Improved Strength and Heat Distortion Temperature of Emi-Aromatic Polyamide 10T-co-1012 (PA10T/1012)/GO Composites via In Situ Polymerization
Abstract
1. Introduction
2. Results and Discussion
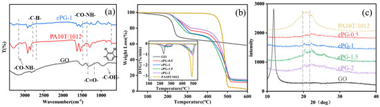
2.1. Structure Characterization of PA10T/1012-Grafted Graphene Sheets
2.2. Structure and Intrinsic Viscosity of SPA and MPA Composites
2.2.1. Structural Characterization of SPA and MPA Composites
2.2.2. Characterization of Intrinsic Viscosity and Crosslinking Degree
2.3. X-ray Diffraction Analysis
2.4. Thermal Analysis
2.4.1. Differential Scanning Calorimeter Analysis
2.4.2. Thermal Mechanical Properties
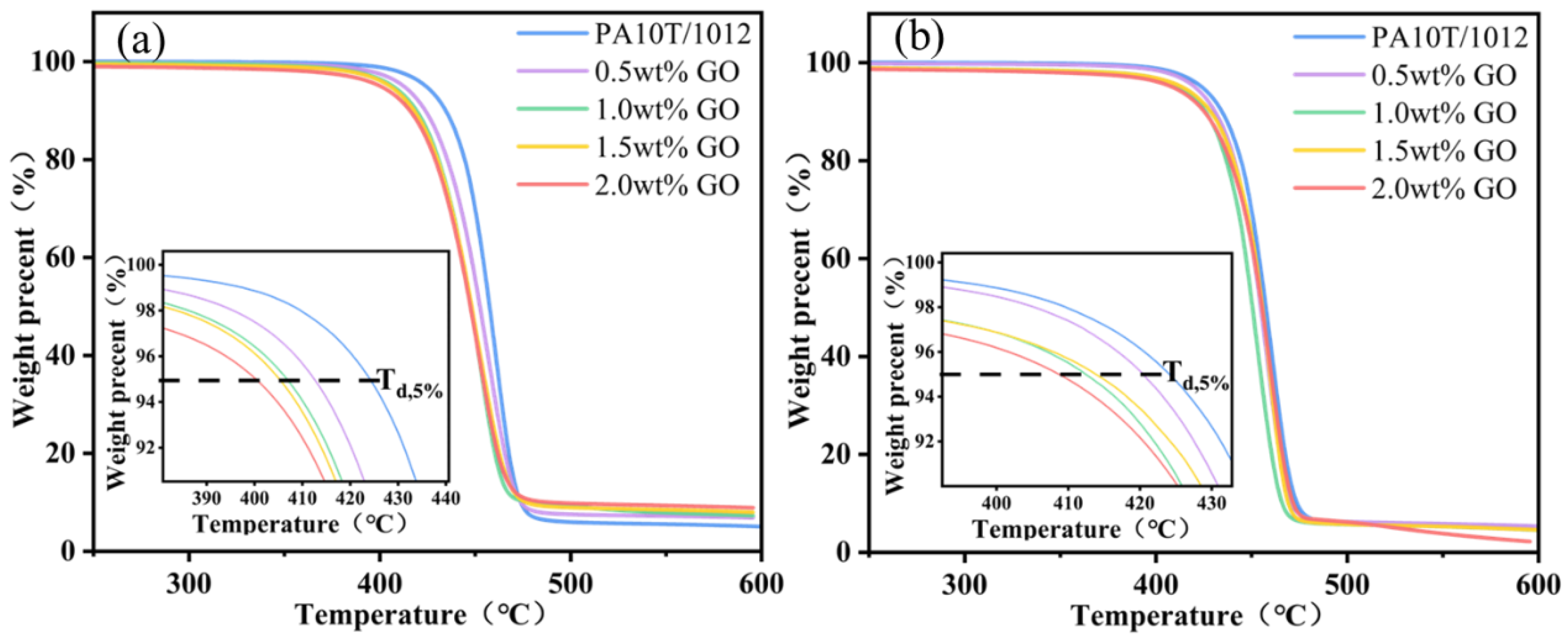
2.4.3. Thermogravimetric Analysis
2.4.4. Heat Deflection Temperature
2.5. Mechanical Properties of PA10T/1012/GO
3. Experiments
3.1. Experimental Reagents
3.2. Synthesis of PA10T/1012/GO Composites
3.2.1. PA10T/1012/GO Composites with Different GO Contents Were Prepared by In Situ Polymerization
3.2.2. PA10T/1012/GO Composites with Different GO Content Were Prepared by Physical Blending
3.3. The Collection of ePG from SPA Composites
3.4. Characterization
4. Conclusions
Author Contributions
Funding
Institutional Review Board Statement
Informed Consent Statement
Data Availability Statement
Acknowledgments
Conflicts of Interest
Sample Availability
References
- Chabot, V.; Higgins, D.; Yu, A.P.; Xiao, X.C.; Chen, Z.W.; Zhang, J.J. A review of graphene and graphene oxide sponge: Material synthesis and applications to energy and the environment. Energy Environ. Sci. 2014, 7, 1564–1596. [Google Scholar] [CrossRef]
- Novoselov, K.S.; Geim, A.K.; Morozov, S.V.; Jiang, D.; Zhang, Y.; Dubonos, S.V.; Grigorieva, I.V.; Firsov, A.A. Electric field effect in atomically thin carbon films. Science 2004, 306, 666–669. [Google Scholar] [CrossRef] [PubMed]
- Pinto, A.M.; Moreira, S.; Goncalves, I.C.; Gama, F.M.; Mendes, A.M.; Magalhaes, F.D. Biocompatibility of poly(lactic acid) with incorporated graphene-based materials. Colloids Surf B Biointerfaces 2013, 104, 229–238. [Google Scholar] [CrossRef] [PubMed]
- Wei, P.; Cui, S.; Bai, S. In situ exfoliation of graphite in solid phase for fabrication of graphene/polyamide-6 composites. Compos. Sci. Technol. 2017, 153, 151–159. [Google Scholar] [CrossRef]
- Zhu, Y.; Murali, S.; Cai, W.; Li, X.; Suk, J.W.; Potts, J.R.; Ruoff, R.S. Graphene and Graphene Oxide: Synthesis, Properties, and Applications. Adv. Mater. 2010, 22, 3906–3924. [Google Scholar] [CrossRef]
- Ramanathan, T.; Abdala, A.A.; Stankovich, S.; Dikin, D.A.; Herrera-Alonso, M.; Piner, R.D.; Adamson, D.H.; Schniepp, H.C.; Chen, X.; Ruoff, R.S.; et al. Functionalized graphene sheets for polymer nanocomposites. Nat. Nanotechnol. 2008, 3, 327–331. [Google Scholar] [CrossRef]
