Thermally Crosslinked Hydrogen-Bonded Organic Framework Membranes for Highly Selective Ion Separation
Abstract
1. Introduction
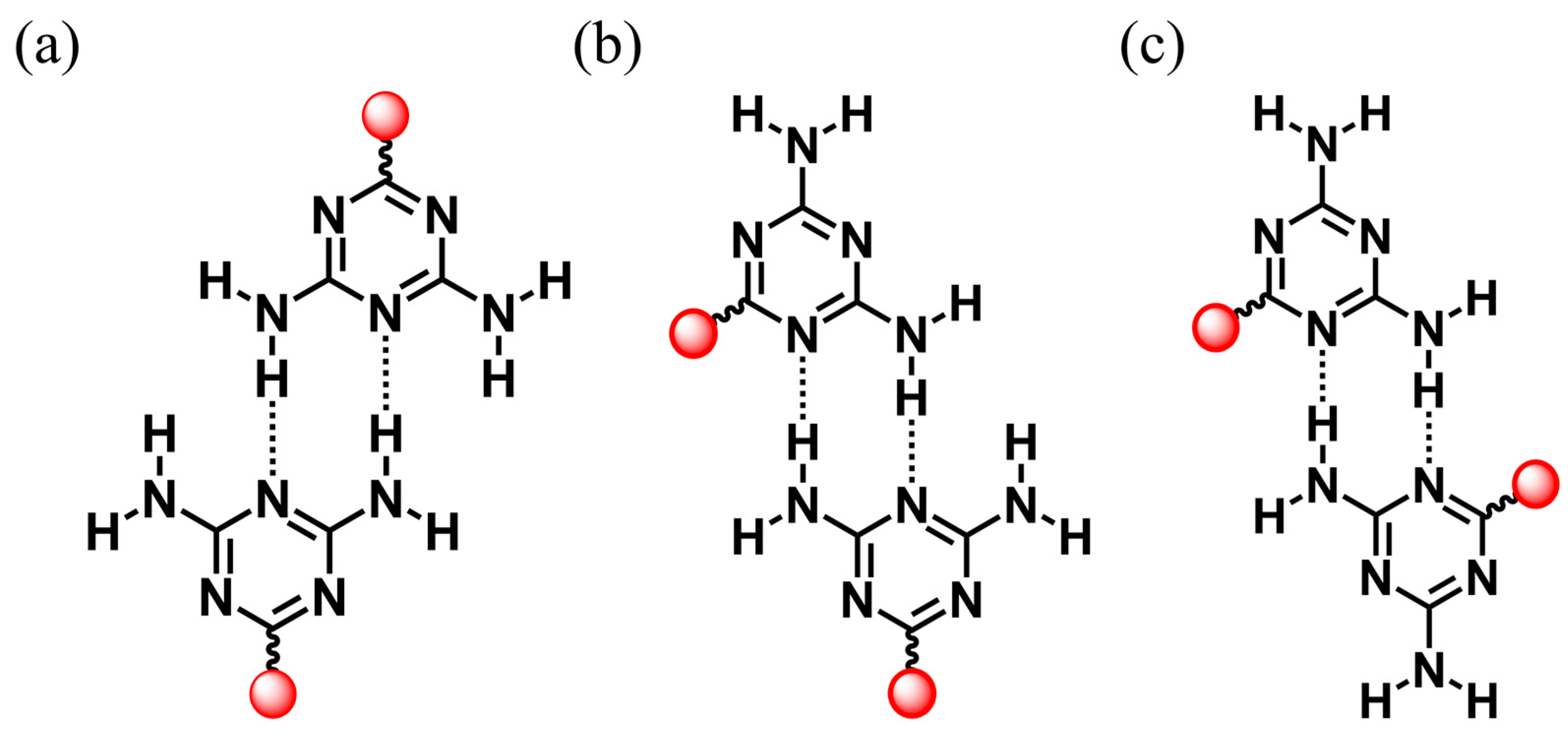
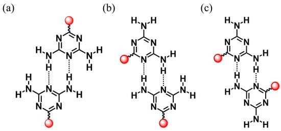
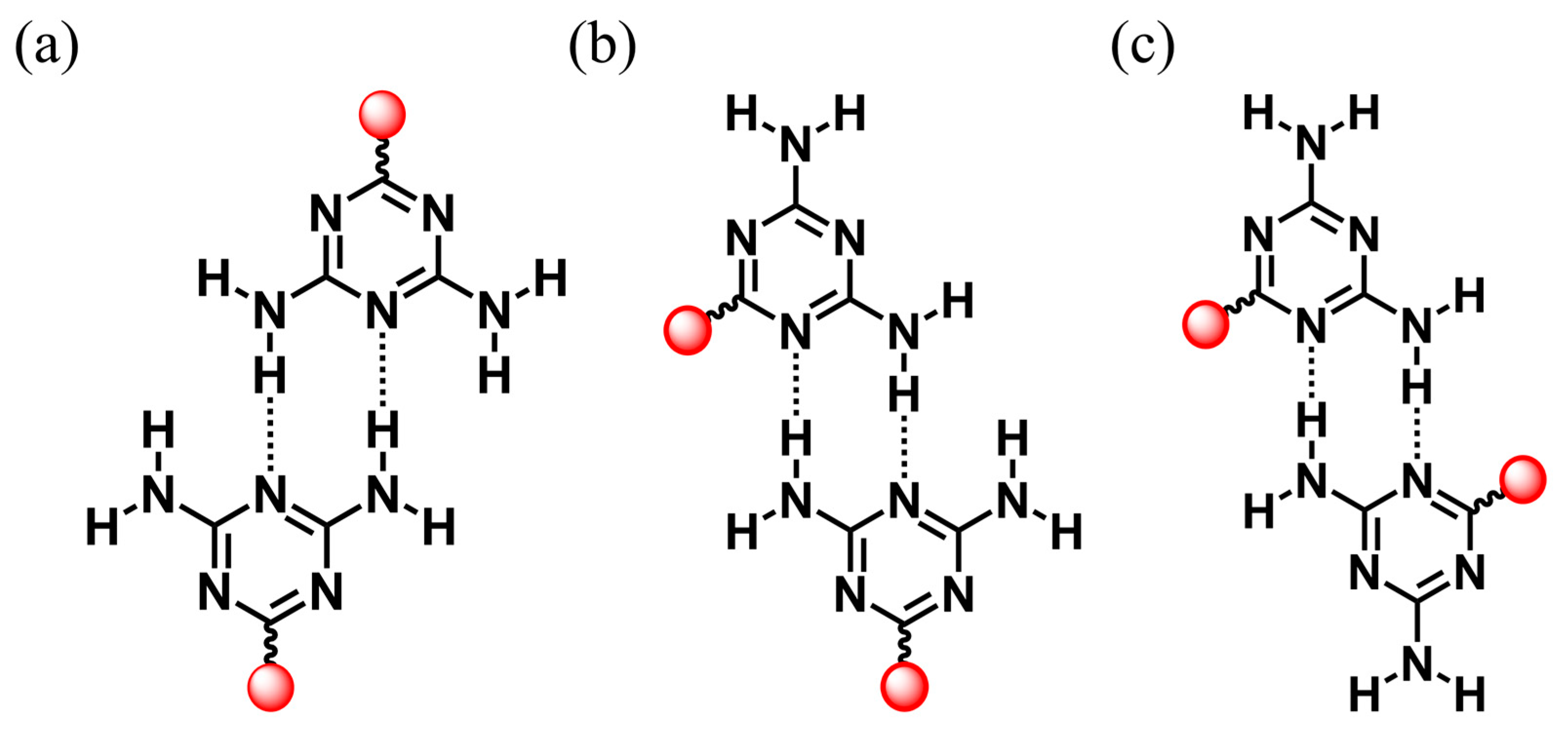
2. Results and Discussion
3. Materials and Methods
3.1. Materials
3.1.1. Synthesis of BDAT
3.1.2. Synthesis of FDU-HOF-1 Single Crystals
3.1.3. Synthesis of FDU-HOF-1 Powder
3.1.4. Synthesis of HOF Thin-Films and TC-HOF-TF
3.2. Methods
3.2.1. Powder X-Ray Diffraction
3.2.2. Variable Temperature PXRD (VT-PXRD)
3.2.3. Single-Crystal X-Ray Diffraction
3.2.4. NMR Measurements
3.2.5. Measurement of FTIR Spectra
3.2.6. Solid-state 1H NMR Spectra
3.2.7. Chemical Stability Test
3.2.8. Scanning Electron Microscope
3.2.9. Water Vapor Adsorption
3.2.10. Ion Permeability Test
4. Conclusions
Supplementary Materials
Author Contributions
Funding
Institutional Review Board Statement
Informed Consent Statement
Data Availability Statement
Acknowledgments
Conflicts of Interest
Sample Availability
References
- Chen, Z.; Kirlikovali, K.O.; Li, P.; Farha, O.K. Reticular Chemistry for Highly Porous Metal-Organic Frameworks: The Chemistry and Applications. Acc. Chem. Res. 2022, 55, 579–591. [Google Scholar] [CrossRef] [PubMed]
- Zhang, X.; Chen, Z.; Liu, X.; Hanna, S.L.; Wang, X.; Taheri-Ledari, R.; Maleki, A.; Li, P.; Farha, O.K. A historical overview of the activation and porosity of metal-organic frameworks. Chem. Soc. Rev. 2020, 49, 7406–7427. [Google Scholar] [CrossRef] [PubMed]
- Waller, P.J.; Gandara, F.; Yaghi, O.M. Chemistry of Covalent Organic Frameworks. Acc. Chem. Res. 2015, 48, 3053–3063. [Google Scholar] [CrossRef]
- Ding, S.Y.; Wang, W. Covalent organic frameworks (COFs): From design to applications. Chem. Soc. Rev. 2013, 42, 548–568. [Google Scholar] [CrossRef] [PubMed]
- Song, X.; Wang, Y.; Wang, C.; Wang, D.; Zhuang, G.; Kirlikovali, K.O.; Li, P.; Farha, O.K. Design Rules of Hydrogen-Bonded Organic Frameworks with High Chemical and Thermal Stabilities. J. Am. Chem. Soc. 2022, 144, 10663–10687. [Google Scholar] [CrossRef]
- Hisaki, I.; Xin, C.; Takahashi, K.; Nakamura, T. Designing Hydrogen-Bonded Organic Frameworks (HOFs) with Permanent Porosity. Angew. Chem. Int. Ed. 2019, 58, 11160–11170. [Google Scholar] [CrossRef]
