Bioassay-Guided Alkaloids Isolation from Camellia sinensis and Colchicum luteum: In Silico and In Vitro Evaluations for Protease Inhibition
Abstract
1. Introduction
2. Results and Discussion
2.1. Extraction and Purification of Bioactive Compounds
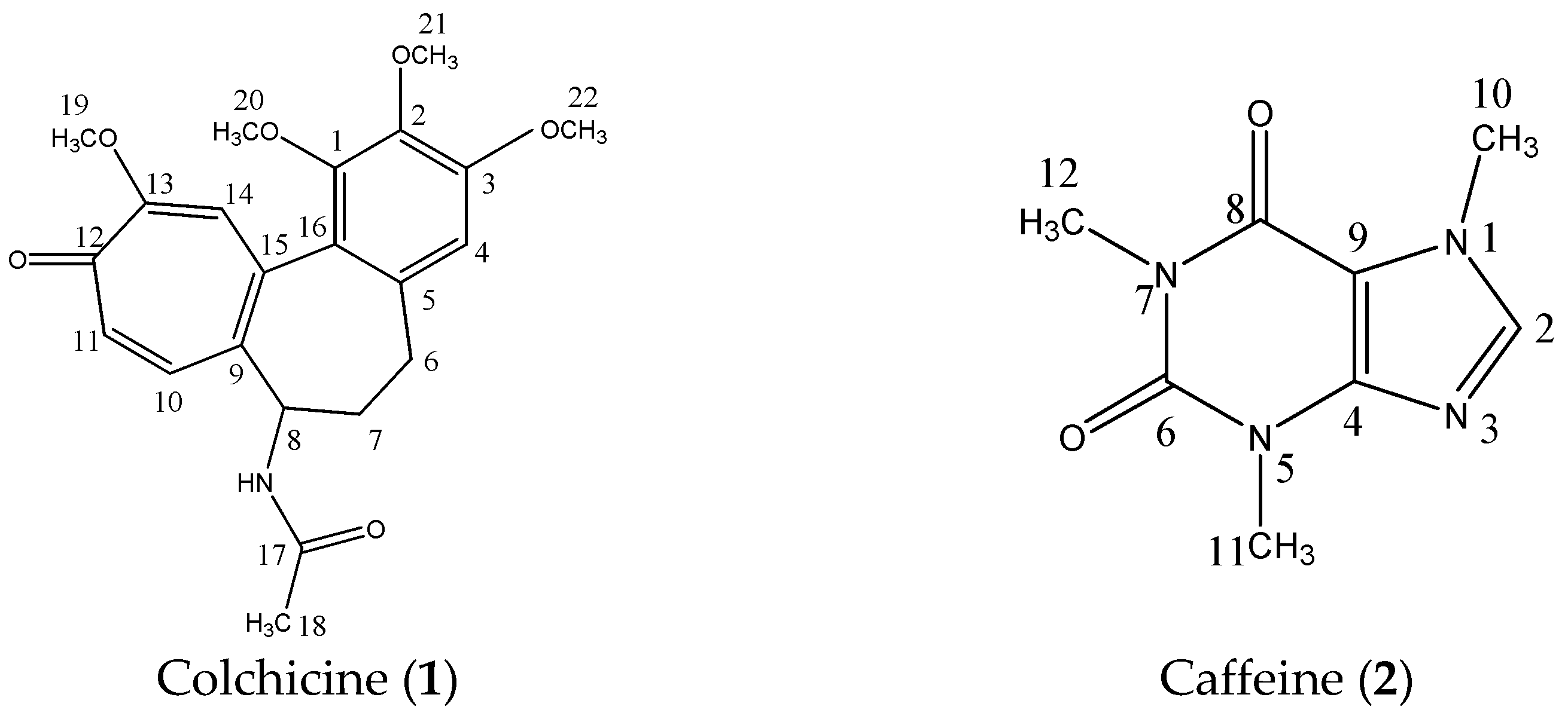
- Colchicine (1) (Scheme 3)
- Caffeine (2) (Scheme 3)
2.2. Protease Inhibitory Potential
2.3. Estimation of the Kinetic Parameter
2.4. In Silico Studies
3. Materials and Methods
3.1. Reagents and Instrumentation
3.2. Collection and Bioassay Guided Fractionation of Colchicium Luteum
3.3. Collection and Bioassay Guided Fractionation of Camellia sinensis
3.4. Protease Inhibition Assay
3.5. In Silico Studies
4. Conclusions
Supplementary Materials
Author Contributions
Funding
Data Availability Statement
Conflicts of Interest
References
- Desai, A.G.; Qazi, G.N.; Ganju, R.K.; El-Tamer, M.; Singh, J.; Saxena, A.K.; Bedi, Y.S.; Taneja, S.C.; Bhat, H.K. Medicinal plants and cancer chemoprevention. Curr. Drug Metab. 2008, 9, 581–591. [Google Scholar] [CrossRef]
- Samtiya, M.; Aluko, R.E.; Dhewa, T.; Moreno-Rojas, J.M. Potential health benefits of plant food-derived bioactive components: An overview. Foods 2021, 10, 839. [Google Scholar] [CrossRef] [PubMed]
- Panhwar, A.Q.; Abro, H. Ethnobotanical studies of Mahal Kohistan (Khirthar national park). Pak. J. Bot. 2007, 39, 2301–2315. [Google Scholar]
- Sharif, A.; Asif, H.; Younis, W.; Riaz, H.; Bukhari, I.A.; Assiri, A.M. Indigenous medicinal plants of Pakistan used to treat skin diseases: A review. Chin. Med. 2018, 13, 52. [Google Scholar]
- Aldughaylibi, F.S.; Raza, M.A.; Naeem, S.; Rafi, H.; Alam, M.W.; Souayeh, B.; Farhan, M.; Aamir, M.; Zaidi, N.; Mir, T.A. Extraction of bioactive compounds for antioxidant, antimicrobial, and antidiabetic applications. Molecules 2022, 27, 5935. [Google Scholar] [CrossRef]
- Rasoanaivo, P.; Wright, C.W.; Willcox, M.L.; Gilbert, B. Whole plant extracts versus single compounds for the treatment of malaria: Synergy and positive interactions. Malar. J. 2011, 10 (Suppl. S1), S4. [Google Scholar] [CrossRef]
- Kebede, T.; Gadisa, E.; Tufa, A. Antimicrobial activities evaluation and phytochemical screening of some selected medicinal plants: A possible alternative in the treatment of multidrug-resistant microbes. PLoS ONE 2021, 16, e0249253. [Google Scholar] [CrossRef]
- Peralta, R.M.; Terenzi, H.F.; Jorge, J.A. β-D-Glycosidase activities of Humicola grisea: Biochemical and kinetic characterization of a multifunctional enzyme. Biochim. Biophys. Acta (BBA) Gen. Subj. 1990, 1033, 243–249. [Google Scholar] [CrossRef]
- Gong, L.; Feng, D.; Wang, T.; Ren, Y.; Liu, Y.; Wang, J. Inhibitors of α-amylase and α-glucosidase: Potential linkage for whole cereal foods on prevention of hyperglycemia. Food Sci. Nutr. 2020, 8, 6320–6337. [Google Scholar] [CrossRef]
