Abstract
The aim of this study was to determine volatile compounds in red wines of Zweigelt and Rondo varieties using HS-SPME/GC-MS and to find a marker and/or a classification model for the assessment of varietal authenticity. The wines were produced by using five commercial yeast strains and two types of malolactic fermentation. Sixty-seven volatile compounds were tentatively identified in the test wines; they represented several classes: 9 acids, 24 alcohols, 2 aldehydes, 19 esters, 2 furan compounds, 2 ketones, 1 sulfur compound and 8 terpenes. 3,7-dimethyl-1,5,7-octatrien-3-ol (hotrienol) was found to be a variety marker for Zweigelt wines, since it was detected in all the Zweigelt wines, but was not present in the Rondo wines at all. The relative concentrations of volatiles were used as an input data set, divided into two subsets (training and testing), to the support vector machine (SVM) and k-nearest neighbor (kNN) algorithms. Both machine learning methods yielded models with the highest possible classification accuracy (100%) when the relative concentrations of all the test compounds or alcohols alone were used as input data. An evaluation of the importance value of subsets consisting of six volatile compounds with the highest potential to distinguish between the Zweigelt and Rondo varieties revealed that SVM and kNN yielded the best classification models (F-score of 1, accuracy of 100%) when 3-ethyl-4-methylpentan-1-ol or 3,7-dimethyl-1,5,7-octatrien-3-ol (hotrienol) or subsets containing one or both of them were used. Moreover, the best SVM model (F-score of 1) was built with a subset containing 2-phenylethyl acetate and 3-(methylsulfanyl)propan-1-ol.
1. Introduction
The wine sector is one of the most profitable agri-food industries [1,2,3]. The price of wine should reflect its quality, which is influenced by the grape variety, terroir, vintage, age and the style of wine. The wide price range creates opportunities for fraud aimed at achieving greater profit. The methods of detecting wine adulteration rely on determining deviations from the standard contents of natural components or demonstrating the presence of a foreign component (a marker). Both methods are commonly used in scientific research, but the latter is more accurate. Wine authentication is based on identity verification to ensure that the product is as declared on the label [1].
Varietal adulteration of wine is defined as the addition of must produced from grape varieties other than the labelled variety in illegal quantities [4]. It can be detected by volatile compound analysis. The volatile compounds determining the aroma of wine originate from grapes (varietal aromas) and are secondary products of fermentation processes (fermentation aromas) and aging (post-fermentation aromas) [5]. The compounds derived from grapes provide varietal differentiation. Some volatile compounds synthesized in grapes exist in volatile forms but mostly are non-volatile aroma precursors, which are released through biochemical and chemical reactions during fermentation and aging [3,6,7]. These compounds include monoterpenes, C13-norisoprenoids, C6-compounds, methoxypyrazines and mercaptans [6,8,9]. Forty important monoterpenes are found in grapes, including the following monoterpene alcohols and oxides: geraniol, linalool, citronellol, nerol, (E)-hotrienol and cis- or (Z)-rose oxide, which have floral aromas [6].
There are two approaches to the analysis of volatile compounds: targeted analysis and non-targeted analysis. Targeted analysis concerns selected compounds that are relevant to the given research problem, while non-targeted analysis aims to determine as many compounds as possible and creates patterns, which can be used to differentiate samples using statistical methods. The non-targeted approach is more appropriate for the study of potential markers of wine authenticity [10].
Non-targeted analysis of volatile compounds in combination with conventional statistical methods, such as principal component analysis (PCA), hierarchical component analysis (HCA) and linear discriminant analysis (LDA), has been employed for varietal differentiation of red wines [8,11,12,13,14]. Alternative data mining based on machine learning (ML) algorithms has a high potential for varietal authentication [15]. SVM [16] and directed acyclic graph (DAG) decision tree [17] have been applied to explore the volatiles’ fingerprints of red wines. In addition, the following machine learning methods have been used to analyze volatile compounds in white wines: SVM, random forest (RF), multilayer perceptron (MLP), kNN and naive Bayes (NB) [18]. Other examples of varietal authentication strategies include phenolic compounds/RF [19], total phenolic, flavonoid, anthocyanin and tannin content/artificial neural networks (ANN) [20], NMR spectra/RF [21], NIR spectra/radial basis function neural networks (RBFNN) and least-squares support vector machines (LS-SVM) [22], as well as fluorescence spectra/extreme gradient boosting discriminant analysis (XGBDA) [23].
The OIV regulates the rules for indicating the name of the grape variety (or varieties) on the wine label, but this information is optional [24]. The law lists the names of the varieties authorized for the production, labeling and presentation of wine [25] but does not provide the values of parameters and/or markers that could be used for the varietal authentication of wines. In Poland, there is an opportunity for making false declarations of grape variety, i.e., for designating a wine from the Rondo variety, which is one of the most commonly grown varieties of red grapes, as a wine from the Zweigelt variety, which is less commonly grown [26]. The aim of the present study was to determine volatile compounds in red wines of the Zweigelt and Rondo varieties using HS-SPME/GC-MS and to find a marker and/or a classification model for the assessment of their varietal authenticity regardless of yeast strain and type of malolactic fermentation (MLF).