- Liu, C.; Yu, Z.; Neff, D.; Zhamu, A.; Jang, B.Z. Graphene-based supercapacitor with an ultrahigh energy density. Nano. Lett. 2010, 10, 4863–4868. [Google Scholar] [CrossRef]
- Eigler, S.; Hirsch, A. Chemistry with Graphene and Graphene Oxide—Challenges for Synthetic Chemists. Angew. Chem. Int. Ed. 2014, 53, 7720–7738. [Google Scholar] [CrossRef]
- Compton, O.C.; Nguyen, S.T. Graphene oxide, highly reduced graphene oxide, and graphene: Versatile building blocks for carbon-based materials. Small 2010, 6, 711–723. [Google Scholar] [CrossRef]
- Duan, X.C.; Yu, B.; Yang, T.H.; Wu, Y.P.; Yu, H.; Huang, T. In Situ Polymerization of Nylon 66/Reduced Graphene Oxide Nanocomposites. J. Nanomater. 2018, 2018, 1047985. [Google Scholar] [CrossRef]
- Gong, L.; Yin, B.; Li, L.P.; Yang, M.B. Nylon-6/Graphene composites modified through polymeric modification of graphene. Compos. Part B-Eng. 2015, 73, 49–56. [Google Scholar] [CrossRef]
- Wang, C.; Hu, F.; Yang, K.J.; Hu, T.H.; Wang, W.Z.; Deng, R.S.; Jiang, Q.B.; Zhang, H.L. Preparation and properties of nylon 6/sulfonated graphene composites by an in situ polymerization process. Rsc. Adv. 2016, 6, 45014–45022. [Google Scholar] [CrossRef]
- Xiang, M.; Li, C.J.; Ye, L. In situ synthesis of monomer casting nylon-6/reduced graphene oxide nanocomposites: Intercalation structure and electrically conductive properties. J. Ind. Eng. Chem. 2017, 50, 123–132. [Google Scholar] [CrossRef]
- Zang, C.G.; Zhu, X.D.; Jiao, Q.J. Enhanced mechanical and electrical properties of nylon-6 composite by using carbon fiber/ graphene multiscale structure as additive. J. Appl. Polym. Sci. 2015, 132. [Google Scholar] [CrossRef]
- Nakonieczny, D.S.; Kern, F.; Dufner, L.; Antonowicz, M.; Matus, K.J.M. Alumina and Zirconia-Reinforced Polyamide PA-12 Composites for Biomedical Additive Manufacturing. Materials 2021, 14, 6201. [Google Scholar] [CrossRef]
- Du, S.; Wang, W.; Yan, Y.; Zhang, J.; Tian, M.; Zhang, L.; Wan, X. A facile synthetic route to poly(p-phenylene terephthalamide) with dual functional groups. Chem. Commun. 2014, 50, 9929–9931. [Google Scholar] [CrossRef] [PubMed]
- Peng, W.M.; Tong, X.; Zhang, M.L.; Wang, X.J.; Zhang, G.; Long, S.R.; Yang, J. Semiaromatic polyamide poly(hexamethylene terephthalamide)-co-polycaprolactam: Thermal and flame-retardant properties. J. Appl. Polym. Sci. 2018, 135, 46451. [Google Scholar] [CrossRef]
- Williams, J.C.; Meador, M.A.B.; McCorkle, L.; Mueller, C.; Wilmoth, N. Synthesis and Properties of Step-Growth Polyamide Aerogels Cross-linked with Triacid Chlorides. Chem. Mater. 2014, 26, 4163–4171. [Google Scholar] [CrossRef]
