1.58 (1 H, m), 1.58–1.61 (1 H, m), 1.86–1.96 (1 H, m), 2.07 (1 H, dd, J 13.8, 2.2), 2.68–2.76 (1 H, m), 2.90–2.96 (1 H, m), 6.18–6.24 (1 H, m) and 6.4–6.46 (1 H, m); additional peaks present at 1.0, 1.23, 2.85–2.91 (m) and 5.18 indicated presence of other diastereomers; δC 19.0 (CH2), 23.3 (But), 23.5 (CH2), 29.8 (CH), 33.6 (CH), 34.6 (C-Me3), 39.2 (CH2), 82.1 (C), 107.4 (C-But), 130.7 (=CH), 135.2 (=CH), C=O not apparent. m/z (CI) 237.15, (M + H+, 100%); HRMS (CI): found 237.1494. C14H21NO3 (M + H) requires 237.1491.

3.3.4. Pyrolysis of (2S,5S,1′R,5′R)-Spiro[2-t-butyl-1,3-dioxolan-4-one-5,6′-3′-oxatricyclo[3.2.1.02,4]octane] 16 to give 3-oxatricyclo[3.2.1.02,4]octan-6-one 19

FVP of 16 (0.207g, 0.86 mmol) was performed at 550 °C and 3.8 × 10−2 Torr. Purification of the material in the cold trap using preparative TLC (SiO2, Et2O/hexane, 1:3) to give the product 19 (0.015 g, 14%) as a white solid at Rf ~0.25–0.4; [α]D +310 (c = 0.22, CHCl3), [lit. [24], +321 (c = 2.1, CHCl3) for 86% e.e.], e.e. 83%; δH 1.21–1.27 (1 H, br m, H2C-8), 1.67–1.75 (1 H, m, H2C-8), 1.92 (1 H, dd, J 17.7, 4.7, H2C-7), 2.11 (1 H, dd, J 17.7, 3.9, H2C-7), 2.80–2.83 (1 H, m, HC-1), 2.85–2.88 (1 H, m, HC-5), 3.27–3.30 (1 H, m, HC-2) and 3.42–3.46 (1 H, m, HC-4); δC 25.0 (CH2), 35.1 (CH), 39.6 (CH2), 46.9 (CH), 50.8 (CH–O), 51.8 (CH–O) and 211.8 (C=O).

3.3.5. Pyrolysis of (2S,5R,1′R,2′R,4′R,5′R)-Spiro[2-t-Butyl-1,3-dioxolan-4-one-5,6′-3′-ethoxycarbonyl-3′-azatricyclo[3.2.1.02,4]octane 17 giving 20

FVP of 17 (0.1959 g, 0.6 mmol) was performed at 525 °C and 3.5 × 10−2 Torr. 1H NMR spectroscopic analysis indicated a 1:1 ratio of unchanged starting material and a new product. Purification was achieved using preparative TLC (SiO2, Et2O/hexane, 1:1). The product (Rf ~0.55–0.65) proved to be (2R,5R,1′R,2′R,4′R,5′R)-spiro[2-t-butyl-1,3-dioxolan-4-one-5,6′-3′-ethoxycarbonyl-3′-azatricyclo[3.2.1.02,4]octane] 20 (0.1 g, 51%) obtained as a colourless solid, mp 122–123 °C; [α]D –18.86 (c = 0.082, CH2Cl2); νmax/cm−1 1789, 1720; δH 0.97 (9 H, s, But), 1.29 (3 H, t, J 7.1, CH3), 1.46–1.63 (2 H, m), 1.63–1.72 (1 H, m), 2.00 (1 H, dd, J 12.6, 4.2, H2C-7′), 2.61–2.68 (1 H, m), 2.76 (1 H, m), 2.82–2.89 (1 H, m), 3.10 (1 H, m), 4.16 (2 H, q, J 7.1, CH2-CH3) and 5.10 (1 H, s, CH-But); δC 14.3 (CH3 ofEt), 23.3 (But), 25.7 (CH2), 34.6 (C-Me3), 34.8 (CH), 35.8 (CH), 37.7 (CH2), 38.2 (CH), 44.7 (CH), 62.5 (CH2 of Et), 84.7 (C-5/C-6′), 108.7 (CH-But), 162.1 (N-C=O) and 174.9 (C=O); m/z (CI) 310.17 (M + H, 10%), 224.09 (100) and 196 (65); HRMS (CI): found 310.1653. C16H24NO5 (M + H) requires 310.1654.

3.3.6. Preparation of Spiro[2-t-Butyl-1,3-dioxolan-4-one-5,2′-1′,4′,5′,6′-tetraphenyl-7′-oxobicyclo[2.2.1]hept-5′-ene] 21