2. Results and Discussion
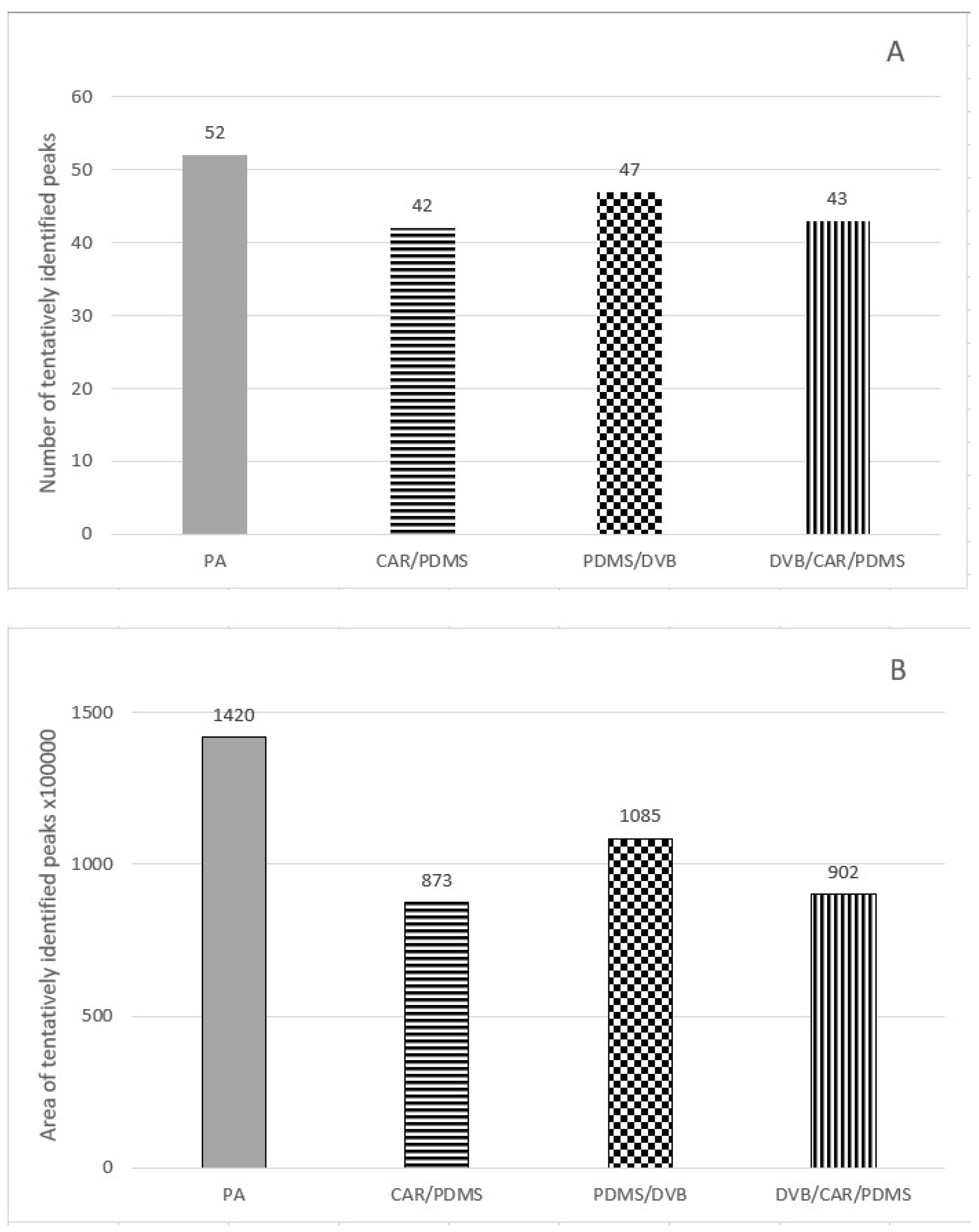
Initially, extractions were performed on four different fibers, polyacrylate (PA), carboxen-polydimethylosiloxane (CAR/PDMS), polydimethylosiloxane-divinylbenzene (PDMS/DVB) and divinylbenzene-carboxen-polydimethylosiloxane (DVB/CAR/PDMS), under the same, standard conditions in order to select the fiber that allowed the obtention of the highest number of tentatively identified chromatographic peaks. This is of particular importance when a marker of wine adulteration is sought. Standard extraction conditions for all the fibers were as follows: 3 mL of wine (undiluted) in a 7 mL vial, 0.9 g of NaCl, 50 μL of diluted HCl, 100 μL of internal standard, minimum stirring speed, incubation temperature 40 °C, incubation time 15 min, extraction temperature 40 °C and extraction time 30 min. Rondo wine (R2) was used for the fiber selection. Comparison of the extraction efficiency of volatile compounds from Rondo wine by HS-SPME using different fibers under standard extraction conditions is shown in Figure 1. The largest number of tentatively identified peaks were extracted on the PA fiber, and the area of these peaks was the largest among all the fibers. Thus, the optimization of the extraction conditions was performed on the PA fiber. Rondo wine (R2) was used for optimization. The following parameters were optimized: addition of NaCl (0.6 g; 1.2 g), wine dilution with water (2-fold dilution), addition of diluted HCl (no addition; 100 μL), stirring speed (between minimum and half range; half range), extraction temperature (30 °C; 50 °C) and extraction time (10 min; 20 min). In successive extractions, one parameter of standard extraction conditions was changed, leaving the other parameters unchanged. Comparison of the extraction efficiency of volatile compounds under different conditions is shown in Figure 2. Fifty-two tentatively identified compounds were extracted under standard conditions. The largest number of tentatively identified compounds (58) was extracted when wine was 2-fold diluted. Although the volatiles extracted without the addition of HCl had higher area value than those extracted with 2-fold dilution, we chose 2-fold dilution as optimal to extract as many compounds as possible. Thus, the optimal extraction conditions for PA fiber were as follows: 1.5 mL of wine and 1.5 mL of distilled water in a 7 mL vial (2-fold dilution), 50 μL of diluted HCl, 100 μL of internal standard, minimum stirring speed, incubation temperature 40 °C, incubation time 15 min, extraction temperature 40 °C and extraction time 30 min. In summation, the optimal conditions for PA fiber differed from the standard extraction conditions in that a 2-fold dilution of wine was used.
Figure 1.
Comparison of the extraction efficiency of volatile compounds from Rondo wine by HS-SPME using different fibers under standard extraction conditions. Wine volume—3 mL in a 7 mL vial (undiluted wine); addition of NaCl—0.9 g; addition of diluted HCl—50 μL; addition of internal standard—100 μL; stirring speed—minimum; temperature of sample incubation—40 °C; time of sample incubation—15 min; temperature of extraction—40 °C; time of extraction—30 min. The results are expressed as (A) number of tentatively identified peaks and (B) area of tentatively identified peaks.
Figure 2.
Comparison of the extraction efficiency of volatile compounds from Rondo wine (R2) by HS-SPME using a PA fiber under different conditions. The results are expressed as (A) number of tentatively identified peaks and (B) area of tentatively identified peaks.
Sixty-seven volatile compounds were tentatively identified in the Zweigelt and Rondo wines; they are presented in Table 1. These compounds represent several classes: acids (9 compounds), alcohols (24 compounds), aldehydes (2 compounds), esters (19 compounds), furan compounds (2 compounds), ketones (2 compounds), sulfur compounds (1 compound) and terpenes (8 compounds). The relative concentrations of volatile compounds in the wines produced from grapes of the Zweigelt and Rondo varieties are shown in Tables S1 and S2 in the Supplementary Material, respectively. Also, chromatograms of the volatile compounds of Zweigelt and Rondo wines are shown in Figures S1 and S2 in the Supplementary Material, respectively. To verify whether the tested wines differed in the proportions of aroma compound classes, the subtotal concentration of the particular classes and their percentage share in the total content of volatile compounds were calculated. The proportions of volatile compounds in Zweigelt and Rondo wines were similar. A majority of the aroma compounds were alcohols considering their number and the concentration of volatiles identified in the wines. The concentrations of alcohols were 67.28–80.10% of the total volatile compounds in Zweigelt wines and 67.12–87.78% in Rondo wines. Both Zweigelt and Rondo wines had average concentrations of esters and acids. The concentrations of esters ranged from 6.88% to 17.42% in Zweigelt wines, and from 5.25% to 18.03% in Rondo wines, and acids ranged from 6.69% to 12.73% and from 4.29% to 11.39%, respectively. The minor compounds were ketones, terpenes, aldehydes, sulfur compounds and furan compounds.
Table 1.
Volatile compounds identified in Zweigelt and Rondo wines.