- Hisaki, I. Hydrogen-bonded Porous Frameworks Constructed by Rigid π-Conjugated Molecules with Carboxy Groups. J. Incl. Phenom. Macrocycl. Chem. 2020, 96, 215–231. [Google Scholar] [CrossRef]
- Wuest, J.D. Atoms and the void: Modular construction of ordered porous solids. Nat. Commun. 2020, 11, 4652. [Google Scholar] [CrossRef]
- Zhang, Z.; Ye, Y.; Xiang, S.; Chen, B. Exploring Multifunctional Hydrogen-Bonded Organic Framework Materials. Acc. Chem. Res. 2022, 55, 3752–3766. [Google Scholar] [CrossRef]
- Lin, Z.J.; Mahammed, S.A.R.; Liu, T.F.; Cao, R. Multifunctional Porous Hydrogen-Bonded Organic Frameworks: Current Status and Future Perspectives. ACS Cent. Sci. 2022, 8, 1589–1608. [Google Scholar] [CrossRef]
- Wang, D.; Zhao, Y. Rigid-Flexible Hybrid Porous Molecular Crystals with Guest-Induced Reversible Crystallinity. Angew. Chem. Int. Ed. 2023, e202217903. [Google Scholar] [CrossRef]
- Lin, R.-B.; Chen, B. Hydrogen-bonded organic frameworks: Chemistry and functions. Chem 2022, 8, 2114–2135. [Google Scholar] [CrossRef]
- He, Y.; Xiang, S.; Chen, B. A Microporous Hydrogen-Bonded Organic Framework for Highly Selective C2H2/C2H4 Separation at Ambient Temperature. J. Am. Chem. Soc. 2011, 133, 14570–14573. [Google Scholar] [CrossRef]
- Brunet, P.; Simard, M.; Wuest, J.D. Molecular Tectonics. Porous Hydrogen-Bonded Networks with Unprecedented Structural Integrity. J. Am. Chem. Soc. 1997, 119, 2737–2738. [Google Scholar] [CrossRef]
- Li, P.; He, Y.; Guang, J.; Weng, L.; Zhao, J.C.; Xiang, S.; Chen, B. A Homochiral Microporous Hydrogen-Bonded Organic Framework for Highly Enantioselective Separation of Secondary Alcohols. J. Am. Chem. Soc. 2014, 136, 547–549. [Google Scholar] [CrossRef]
- Li, P.; He, Y.; Zhao, Y.; Weng, L.; Wang, H.; Krishna, R.; Wu, H.; Zhou, W.; O’Keeffe, M.; Han, Y.; et al. A Rod-Packing Microporous Hydrogen-Bonded Organic Framework for Highly Selective Separation of C2H2/CO2 at Room Temperature. Angew. Chem. Int. Ed. 2015, 54, 574–577. [Google Scholar] [CrossRef]
- Li, P.; He, Y.; Arman, H.D.; Krishna, R.; Wang, H.; Weng, L.; Chen, B. A Microporous Six-Fold Interpenetrated Hydrogen-Bonded Organic Framework for Highly Selective Separation of C2H4/C2H6. Chem. Commun. 2014, 50, 13081–13084. [Google Scholar] [CrossRef]