- Feng, W.; Zou, G.; Ding, Y.; Ai, T.; Ji, J.J.I.; Research, E.C. Effect of Aliphatic Diacid Chain Length on Properties of Semi-aromatic Copolyamides Based on PA10T and Their Theoretical Study. Ind. Eng. Chem. Res. 2019, 58, 7217–7226. [Google Scholar] [CrossRef]
- Wen, X.; Yi, Q.; Mai, J.; Jiang, Z.; Jiang, S. Crystallization kinetics of poly(decamethylene terephthalamide)(PA10T). Polym. Mater. Sci. Eng. 2014, 30, 72–77. [Google Scholar]
- Fu, X.; Dong, X.; Yang, G.; Bai, S. Non-isothermal crystallization kinetics of graphene/PA10T composites. Heliyon 2022, 8, e10206. [Google Scholar] [CrossRef] [PubMed]
- Chen, X.; Zhao, W.; Zhang, Y.; Shi, G.; He, Y.; Cui, Z.; Fu, P.; Pang, X.; Zhang, X.; Liu, M. Concurrent enhancement of dimensional stability and thermal conductivity of thermoplastic polyamide 12T/Boron nitride composites by constructing oriented structure. Compos. Commun. 2022, 33, 101193. [Google Scholar] [CrossRef]
- Liu, M.; Li, K.; Yang, S.; Fu, P.; Wang, Y.; Zhao, Q. Synthesis and thermal decomposition of poly(dodecamethylene terephthalamide). J. Appl. Polym. Sci. 2011, 122, 3369–3376. [Google Scholar] [CrossRef]
- Ren, H.Q.; He, Z.C.; Xu, J.J.; Yan, X.; Liu, P.Q. Evaluation of the Abilities of Ozone Resistance for Polyamide Fibers: Structures, Properties, and Aging Mechanism. Ind. Eng. Chem. Res. 2019, 58, 17814–17823. [Google Scholar] [CrossRef]
- Wang, Z.; Tong, X.; Yang, J.C.; Wang, X.J.; Zhang, M.L.; Zhang, G.; Long, S.R.; Yang, J. Improved strength and toughness of semi-aromatic polyamide 6T-co-6(PA6T/6)/GO composites via in situ polymerization. Compos. Sci. Technol. 2019, 175, 6–17. [Google Scholar] [CrossRef]
- Wang, Z.; Dong, Y.; Yang, J.-c.; Wang, X.-j.; Zhang, M.-l.; Zhang, G.; Long, S.-r.; Liu, S.; Yang, J. Improved interfacial shear strength in carbon fiber enhanced semi-aromatic polyamide 6T composite via in-situ polymerization on fiber surface. Compos. Sci. Technol. 2022, 223, 109401. [Google Scholar] [CrossRef]
- Zhu, R.; Pu, Z.; Hou, H.; Wang, X.; Li, X.; Yu, D.; Zhong, J.; Song, Y. Novel antistatic glass fiber reinforced heat-resistant PA10T composites with excellent processing properties and thermal stability. J. Appl. Polym. Sci. 2023, 140. [Google Scholar] [CrossRef]
- Wang, M.Q.; Wang, C.Y.; Song, Y.J.; Zhang, C.H.; Shao, L.; Jiang, Z.X.; Huang, Y.D. Facile method to functionalize graphene oxide nanoribbons and its application to Poly(p-phenylene benzobisoxazole) composite. Compos. Sci. Technol. 2018, 165, 124–130. [Google Scholar] [CrossRef]