The total concentration of volatile compounds tentatively identified in Zweigelt wines ranged from 1969.81 μg/L to 4260.79 μg/L (Table S1). The Z3 wine had the lowest concentration of volatile compounds—Z5 had the highest. The lowest subtotal concentration of alcohols was found in Z3 (1325.32 μg/L) and the highest in Z5 (3412.74 μg/L). The dominant alcohols in the Zweigelt wines were 3-methylbutan-1-ol, 2-phenylethanol and 2-methylpropan-1-ol. The subtotal concentration of esters ranged from 181.31 μg/L in Z4 to 472.89 μg/L in Z1LAB. This volatile fraction was mainly composed of ethyl 2-hydroxypropanoate, ethyl octanoate and diethyl butanedioate. We did not identify ethyl acetate, unlike Jurek [37]. The subtotal concentration of acids varied from 202.631 μg/L in Z3 to 358.72 μg/L in Z5, and the major acids were octanoic, hexanoic and acetic acid. Zweigelt wines contained between 62.25 μg/L and 139.32 μg/L of ketones in Z4LAB and Z1, respectively. Of the two ketones tentatively identified in those wines, 4-methyl-3-penten-2-one was the more abundant one. The subtotal concentration of terpenes ranged from 1.99 μg/L in Z1LAB to 55.05 μg/L in Z1. Among the tentatively identified terpenes, (E)-6,10-dimethyl-5,9-undecadien-2-one (geranylacetone) occurred at the highest relative concentrations, followed by (E)-1-(2,6,6-trimethyl-1,3-cyclohexadien-1-yl)-2-buten-1-one (β-damascenone) and 1,1,6-trimethyl-1,2-dihydronaphthalene (TDN). The subtotal concentration of aldehydes varied from 0.60 μg/L in Z2 to 15.26 μg/L in Z5. Benzaldehyde was the more abundant compound of the two detected aldehydes. The relative content of the only sulfur compound (3-(methylsulfanyl) propan-1-ol) tentatively identified in this present study ranged from 0.66 μg/L in Z2 LAB to 1.63 μg/L in Z1LAB. Finally, the relative concentrations of the two furan compounds varied from 0.37 μg/L in Z3 to 1.61 μg/L in Z4LAB.
The relative concentrations of total volatile compounds in the Rondo wines ranged from 1986.35 μg/L in R3LAB to 3846.62 μg/L in R5 (Table S2). The subtotal concentration ranged from 1333.15 to 3273.99 μg/L for alcohols, 147.90–527.25 μg/L for esters, 130.02–250.04 μg/L for acids, 45.79–106.65 μg/L for ketones, 1.21–56.21 μg/L for terpenes, 3.62–6.81 μg/L for aldehydes, 0.34–5.98 μg/L for furan compounds and 1.51–3.11 μg/L for the sulfur compound. The Rondo wines were characterized by a high relative contents of the alcohols 3-methylbutan-1-ol, 2-phenylethanol and 2-methylpropan-1-ol, the esters ethyl 2-hydroxypropanoate, ethyl octanoate and diethyl butanedioate, octanoic, acetic and hexanoic acids, the ketone 4-methyl-3-penten-2-one, the terpenes (E)-6,10-dimethyl-5,9-undecadien-2-one (geranylacetone) and (Z)-linalool oxide, as well as benzaldehyde and dihydrofuran-2(3H)-one. The main compounds in individual classes of volatiles were the same as in our previous papers [38,39,40] with the exception of octanoic acid. This compound was the main acid in the present study, while acetic acid was reported as the most abundant acid in our previous papers [38,40]. 3-(Methylsulfanyl) propan-1-ol was the only sulfur compound tentatively identified in this study, which is in agreement with our previous papers [38,40] and in contrast with work by Liu et al. [41], in which 2-methyldihydro-3(2H)-thiophenone was the only sulfur compound identified.
When comparing all the test wines produced from grapes of the Zweigelt and Rondo varieties, we found that some of the Zweigelt wines did not contain some of the compounds tentatively identified in all Rondo wines and vice versa. Some Zweigelt wines did not contain benzoic acid, octen-3-ol and benzaldehyde, while some Rondo wines did not contain 2-methylpropanoic acid, butan-1-ol, ethyl benzoate, ethyl 9-decenoate, (Z)-linalool oxide and 3,7-dimethyl-1,6-octadien-3-ol (β-linalool). One of the volatile compounds tentatively identified in this study—3,7-dimethyl-1,5,7-octatrien-3-ol (hotrienol)—was detected in all Zweigelt wines but was not present in the Rondo wines at all. This means that hotrienol can be used as a marker for Zweigelt wines. Hotrienol belongs to the class of terpenes. Jurek [38] identified this terpene as well as several other terpenes, such as linalool, α-terpineol, citronellol, vitispiran and TDN, in Zweigelt wines.
Wines produced from the same grape variety, Zweigelt or Rondo (Z1–Z5 or R1–R5), in which AF was carried out by different commercial yeast strains and MLF was spontaneous, differed in the relative concentrations of individual volatile compounds. Furthermore, among Z1–Z5 wines, only Z1 contained (E)-6,10-dimethyl-5,9-undecadien-2-one (geranylacetone) and among R1–R5 wines, only R2 contained (Z)-linalool oxide. Thus, the yeast strain influenced the content of these compounds. Similarly, Gammacurta et al. [42] showed that the concentrations of esters in Cabernet Sauvignon wines from the Bordeaux region depended on the commercial strain of S. cerevisiae used. Moreover, Liu et al. [43] found that volatile compounds levels, including terpene levels, were contingent on yeast strains. The different levels of terpenes may have been a product of the activity of β-glucosidase secreted by yeast and releasing monoterpene alcohol from the bound terpenoid precursor. However, several terpenoids can also be synthesized by S. cerevisiae by the de novo pathway. Additionally, the production of terpene alcohols was related to other reactions, such as chemical isomerization, hydration or reduction, conducted by wine yeasts [44].
In the case of Zweigelt wines subjected to different types of MLF, i.e., spontaneous MLF (Z1–Z5) or induced MLF (Z1 LAB–Z5 LAB), the relative contents of 2-phenylethyl acetate and dihydrofuran-2(3H)-one (butyrolactone) were lower in the former compared to the latter wines. On the other hand, the relative contents of diethyl-2-hydroxybutanedioate and methyl hexadecanoate were higher in the Z1–Z5 wines compared to the Z1LAB–Z5LAB wines. As for Rondo wines subjected to spontaneous MLF (R1–R5) and induced MLF (R1 LAB–R5 LAB), the relative contents of ethyl 2-hydroxypropanoate (ethyl lactate), 2-methylpropyl 2-hydroxypropanoate (isobutyl lactate), 3-methylbutyl 2-hydroxypropanoate (isoamyl lactate), 2-phenylethyl acetate and dihydrofuran-2(3H)-one were lower in the former compared to the latter wines. However, the contents of ethyl benzoate, ethyl hexadecanoate and (E)-1-(2,6,6-trimethyl-1,3-cyclohexadien-1-yl)-2-buten-1-one (β-damascenone) were higher in R1–R5 than in R1LAB–5LAB. Wines R1–R5 contained diethyl-2-hydroxybutanedioate (diethyl malate), while R1LAB–5LAB did not contain this compound. Our results regarding the relative content of ethyl lactate in wines subjected to different types of MLF are in agreement with the results of Abrahamse and Bartowsky [45], Costello et al. [46], Lasik-Kurdyś et al. [47], Malherbe et al. [48] and our previous research [38]. All these authors state that ethyl lactate is a characteristic volatile product of MLF. Also, the results of the analysis of butyrolactone and 2-phenylethyl acetate conducted in this present study are similar to our previous findings [38]. In contrast to our study, Abrahamse and Bartowsky [45] reported that the concentration of 2-phenylethyl acetate was higher in wine subjected to spontaneous MLF compared to induced MLF. On the other hand, Costello et al. [46], Lasik-Kurdyś et al. [47] and Malherbe et al. [48] found that the type of MLF had no significant effect on the content of 2-phenylethyl acetate.