- Wang, H.; Li, B.; Wu, H.; Hu, T.L.; Yao, Z.; Zhou, W.; Xiang, S.; Chen, B. A Flexible Microporous Hydrogen-Bonded Organic Framework for Gas Sorption and Separation. J. Am. Chem. Soc. 2015, 137, 9963–9970. [Google Scholar] [CrossRef]
- Yang, W.; Yang, F.; Hu, T.-L.; King, S.C.; Wang, H.; Wu, H.; Zhou, W.; Li, J.-R.; Arman, H.D.; Chen, B. Microporous Diaminotriazine-Decorated Porphyrin-Based Hydrogen-Bonded Organic Framework: Permanent Porosity and Proton Conduction. Cryst. Growth Des. 2016, 16, 5831–5835. [Google Scholar] [CrossRef]
- Li, P.; Alduhaish, O.; Arman, H.D.; Wang, H.; Alfooty, K.; Chen, B. Solvent Dependent Structures of Hydrogen-Bonded Organic Frameworks of 2,6-Diaminopurine. Cryst. Growth Des. 2014, 14, 3634–3638. [Google Scholar] [CrossRef]
- Beaudoin, D.; Blair-Pereira, J.N.; Langis-Barsetti, S.; Maris, T.; Wuest, J.D. Predictably Ordered Open Hydrogen-Bonded Networks Built from Indeno[1,2-b]fluorenes. J. Org. Chem. 2017, 82, 8536–8547. [Google Scholar] [CrossRef]
- Duong, A.; Rajak, S.; Tremblay, A.A.; Maris, T.; Wuest, J.D. Molecular Organization in Crystals of Bis(diaminotriazinyl)-Substituted Derivatives of Benzene, Pyridine, and Pyrazine. Cryst. Growth Des. 2018, 19, 1299–1307. [Google Scholar] [CrossRef]
- Khadivjam, T.; Che-Quang, H.; Maris, T.; Ajoyan, Z.; Howarth, A.J.; Wuest, J.D. Modular Construction of Porous Hydrogen-Bonded Molecular Materials from Melams. Chem. Eur. J. 2020, 26, 7026–7040. [Google Scholar] [CrossRef] [PubMed]
- Wang, H.; Bao, Z.; Wu, H.; Lin, R.B.; Zhou, W.; Hu, T.L.; Li, B.; Zhao, J.C.; Chen, B. Two solvent-induced porous hydrogen-bonded organic frameworks: Solvent effects on structures and functionalities. Chem. Commun. 2017, 53, 11150–11153. [Google Scholar] [CrossRef]
- Yin, Q.; Zhao, P.; Sa, R.J.; Chen, G.C.; Lu, J.; Liu, T.F.; Cao, R. An Ultra-Robust and Crystalline Redeemable Hydrogen-Bonded Organic Framework for Synergistic Chemo-Photodynamic Therapy. Angew. Chem. Int. Ed. 2018, 57, 7691–7696. [Google Scholar] [CrossRef]
- Ma, K.; Li, P.; Xin, J.H.; Chen, Y.; Chen, Z.; Goswami, S.; Liu, X.; Kato, S.; Chen, H.; Zhang, X.; et al. Ultrastable Mesoporous Hydrogen-Bonded Organic Framework-Based Fiber Composites toward Mustard Gas Detoxification. Cell Rep. Phys. Sci. 2020, 1, 100024. [Google Scholar] [CrossRef]
