Difluorovinyl Liquid Crystal Diluters Improve the Electro-Optical Properties of High-∆n Liquid Crystal Mixture for AR Displays
Abstract
1. Introduction
2. Results and Discussion
2.1. Phase Transition Temperature
2.2. Birefringence
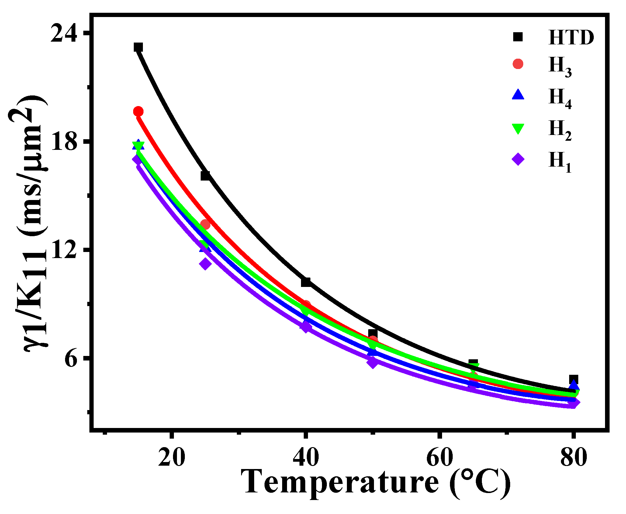
2.3. Viscoelastic Coefficient
2.4. Dielectric Anisotropy
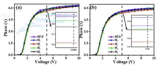
2.5. Voltage-Dependent Phase Change (V-Φ) Curves
2.6. Figure of Merit
2.7. Discussions
3. Materials and Methods
3.1. Materials
3.2. Characterization and Measurement
4. Conclusions
Author Contributions
Funding
Institutional Review Board Statement
Informed Consent Statement
Data Availability Statement
Acknowledgments
Conflicts of Interest
Sample Availability
References
- Maimone, A.; Georgiou, A.; Kollin, J.S. Holographic near-eye displays for virtual and augmented reality. ACM Trans. Graph. 2017, 36, 1–16. [Google Scholar] [CrossRef]
- Huang, Y.; Liao, E.; Chen, R.; Wu, S.-T. Liquid-Crystal-on-Silicon for Augmented Reality Displays. Appl. Sci. 2018, 8, 2366. [Google Scholar] [CrossRef]
- Li, P.K. LCOS and AR/VR. Inf. Disp. 2018, 34, 12. [Google Scholar] [CrossRef]
- Zhan, T.; Yin, K.; Xiong, J.; He, Z.; Wu, S.-T. Augmented Reality and Virtual Reality Displays: Perspectives and Challenges. iScience 2020, 23, 101397. [Google Scholar] [CrossRef]
- Yin, K.; Hsiang, E.-L.; Zou, J.; Li, Y.; Yang, Z.; Yang, Q.; Lai, P.-C.; Lin, C.-L.; Wu, S.-T. Advanced liquid crystal devices for augmented reality and virtual reality displays: Principles and applications. Light. Sci. Appl. 2022, 11, 161. [Google Scholar] [CrossRef]
- Chen, R.; Huang, Y.; Li, J.; Hu, M.; Li, J.; Chen, X.; Chen, P.; Wu, S.-T.; An, Z. High-frame-rate liquid crystal phase modulator for augmented reality displays. Liq. Cryst. 2018, 46, 309–315. [Google Scholar] [CrossRef]
- Huang, Y.; He, Z.; Wu, S.-T. Fast-response liquid crystal phase modulators for augmented reality displays. Opt. Express 2017, 25, 32757–32766. [Google Scholar] [CrossRef]
- Yang, Q.; Zou, J.; Li, Y.; Wu, S.-T. Fast-Response Liquid Crystal Phase Modulators with an Excellent Photostability. Crystals 2020, 10, 765. [Google Scholar] [CrossRef]
- Zou, J.; Yang, Q.; Hsiang, E.-L.; Ooishi, H.; Yang, Z.; Yoshidaya, K.; Wu, S.-T. Fast-Response Liquid Crystal for Spatial Light Modulator and LiDAR Applications. Crystals 2021, 11, 93. [Google Scholar] [CrossRef]
- Yadav, G.; Pathak, G.; Agrahari, K.; Kumar, M.; Khan, M.S.; Chandel, V.S.; Manohar, R. Improved dielectric and electro-optical parameters of nematic liquid crystal doped with magnetic nanoparticles. Chin. Phys. B 2019, 28, 034209. [Google Scholar] [CrossRef]
- Fouzai, M.; Guesmi, A.; Hamadi, N.B.; Soltani, T. Fluoro-substitution in hydrogen bonding liquid crystal benzoic acid: Dielectric, electro-optic and optical proprieties and inducing polar nematic phase. Liq. Cryst. 2019, 47, 777–784. [Google Scholar] [CrossRef]
- Kumar, A.; Singh, D.P.; Singh, G. Recent progress and future perspectives on carbon-nanomaterial-dispersed liquid crystal composites. J. Phys. D Appl. Phys. 2022, 55, 083002. [Google Scholar] [CrossRef]