In our study, PCA was used for preliminary data analysis to visualize the potential grouping of samples. PCA is based on a linear transformation of data into a set of new orthogonal variables called principal components [10,16,21,49]. The PCA for all the compounds revealed that, according to the Kaiser–Guttman criterion, the first 14 principal components had eigenvalues greater than 1 and this explained 85.85% of the total variance. Analyzing the location of the points representing the data on the plane formed by the first two principal components, we found that grape variety may be a factor differentiating the wines (Figure 3). However, the two principal components explained only 39.59% of the variance. A PCA run for alcohols showed that the first 6 principal components had eigenvalues greater than 1 and explained 77.33% of the total variance. An analysis of the wines on a plane spanning the first two principal components indicated that the wines formed two varietal groups (Figure 4). The first two principal components explained 53.15% of the total variance. PCA for the other classes of volatile compounds, acids, esters, terpenes and others (aldehydes, furan compounds, ketones and the sulfur compound), did not indicate that the wines could be grouped by variety.
Figure 3.
Score plot on the PCA plane defined by the first two principal components for all volatile compounds found in the wine samples. Z1–Z5—Zweigelt wines in which AF was induced using various yeast strains and MLF was spontaneous. Z1 LAB–Z5 LAB—Zweigelt wines in which AF was induced using various yeast strains (the same strains as in Z1–Z5 wines) and MLF was carried out by inoculation with lactic acid bacteria. R1–R5—Rondo wines in which AF was induced using various yeast strains and MLF was spontaneous. R1 LAB–R5 LAB—Rondo wines in which AF was induced using various yeast strains (the same strains as in R1–R5 wines) and MLF was carried out by inoculation with lactic acid bacteria.
Figure 4.
Score plot on the PCA plane defined by the first two principal components for alcohols found in the wine samples. Z1–Z5—Zweigelt wines in which AF was induced using various yeast strains and MLF was spontaneous. Z1 LAB–Z5 LAB—Zweigelt wines in which AF was induced using various yeast strains (the same strains as in Z1–Z5 wines) and MLF was carried out by inoculation with lactic acid bacteria. R1–R5—Rondo wines in which AF was induced using various yeast strains and MLF was spontaneous. R1 LAB–R5 LAB—Rondo wines in which AF was induced using various yeast strains (the same strains as in R1–R5 wines) and MLF was carried out by inoculation with lactic acid bacteria.
Although PCA allowed us to separate the two grape varieties for wine production in the case of all the investigated compounds and alcohols, the first two principal components failed to explain the variance sufficiently. Therefore, alternative data treatment methods, SVM and kNN, were used. The advantage of using these machine learning techniques is that they do not require any assumptions to be made about data distribution or homogeneity of variances [49,50].
SVM is a supervised technique whose aim is to find a hyperplane in a p-dimensional space (p is the number of variables) to separate classes of data [49,50]. The major advantage of SVM is that the learning capacity is good enough even if there are many features. To separate two classes of data, several possible hyperplanes could be chosen [15]. In this study, we implemented SVM using a radial basis function (RBF) kernel. Table 2 shows the classification accuracy of SVM depending on the relative content of the investigated volatile compounds in the test set and by variety. Using SVM for all the test compounds or separately for alcohols only, we obtained models with the highest possible classification accuracy (100%). When acids alone were considered, it was possible to classify the wines in the test set at an accuracy of 93.33%, with Rondo wines classified at 87.5% accuracy and Zweigelt wines classified at 100% accuracy. When terpenes only were taken into account, the classification accuracy was 93.33% in the test set; Rondo wines were classified at 100% accuracy and Zweigelt wines at 83.3% accuracy. The weakest classification accuracy (86.67%) was achieved for wines using models built on the basis of the seven compounds from the ‘others’ group and esters. Overall, SVM provided a more accurate classification of the Zweigelt wines than of the Rondo wines. The wines of the Zweigelt variety were classified at 100% accuracy by analyzing the relative content of all compounds, acids alone, alcohols alone and esters alone. A 100% classification accuracy for the Rondo wines was achieved when we analyzed all compounds, alcohols alone and terpenes alone.
Table 2.
Classification accuracy of SVM method in the test set and in the subsets of Rondo and Zweigelt wines (%).
kNN is a supervised machine learning technique mainly used for classification problems. This technique consists in classifying a data point by analyzing the nearest data points. The advantage of kNN is that the use of the same or a very similar number of samples for the analyzed classes results in a reliable classification [15]. In this study, kNN was implemented with a Euclidean distance measure between data points. Table 3 presents the classification accuracy of KNN in the test set and by variety with the optimal number of k nearest neighbors. When all the test compounds or alcohols alone were considered, kNN allowed the obtention of models with the highest possible classification accuracy (100%). When esters only were taken into account, the classification accuracy was 93.33% in the test set, with wines of the Rondo variety classified at 100% accuracy and the Zweigelt wines at 88.89% accuracy. For terpenes, the classification accuracy was 93.33% in the test set; Rondo and Zweigelt wines were classified at 90% and 100% accuracy, respectively. Again, the model obtained on the basis of the compounds belonging to the ‘others’ group provided the weakest classification accuracy (80%). Similarly to SVM, kNN provided a more accurate classification of the Zweigelt wines than of the Rondo wines. The Zweigelt wines were classified 100% correctly when the relative contents of all compounds, alcohols only, terpenes only and others only were analyzed; 100% correct classification of Rondo wines was achieved when we considered all the compounds, or alcohols only or esters only.
Table 3.
Classification accuracy of kNN method in the test set and in the subsets of Rondo and Zweigelt wines (%).
In this study, the relative concentrations of all volatile compounds or alcohols alone were used as an input data set for the successful varietal authentication of Polish wines by SVM and kNN. In the past, Gómez-Meire et al. [18] investigated the suitability of applying a semi-quantitative analysis of volatiles and different machine learning techniques, such as SVM, RF, MLP, kNN and NB, for the classification of Spanish wines from four autochthonous white grape varieties (Albariño, Treixadura, Loureira and Dona Branca). The authors obtained perfect classification by the RF algorithm using all the volatiles determined in the wines, while the other techniques yielded promising results using only some classes of volatile compounds. Moreover, some authors had used modeling of GC-MS fingerprints. Majchrzak et al. [16] applied SVM to classify white and red wines according to the variety and obtained an accuracy of 98.7 and 98.2%, respectively. On the other hand, Springer [17] used a decision tree for the authentication of similar grape varieties for wine production and achieved 85–98% correct classification of external samples.