- Wang, X.; Li, N.; Wang, J.Y.; Li, G.Y.; Zong, L.S.; Liu, C.; Jian, X.G. Hyperbranched polyether epoxy grafted graphene oxide for benzoxazine composites: Enhancement of mechanical and thermal properties. Compos. Sci. Technol. 2018, 155, 11–21. [Google Scholar] [CrossRef]
- Xu, Z.; Gao, C. In situ Polymerization Approach to Graphene-Reinforced Nylon-6 Composites. Macromolecules 2010, 43, 6716–6723. [Google Scholar] [CrossRef]
- Yan, K.; Fu, W.; Xie, M. Gel Permeation Chromatography of High Temperature Polyamide PA10T. Eng. Plast. Appl. 2019, 47, 108–114. [Google Scholar]
- Zheng, D.; Tang, G.S.; Zhang, H.B.; Yu, Z.Z.; Yavari, F.; Koratkar, N.; Lim, S.H.; Lee, M.W. In situ thermal reduction of graphene oxide for high electrical conductivity and low percolation threshold in polyamide 6 nanocomposites. Compos. Sci. Technol. 2012, 72, 284–289. [Google Scholar] [CrossRef]
- XiOu, X.; Jiang, L.; Chen, P.; Zhu, M.; Hu, W.; Liu, M.; Zhu, J.; Ju, H. Highly Stable Graphene-Based Multilayer Films Immobilized via Covalent Bonds and Their Applications in Organic Field-Effect Transistors. Adv. Funct. Mater. 2013, 23, 2422–2435. [Google Scholar]
- Ding, P.; Su, S.S.; Song, N.; Tang, S.F.; Liu, Y.M.; Shi, L.Y. Influence on thermal conductivity of polyamide-6 covalently-grafted graphene nanocomposites: Varied grafting-structures by controllable macromolecular length. Rsc. Adv. 2014, 4, 18782–18791. [Google Scholar] [CrossRef]
- Peng, D.; Su, S.; Na, S.; Tang, S.; Shi, L.J.C. Highly thermal conductive composites with polyamide-6 covalently-grafted graphene by an in situ polymerization and thermal reduction process. Carbon 2014, 66, 576–584. [Google Scholar]
- Ai, T.H.; Zou, G.J.; Feng, W.T.; Ren, Z.L.; Li, F.; Wang, P.L.; Lu, B.; Ji, J.H. Synthesis and properties of biobased copolyamides based on polyamide 10T and polyamide 56 through one-pot polymerization. New J. Chem. 2021, 45, 14677–14686. [Google Scholar] [CrossRef]
- Xing, W.; Li, H.Y.; Huang, G.S.; Cai, L.H.; Wu, J.R. Graphene oxide induced crosslinking and reinforcement of elastomers. Compos. Sci. Technol. 2017, 144, 223–229. [Google Scholar] [CrossRef]
- Bandyopadhyay, J.; Mekoa, C.; Makwakwa, D.; Skosana, S.; Ray, S.S. Influence of nucleation and growth mechanisms on the heat deflection temperature of a reactively processed polypropylene nanocomposite. Polym. Eng. Sci. 2021, 61, 1195–1208. [Google Scholar] [CrossRef]
- Zhang, Z.C.; Gao, X.R.; Hu, Z.J.; Yan, Z.; Xu, J.Z.; Xu, L.; Zhong, G.J.; Li, Z.M. Inducing Stereocomplex Crystals by Template Effect of Residual Stereocomplex Crystals during Thermal Annealing of Injection-Molded Polylactide. J. Ind. Eng. Chem. Res. 2016, 55, 10896–10905. [Google Scholar] [CrossRef]