- Meyer, C.; Davidson, P.; Constantin, D.; Sergan, V.; Stoenescu, D.; Knežević, A.; Dokli, I.; Lesac, A.; Dozov, I. Freedericksz-Like Transition in a Biaxial Smectic-A Phase. Phys. Rev. X 2021, 11, 031012. [Google Scholar] [CrossRef]
- Agrahari, K.; Nautiyal, V.K.; Vimal, T.; Pandey, S.; Kumar, S.; Manohar, R. Modification in different physical parameters of orthoconic antiferroelectric liquid crystal mixture via the dispersion of hexanethiol capped silver nanoparticles. J. Mol. Liq. 2021, 332, 115840. [Google Scholar] [CrossRef]
- Rastogi, A.; Pandey, F.; Manohar, R.; Singh, S. Effect of Doping of Cd1−xZnxS/ZnS Core/Shell Quantum Dots in Negative Dielectric Anisotropy Nematic Liquid Crystal p-Methoxybenzylidene p-Decylaniline. Crystals 2021, 11, 605. [Google Scholar] [CrossRef]
- Lazarev, G.; Chen, P.-J.; Strauss, J.; Fontaine, N.; Forbes, A. Beyond the display: Phase-only liquid crystal on Silicon devices and their applications in photonics. Opt. Express 2019, 27, 16206–16249. [Google Scholar] [CrossRef]
- Zou, J.; Yang, Z.; Mao, C.; Wu, S.-T. Fast-Response Liquid Crystals for 6G Optical Communications. Crystals 2021, 11, 797. [Google Scholar] [CrossRef]
- Chen, H.; Liu, Y.; Chen, M.; Jiang, T.; Zhang, L.; Yang, Z.; Yang, H. Research of Liquid-Crystal Materials for a High-Performance FFS-TFT Display. Molecules 2023, 28, 754. [Google Scholar] [CrossRef]
- Liao, Y.; Chen, H.; Hsu, C.; Gauza, S.; Wu, S. Synthesis and mesomorphic properties of super high birefringence isothiocyanato bistolane liquid crystals. Liq. Cryst. 2007, 34, 507–517. [Google Scholar] [CrossRef]
- Dąbrowski, R.; Kula, P.; Herman, J. High Birefringence Liquid Crystals. Crystals 2013, 3, 443–482. [Google Scholar] [CrossRef]
- Li, J.; Yang, X.; Gan, N.; Wu, B.; An, Z. The effect of lateral fluorination on the properties of phenyl-tolane liquid crystals. Liq. Cryst. 2015, 42, 397–403. [Google Scholar] [CrossRef]
- Kirsch, P. Fluorine in liquid crystal design for display applications. J. Fluor. Chem. 2015, 177, 29–36. [Google Scholar] [CrossRef]
- Mizusaki, M.; Okamoto, K.; Shibata, T. New Diluter Solubilized in Liquid Crystal Compounds for High Stability and Fast Response Speed Liquid Crystal Displays. Symmetry 2022, 14, 1620. [Google Scholar] [CrossRef]
- Avci, N. The influence of diluter system on polymer-stabilized blue-phase liquid crystals. Liq. Cryst. 2017, 45, 459. [Google Scholar] [CrossRef]
- Li, P.; Wang, X.-Q.; Shen, D.; Zheng, Z.-G. A long-term stable low-viscous self-organized blue phase liquid crystal superstructure with wide operation temperature range. Liq. Cryst. 2022, 49, 192–200. [Google Scholar] [CrossRef]
- Geelhaar, T.; Griesar, K.; Reckmann, B. 125 years of liquid crystals-a scientific revolution in the home. Angew. Chem. Int. Ed. 2013, 52, 8798. [Google Scholar] [CrossRef]
- Song, Q.; Gauza, S.; Sun, J.; Wu, S.T.; Liang, X. Diluters’ effects on high ∆n and low-viscosity negative ∆ε terphenyl liquid crystals. Liq. Cryst. 2009, 36, 865. [Google Scholar] [CrossRef]