A solution of 9 (3.50 g, 22.4 mmol) and tetraphenylcyclopentadienone (8.61 g, 22.4 mmol) in dry toluene (25 cm3) was heated under reflux for 24 h. Insoluble material (0.69 g) was removed by filtration and evaporation; the filtrate gave a purple solid. 1H NMR spectroscopic analysis showed a large amount of the starting diene remained. Attempted purification by flash column chromatography (dry loaded; SiO2, Et2O/hexane, 1:2) gave a fraction from which pale purple crystals (0.53 g) precipitated, mp 156–158 °C, which were identified as the partially reduced starting material 2,3,4,5-tetraphenylcyclopent-2-enone (lit. [25], 160–163 °C) which was the major product of the reaction; νmax/cm−1 1692, 1550 and 1463; δH 3.75 (1 H, d, J 2.5, 4-H), 4.56 (1 H, d, J 2.5, 5-H) and 6.89–7.34 (20 H, m, Ph); δC 57.6 (C-4) 63.0 (C-5), 127.0 (Ph), 127.1 (Ph), 127.5 (Ph), 127.7 (Ph), 128.1 (Ph), 128.2 (Ph), 128.4 (Ph), 128.9 (Ph), 129.0 (Ph), 129.4 (Ph), 129.8 (Ph), 131.7 (C1-Ph), 134.4 (C1-Ph), 139.3 (C1-Ph), 140.0 (C1-Ph), 141.4 (C-CO), 168.9 (C-3) and 205.9 (C=O); m/z (ES) 409.13 (M+Na+, 100%); HRMS (ES): found 409.1586. C29H22NaO (M + Na) requires 409.1568.
The filtrate from these fractions was concentrated to yield a purple solid (0.45 g), which was recrystallised from toluene to yield the desired product (0.06 g, 5%) as purple crystals mp 178–180 °C; [α]D –292.5 (c =0.04, CH2Cl2); νmax/cm−1 1795, 1782, 1377, 1242 and 1139; δH 0.74 (9 H, s, But), 3.10 and 3.21 (2 H, AB pattern, J 12.8, CH2), 3.61 (1 H, s, CH-But), 6.66–6.72 (2 H, m, Ph), 6.86–6.97 (6 H, m, Ph), 7.06–7.16 (3 H, m, Ph), 7.16–7.31 (7 H, m, Ph) and 7.52–7.57 (2 H, m, Ph); δC 23.0 (But), 34.5 (CMe3), 42.4 (C-3′), 62.0 (C-4′), 87.0 (C-2′/C-5), 109.7 (C-But), 127.1 (Ph), 127.2 (Ph), 127.3 (Ph), 127.5 (Ph), 127.6 (Ph), 127.8 (Ph), 127.9 (Ph), 128.0 (Ph), 128.2 (Ph), 128.5 (Ph), 129.1 (Ph), 129.3 (Ph), 130.1 (Ph), 130.9 (Ph), 132.1 (Ph), 133.4 (Ph), 145.2 (C-ipso), 174.0 (C=O) and 197.5 (C-7′) [C-2′/C-5, C-4′ C-ipso, C=O and C-7′ were assigned by HMBC]; m/z (ES) 563.22 (M+ Na+, 10%) and 407.13 (M+–CO and dioxolanone, 100%); HRMS (ES): found 563.2197. C37H32NaO4 (M + Na) requires 563.2198.

3.3.7. Preparation of Spiro[2-t-Butyl-1,3-dioxolan-4-one-5,9′-1′,8′-diphenyl-11′-oxatricyclo[6.2.1.02,7]undeca-2′,4′,6′-triene] 22a and 22b

A solution of 9 (3.11 g, 19.9 mmol) and 1,3-diphenylisobenzofuran (4.85 g, 17.9 mmol) in toluene (30 cm3) was heated under reflux for 36 h, then cooled and the solvent was removed to yield a bright yellow solid (7.86 g). 1H NMR spectroscopic analysis indicated that the product had formed; however, there was still a large amount of diene remaining. The material was subjected to flash column chromatography (dry loaded; SiO2, Et2O/hexane, 1:2), followed by preparative TLC (Et2O/hexane, 1:3) to give the major product, (2S,5R,1′R,8′S)-spiro[2-t-butyl-1,3-dioxolan-4-one-5,9′-1′,8′-diphenyl-11′-oxatricyclo[6.2.1.02,7]undeca-2′,4′,6′-triene] 22a (1.58 g, 25%) as pale yellow crystals, mp 155–156 °C; [α]D –16.4 (c = 1, CH2Cl2); (Found: C, 79.45; H, 6.45. C28H26O4 requires C 78.9; H, 6.2%); νmax/cm−1 1795, 1345, 1311, 1285, 1243 and 1143; δH 0.76 (9 H, s, But), 2.77 and 2.86 (2 H, AB pattern, J 12.3, H2C-10′), 4.26 (1 H, s, CH-But), 6.90–6.96 (1 H, m, Ph), 7.14–7.29 (4 H, m, Ph), 7.42–7.55 (5 H, m, Ph), 7.60–7.67 (2 H, m, Ph) and 7.74–7.80 (2 H, m, Ph); δC 23.0 (Me3), 34.8 (C-Me3), 49.4 (CH2), 88.0 (C-1′ or C-8′), 88.2 (C-1′ or C-8′), 93.8 (C-9′/C-5), 109.4 (CH-But), 118.7 (CH), 122.2 (CH), 125.5 (2CH), 126.3 (2CH), 126.7 (CH), 128.0 (CH), 128.3 (2CH), 128.5 (2CH), 128.6 (2CH), 134.7 (C), 137.2 (C), 141.3 (C), 149.3 (C) and 171.9 (C=O).
The minor diastereomer, (2S,5R,1′R,8′R)-spiro[2-t-butyl-1,3-dioxolan-4-one-5,9′-1′,8′-diphenyl-11′-oxatricyclo[6.2.1.02,7]undeca-2′,4′,6′-triene] 22b (probable stereochemistry shown), was obtained in a mixed fraction with the major diastereomer. It could not be isolated in pure form but the following data was obtained: δH 0.84 (9 H, s, But), 2.37 (1 H, d, J 11.9, HC-10′), 3.14 (1 H, d, J 11.9, HC-10′), 5.39 (1 H, s, CH-But), 7.00 (1 H, m, Ph), 7.20–7.26 (4 H, m, Ph), 7.40–7.55 (5 H, m, Ph), 7.59–7.65 (2 H, m, Ph) and 7.72–7.80 (2 H, m, Ph); δC 23.2 (Me3), 35.8 (C-Me3), 49.1 (CH2), 87.0 (Ph-C-O (x2)), 91.0 (C-C=O), 109.6 (C-But), 119.1 (CH), 122.3 (CH), 125.2 (2CH), 126.4 (2CH), 126.8 (CH), 128.3 (CH), 128.4 (2CH), 128.5 (2CH), 128.6 (2CH), 134.6 (C), 137.4 (C), 141.3 (C), 149.1 (C) and 172.5 (C=O).
Apart from some recovered diene starting material (0.84 g), a large amount of the oxidised starting diene, 1,2-dibenzoylbenzene (2.39 g, 55%) was isolated, mp 142–146 °C (lit. [26], 146–148 °C); δH 7.26 (2 H, s), 7.38 (4 H, m), 7.52 (2 H, m), 7.62 (2 H, s) and 7.70 (4 H, m); δC 128.3 (4CH), 129.6 (2CH), 129.8 (4CH), 130.3 (2CH), 133.0 (2CH), 137.1 (2C), 140.0 (2C) and 196.6 (2C=O) (good agreement with lit. [27]); m/z (ES) 309.04 (M + Na+, 100%).