- Wang, Y.; Ma, K.; Bai, J.; Xu, T.; Han, W.; Wang, C.; Chen, Z.; Kirlikovali, K.O.; Li, P.; Xiao, J.; et al. Chemically Engineered Porous Molecular Coatings as Reactive Oxygen Species Generators and Reservoirs for Long-Lasting Self-Cleaning Textiles. Angew. Chem. Int. Ed. 2022, 61, e202115956. [Google Scholar]
- Wang, C.; Wang, Y.; Kirlikovali, K.O.; Ma, K.; Zhou, Y.; Li, P.; Farha, O.K. Ultrafine Silver Nanoparticle Encapsulated Porous Molecular Traps for Discriminative Photoelectrochemical Detection of Mustard Gas Simulants by Synergistic Size-Exclusion and Site-Specific Recognition. Adv. Mater. 2022, 34, 2202287. [Google Scholar] [CrossRef]
- Suzuki, Y.; Yamaguchi, M.; Oketani, R.; Hisaki, I. Isomeric Effect of Naphthyl Spacers on Structures and Properties of Isostructural Porous Crystalline Frameworks. Mater. Chem. Front. 2023, 7, 106–116. [Google Scholar] [CrossRef]
- Hashimoto, T.; Oketani, R.; Nobuoka, M.; Seki, S.; Hisaki, I. Single Crystalline, Non-stoichiometric Cocrystals of Hydrogen-Bonded Organic Frameworks. Angew. Chem. Int. Ed. 2023, 62, e202215836. [Google Scholar] [CrossRef]
- Zhu, Q.; Johal, J.; Widdowson, D.E.; Pang, Z.; Li, B.; Kane, C.M.; Kurlin, V.; Day, G.M.; Little, M.A.; Cooper, A.I. Analogy Powered by Prediction and Structural Invariants: Computationally Led Discovery of a Mesoporous Hydrogen-Bonded Organic Cage Crystal. J. Am. Chem. Soc. 2022, 144, 9893–9901. [Google Scholar] [CrossRef]
- Tong, L.; Lin, Y.; Kou, X.; Shen, Y.; Shen, Y.; Huang, S.; Zhu, F.; Chen, G.; Ouyang, G. Pore-Environment-Dependent Photoresponsive Oxidase-like Activity in Hydrogen-Bonded Organic Frameworks. Angew. Chem. Int. Ed. 2023, e202218661. [Google Scholar] [CrossRef]
- Wang, J.-X.; Gu, X.-W.; Lin, Y.-X.; Li, B.; Qian, G. A Novel Hydrogen-Bonded Organic Framework with Highly Permanent Porosity for Boosting Ethane/Ethylene Separation. ACS Mater. Lett. 2021, 3, 497–503. [Google Scholar] [CrossRef]
- Li, P.; Li, P.; Ryder, M.R.; Liu, Z.; Stern, C.L.; Farha, O.K.; Stoddart, J.F. Interpenetration Isomerism in Triptycene-Based Hydrogen-Bonded Organic Frameworks. Angew. Chem. Int. Ed. 2019, 58, 1664–1669. [Google Scholar] [CrossRef] [PubMed]