- Weng, Q.; Zhao, L.; Chen, R.; An, Q.; An, Z.; Chen, X.; Chen, P. Syntheses of new diluents for medium birefringence liquid crystals materials. Liq. Cryst. 2018, 46, 700–707. [Google Scholar] [CrossRef]
- Alamro, F.S.; Tolan, D.A.; El-Nahas, A.M.; Ahmed, H.A.; El-Atawy, M.A.; Al-Kadhi, N.S.; Aziz, S.G.; Shibl, M.F. Wide Nematogenic Azomethine/Ester Liquid Crystals Based on New Biphenyl Derivatives: Mesomorphic and Computational Studies. Molecules 2022, 27, 4150. [Google Scholar] [CrossRef]
- Chen, H.; Hu, M.; Peng, F.; Li, J.; An, Z.; Wu, S.-T. Ultra-low viscosity liquid crystal materials. Opt. Mater. Express 2015, 5, 655–660. [Google Scholar] [CrossRef]
- Gauza, S.; Wang, H.; Wen, C.-H.; Wu, S.-T.; Seed, A.J.; Roman, D. High Birefringence Isothiocyanato Tolane Liquid Crystals. Jpn. J. Appl. Phys. 2003, 42, 3463–3466. [Google Scholar] [CrossRef]
- Hu, K.; Weng, Q.; Chen, R.; Li, J.; Shi, D.; Chen, P.; Gao, A.; Chen, X.; An, Z. Benzoxazole-terminated liquid crystals with high birefringence and large dielectric anisotropy. Liq. Cryst. 2020, 47, 1274. [Google Scholar] [CrossRef]
- Wan, D.; Che, Z.; Mo, L.; Hu, M.; Li, J.; Shi, F.; An, Z.; Li, J. Synthesis and properties of fluorinated terphenyl liquid crystals utilizing 5,6-dihydro-4H-cyclopenta[b]thiophene as core unit. J. Mol. Struct. 2022, 1267, 133612. [Google Scholar] [CrossRef]
- Chen, H.; Liu, Y.; Chen, M.; Jiang, T.; Yang, Z.; Yang, H. Negative Dielectric Anisotropy Liquid Crystal with Improved Photo-Stability, Anti-Flicker, and Transmittance for 8K Display Applications. Molecules 2022, 27, 7150. [Google Scholar] [CrossRef] [PubMed]
- Chen, T.; Guan, J.; Liu, M.; Zhang, Z.; Ouyang, H.; Wang, X. Study on Dielectrics and Low-Temperature Viscosity Performance of High-Frequency Difluorovinyl Liquid Crystals. In Proceedings of the 9th International Symposium on Advanced Optical Manufacturing and Testing Technologies: Meta-Surface-Wave and Planar Optics, Chengdu, China, 26–29 June 2018; SPIE: Bellingham, WA, USA, 2019; Volume 10841, p. 108410. [Google Scholar] [CrossRef]
- Yao, C.; Tang, J.; Chen, R.; Mao, Z.; Chen, X.; Chen, P.; An, Z. Bis-tolane liquid crystals terminated by 2,2-difluorovinyloxyl with high birefringence and large electrical anisotropy. J. Mol. Liq. 2023, 375, 121369. [Google Scholar] [CrossRef]
- Chen, R.; Jiang, Y.; Li, J.; An, Z.; Chen, X.; Chen, P. Dielectric and optical anisotropy enhanced by 1,3-dioxolane terminal substitution on to-lane-liquid crystals. J. Mater. Chem. C 2015, 3, 8706–8711. [Google Scholar] [CrossRef]
- Haller, I. Thermodynamic and static properties of liquid crystals. Prog. Solid State Chem. 1975, 10, 103–118. [Google Scholar] [CrossRef]
- Wu, S.-T. Birefringence dispersions of liquid crystals. Phys. Rev. A 1986, 33, 1270–1274. [Google Scholar] [CrossRef]
- Wu, S.-T.; Wu, C.-S. Rotational viscosity of nematic liquid crystals A critical examination of existing models. Liq. Cryst. 1990, 8, 171–182. [Google Scholar] [CrossRef]







| LC Mixtures | Diluter Structures | Tc (°C) | Tc1 (°C) a | Tc2 (°C) b | Nematic Range (°C) |
|---|---|---|---|---|---|
| HTD | — | 93.8 | — | — | 108.8 |