- Lawrence, P.K.; Koundal, K.R. Plant protease inhibitors in control of phytophagous insects. Electron. J. Biotechnol. 2002, 5, 5–6. [Google Scholar] [CrossRef]
- Katritzky, A.R.; Oliferenko, A.; Lomaka, A.; Karelson, M. Six-membered cyclic ureas as HIV-1 protease inhibitors: A QSAR study based on CODESSA PRO approach. Bioorg. Med. Chem. Lett. 2002, 12, 3453–3457. [Google Scholar] [CrossRef] [PubMed]
- Hayes, H.C.; Luk, L.Y.; Tsai, Y.-H. Approaches for peptide and protein cyclisation. Organ. Biomol. Chem. 2021, 19, 3983–4001. [Google Scholar] [CrossRef] [PubMed]
- Taggart, C.; Mall, M.A.; Lalmanach, G.; Cataldo, D.; Ludwig, A.; Janciauskiene, S.; Heath, N.; Meiners, S.; Overall, C.M.; Schultz, C. Protean proteases: At the cutting edge of lung diseases. Eur. Respir. J. 2017, 49, 1501200. [Google Scholar] [CrossRef] [PubMed]
- Perutka, Z.; Šebela, M. Pseudotrypsin: A little-known trypsin proteoform. Molecules 2018, 23, 2637. [Google Scholar] [CrossRef] [PubMed]
- Paoli, P. Enzymatic inhibitors from natural sources: A huge collection of new potential drugs. Biomolecules 2021, 11, 133. [Google Scholar] [CrossRef] [PubMed]
- Aboulwafa, M.M.; Youssef, F.S.; Gad, H.A.; Altyar, A.E.; Al-Azizi, M.M.; Ashour, M.L. A comprehensive insight on the health benefits and phytoconstituents of Camellia sinensis and recent approaches for its quality control. Antioxidants 2019, 8, 455. [Google Scholar] [CrossRef]
- Saeed, M.; El-Hack, M.E.A.; Alagawany, M.; Naveed, M.; Arain, M.A.; Arif, M.; Soomro, R.N.; Kakar, M.; Manzoor, R.; Tiwari, R. Phytochemistry, modes of action and beneficial health applications of green tea (Camellia sinensis) in humans and animals. Int. J. Pharmacol. 2017, 13, 698–708. [Google Scholar] [CrossRef]
- Chao, J.; Chen, T.-Y.; Pao, L.-H.; Deng, J.-S.; Cheng, Y.-C.; Su, S.-Y.; Huang, S.-S. Ethnobotanical survey on bitter tea in Taiwan. Front.Pharmacol. 2022, 13, 816029. [Google Scholar] [CrossRef]
- Zhao, T.; Li, C.; Wang, S.; Song, X. Green tea (Camellia sinensis): A review of its phytochemistry, pharmacology, and toxicology. Molecules 2022, 27, 3909. [Google Scholar] [CrossRef]
- Nagle, D.G.; Ferreira, D.; Zhou, Y.-D. Epigallocatechin-3-gallate (EGCG): Chemical and biomedical perspectives. Phytochem. 2006, 67, 1849–1855. [Google Scholar] [CrossRef]
- Farhan, M. Green Tea Catechins: Nature’s way of preventing and treating cancer. Int. J. Mol. Sci. 2022, 23, 10713. [Google Scholar] [CrossRef] [PubMed]
- Ahmad, B. Antioxidant activity and phenolic compounds from Colchicum luteum Baker (Liliaceae). Afr. J. Biotechnol. 2010, 9, 5762–5766. [Google Scholar]