- Cui, P.; Svensson Grape, E.; Spackman, P.R.; Wu, Y.; Clowes, R.; Day, G.M.; Inge, A.K.; Little, M.A.; Cooper, A.I. An Expandable Hydrogen-Bonded Organic Framework Characterized by Three-Dimensional Electron Diffraction. J. Am. Chem. Soc. 2020, 142, 12743–12750. [Google Scholar] [CrossRef] [PubMed]
- Yang, W.; Wang, J.-X.; Yu, B.; Li, B.; Wang, H.; Jiang, J. A Robust Hydrogen-Bonded Organic Framework with 7-Fold Interpenetration Nets and High Permanent Microporosity. Cryst. Growth Des. 2022, 22, 1817–1823. [Google Scholar] [CrossRef]
- Yu, B.; Geng, S.; Wang, H.; Zhou, W.; Zhang, Z.; Chen, B.; Jiang, J. A Solid Transformation into Carboxyl Dimers Based on a Robust Hydrogen-Bonded Organic Framework for Propyne/Propylene Separation. Angew. Chem. Int. Ed. 2021, 60, 25942–25948. [Google Scholar] [CrossRef]
- Xing, G.; Yan, T.; Das, S.; Ben, T.; Qiu, S. Synthesis of Crystalline Porous Organic Salts with High Proton Conductivity. Angew. Chem. Int. Ed. 2018, 57, 5345–5349. [Google Scholar] [CrossRef]
- Wang, Y.; Zhang, M.; Yang, Q.; Yin, J.; Liu, D.; Shang, Y.; Kang, Z.; Wang, R.; Sun, D.; Jiang, J. Single-crystal-to-single-crystal transformation and proton conductivity of three hydrogen-bonded organic frameworks. Chem. Commun. 2020, 56, 15529–15532. [Google Scholar] [CrossRef] [PubMed]
- Samanta, J.; Zhang, Y.; Zhang, M.; Chen, A.D.; Ke, C. Single-Crystalline Hydrogen-Bonded Crosslinked Organic Frameworks and Their Dynamic Guest Sorption. Acc. Chem. Res. 2022, 3, 1186–1200. [Google Scholar] [CrossRef]
- Zhang, M.; Samanta, J.; Atterberry, B.A.; Staples, R.; Rossini, A.J.; Ke, C. A Crosslinked Ionic Organic Framework for Efficient Iodine and Iodide Remediation in Water. Angew. Chem. Int. Ed. 2022, 61, e202214189. [Google Scholar] [CrossRef] [PubMed]
- Liang, R.; Samanta, J.; Shao, B.; Zhang, M.; Staples, R.J.; Chen, A.D.; Tang, M.; Wu, Y.; Aprahamian, I.; Ke, C. A Heteromeric Carboxylic Acid Based Single-Crystalline Crosslinked Organic Framework. Angew. Chem. Int. Ed. 2021, 60, 23176–23181. [Google Scholar] [CrossRef]
- Zhang, C.; Wu, B.H.; Ma, M.Q.; Wang, Z.; Xu, Z.K. Ultrathin metal/covalent-organic framework membranes towards ultimate separation. Chem. Soc. Rev. 2019, 48, 3811–3841. [Google Scholar] [CrossRef] [PubMed]