3.3.8. Preparation of Spiro[2-t-Butyl-1,3-dioxolan-4-one-5,5′-1′,2′,3′,4′-tetrachlorocyclohexa-1′,3′-diene] 24

A solution of 9 (1.53 g, 0.9 mmol) and tetrachlorothiophene 1,1-dioxide 23 (2.49 g, 9 mmol) in CH2Cl2 (25 cm3) was stirred for 11 days. The solvent was then removed and the residual yellow solid recrystallised from CH2Cl2/hexane. The pure product (1.33 g, 43%) was isolated as pale yellow crystals, mp 86–87 °C; [α]D +8.6 (c = 0.5, CH2Cl2); (Found: C, 41.9; H, 3.4, C12H24Cl4O3 requires C 41.7; H, 3.5%); νmax/cm−1 1797, 1611, 1481, 1466, 1260, 1205, 1113, 1110 and 1058; δH 0.98 (9 H, s, But), 2.93 (1 H, d, J 18.8, CH2), 3.58 (1 H, d, J 18.8, CH2) and 5.48 (1 H, s, CH-But); δC 23.2 (But), 34.6 (C-Me3), 42.3 (CH2), 110.8 (CH-But), 127.4 (2 × C-Cl), 131.2 (2 × C-Cl) and 177.6 (C=O); m/z (CI+) 345.95 (M+, 12.5%) and 260.89 (M+–CO–C4H10, 100).

3.3.9. Pyrolysis of Spiro[2-t-Butyl-1,3-dioxolan-4-one-5,5′-1′,2′,3′,4′-tetrachlorocyclohexa-1′,3′-diene] 24

FVP of the reactant 24 (99.7 mg, 0.28 mmol) was performed at 550 °C and 2.3 × 10−2 Torr. The cold trap contained pivalaldehyde and no trace of the expected product tetrachlorophenol was seen. The solid brown/orange product obtained at the furnace exit was 2,3,4,5-tetrachlorobenzoic acid 25 in a quantitative yield (determined by dissolution in acetone and solvent removal). The melting point was unobtainable due to decomposition; νmax/cm−1 1797; δH (CD3SOCD3) 8.09 (s, CH); δC (CD3SOCD3) 129.2 (CH), 130.0 (C), 131.7 (C), 132.6 (C), 133.2 (C), 134.0 (C) and 164.8 (C=O).

3.4. Preparation and Reactions of Diels–Alder Adducts of 5-Methylene-2,2-dimethyl-1,3-dioxolan-4-one 26

3.4.1. Preparation of Spiro[2,2-Dimethyl-1,3-dioxolan-4-one-5,2′-bicyclo[2.2.1]hept-5′-ene] 27

A solution of 26 (2.47 g, 19 mmol) and freshly distilled cyclopentadiene (1.85 g, 29 mmol) in toluene (75 cm3) was heated under reflux for 18 h. The solvent was removed and the crude product was purified by flash column chromatography (SiO2, dry loaded, Et2O/hexane, 1:4). The product was obtained as a yellow liquid (0.81 g, 22%) which contained some impurities of both starting materials which were probably produced by a retro-Diels–Alder reaction on the column. νmax/cm−1 1844, 1785, 1671, 1281, 1174, 1134, 1034, 1080 and 1007; δH 1.37 (1 H, dd, J 12.3, 4.0, H2C-7′), 1.46–1.52 (1 H, m, H2C-7′), 1.51 (3 H, q, J 0.6, CH3), 1.59 (3 H, q, J 0.6, CH3), 2.04–2.08 (1 H, m, H2C-3′), 2.32 (1 H, dd, J 12.3, 3.6, H2C-3′), 2.95–3.00 (1 H, m, HC-1′ or HC-4′), 3.05–3.09 (1 H, m, HC-1′ or HC-4′), 6.17 (1 H, dd, J 5.6, 3.0, =CH) and 6.48 (1 H, dd, J 5.6, 3.1, =CH); δC 27.5 (Me) 27.7 (Me), 42.0 (CH), 42.3 (CH2), 47.3 (CH2), 52.4 (CH), 84.9 (C-5/C-2′), 108.9 (C-2), 133.0 (=CH), 140.3 (=CH) and 176.6 (C=O). m/z (ES) 217.03 (M + Na+, 100%).