- Haroon, K.; Shafiq, A.T.; Murad, A.K. Biological and phytochemical studies on corms of Colchicum luteum Baker. J. Med. Plants Res. 2011, 5, 7031–7035. [Google Scholar] [CrossRef]
- Ahmad, B.; Khan, H.; Bashir, S.; Nisar, M.; Hassan, M. Inhibition activities of Colchicum luteum baker on lipoxygenase and other enzymes. J. Enzyme Inhib. Med. Chem. 2006, 21, 449–452. [Google Scholar] [CrossRef] [PubMed]
- Raza, M.A. Extraction, Structure Elucidation and Microbial Transformation of Protease Inhibitors from Medicinal Plants. Ph.D. Thesis, GC University, Lahore, Pakistan, 2011. [Google Scholar]
- Rather, R.A.; Bano, H.; Perveen, K.; Bukhari, N.A.; Padder, S.A.; Baba, T.R.; Qureshi, A.; Khan, N.A.; Khan, A.H.; Samaraweera, H. Antifungal potential of Colchicum luteum and determination of colchicine content using HPLC for application as a fungicide. J. King Saud Univ.Sci. 2022, 34, 101876. [Google Scholar] [CrossRef]
- Alali, F.Q.; El-Elimat, T.; Li, C.; Qandil, A.; Alkofahi, A.; Tawaha, K.; Burgess, J.P.; Nakanishi, Y.; Kroll, D.J.; Navarro, H.A. New Colchicinoids from a Native Jordanian Meadow Saffron, Colchicum b rachyphyllum: Isolation of the first naturally occurring dextrorotatory colchicinoid. J. Nat. Prod. 2005, 68, 173–178. [Google Scholar] [CrossRef] [PubMed]
- Agbowuro, A.A.; Huston, W.M.; Gamble, A.B.; Tyndall, J.D. Proteases and protease inhibitors in infectious diseases. Med. Res. Rew. 2018, 38, 1295–1331. [Google Scholar] [CrossRef] [PubMed]
- Timbekov, É.K.; Sadykov, A. Mass-spectrometric study of the new alkaloids from plants of the family Liliaceae. Chem. Nat. Compd. 1985, 21, 1–9. [Google Scholar] [CrossRef]
- Esbolaev, E.; Aitkhozhina, N.; Aleksandrova, L. C-10 dipertide derivatives of colchicine. Chem. Nat. Compd. 1989, 25, 80–83. [Google Scholar] [CrossRef]
- Ben-Chetrit, E.; Bergmann, S.; Sood, R. Mechanism of the anti-inflammatory effect of colchicine in rheumatic diseases: A possible new outlook through microarray analysis. Rheumatology 2006, 45, 274–282. [Google Scholar] [CrossRef]
- Nolasco, S.; Bellido, J.; Serna, M.; Carmona, B.; Soares, H.; Zabala, J.C. Colchicine blocks tubulin heterodimer recycling by tubulin cofactors TBCA, TBCB, and TBCE. Front. Cell Dev. Biol. 2021, 950, 656273. [Google Scholar] [CrossRef] [PubMed]
- Dixon, M. The determination of enzyme inhibitor constants. Biochem. J. 1953, 55, 170. [Google Scholar] [CrossRef]
- Shrestha, S.; Seong, S.H.; Park, S.G.; Min, B.S.; Jung, H.A.; Choi, J.S. Insight into the PTP1B inhibitory activity of arylbenzofurans: An in vitro and in silico study. Molecules 2019, 24, 2893. [Google Scholar] [CrossRef] [PubMed]
- Raza, M.A.; Shahwar, D. Trypsin inhibitory potential and microbial transformation of rutin isolated from Citrus sinensis. Med. Chem. Res. 2013, 22, 3698–3702. [Google Scholar] [CrossRef]