- Zou, X.; Zhu, G. Microporous Organic Materials for Membrane-Based Gas Separation. Adv. Mater. 2018, 30, 1700750. [Google Scholar] [CrossRef]
- Dou, H.; Xu, M.; Wang, B.; Zhang, Z.; Wen, G.; Zheng, Y.; Luo, D.; Zhao, L.; Yu, A.; Zhang, L.; et al. Microporous framework membranes for precise molecule/ion separations. Chem. Soc. Rev. 2021, 50, 986–1029. [Google Scholar] [CrossRef]
- Lu, J.; Zhang, H.; Hou, J.; Li, X.; Hu, X.; Hu, Y.; Easton, C.D.; Li, Q.; Sun, C.; Thornton, A.W.; et al. Efficient metal ion sieving in rectifying subnanochannels enabled by metal-organic frameworks. Nat. Mater. 2020, 19, 767–774. [Google Scholar] [CrossRef]
- Lin, L.; Lin, Z.; Zhang, J.; Cai, X.; Lin, W.; Yu, Z.; Wang, X. Molecular-Level Insights On the Reactive Facet of Carbon Nitride Single Crystals Photocatalysing Overall Water Splitting. Nat. Catal. 2020, 3, 649–655. [Google Scholar] [CrossRef]
- Fang, Y.; Fu, X.; Wang, X. Diverse Polymeric Carbon Nitride-Based Semiconductors for Photocatalysis and Variations. ACS Mater. Lett. 2020, 2, 975–980. [Google Scholar] [CrossRef]
- Liu, W.-J.; Wen, Y.-Q.; Wang, J.-W.; Zhong, D.-C.; Tan, J.-B.; Lu, T.-B. Nitrogen- and iodine-doped microporous carbon derived from a hydrogen-bonded organic framework: An efficient metal-free electrocatalyst for the oxygen reduction reaction. J. Mater. Chem. A 2019, 7, 9587–9592. [Google Scholar] [CrossRef]
- Liu, J.; Li, L.; Niu, W.; Wang, N.; Zhao, D.; Zeng, S.; Chen, S. A Hydrogen-Bonded Organic-Framework-Derived Mesoporous N-Doped Carbon for Efficient Electroreduction of Oxygen. ChemElectroChem 2016, 3, 1116–1123. [Google Scholar] [CrossRef]
- Zhang, S.Q.; Cheng, L.X.; Gong, Z.L.; Duan, W.B.; Tu, B.; Zhong, Y.W.; Zeng, Q.D. Temperature-Triggered Self-Assembled Structural Transformation: From Pure Hydrogen-Bonding Quadrilateral Nanonetwork to Trihexagonal Structures. Langmuir 2019, 35, 6571–6577. [Google Scholar] [CrossRef] [PubMed]
- Hashim, M.I.; Le, H.T.M.; Chen, T.H.; Chen, Y.S.; Daugulis, O.; Hsu, C.W.; Jacobson, A.J.; Kaveevivitchai, W.; Liang, X.; Makarenko, T.; et al. Dissecting Porosity in Molecular Crystals: Influence of Geometry, Hydrogen Bonding, and [pi…pi] Stacking on the Solid-State Packing of Fluorinated Aromatics. J. Am. Chem. Soc. 2018, 140, 6014–6026. [Google Scholar] [CrossRef]