3.4.2. Preparation of Spiro[2,2-Dimethyl-1,3-dioxolan-4-one-5,6′-3′-oxatricyclo[3.2.1.02,4]octane] 28

The alkene 27 (0.80 g, 4.0 mmol) was stirred in CH2Cl2 (20 cm3) for 5 min. Sodium carbonate (5 g) was then added, followed by the addition of peracetic acid (40% in acetic acid, 0.60 g, 8.0 mmol). The reaction proceeded immediately with vigorous bubbling. The mixture was allowed to stir for 6 days and then filtered to remove the sodium salts. The filtrate was evaporated to yield the product as a colourless oil (0.86 g). 1H NMR spectroscopic analysis indicated that the product had been formed; however, some starting material and other impurities remained. The crude product was purified by Kugelrohr distillation to furnish the product as a brown oil (0.40 g) in which a small amount of impurities remained including a minor diastereomer (indicated by 13C NMR); δH 1.33–1.40 (1 H, m, H2C-8′), 1.48–1.55 (1 H, m, H2C-8′ or H2C-7′), 1.54 (3 H, s, Me), 1.61 (3 H, s, Me), 1.57–1.60 (1 H, m, H2C-8′ or H2C-7′), 2.19 (1 H, dd, J 13.2, 4.1, H2C-7′), 2.56–2.60 (1 H, m, HC-1′ or HC-5′), 2.72–2.74 (1 H, m, HC-1′ or HC-5′), 3.30 and 3.44 (2 H, AB pattern of d, J 13.6, 3.6, HC-2′ and HC-4′); δC 23.9 (C-8′ or C-7′), 27.3 (Me), 27.5 (Me), 36.3 (C-1′ or C-5′), 39.3 (C-8′ or C-7′), 46.4 (C-1′ or C-5′), 47.9 (C-2′ or C-4′), 50.9 (C-2′ or C-4′), 84.3 (C-5/C-6′), 109.4 (C-2) and 174.9 (C=O); m/z (ES) 233.06 (M + Na+, 100%); HRMS (CI): found 211.0968. C11H15O4 (M + H) requires 211.0970.

3.4.3. Preparation of Spiro[2,2-Dimethyl-1,3-dioxolan-4-one-5,9′-1′,8′-diphenyl-11′-oxatricyclo[6.2.1.02,7]undeca-2′,4′,6′-triene] 29a and 29b

A solution of 26 (1.02 g, 7.9 mmol) and 1,3-diphenylisobenzofuran (2.14 g, 7.9 mmol) in toluene (25 cm3) was heated under reflux for 48 h. The reaction mixture was cooled and the solvent removed to yield an orange liquid. The crude mixture was purified by flash column chromatography (SiO2, dry loaded, Et2O/hexane, 1:2) to give the major product 29a as pale green crystals (0.13 g, 4%) mp 189–190 °C. A further quantity of this product (0.20 g, 7%) was isolated in further recrystallisations. Later fractions contained the minor product 29b which was recrystallised to give off-white crystals (0.15 g, 5%) mp 180–181 °C. An amount of mixed product (0.73 g) remained that could potentially be recrystallised to yield further product.
Major product; (5R,1′R,8′S)-spiro[2,2-dimethyl-1,3-dioxolan-4-one-5,9′-1′,8′-diphenyl-11′-oxatricyclo[6.2.1.02,7]undeca-2′,4′,6′-triene] 29a (Found: C, 77.9; H, 5.4. C26H22O4 requires C 78.4; H, 5.6%); νmax/cm−1 1783, 1460, 1314, 1294, 1252, 1127, 1008 and 984; δH 0.98 (3 H, s, Me), 1.46 (3 H, s, Me), 2.79 and 2.91 (2 H, AB pattern, J 11.6, H2C-10′), 6.92–6.99 (1 H, m), 7.21–7.27 (2 H, m), 7.38–7.55 (7 H, m) and 7.62–7.69 (4 H, m); δC 25.7 (Me), 28.3 (Me), 51.0 (C-10′), 87.2 (C-1′ or C-8′), 88.7 (C-1′ or C-8′), 94.1 (C-5/C-9′), 109.9 (C-2), 118.3 (CH), 122.9 (CH), 125.6 (2CH), 126.2 (2CH), 126.6 (CH), 128.0 (CH), 128.1 (CH), 128.2 (CH), 128.5 (4CH), 135.0 (C), 137.2 (C) 141.2 (C), 149.2 (C) and 171.8 (C=O); m/z (ES) 421.20 (M + Na+, 100%).
Minor product; (5R,1′S,8′R)-spiro[2,2-dimethyl-1,3-dioxolan-4-one-5,9′-1′,8′-diphenyl-11′-oxatricyclo[6.2.1.02,7]undeca-2′,4′,6′-triene] 29b: νmax/cm−1 1787, 1661, 1377, 1276 and 938; δH 1.59 (3 H, s, CH3), 1.69 (3 H, s, CH3), 2.41 (1 H, d, J 11.7, H2C-10′), 3.13 (1 H, d, J 11.7, H2C-10′) and 7.00–7.86 (14 H, m, Ph); δC 26.5 (CH3), 27.6 (CH3), 49.3 (C-10′), 86.5 (C-1′ or C-8′), 88.5 (C-1′ or C-8′), 89.8 (C-5/C-9′), 109.5 (C-2), 119.0 (CH), 121.7(CH), 125.3 (2CH), 126.2 (2CH), 127.0 (CH), 127.7 (CH), 128.3 (4CH), 128.5 (2CH), 134.8 (C), 137.1 (C), 143.0 (C), 149.0 (C) and 172.4 (C=O); m/z (CI) 421.20 (M + Na+, 100%).