- Kang, J.E.; Cho, J.K.; Curtis-Long, M.J.; Ryu, H.W.; Kim, J.H.; Kim, H.J.; Yuk, H.J.; Kim, D.W.; Park, K.H. Inhibitory evaluation of sulfonamide chalcones on β-secretase and acetylcholinesterase. Molecules 2012, 18, 140–153. [Google Scholar] [CrossRef] [PubMed]
- Shahwar, D.; Raza, M.A. Identification of flavonoids with trypsin inhibitory activity extracted from orange peel and green tea leaves. J. Sci. Food Agri. 2013, 93, 1420–1426. [Google Scholar] [CrossRef]
- Raza, M.A.; Sharif, A.; Danish, M.; Rehman, S.U.; Budzianowski, A.; Maurin, J.K. Theoretical and experimental investigation of thiourea derivatives: Synthesis, crystal structure, in-silico and in-vitro biological evaluation. Bull. Chem. Soc. Ethiop. 2021, 35, 587–600. [Google Scholar] [CrossRef]
- Ahmmed, F.; Islam, A.U.; Mukhrish, Y.E.; Bakri, Y.E.; Ahmad, S.; Ozeki, Y.; Kawsar, S.M. Efficient antibacterial/antifungal activities: Synthesis, molecular docking, molecular dynamics, pharmacokinetic, and binding free energy of galactopyranoside derivatives. Molecules 2022, 28, 219. [Google Scholar] [CrossRef]
- Pinzi, L.; Rastelli, G. Molecular docking: Shifting paradigms in drug discovery. Int. J. Mol. Sci. 2019, 20, 4331. [Google Scholar] [CrossRef]
- Ferreira, L.G.; Dos Santos, R.N.; Oliva, G.; Andricopulo, A.D. Molecular docking and structure-based drug design strategies. Molecules 2015, 20, 13384–13421. [Google Scholar] [CrossRef]
- Danish, M.; Raza, M.A.; Rani, H.; Akhtar, A.; Arshad, M.N.; Asiri, A.M. Enzyme inhibition and antioxidant potential of new synthesized sulfonamides; synthesis, single crystal and molecular docking. J. Mol. Str. 2021, 1241, 130608. [Google Scholar] [CrossRef]
- Raza, M.A.; Fatima, K. Molecular modeling approach for designing of amino-derived anti-Alzheimer agents: A computational study. J. Phys. Org.Chem. 2020, 33, e4076. [Google Scholar] [CrossRef]
- Idouhli, R.; N’Ait Ousidi, A.; Khadiri, M.E.; Abouelfida, A.; Ait Itto, M.Y.; Auhmani, A.; Benyaich, A. Electrochemical and theoretical studies of some monoterpenic thiazolidinones as corrosion inhibitors for steel in acidic media. J.Adhes. Sci. Technol. 2020, 35, 1404–1425. [Google Scholar] [CrossRef]















| S. No | Extracts (250 µg/mL) | Protease Inhibition (%Age) |
|---|---|---|
| 1 | ethanol | 49.7 ± 1.1 |
| 2 | n-hexane | 6.9 ± 0.3 |
| 3 | chloroform at pH 7.0 | 24.6 ± 0.7 |
| 4 | chloroform at pH 3.0 | 17.4 ± 0.3 |
| 5 | chloroform at pH 9.0 | 54.1 ± 0.5 |
| S. No | Fractions (100 µg/mL) | Protease Inhibition (%Age) |
|---|---|---|
| 1 | n-hexane | 9.4 ± 0.2 |
| 2 | n-hexane–chloroform (80:20) | 11.9 ± 0.3 |
| 3 | n-hexane–chloroform (30:70) | 19.0 ± 0.3 |
| 4 | n-hexane–chloroform (10:90) | 57.4 ± 0.7 |
| 5 | chloroform–ethyl acetate (85:15) | 21.0 ± 0.5 |