According to Costa et al. [51], the variable selection method allows to reduce computation time, improve prediction and better understand the data in machine learning methods. It is possible to simplify the classification model by eliminating redundant or irrelevant variables from the data set. A nonparametric Mann–Whitney test was used to verify whether the wines made from Zweigelt and Rondo varieties differed in the content of the studied compounds. Based on the results, the number of variables was reduced to 37. In the next step, in order to further reduce the number of variables, after analyzing the p-value (p-value < 0.0000001 in the Mann–Whitney test, Table S3 in the Supplementary Materials), descriptive statistics (mean, maximum, minimum and variance) of the tested compounds and the values of factor loadings in the PCA analysis (variables with the highest factor loadings given by PCA for the first two principal components, Figure S3 in the Supplementary Materials), six of the compounds with the highest potential to distinguish between Zweigelt and Rondo wines were selected: 3-ethyl-4-methylpentan-1-ol, octen-3-ol, butane-2,3-diol, 2-phenylethyl acetate, 3,7-dimethyl-1,5,7-octatrien-3-ol (hotrienol) and 3-(methylsulfanyl)propan-1-ol. Then, one-, two-, three-, four-, and five-variable subsets of the selected compounds were constructed. SVM and kNN were applied to the subsets as well as to the entire set of the selected compounds. The importance value of these subsets was evaluated on the basis of the F-score. It was revealed that SVM and kNN methods yielded the best classification models (F-score of 1 and accuracy of 100%) when 3-ethyl-4-methylpentan-1-ol or 3,7-dimethyl-1,5,7-octatrien-3-ol (hotrienol) or subsets containing one or both of them were taken into account. This was due to two facts. Firstly, Zweigelt wines were characterized by a much higher relative content of 3-ethyl-4-methylpentan-1-ol, an average of 1.21 μg/L (min = 0.67, max = 1.96), than Rondo wines, which on average contained 0.18 μg/L (min = 0, max = 0.39) of this compound, and secondly, 3,7-dimethyl-1,5,7-octatrien-3-ol (hotrienol) was not present in the Rondo wines at all but was detected in all samples of the Zweigelt wine at an average concentration of 0.60 μg/L (min = 0.27, max = 1.31). The accuracy of classification and F-score values are shown in Table 4 and Figure 5, respectively. The subsets of two or more variables containing 3-ethyl-4-methylpentan-1-ol or 3,7-dimethyl-1,5,7-octatrien-3-ol (hotrienol) were omitted to simplify the presentation. Moreover, the best model (F-score of 1) was built with subset T6 containing 2-phenylethyl acetate and 3-(methylsulfanyl)propan-1-ol for SVM because Zweigelt and Rondo wines differed in the relative concentrations of these compounds. The average concentration of 2-phenylethyl acetate in Zweigelt wines was 1.12 μg/L (min = 0, max = 4.37) while in Rondo wines it was 4.71 μg/L (min = 0, max = 12.38). In turn, the average concentration of 3-(methylsulfanyl)propan-1-ol in Zweigelt wines was 1.11 μg/L (min = 0.54, max = 1.70) and in Rondo wines was 2.20 μg/L (min = 1.08, max = 3.89). The worst models (F-score of 0.75) were built with subsets O1 and T2 (accuracy of 73.33%) using SVM. The worst kNN model (F-score equal 0.36) was obtained for 2-phenylethyl acetate (accuracy of 53.33%).
Table 4.
Subsets formed from selected compounds.
Figure 5.
F-score ranking of importance of subsets formed from selected compounds obtained with the use of SVM and kNN methods (see Table 4 for notations).
3. Materials and Methods
3.1. Winemaking Process and Wine Samples
The details of the winemaking process are presented in our previous article [26]. The grapes of the Zweigelt and Rondo varieties originated from ‘Małe Dobre’ and ‘Dom Bliskowice’ vineyards, respectively. The vineyards are located in the Lublin Province, Poland. The parameters of grape musts used for fermentation were as follows: Zweigelt must—extract value 22 Blg, pH 3.31, total acidity as tartaric acid 6 g/L; Rondo must—extract value 20 Blg, pH 3.61, total acidity as tartaric acid 6.45 g/L. Alcoholic fermentation (AF) was performed using five commercial yeast strains: four Saccharomyces cerevisiae (SafOEno TM SC 22, Essentiale Grand Cru (Lesaffre, France), Siha Active Yeast 8 and Siha Rubino Cru (Eaton, Tinton Falls, NJ, USA)) and one S. cerevisiae x S. bayanus (SafOEno TM HD S62 (Lesaffre, France)) for both Zweigelt and Rondo wines. One part of the wines was left to undergo spontaneous MLF without inoculation with lactic acid bacteria (LAB), and the remaining parts were subjected to MLF by inoculation with the LAB Oenococcus oeni—Viniflora Oenos (Eaton, Tinton Falls, NJ, USA). O. oeni starter culture was added after the completion of AF (sequential inoculation) to the part of wines in which MLF was induced. The winemaking process was performed in duplicate. The parameters of the final wines, such as individual sugars, acids, pH and total acidity, are presented in the supplementary material to our previous article [26]. Table 5 presents a description of wines. Twenty different wines were produced from October 2017 to April 2018 and analyzed in April 2019. Three bottles of each wine were taken for analysis (60 samples in total).
Table 5.
Description of wine samples.
3.2. Chemicals
Sodium chloride and hydrochloric acid were obtained from POCh (Gliwice, Poland). Sodium chloride was oven dried at 200 °C overnight. Hydrochloric acid (37%) was dissolved in water at a concentration of 78 g/L. 4-Hydroxy-4-methyl-2-pentanone (the internal standard) was purchased from Sigma-Aldrich (Saint Louis, MO, USA) and prepared in water at a concentration of 7 mg/L. A mixture of n-alkanes (C7–C30) for the calculations of linear temperature programmed retention indices (LTPRI) was supplied by Supelco (Bellefonte, PA, USA). All chemicals were of an analytical grade.
3.3. SPME-GC/MS
3.3.1. HS-SPME
A fiber for the extraction of wines was selected from the following fibers: PA, CAR/PDMS, PDMS/DVB and DVB/CAR/PDMS (Supelco, Bellefonte PA, USA). The fibers were preconditioned according to the manufacturer’s instructions. Standard extraction conditions for all the fibers were as follows: in a glass vial of 7 mL, 0.9 g of NaCl, 3 mL of wine (undiluted), 50 μL of diluted HCl, 100 μL of 4-hydroxy-4-methyl-2-pentanone (as an internal standard) and a magnetic stirring bar was placed. Rondo wine (R2) was used for the fiber selection. The vial was tightly capped with a polytetrafluoroethylene (PTFE)-silicone septum (Supelco, Bellefonte, PA, USA), on which a screw cap with a hole was placed. The vial was placed on an MS7-H550-S hotplate magnetic stirrer (DLAB Scientific Co., Beijing, China) in a block to ensure uniform heat distribution. Each wine sample was incubated at 40 °C for 15 min under continuous stirring at a minimum speed prior to extraction. Then, the fibers were exposed to the headspace (HS) at 40 °C for 30 min under continuous stirring. After extraction, the fiber was removed from the vial and thermally desorbed in the GC injection port for 2 min at 220 °C in split-less mode. Prior to each analysis, the fiber was cleaned by inserting into the auxiliary GC injection port at 280 °C for 5 min.