- Hisaki, I.; Ikenaka, N.; Gomez, E.; Cohen, B.; Tohnai, N.; Douhal, A. Hexaazatriphenylene-Based Hydrogen-Bonded Organic Framework with Permanent Porosity and Single-Crystallinity. Chem. Eur. J. 2017, 23, 11611–11619. [Google Scholar] [CrossRef] [PubMed]
- Gao, J.; Cai, Y.; Qian, X.; Liu, P.; Wu, H.; Zhou, W.; Liu, D.X.; Li, L.; Lin, R.B.; Chen, B. A Microporous Hydrogen-Bonded Organic Framework for the Efficient Capture and Purification of Propylene. Angew. Chem. Int. Ed. 2021, 60, 20400–20406. [Google Scholar] [CrossRef]
- Lin, Z.J.; Qin, J.Y.; Zhan, X.P.; Wu, K.; Cao, G.J.; Chen, B. Robust Mesoporous Functional Hydrogen-Bonded Organic Framework for Hypochlorite Detection. ACS Appl. Mater. Interfaces 2022, 14, 21098–21105. [Google Scholar] [CrossRef]
- Yin, Q.; Lü, J.; Li, H.-F.; Liu, T.-F.; Cao, R. Robust Microporous Porphyrin-Based Hydrogen-Bonded Organic Framework for Highly Selective Separation of C2 Hydrocarbons versus Methane. Cryst. Growth Des. 2019, 19, 4157–4161. [Google Scholar] [CrossRef]
- Zhang, X.; Li, L.; Wang, J.X.; Wen, H.M.; Krishna, R.; Wu, H.; Zhou, W.; Chen, Z.N.; Li, B.; Qian, G.; et al. Selective Ethane/Ethylene Separation in a Robust Microporous Hydrogen-Bonded Organic Framework. J. Am. Chem. Soc. 2020, 142, 633–640. [Google Scholar] [CrossRef]
- Kirlikovali, K.O.; Goswami, S.; Mian, M.R.; Krzyaniak, M.D.; Wasielewski, M.R.; Hupp, J.T.; Li, P.; Farha, O.K. An Electrically Conductive Tetrathiafulvalene-Based Hydrogen-Bonded Organic Framework. ACS Mater. Lett. 2021, 4, 128–135. [Google Scholar] [CrossRef]
- Xiao, H.; Ma, H.; Han, M.; Wu, N.; Guo, Z.; An, Z.; Zhan, H. A Permanent Porous Hydrogen-Bonded Framework with Room-Temperature Phosphorescence. Cryst. Growth Des. 2021, 21, 3420–3427. [Google Scholar] [CrossRef]
- Yu, B.; Li, L.; Liu, S.; Wang, H.; Liu, H.; Lin, C.; Liu, C.; Wu, H.; Zhou, W.; Li, X.; et al. Robust Biological Hydrogen-Bonded Organic Framework with Post-Functionalized Rhenium(I) Sites for Efficient Heterogeneous Visible-Light-Driven CO(2) Reduction. Angew. Chem. Int. Ed. 2021, 60, 8983–8989. [Google Scholar] [CrossRef] [PubMed]
- Hisaki, I.; Suzuki, Y.; Gomez, E.; Ji, Q.; Tohnai, N.; Nakamura, T.; Douhal, A. Acid Responsive Hydrogen-Bonded Organic Frameworks. J. Am. Chem. Soc. 2019, 141, 2111–2121. [Google Scholar] [CrossRef] [PubMed]