3.4.4. FVP of 28 to Give 3-Oxatricyclo[3.2.1.02,4]octan-6-one, 19

FVP of the reactant 28 (0.1412 g, 0.67 mmol) was performed at 550 °C and 2.4 × 10−2 Torr. Purification using preparative TLC (SiO2, Et2O/hexane, 1:3) gave a brown oil which proved to be a 1:1 mixture of the starting material and 19; δH 1.21–1.27 (1 H, br m, H2C-8), 1.63–1.74 (1 H, m, H2C-8), 1.92 (1 H, dd, J 17.7, 4.7, H2C-7), 2.11 (1 H, dd, J 17.7, 3.9, H2C-7), 2.79–2.84 (1 H, m, HC-1), 2.85–2.88 (1 H, m, HC-5), 3.27–3.30 (1 H, m, HC-2) and 3.42–3.46 (1 H, m, HC-4).

3.5. X-ray Structure Determination of Adducts

Data were collected on a Bruker SMART diffractometer using graphite monochromated Mo Kα radiation λ = 0.71073 Å. The data were deposited at the Cambridge Crystallographic Data Centre and can be obtained free of charge via http://www.ccdc.cam.ac.uk/getstructures (accessed on 28 March 2023). The structure was solved by direct methods and refined by full-matrix least-squares against F2 (SHELXL, Version 2018/3 [32]).

3.5.1. (2S,5S,1′S)-2-t-butyl-5-(1′-(4-methoxyphenyl)-2′-nitroethyl)-5-phenyl-1,3-dioxolan-4-one 6b

Crystal data for C23.75H25NO6, M = 420.46, colourless prism, crystal dimensions 0.20 × 0.15 × 0.05 mm, orthorhombic, space group P21212 (No. 18), a = 18.4427(17), b = 19.4772(17), c = 6.5275(6) Å, V = 2344.8(4) Å3, Z = 4, Dc = 1.191 g cm−3, T = 93(2) K, R1 = 0.0695, Rw2 = 0.1475 for 3851 reflections with I > 2σ(I) and 299 variables. CCDC 2240754.

3.5.2. (2S,5S,4′S)-2-t-butyl-5-(2-oxo-tetrahydrofuran-4-yl)-5-phenyl-1,3-dioxolan-4-one 14

Crystal data for C17H20O5, M = 304.33, colourless prism, crystal dimensions 0.12 × 0.06 × 0.02 mm, monoclinic, space group P21 (No. 4), a = 10.375(2), b = 6.2534(14), c = 11.802(3) Å, β = 91.135(9)°, V = 765.6(3) Å3, Z = 2, Dc = 1.320 g cm−3, T = 93(2) K, R1 = 0.0328, Rw2 = 0.0800 for 2396 reflections with I > 2σ(I) and 200 variables. CCDC 2240564.

3.5.3. (2S,5R,1′R,2′R,4′R,5′R)-Spiro[2-t-butyl-1,3-dioxolan-4-one-5,6′-3′-ethoxycarbonyl-3′-azatricyclo[3.2.1.02,4]octane 17

Crystal data for C16H23NO5, M = 309.35, colourless platelet, crystal dimensions 0.15 × 0.10 × 0.02 mm, orthorhombic, space group P212121 (No. 19), a = 8.0456(18), b = 11.070(2), c = 17.625(4) Å, V = 1569.7(6) Å3, Z = 4, Dc = 1.309 g cm−3, T = 93(2) K, R1 = 0.0362, Rw2 = 0.0912 for 1534 reflections with I > 2σ(I) and 201 variables. CCDC 2240565.

3.5.4. (2R,5R,1′R,2′R,4′R,5′R)-Spiro[2-t-butyl-1,3-dioxolan-4-one-5,6′-3′-ethoxycarbonyl-3′-azatricyclo[3.2.1.02,4]octane 20

Crystal data for C16H23NO5, M = 309.35, colourless prism, crystal dimensions 0.30 × 0.30 × 0.15 mm, orthorhombic, space group P212121 (No. 19), a = 6.2494(3), b = 14.2020(7), c = 18.2439(8) Å, V = 1619.22(13) Å3, Z = 4, Dc = 1.269 g cm−3, T = 125(2) K, R1 = 0.0530, Rw2 = 0.1270 for 1629 reflections with I > 2σ (I) and 200 variables. CCDC 2240563.

3.5.5. (2S,5R,1′R,8′S)-Spiro[2-t-butyl-1,3-dioxolan-4-one-5,9′-1′,8′-diphenyl-11′-oxatricyclo[6.2.1.02,7]undeca-2′,4′,6′-triene] 22a

Crystal data for C30H31O4.50 (C28H26O4 • 0.5 Et2O), M = 463.55, colourless prism, crystal dimensions 0.15 × 0.15 × 0.15 mm, monoclinic, space group C2 (No. 5), a = 16.893(5), b = 8.986(4), c = 16.665(6) Å, β = 93.015(9)°, V = 2526.2(16) Å3, Z = 4, Dc = 1.219 g cm−3, T = 93(2) K, R1 = 0.0709, Rw2 = 0.1840, for 2141 reflections with I > 2σ (I) and 332 variables. CCDC 2240562.