SPME conditions were optimized on PA fiber. Rondo wine (R2) was used for optimization. The following parameters were optimized: addition of NaCl (0.6 g; 1.2 g), wine dilution with water (2-fold dilution), addition of diluted HCl (no addition; 100 μL), stirring speed (between minimum and half range; half range), extraction temperature (30 °C; 50 °C) and extraction time (10 min; 20 min). In successive extractions, one parameter of standard extraction conditions was changed, leaving the other parameters unchanged. The optimal extraction conditions for PA fiber were as follows: 0.9 g of NaCl, 1.5 mL of wine, 1.5 mL of distilled water, 50 μL of diluted HCl, 100 μL of 4-hydroxy-4-methyl-2-pentanone, incubation at 40 °C for 15 min under continuous stirring at a minimum speed prior to extraction and exposition to the headspace (HS) at 40 °C for 30 min under continuous stirring. All wines were extracted under optimal conditions.
3.3.2. GC/MS
The wines were analyzed in triplicate using a GCMS-QP2010 gas chromatograph coupled to a quadrupole mass spectrometer (Shimadzu, Kyoto, Japan). The chromatographic technique was presented in our previous publication [38]. Chromatographic separations were carried out using a VF-WAXms capillary column with the following characteristics: 60 m, 0.25 mm ID × 0.25 μm film thickness and 100% polyethylene glycol (Agilent, Santa Clara, CA, USA). The carrier gas was helium at a flow rate of 1.8 mL/min. The column oven temperature program was as follows: initial temperature 34 °C for 5 min, 34–100 °C at a rate of 3 °C/min and held for 6 min and 100–220 °C at a rate of 5 °C/min and held for 15 min. The total run time was 72 min. An electron ionization source was used with a source temperature of 200 °C and an electron energy of 70 eV. Mass spectral data were collected over the range of m/z 30–300 in the full scan mode (scan time 0.4 s). Data were acquired using GCMSsolution software version 2. Volatile compounds were tentatively identified on the basis of their mass spectra and experimental LTPRI. Mass spectrometric information of each chromatographic peak was compared to the NIST 05 mass spectral library, considering a minimum similarity value of 80%. A mixture of n-alkanes (C7–C30) diluted in hexane (Supelco, Bellefonte, PA, USA) was loaded onto the SPME fiber and injected under the temperature program mentioned earlier in this subsection to calculate experimental LTPRI of each extracted compound. Experimental LTPRIs were compared to the retention indices reported in the literature for similar chromatographic columns. Semi-quantitative data of the aroma compounds were calculated by dividing the peak area of a compound with the peak area of the internal standard and multiplying the result with the concentration of the internal standard (233.33 µg/L). The concentrations of the volatiles were expressed as μg/L.
3.4. Statistical Analysis
The data were analyzed statistically using the Statistica 13.3 software package (Statsoft, Krakow, Poland) and open-source software Python 3.7, library: Scikit-learn. All the test compounds were analyzed and divided into groups: acids, alcohols, esters, terpenes and others (the group “others” included aldehydes, furan compounds, ketones and sulfur compound). PCA was used for preliminary data analysis to visualize the potential grouping of samples. In PCA, significant principal components were selected based on the Kaiser–Guttman criterion (principal components whose eigenvalues were greater than 1 were chosen). The SVM and kNN machine learning techniques were used for data classification. SVM using a radial basis function (RBF) kernel and kNN with a Euclidean distance measure between data points were implemented. The dataset was not particularly large, so the models in both SVN and kNN were firstly verified by 10-fold cross-validation. Next, the data set was randomly divided into two subsets, training and testing, which contained 75% and 25% of observations, respectively. SVM and kNN techniques were applied. An RBF kernel in the SVM method has two parameters, which must be tuned to achieve a good performance. A grid search of these parameters for the kernel was performed using GridSearchCV function in Python. Then, the F-score was used to generate a ranking of importance for subsets formed from the selected variables. The methodology used in the study is summarized in Figure 6.
Figure 6.
Methodology used for the analysis of Zweigelt and Rondo wines.
4. Conclusions
In this paper, we found that the compound 3,7-dimethyl-1,5,7-octatrien-3-ol (hotrienol) could be used as a variety marker to distinguish Zweigelt wines from Rondo wines as it does not occur in the latter. Furthermore, we proposed classification models of red wines produced from two grape varieties, i.e., Zweigelt and Rondo, for the assessment of varietal authenticity. For the first time, the relative concentrations of volatile compounds were used for the varietal authentication of wines produced in Poland.
PCA allowed us to separate Zweigelt and Rondo wines in the case of all the test compounds and alcohols, but the first two principal components failed to explain the variance sufficiently. Wines were classified according to grape variety at 100% accuracy by the machine learning methods SVM and kNN, although wines from the same grape variety had different relative concentrations of the individual volatile compounds because they were produced using different yeast strains and types of malolactic fermentation. Application of the variable selection method simplified the classification model. The most important variables were 3-ethyl-4-methylpentan-1-ol and 3,7-dimethyl-1,5,7-octatrien-3-ol (hotrienol) for SVM and kNN as well as 2-phenylethyl acetate and 3-(methylsulfanyl)propan-1-ol for SVM.
The state-of-the-art approach to varietal authentication presented in this paper can be applied in the control of wine quality. The classification models may be expanded to include wines from other grape varieties differing in production methods. The relative concentrations of volatile compounds in the Zweigelt and Rondo wines can be used to create databases of authentic wines. Further research on Zweigelt and Rondo wines produced in different vineyards located in different geographical regions of Poland is needed to show whether the wines can be classified independently of the region of origin.
Supplementary Materials
The following supporting information can be downloaded at: https://www.mdpi.com/article/10.3390/molecules28041961/s1, Table S1: Relative concentrations of volatile compounds in Zweigelt wines (μg/L); Table S2: Relative concentrations of volatile compounds in Rondo wines (μg/L); Figure S1: GC/MS chromatogram of volatile compounds of Zweigelt wine (see Table 1 for compound names); Figure S2: GC/MS chromatogram of volatile compounds of Rondo wine (see Table 1 for compound names); Table S3: p-values obtained by the Mann-Whitney test when comparing Zweigelt and Rondo wines; Figure S3: Projection of variables on the PCA plane defined by the first two principal components (numbers 1–67 stand for volatile compounds; see Table 1 for their names).
Author Contributions
Conceptualization, A.S.; methodology, A.S., T.C. and D.D.; software, D.D.; validation, A.S., T.C. and D.D.; formal analysis, A.S., T.C. and D.D.; investigation, A.S., T.C. and D.D.; resources, A.S., T.C. and D.D.; data curation, A.S., T.C. and D.D.; writing—review and editing, A.S. and D.D.; visualization, A.S., T.C. and D.D.; supervision, A.S. All authors have read and agreed to the published version of the manuscript.
Funding
This research received no external funding.
Institutional Review Board Statement
Not applicable.
Informed Consent Statement
Not applicable.
Data Availability Statement
Not applicable.
Conflicts of Interest
The authors declare no conflict of interest.