- Deng, L.; Xu, C.; Wang, X.; Wang, Z. Supertoughened Polylactide Binary Blend with High Heat Deflection Temperature Achieved by Thermal Annealing above the Glass Transition Temperature. ACS Sustain. Chem. Eng. 2017, 6, 480–490. [Google Scholar] [CrossRef]
- Yang, G.; Li, L.; Lee, W.B.; Ng, M.C. Structure of graphene and its disorders: A review. Sci. Technol. Adv. Mater. 2018, 19, 613–648. [Google Scholar] [CrossRef]
- Ghanbari, A.; Behzadfar, E.; Arjmand, M. Properties of talc filled reactor-made thermoplastic polyolefin composites. J. Polym. Res. 2019, 26, 241. [Google Scholar] [CrossRef]
- Ghanbari, A.; Mousavi, Z.; Heuzey, M.C.; Patience, G.S.; Carreau, P.J. Experimental methods in chemical engineering: Rheometry. Can. J. Chem. Eng. 2020, 98, 1456–1470. [Google Scholar] [CrossRef]
- Choochottiros, C. Thermal crosslinking of polylactide/star-shaped polycaprolactone for toughening and resistance to thermal deformation. Polym. J. 2022, 54, 83–90. [Google Scholar] [CrossRef]
- Shanmugam, L.; Kazemi, M.E.; Rao, Z.Q.; Lu, D.; Wang, X.G.; Wang, B.W.; Yang, L.; Yang, J.L. Enhanced Mode I fracture toughness of UHMWPE fabric/thermoplastic laminates with combined surface treatments of polydopamine and functionalized carbon nanotubes. Compos. Part B-Eng. 2019, 178, 107450. [Google Scholar] [CrossRef]















| Sample | Elemental Composition | Elemental Composition | |||
|---|---|---|---|---|---|
| C (%) | N (%) | O (%) | N/C (×10−2) | O/C (×10−2) | |
| GO | 67.24 | 1.25 | 28.79 | 1.86 | 42.82 |
| ePG-0.5 | 52.77 | 3.87 | 33.16 | 7.33 | 62.84 |
| ePG-1.0 | 51.32 | 3.11 | 32.82 | 6.06 | 63.95 |
| ePG-1.5 | 47.17 | 3.69 | 34.81 | 7.82 | 73.79 |
| ePG-2 | 49.98 | 3.52 | 38.51 | 7.04 | 77.05 |
| GO Content (wt%) | 0 | 0.50 | 1.00 | 1.50 | 2.00 |
|---|---|---|---|---|---|
| [η] (dL/g) | 0.774 | 0.593 | 0.567 | 0.563 | 0.558 |
| Mw (g/mol) | 11, 321 | 8136 | 7701 | 7641 | 7554 |
| G (%) | 0 | 0.24 | 0.39 | 0.64 | 0.85 |
| GO Content (wt%) | Tm (°C) | Tc (°C) | ΔHm (J/g) | Td, 5% (°C) | HDT (°C) | |||||
|---|---|---|---|---|---|---|---|---|---|---|
| SPA | MPA | SPA | MPA | SPA | MPA | SPA | MPA | SPA | MPA | |
| 0 | 296.51 | 296.51 | 270.98 | 270.98 | 44.94 | 44.94 | 424.09 | 424.09 | 77.8 | 77.8 |
| 0.5 | 294.69 | 295.96 | 264.06 | 273.48 | 35.10 | 47.80 | 412.41 | 420.44 | 84.7 | 83.9 |
| 1.0 | 295.42 | 294.67 | 270.99 | 269.28 | 36.45 | 39.89 | 406.67 | 412.42 | 99.3 | 97.4 |
| 1.5 | 290.99 | 293.56 | 265.79 | 270.39 | 27.23 | 43.78 | 405.12 | 413.67 | 120.7 | 107.5 |
| 2.0 | 293.80 | 292.65 | 269.28 | 271.49 | 44.03 | 40.85 | 400.20 | 408.73 | 144.2 | 117.3 |
| GO Content (wt%) | Tg (°C) | Tanδ at Tg | ||