3.5.6. (5R,1′S,8′R)-Spiro[2,2-dimethyl-1,3-dioxolan-4-one-5,9′-1′,8′-diphenyl-11′-oxatricyclo[6.2.1.02,7]undeca-2′,4′,6′-triene] 29b

Crystal data for C26H22O4, M = 398.44, colourless prism, crystal dimensions 0.25 × 0.20 × 0.03 mm, monoclinic, space group P21/c (No. 14), a = 10.850(5), b = 10.546(4), c = 17.931(8) Å, β = 102.202(11)°, V = 2005.5(15) Å3, Z = 4, Dc = 1.320 g cm−3, T = 93(2) K, R1 = 0.1799, Rw2 = 0.5039 for 2788 reflections with I > 2σ (I) and 273 variables. CCDC 2240561.

4. Conclusions

The conjugate addition chemistry of the anion from dioxolanone 5 has been extended with confirmation of the absolute stereochemistry of two adducts by X-ray diffraction. Removal of the dioxolanone using flash vacuum pyrolysis gives the 4-benzoylbutyrolactone in good yield and moderate e.e., thus illustrating the use of 5 as a chiral benzoyl anion equivalent. In a sequence of cycloaddition, epoxidation and pyrolytic dioxolanone removal, the methylenedioxolanone 9 acts as a chiral ketene equivalent giving the product 19 in low yield but high e.e. The pyrolytic reactivity of adducts 17 and 24 has given valuable mechanistic information on the thermal fragmentation of 1,3-dioxolan-4-ones. Cycloaddition of methylenedioxolanone 9 with sterically hindered 1,3-dienes generally proceeds in low yield but with good stereoselectivity and the structures of such adducts have been confirmed by X-ray diffraction.

Supplementary Materials

The following are available online at https://www.mdpi.com/article/10.3390/molecules28093845/s1, Figures S1–S49: NMR spectra of new compounds.

Author Contributions

L.A.P. carried out the experimental work; A.M.Z.S. collected the X-ray data and solved the structures; R.A.A. designed the experiments, analyzed the data and wrote the paper. All authors have read and agreed to the published version of the manuscript.

Funding

We thank the School of Chemistry for a studentship to L.A.P.

Institutional Review Board Statement

Not applicable.

Informed Consent Statement

Not applicable.

Data Availability Statement

Not applicable.

Conflicts of Interest

The authors declare no conflict of interest.

Sample Availability

Samples of the compounds are not available from the authors.