| H1 | ![]() | 89.5 | 43.46 | 50.8 | 104.5 |
| H2 | ![]() | 91.1 | 61.84 | 66.8 | 106.1 |
| H3 | ![]() | 93.9 | 103.51 | 94.8 | 108.9 |
| H4 | ![]() | 86.6 | 28.29 | 21.8 | 101.6 |
| LC Mixtures | ∆n (λ = 633 nm) | ∆n0 | β | G (µm−2) | λ* (µm) | |||
|---|---|---|---|---|---|---|---|---|
| 25 °C | 40 °C | 25 °C | 40 °C | 25 °C | 40 °C | |||
| HTD | 0.262 | 0.252 | 0.339 | 0.158 | 2.46 | 2.35 | 0.287 | 0.288 |
| H1 | 0.252 | 0.242 | 0.322 | 0.144 | 2.50 | 2.54 | 0.283 | 0.277 |
| H2 | 0.254 | 0.247 | 0.312 | 0.119 | 2.53 | 2.72 | 0.283 | 0.271 |
| H3 | 0.258 | 0.250 | 0.327 | 0.141 | 2.59 | 2.61 | 0.281 | 0.277 |
| H4 | 0.248 | 0.236 | 0.309 | 0.129 | 2.50 | 2.39 | 0.282 | 0.281 |
| LC Mixtures | γ1/K11 (ms/µm2) | A | Ea (meV) | |
|---|---|---|---|---|
| 25 °C | 40 °C | |||
| HTD | 16.09 | 10.20 | 3.71 × 10−4 | 268.3 |
| H1 | 11.22 | 7.73 | 4.17 × 10−4 | 257.7 |
| H3 | 13.39 | 8.91 | 5.61 × 10−4 | 254.4 |
| H2 | 12.32 | 8.59 | 1.35 × 10−4 | 230.6 |
| H4 | 12.09 | 7.84 | 6.04 × 10−4 | 250.1 |
| Code | H1 | H2 | H3 | H4 |
|---|---|---|---|---|
| Diluter structures | ![]() | ![]() | ![]() | ![]() |
| Ts (°C) | <−15 | <−15 | <−15 | <−15 |
| Tc (°C) | 89.5 | 91.1 | 93.9 | 86.6 |
| ∆n | 0.252 | 0.254 | 0.258 | 0.248 |
| ∆ε | 7.7009 | 7.4413 | 7.6410 | 7.9759 |
| γ1/K11 (ms/µm2) | 11.22 | 13.39 | 12.32 | 12.09 |
| FoM (μm2/s) | 5.66 | 5.24 | 4.97 | 5.09 |
Disclaimer/Publisher’s Note: The statements, opinions and data contained in all publications are solely those of the individual author(s) and contributor(s) and not of MDPI and/or the editor(s). MDPI and/or the editor(s) disclaim responsibility for any injury to people or property resulting from any ideas, methods, instructions or products referred to in the content. |
© 2023 by the authors. Licensee MDPI, Basel, Switzerland. This article is an open access article distributed under the terms and conditions of the Creative Commons Attribution (CC BY) license (https://creativecommons.org/licenses/by/4.0/).
Share and Cite
Tang, J.; Mao, Z.; An, Z.; Chen, R.; Chen, X.; Chen, P. Difluorovinyl Liquid Crystal Diluters Improve the Electro-Optical Properties of High-∆n Liquid Crystal Mixture for AR Displays. Molecules 2023, 28, 2458. https://doi.org/10.3390/molecules28062458
Tang J, Mao Z, An Z, Chen R, Chen X, Chen P. Difluorovinyl Liquid Crystal Diluters Improve the Electro-Optical Properties of High-∆n Liquid Crystal Mixture for AR Displays. Molecules. 2023; 28(6):2458. https://doi.org/10.3390/molecules28062458
Chicago/Turabian StyleTang, Jiaxing, Zihao Mao, Zhongwei An, Ran Chen, Xinbing Chen, and Pei Chen. 2023. "Difluorovinyl Liquid Crystal Diluters Improve the Electro-Optical Properties of High-∆n Liquid Crystal Mixture for AR Displays" Molecules 28, no. 6: 2458. https://doi.org/10.3390/molecules28062458
APA StyleTang, J., Mao, Z., An, Z., Chen, R., Chen, X., & Chen, P. (2023). Difluorovinyl Liquid Crystal Diluters Improve the Electro-Optical Properties of High-∆n Liquid Crystal Mixture for AR Displays. Molecules, 28(6), 2458. https://doi.org/10.3390/molecules28062458