| S. No | Extracts (250 µg/mL) | Protease Inhibition (%Age) |
|---|---|---|
| 1 | ethyl alcohol | 52.7 ± 1.0 |
| 2 | n-hexane | 0.0 ± 0.0 |
| 3 | chloroform at pH 7.0 | 44.3 ± 0.6 |
| 4 | chloroform at pH 3.0 | 26.5 ± 0.4 |
| 5 | chloroform at pH 9.0 | 32.8 ± 0.4 |
| S. No | Fractions (100 µg/mL) | Protease Inhibition (%age) |
|---|---|---|
| 1 | n-hexane | 0.0 ± 0.0 |
| 2 | n-hexane–chloroform (90:10) | 12.4 ± 0.3 |
| 3 | n-hexane–chloroform (70:30) | 8.6 ± 0.5 |
| 4 | n-hexane–chloroform (40:60) | 34.7 ± 0.2 |
| 5 | chloroform | 14.2 ± 0.4 |
| Sr. No | Compounds/ Standard | Protease Inhibition (%age) | IC50 (mM) | Docking Score (kcal/mol) |
|---|---|---|---|---|
| 1 | Colchicine (1) | 63.7 ± 0.5 | 0.83 ± 0.07 | -6.2 |
| 2 | Caffeine (2) | 39.2 ± 1.3 | NA | -5.8 |
| 3 | PMSF | 87.2 ± 1.2 | 0.11 ± 0.02 | NA |
Disclaimer/Publisher’s Note: The statements, opinions and data contained in all publications are solely those of the individual author(s) and contributor(s) and not of MDPI and/or the editor(s). MDPI and/or the editor(s) disclaim responsibility for any injury to people or property resulting from any ideas, methods, instructions or products referred to in the content. |
© 2023 by the authors. Licensee MDPI, Basel, Switzerland. This article is an open access article distributed under the terms and conditions of the Creative Commons Attribution (CC BY) license (https://creativecommons.org/licenses/by/4.0/).
Share and Cite
Aatif, M.; Raza, M.A.; El Oirdi, M.; Farhan, M.; Mumtaz, M.W.; Hamayun, M.; Ashraf, A.; Muteeb, G. Bioassay-Guided Alkaloids Isolation from Camellia sinensis and Colchicum luteum: In Silico and In Vitro Evaluations for Protease Inhibition. Molecules 2023, 28, 2459. https://doi.org/10.3390/molecules28062459
Aatif M, Raza MA, El Oirdi M, Farhan M, Mumtaz MW, Hamayun M, Ashraf A, Muteeb G. Bioassay-Guided Alkaloids Isolation from Camellia sinensis and Colchicum luteum: In Silico and In Vitro Evaluations for Protease Inhibition. Molecules. 2023; 28(6):2459. https://doi.org/10.3390/molecules28062459
Chicago/Turabian StyleAatif, Mohammad, Muhammad Asam Raza, Mohamed El Oirdi, Mohd Farhan, Muhammad Waseem Mumtaz, Muhammad Hamayun, Adnan Ashraf, and Ghazala Muteeb. 2023. "Bioassay-Guided Alkaloids Isolation from Camellia sinensis and Colchicum luteum: In Silico and In Vitro Evaluations for Protease Inhibition" Molecules 28, no. 6: 2459. https://doi.org/10.3390/molecules28062459
APA StyleAatif, M., Raza, M. A., El Oirdi, M., Farhan, M., Mumtaz, M. W., Hamayun, M., Ashraf, A., & Muteeb, G. (2023). Bioassay-Guided Alkaloids Isolation from Camellia sinensis and Colchicum luteum: In Silico and In Vitro Evaluations for Protease Inhibition. Molecules, 28(6), 2459. https://doi.org/10.3390/molecules28062459