References
- Alañón, M.E.; Pérez-Coello, M.S.; Marina, M.L. Wine science in the metabolomics era. TrAC Trends Anal. Chem. 2015, 74, 1–20. [Google Scholar] [CrossRef]
- Pereira, L.; Gomes, S.; Barrias, S.; Gomes, E.P.; Baleiras-Couto, M.; Fernandes, J.R.; Martins-Lopes, P. From the Field to the Bottle—An Integrated Strategy for Wine Authenticity. Beverages 2018, 4, 71. [Google Scholar] [CrossRef]
- Villano, C.; Lisanti, M.T.; Gambuti, A.; Vecchio, R.; Moio, L.; Frusciante, L.; Aversano, R.; Carputo, D. Wine varietal authentication based on phenolics, volatiles and DNA markers: State of the art, perspectives and drawbacks. Food Control 2017, 80, 1–10. [Google Scholar] [CrossRef]
- Cosme, F.; Milheiro, J.; Pires, J.; Guerra-Gomes, F.I.; Filipe-Ribeiro, L.; Nunes, F.M. Authentication of Douro DO monovarietal red wines based on anthocyanin profile: Comparison of partial least squares–discriminant analysis, decision trees and artificial neural networks. Food Control 2021, 125, 107979. [Google Scholar] [CrossRef]
- Callejon, R.M.; Clavijo, A.; Ortigueira, P.; Troncoso, A.M.; Paneque, P.; Morales, M.L. Volatile and sensory profile of organic red wines produced by different selected autochthonous and commercial Saccharomyces cerevisiae strains. Anal. Chim. Acta 2010, 660, 68–75. [Google Scholar] [CrossRef] [PubMed]
- Darriet, P.; Thibon, C.; Dubourdieu, D. Aroma and aroma precursors in grape berry. In The Biochemistry of the Grape Berry; Gerós, H., Chaves, M.M., Serge Delrot, Eds.; Bentham Science Publishers: Sharjah, United Arab Emirates, 2012; pp. 111–136. [Google Scholar]
- Swiegers, J.H.; Bartowsky, E.J.; Henschke, P.A.; Pretorius, I. Yeast and bacterial modulation of wine aroma and flavour. Aust. J. Grape Wine Res. 2005, 11, 139–173. [Google Scholar] [CrossRef]
- Karimali, D.; Kosma, I.; Badeka, A. Varietal classification of red wine samples from four native Greek grape varieties based on volatile compound analysis, color parameters and phenolic composition. Eur. Food Res. Technol. 2020, 246, 41–53. [Google Scholar] [CrossRef]
- Robinson, A.L.; Boss, P.K.; Solomon, P.S.; Trengove, R.D.; Heymann, H.; Ebeler, S.E. Origins of grape and wine aroma. Part 1. Chemical components and viticultural impacts. Am. J. Enol. Vitic. 2014, 65, 1–24. [Google Scholar] [CrossRef]
- Li, S.; Blackman, J.W.; Schmidtke, L.M. Exploring the regional typicality of Australian Shiraz wines using untargeted metabolomics. Aust. J. Grape Wine Res. 2021, 27, 378–391. [Google Scholar] [CrossRef]
- Karabagias, I.K.; Karabagias, V.K.; Badeka, A.V. Volatilome of white wines as an indicator of authenticity and adulteration control using statistical analysis. Aust. J. Grape Wine Res. 2021, 27, 269–279. [Google Scholar] [CrossRef]
- Perestrelo, R.; Barros, A.S.; Rocha, S.M.; Câmara, J.S. Establishment of the varietal profile of Vitis vinifera L. grape varieties from different geographical regions based on HS-SPME/GC–qMS combined with chemometric tools. Microchem. J. 2014, 116, 107–117. [Google Scholar] [CrossRef]
- Welke, J.E.; Manfroi, V.; Zanus, M.; Lazzarotto, M.; Zini, C.A. Differentiation of wines according to grape variety using multivariate analysis of comprehensive two-dimensional gas chromatography with time-of-flight mass spectrometric detection data. Food Chem. 2013, 141, 3897–3905. [Google Scholar] [CrossRef] [PubMed]
- Ziółkowska, A.; Wąsowicz, E.; Jeleń, H.H. Differentiation of wines according to grape variety and geographical origin based on volatiles profiling using SPME-MS and SPME-GC/MS methods. Food Chem. 2016, 213, 714–720. [Google Scholar] [CrossRef]
- Jiménez-Carvelo, A.M.; González-Casado, A.; Bagur-González, M.G.; Cuadros-Rodríguez, L. Alternative data mining/machine learning methods for the analytical evaluation of food quality and authenticity–A review. Food Res. Int. 2019, 122, 25–39. [Google Scholar] [CrossRef] [PubMed]
- Majchrzak, T.; Wojnowski, W.; Płotka-Wasylka, J. Classification of Polish wines by application of ultra-fast gas chromatography. Eur. Food Res. Technol. 2018, 244, 1463–1471. [Google Scholar] [CrossRef]
- Springer, A.E. Wine authentication: A fingerprinting multiclass strategy to classify red varietals through profound chemometric analysis of volatiles. Eur. Food Res. Technol. 2019, 245, 179–190. [Google Scholar] [CrossRef]
- Gómez-Meire, S.; Campos, C.; Falqué, E.; Díaz, F.; Fdez-Riverola, F. Assuring the authenticity of northwest Spain white wine varieties using machine learning techniques. Food Res. Int. 2014, 60, 230–240. [Google Scholar] [CrossRef]
- Tzachristas, A.; Dasenaki, M.; Aalizadeh, R.; Thomaidis, N.S.; Proestos, C. LC-MS based metabolomics for the authentication of selected Greek white wines. Microchem. J. 2021, 169, 106543. [Google Scholar] [CrossRef]
- Hosu, A.; Cristea, V.M.; Cimpoiu, C. Analysis of total phenolic, flavonoids, anthocyanins and tannins content in Romanian red wines: Prediction of antioxidant activities and classification of wines using artificial neural networks. Food Chem. 2014, 150, 113–118. [Google Scholar] [CrossRef] [PubMed]
- Mascellani, A.; Hoca, G.; Babisz, M.; Krska, P.; Kloucek, P.; Havlik, J. 1H NMR chemometric models for classification of Czech wine type and variety. Food Chem. 2021, 339, 127852. [Google Scholar] [CrossRef] [PubMed]
- Yu, J.; Zhan, J.; Huang, W. Identification of wine according to grape variety using near-infrared spectroscopy based on radial basis function neural networks and least-squares support vector machines. Food Anal. Methods 2017, 10, 3306–3311. [Google Scholar] [CrossRef]
- Ranaweera, R.K.; Gilmore, A.M.; Capone, D.L.; Bastian, S.E.; Jeffery, D.W. Spectrofluorometric analysis combined with machine learning for geographical and varietal authentication, and prediction of phenolic compound concentrations in red wine. Food Chem. 2021, 361, 130149. [Google Scholar] [CrossRef] [PubMed]
- International Standard for the Labelling of Wines. Available online: https://www.oiv.int/public/medias/8175/en-oiv-wine-labelling-standard-2022.pdf (accessed on 12 January 2023).
- European Union Wine Lists. Wine Grape Varieties Authorized for Production and for Labelling and Presentation in the Wine Sector, in Application of Article 81 and Article 120(2)(b) of Regulation (EU) No 1308/2013 (Article 50(1)(g) and 51(2) of R. (EU) 2018/273) Listed by Member State. Available online: https://agriculture.ec.europa.eu/system/files/2019-11/win-list-08b-grape-varieties-by-country_en_0.pdf (accessed on 12 January 2023).