- Gong, L.; Ye, Y.; Liu, Y.; Li, Y.; Bao, Z.; Xiang, S.; Zhang, Z.; Chen, B. A Microporous Hydrogen-Bonded Organic Framework for Efficient Xe/Kr Separation. ACS Appl. Mater. Interfaces 2022, 14, 19623–19628. [Google Scholar] [CrossRef] [PubMed]
- Tan, R.; Wang, A.; Malpass-Evans, R.; Williams, R.; Zhao, E.W.; Liu, T.; Ye, C.; Zhou, X.; Darwich, B.P.; Fan, Z.; et al. Hydrophilic Microporous Membranes for Selective Ion Separation and Flow-Battery Energy Storage. Nat. Mater. 2020, 19, 195–202. [Google Scholar] [CrossRef] [PubMed]









Disclaimer/Publisher’s Note: The statements, opinions and data contained in all publications are solely those of the individual author(s) and contributor(s) and not of MDPI and/or the editor(s). MDPI and/or the editor(s) disclaim responsibility for any injury to people or property resulting from any ideas, methods, instructions or products referred to in the content. |
© 2023 by the authors. Licensee MDPI, Basel, Switzerland. This article is an open access article distributed under the terms and conditions of the Creative Commons Attribution (CC BY) license (https://creativecommons.org/licenses/by/4.0/).
Share and Cite
Song, X.; Wang, C.; Gao, X.; Wang, Y.; Xu, R.; Wang, J.; Li, P. Thermally Crosslinked Hydrogen-Bonded Organic Framework Membranes for Highly Selective Ion Separation. Molecules 2023, 28, 2173. https://doi.org/10.3390/molecules28052173
Song X, Wang C, Gao X, Wang Y, Xu R, Wang J, Li P. Thermally Crosslinked Hydrogen-Bonded Organic Framework Membranes for Highly Selective Ion Separation. Molecules. 2023; 28(5):2173. https://doi.org/10.3390/molecules28052173
Chicago/Turabian StyleSong, Xiyu, Chen Wang, Xiangyu Gao, Yao Wang, Rui Xu, Jian Wang, and Peng Li. 2023. "Thermally Crosslinked Hydrogen-Bonded Organic Framework Membranes for Highly Selective Ion Separation" Molecules 28, no. 5: 2173. https://doi.org/10.3390/molecules28052173
APA StyleSong, X., Wang, C., Gao, X., Wang, Y., Xu, R., Wang, J., & Li, P. (2023). Thermally Crosslinked Hydrogen-Bonded Organic Framework Membranes for Highly Selective Ion Separation. Molecules, 28(5), 2173. https://doi.org/10.3390/molecules28052173