References

  1. Seebach, D.; Naef, R.; Calderari, G. α-Alkylation of α-heterosubstituted carboxylic acids without racemization: EPC-synthesis of tertiary alcohols and thiols. Tetrahedron 1984, 40, 1313–1324. [Google Scholar] [CrossRef]
  2. Calderari, G.; Seebach, D. Asymmetrische Michael-Additionen. Stereoselektive Alkylierung chiraler, nicht racemischer Enolate durch Nitroolefine. Herstellung enantiomerenreiner γ-Aminobuttersäure- und Bernsteinsäure-Derivate. Helv. Chim. Acta 1985, 68, 1592–1604. [Google Scholar] [CrossRef]
  3. Aitken, R.A.; Thomas, A.W. Heterocyclic acyl and formyl anion equivalents. Adv. Heterocycl. Chem. 2001, 79, 89–114. [Google Scholar] [CrossRef]
  4. Blay, G.; Fernández, I.; Formentin, P.; Monja, B.; Pedro, J.R.; Ruiz, R. Nucleophilic benzoylation using lithiated methyl mandelate as a synthetic equivalent of the benzoyl carbanion. Oxidative decarboxylation of α-hydroxyacids. Tetrahedron 2001, 57, 1075–1081. [Google Scholar] [CrossRef]
  5. Aitken, R.A.; Thomas, A.W. Behaviour of dioxolanones as chiral acyl anion equivalents. Synlett 1998, 1998, 102–104. [Google Scholar] [CrossRef]
  6. Mitsuya, M.; Ogino, Y.; Kawakami, K.; Uchiyama, M.; Kimura, T.; Numazawa, T.; Hasegawa, T.; Ohtake, N.; Noguchi, K.; Mase, T. Discovery of a muscarinic M3 receptor antagonist with high selectivity for M3 over M2 receptors among 2-[(1S,3S)-3-sulfonylaminocyclopentyl]phenylacetamide derivatives. Bioorg. Med. Chem. 2000, 8, 825–832. [Google Scholar] [CrossRef]
  7. Mitsuya, M.; Ogino, Y.; Ohtake, N.; Mase, T. Diastereselective synthesis of the acid part of a new muscarinic M3 receptor antagonist. Tetrahedron 2000, 56, 9901–9907. [Google Scholar] [CrossRef]
  8. Mase, T.; Houpis, I.N.; Akao, A.; Dorziotis, I.; Emerson, K.; Hoang, T.; Iida, T.; Itoh, T.; Kamei, K.; Kato, S.; et al. Synthesis of a muscarinic receptor antagonist via a diastereoselective Michael reaction, selective deoxyfluorination and aromatic metal-halogen exchange reaction. J. Org. Chem. 2001, 66, 6775–6786. [Google Scholar] [CrossRef]
  9. Blay, G.; Fernández, I.; Monje, B.; Pedro, J.R.; Ruiz, R. Highly diastereoselective Michael reaction of (S)-mandelic acid enolate. Chiral benzoyl carbanion equivalent through an oxidative decarboxylation of α-hydroxyacids. Tetrahedron Lett. 2002, 43, 8463–8466. [Google Scholar] [CrossRef]
  10. Blay, G.; Fernández, I.; Monje, B.; Muñoz, M.C.; Pedro, J.R.; Vila, C. Enantioselective synthesis of 2-substituted-1,4-diketones from (S)-mandelic acid enolate and α,β-enones. Tetrahedron 2006, 62, 9174–9182. [Google Scholar] [CrossRef]
  11. Blay, G.; Fernández, I.; Monje, B.; Pedro, J.R. Diastereoselective Michael addition of (S)-mandelic acid enolate to nitroalkenes. Enantioselective synthesis of α-hydroxy-α,β-diaryl-γ-lactams. Tetrahedron 2004, 60, 165–170. [Google Scholar] [CrossRef]
  12. Hynes, P.S.; Stranges, D.; Stupple, P.A.; Guarna, A.; Dixon, D.J. Organocatalytic diastereo- and enantioselective Michael addition reactions of 5-aryl-1,3-dioxolan-4-ones. Org. Lett. 2007, 9, 2107–2110. [Google Scholar] [CrossRef]
  13. Zimmermann, J.; Seebach, D. Brominations of cyclic acetals from α-amino acids and α- or β-hydroxy acids with N-bromosuccinimide. Helv. Chim. Acta 1987, 70, 1104–1114. [Google Scholar] [CrossRef]
  14. Mattay, J.; Mertes, J.; Maas, G. Asymmetric induction in the Diels-Alder reaction of chiral (2S)-2-(tert-butyl)-5-methylene-1,3-dioxolan-4-one. Chem. Ber. 1989, 122, 327–330. [Google Scholar] [CrossRef]
  15. Roush, W.R.; Essenfeld, A.P.; Warmus, J.S.; Brown, B.B. Synthesis and Diels-Alder reactions of 2-alkyl-5-methylene-1,3-dioxolan-4-ones and 2-alkyl-3-acyl-5-methylene-1,3-oxazolidin-4-ones: Highly exo and diastereoface selective chiral ketene equivalents. Tetrahedron Lett. 1989, 30, 7305–7308. [Google Scholar] [CrossRef]
  16. Roush, W.R.; Brown, B.B. Enantioselective synthesis of 2-alkyl-5-methylene-1,3-dioxolan-4-ones and exo-selective Diels-Alder reactions with cyclopentadiene. J. Org. Chem. 1992, 57, 3380–3387. [Google Scholar] [CrossRef]
  17. Toprihara, M.; Tamai, Y. Process for producing optically active 2-norbornanone. U.S. Patent 5,498,799, 12 March 1996. [Google Scholar]
  18. Mattay, J.; Kneer, G.; Mertes, J. Asymmetric induction in inverse Diels-Alder reactions of the chiral c,d-olefin (2S)-2-(tert-butyl)-5-methylene-1,3-dioxolan-4-one. Synlett 1990, 1990, 145–147. [Google Scholar] [CrossRef]
  19. Rodríguez, R.G.H.; Biellmann, J.-F. Enantioselective syntheses of (−)- and (+)-homocitric acid. J. Org. Chem. 1996, 61, 1822–1824. [Google Scholar] [CrossRef]
  20. Takano, S.; Ogasawara, K. An improved synthesis of γ-crotonolactone (2-buten-4-olide). Synthesis 1974, 1974, 42–43. [Google Scholar] [CrossRef]
  21. Enders, D.; Kirchhoff, J.; Lauseberg, V. Diastereo- and enantioselective synthesis of lignan building blocks by tandem Michael addition/electrophilic substitution of lithiated α-amino nitriles to furan-2(5H)-one. Liebigs Ann. Chem. 1996, 1996, 1361–1366. [Google Scholar] [CrossRef]
  22. Aitken, R.A.; Cadogan, J.I.G.; Gosney, I. Effect of ring strain on the formation and pyrolysis of some Diels–Alder adducts of 2-sulfolene (2,3-dihydrothiophene 1,1-dioxide) and maleic anhydride and products derived therefrom. J. Chem. Soc. Perkin Trans. 1 1994, 927–931. [Google Scholar] [CrossRef]
  23. Aitken, R.A.; Gosney, I.; Farries, H.; Palmer, M.H.; Simpson, I.; Cadogan, J.I.G.; Tinley, E.J. Chemical repercussions of orbital interactions through bond and through space. Effect of remote substituents on the addition of nitrenes to bicyclic olefins. Tetrahedron 1985, 41, 1329–1346. [Google Scholar] [CrossRef]