|---|---|---|---|---|
| SPA | MPA | SPA | MPA | |
| 0 | 106.64 | 106.64 | 0.24 | 0.24 |
| 0.50 | 118.21 | 104.68 | 0.48 | 0.38 |
| 1.00 | 118.03 | 102.57 | 0.28 | 0.24 |
| 1.50 | 114.34 | 102.92 | 0.67 | 0.44 |
| 2.00 | 118.97 | 104.38 | 0.29 | 0.37 |
| GO Content (wt%) | Tensile Strength (Mpa) | Tensile Modulus (Gpa) | Elongation at Break (%) | Notched Impact Strength (KJ/m2) | ||||
|---|---|---|---|---|---|---|---|---|
| SPA | MPA | SPA | MPA | SPA | MPA | SPA | MPA | |
| 0 | 70.86 | 70.86 | 14.70 | 14.70 | 170.47 | 170.47 | 6.42 | 6.42 |
| 0.5 | 77.39 | 73.79 | 14.92 | 14.83 | 31.02 | 21.87 | 9.39 | 8.49 |
| 1.0 | 81.86 | 75.16 | 16.45 | 15.42 | 16.47 | 36.07 | 12.18 | 10.55 |
| 1.5 | 96.63 | 78.47 | 18.07 | 16.51 | 11.67 | 45.27 | 13.56 | 10.60 |
| 2.0 | 108.89 | 80.57 | 16.26 | 15.26 | 14.23 | 21.75 | 16.45 | 11.88 |
Disclaimer/Publisher’s Note: The statements, opinions and data contained in all publications are solely those of the individual author(s) and contributor(s) and not of MDPI and/or the editor(s). MDPI and/or the editor(s) disclaim responsibility for any injury to people or property resulting from any ideas, methods, instructions or products referred to in the content. |
© 2023 by the authors. Licensee MDPI, Basel, Switzerland. This article is an open access article distributed under the terms and conditions of the Creative Commons Attribution (CC BY) license (https://creativecommons.org/licenses/by/4.0/).
Share and Cite
Dong, Y.; Wang, P.; Ren, Z.; Liu, T.; Zhen, Z.; Lu, B.; Li, F.; Ji, J. Improved Strength and Heat Distortion Temperature of Emi-Aromatic Polyamide 10T-co-1012 (PA10T/1012)/GO Composites via In Situ Polymerization. Molecules 2023, 28, 1960. https://doi.org/10.3390/molecules28041960
Dong Y, Wang P, Ren Z, Liu T, Zhen Z, Lu B, Li F, Ji J. Improved Strength and Heat Distortion Temperature of Emi-Aromatic Polyamide 10T-co-1012 (PA10T/1012)/GO Composites via In Situ Polymerization. Molecules. 2023; 28(4):1960. https://doi.org/10.3390/molecules28041960
Chicago/Turabian StyleDong, Yanchao, Pingli Wang, Zhonglai Ren, Tianyuan Liu, Zhichao Zhen, Bo Lu, Fei Li, and Junhui Ji. 2023. "Improved Strength and Heat Distortion Temperature of Emi-Aromatic Polyamide 10T-co-1012 (PA10T/1012)/GO Composites via In Situ Polymerization" Molecules 28, no. 4: 1960. https://doi.org/10.3390/molecules28041960
APA StyleDong, Y., Wang, P., Ren, Z., Liu, T., Zhen, Z., Lu, B., Li, F., & Ji, J. (2023). Improved Strength and Heat Distortion Temperature of Emi-Aromatic Polyamide 10T-co-1012 (PA10T/1012)/GO Composites via In Situ Polymerization. Molecules, 28(4), 1960. https://doi.org/10.3390/molecules28041960