  24. Oberhauser, T.; Bondenteich, M.; Faber, K.; Penn, G.; Griengl, H. Enzymatic resolution of norbornane-type esters. Tetrahedron 1987, 43, 3931–3944. [Google Scholar] [CrossRef]
  25. Tao, X.; Liu, R.; Meng, Q.; Zhao, Y.; Zhou, Y.; Huang, J. The reaction of ketones with benzaldehyde catalyzed by TiCl4·2THF. J. Mol. Catal. A Chem. 2005, 225, 239–243. [Google Scholar] [CrossRef]
  26. Zincke, T. Ueber α- und β-Dibenzylbenzol. Ber. Dtsch. Chem. Ges. 1876, 9, 31–33. [Google Scholar] [CrossRef]
  27. Chenier, P.J.; Bauer, M.J.; Hodge, C.L. Synthesis and chemistry of some tricyclic cyclopropenes. 3. Tricyclo[3.2.1.02,4]oct-2(4)-ene. J. Org. Chem. 1992, 57, 5959–5962. [Google Scholar] [CrossRef]
  28. Raasch, M.S. Annelations with tetrachlorothiophene 1,1-dioxide. J. Org. Chem. 1980, 45, 856–867. [Google Scholar] [CrossRef]
  29. Likhterov, V.R.; Etlis, V.S.; Ternovskoi, L.A. Synthesis and properties of 5-methylene-1,3-dioxolan-4-ones. Chem. Heterocycl. Compd. 1985, 21, 1077–1079. [Google Scholar] [CrossRef]
  30. Miyagawa, T.; Sanda, F.; Endo, T. Synthesis and radical polymerization of 5-methylene-2,2-dimethyl-1,3-dioxolan-4-one. J. Polym. Sci. A Polym. Chem. 2000, 38, 1861–1865. [Google Scholar] [CrossRef]
  31. Ishihara, K.; Inanaga, K.; Kondo, S.; Funahashi, M.; Yamamoto, H. Rational design of a new chiral Lewis acid catalyst for enantioselective Diels-Alder reaction: Optically active 2-dichloroboryl-1,1′-binaphthyl. Synlett 1998, 1998, 1053–1056. [Google Scholar] [CrossRef]
  32. Sheldrick, G.M. A short history of SHELXL. Acta Crystallogr. Sect. A 2008, 64, 112–122. [Google Scholar] [CrossRef] [PubMed]
Scheme 1. General approach for asymmetric alkylation of chiral 1,3-dioxolan-4-ones and their behaviour as acyl anion equivalents.
Scheme 1. General approach for asymmetric alkylation of chiral 1,3-dioxolan-4-ones and their behaviour as acyl anion equivalents.
Molecules 28 03845 sch001
Scheme 2. Michael addition of dioxolanone 5 to a nitrostyrene and subsequent reductive cyclisation [11].
Scheme 2. Michael addition of dioxolanone 5 to a nitrostyrene and subsequent reductive cyclisation [11].
Molecules 28 03845 sch002
Scheme 3. Previous work on synthesis and Diels–Alder reactivity of methylenedioxolanone 9.
Scheme 3. Previous work on synthesis and Diels–Alder reactivity of methylenedioxolanone 9.
Molecules 28 03845 sch003
Scheme 4. Formation and pyrolytic reactivity of adduct 14.
Scheme 4. Formation and pyrolytic reactivity of adduct 14.
Molecules 28 03845 sch004
Figure 1. X-ray structures of 14 and 6b with thermal ellipsoids (50%) and crystallographic numbering system used, conventional and schematic representations.
Figure 1. X-ray structures of 14 and 6b with thermal ellipsoids (50%) and crystallographic numbering system used, conventional and schematic representations.
Molecules 28 03845 g001
Scheme 5. Formation and reductive cyclisation of Michael adducts 6a and 6b.
Scheme 5. Formation and reductive cyclisation of Michael adducts 6a and 6b.
Molecules 28 03845 sch005
Scheme 6. Cycloaddition of 9 with simple 1,3-dienes and subsequent chemistry.
Scheme 6. Cycloaddition of 9 with simple 1,3-dienes and subsequent chemistry.
Molecules 28 03845 sch006
Figure 2. X-ray structures of 17 (left) and 20 (right) showing thermal ellipsoids (50%) with crystallographic numbering system used and conventional representations.
Figure 2. X-ray structures of 17 (left) and 20 (right) showing thermal ellipsoids (50%) with crystallographic numbering system used and conventional representations.
Molecules 28 03845 g002
Scheme 7. Mechanism of thermal fragmentation of dioxolanones.
Scheme 7. Mechanism of thermal fragmentation of dioxolanones.
Molecules 28 03845 sch007
Figure 3. X-ray structure of 22a showing thermal ellipsoids (50%) with crystallographic numbering system used and conventional representation.
Figure 3. X-ray structure of 22a showing thermal ellipsoids (50%) with crystallographic numbering system used and conventional representation.
Molecules 28 03845 g003
Scheme 8. Cycloaddition of 9 with sterically hindered dienes.
Scheme 8. Cycloaddition of 9 with sterically hindered dienes.
Molecules 28 03845 sch008
Scheme 9. Cycloaddition chemistry of methylenedioxolanone 26.
Scheme 9. Cycloaddition chemistry of methylenedioxolanone 26.
Molecules 28 03845 sch009
Figure 4. X-ray structure of 29b showing thermal ellipsoids (50%) with crystallographic numbering system used and conventional representation.
Figure 4. X-ray structure of 29b showing thermal ellipsoids (50%) with crystallographic numbering system used and conventional representation.
Molecules 28 03845 g004
Disclaimer/Publisher’s Note: The statements, opinions and data contained in all publications are solely those of the individual author(s) and contributor(s) and not of MDPI and/or the editor(s). MDPI and/or the editor(s) disclaim responsibility for any injury to people or property resulting from any ideas, methods, instructions or products referred to in the content.

Share and Cite

MDPI and ACS Style

Aitken, R.A.; Power, L.A.; Slawin, A.M.Z. New Chemistry of Chiral 1,3-Dioxolan-4-Ones. Molecules 2023, 28, 3845. https://doi.org/10.3390/molecules28093845

AMA Style

Aitken RA, Power LA, Slawin AMZ. New Chemistry of Chiral 1,3-Dioxolan-4-Ones. Molecules. 2023; 28(9):3845. https://doi.org/10.3390/molecules28093845

Chicago/Turabian Style

Aitken, R. Alan, Lynn A. Power, and Alexandra M. Z. Slawin. 2023. "New Chemistry of Chiral 1,3-Dioxolan-4-Ones" Molecules 28, no. 9: 3845. https://doi.org/10.3390/molecules28093845

APA Style

Aitken, R. A., Power, L. A., & Slawin, A. M. Z. (2023). New Chemistry of Chiral 1,3-Dioxolan-4-Ones. Molecules, 28(9), 3845. https://doi.org/10.3390/molecules28093845

Article Metrics

Back to TopTop