- Stój, A.; Kapusta, I.; Domagała, D. Classification of red wines produced from Zweigelt and Rondo grape varieties based on the analysis of phenolic compounds by UPLC-PDA-MS/MS. Molecules 2020, 25, 1342. [Google Scholar] [CrossRef] [PubMed]
- Welke, J.E.; Manfroi, V.; Zanus, M.; Lazzarotto, M.; Zini, C.A. Characterization of the volatile profile of Brazilian Merlot wines through comprehensive two dimensional gas chromatography time-of-flight mass spectrometric detection. J. Chromatogr. A 2012, 1226, 124–139. [Google Scholar] [CrossRef]
- Mallouchos, A.; Loukatos, P.; Bekatorou, A.; Koutinas, A.; Komaitis, M. Ambient and low temperature winemaking by immobilized cells on brewer’s spent grains: Effect on volatile composition. Food Chem. 2007, 104, 918–927. [Google Scholar] [CrossRef]
- Babushok, V.I.; Linstrom, P.J.; Zenkevich, I.G. Retention indices for frequently reported compounds of plant essential oils. J. Phys. Chem. Ref. Data 2011, 40, 043101. [Google Scholar] [CrossRef]
- Pereira, V.; Cacho, J.; Marques, J.C. Volatile profile of Madeira wines submitted to traditional accelerated ageing. Food Chem. 2014, 162, 122–134. [Google Scholar] [CrossRef] [PubMed]
- García-Carpintero, E.G.; Gallego, M.G.; Sánchez-Palomo, E.; Viñas, M.G. Impact of alternative technique to ageing using oak chips in alcoholic or in malolactic fermentation on volatile and sensory composition of red wines. Food Chem. 2012, 134, 851–863. [Google Scholar] [CrossRef] [PubMed]
- Duarte, W.F.; Dias, D.R.; Oliveira, J.M.; Teixeira, J.A.; De Almeida e Silva, J.B.; Schwan, R.F. Characterization of different fruit wines made from cacao, cupuassu, gabiroba, jaboticaba and umbu. LWT-Food Sci. Technol. 2010, 43, 1564–1572. [Google Scholar] [CrossRef]
- Song, S.; Tanga, Q.; Hayat, K.; Karangwa, E.; Zhang, X.; Xiao, Z. Effect of enzymatic hydrolysis with subsequent mild thermal oxidation of tallow on precursor formation and sensory profiles of beef flavours assessed by partial least squares regression. Meat Sci. 2014, 96, 1191–1200. [Google Scholar] [CrossRef]
- King, E.S.; Stoumen, M.; Buscema, F.; Hjelmeland, A.K.; Ebeler, S.E.; Heymann, H.; Boulton, R.B. Regional sensory and chemical characteristics of Malbec wines from Mendoza and California. Food Chem. 2014, 143, 256–267. [Google Scholar] [CrossRef]
- Mendes, B.; Gonçalves, J.; Câmara, J.S. Effectiveness of high-throughput miniaturized sorbent- and solid phase microextraction techniques combined with gas chromatography-mass spectrometry analysis for a rapid screening of volatile and semi-volatile composition of wines—A comparative study. Talanta 2012, 88, 79–94. [Google Scholar] [CrossRef] [PubMed]
- Jørgensen, U.; Hansen, M.; Christensen, L.P.; Jensen, K.; Kaack, K. Olfactory and quantitative analysis of aroma compounds in elder flower (Sambucus nigra L.) drink processed from five cultivars. J. Agric. Food Chem. 2000, 48, 2376–2383. [Google Scholar] [CrossRef] [PubMed]
- Jurek, K. Der Einfluss der Vinifikation auf das Aroma der Rotweinsorten Blaufränkisch und Zweigelt. Master’s Thesis, Technischen Universität Graz, Graz, Austria, 2010. [Google Scholar]
- Stój, A.; Czernecki, T.; Sosnowska, B.; Niemczynowicz, A.; Matwijczuk, A. Impact of Grape Variety, Yeast and Malolactic Fermentation on Volatile Compounds and Fourier Transform Infrared Spectra in Red Wines. Pol. J. Food Nutr. Sci. 2022, 72, 39–55. [Google Scholar] [CrossRef]
- Stój, A.; Czernecki, T.; Domagała, D.; Targoński, Z. Comparative characterization of volatile profiles of French, Italian, Spanish, and Polish red wines using headspace solid-phase microextraction/gas chromatography-mass spectrometry. Int. J. Food Prop. 2017, 20 (Suppl. 1), S830–S845. [Google Scholar] [CrossRef]
- Stój, A.; Czernecki, T.; Domagala, D.; Targoński, Z. Application of volatile compound analysis for distinguishing between red wines from Poland and from other European countries. S. Afr. J. Enol. Vitic. 2017, 38, 245–263. [Google Scholar] [CrossRef]
- Liu, J.; Arneborg, N.; Toldam-Andersen, T.B.; Petersen, M.A.; Bredie, W.L. Effect of sequential fermentations and grape cultivars on volatile compounds and sensory profiles of Danish wines. J. Sci. Food Agric. 2017, 97, 3594–3602. [Google Scholar] [CrossRef]
- Gammacurta, M.; Marchand, S.; Albertin, W.; Moine, V.; de Revel, G. Impact of yeast strain on ester levels and fruity aroma persistence during aging of Bordeaux red wines. J. Agric. Food Chem. 2014, 62, 5378–5389. [Google Scholar] [CrossRef]
- Liu, N.; Qin, Y.; Song, Y.; Ye, D.; Yuan, W.; Pei, Y.; Xue, B.; Liu, Y. Selection of indigenous Saccharomyces cerevisiae strains in Shanshan County (Xinjiang, China) for winemaking and their aroma-producing characteristics. World J. Microbiol. Biotechnol. 2015, 31, 1781–1792. [Google Scholar] [CrossRef]
- Fernández-González, M.; Di Stefano, R.; Briones, A. Hydrolysis and transformation of terpene glycosides from muscat must by different yeast species. Food Microbiol. 2003, 20, 35–41. [Google Scholar] [CrossRef]
- Abrahamse, C.E.; Bartowsky, E.J. Timing of malolactic fermentation inoculation in Shiraz grape must and wine: Influence on chemical composition. World J. Microbiol. Biotechnol. 2012, 28, 255–265. [Google Scholar] [CrossRef]
- Costello, P.J.; Francis, I.L.; Bartowsky, E.J. Variations in the effect of malolactic fermentation on the chemical and sensory properties of Cabernet Sauvignon wine: Interactive influences of Oenococcus oeni strain and wine matrix composition. Aust. J. Grape Wine R. 2012, 18, 287–301. [Google Scholar] [CrossRef]
- Lasik-Kurdyś, M.; Majcher, M.; Nowak, J. Effects of different techniques of malolactic fermentation induction on diacetyl metabolism and biosynthesis of selected aromatic esters in cool-climate grape wines. Molecules 2018, 23, 2549. [Google Scholar] [CrossRef] [PubMed]
- Malherbe, S.; Tredoux, A.G.; Nieuwoudt, H.H.; du Toit, M. Comparative metabolic profiling to investigate the contribution of O. oeni MLF starter cultures to red wine composition. J. Ind. Microbiol. Biotechnol. 2012, 39, 477–494. [Google Scholar] [CrossRef]
- da Costa, N.L.; Valentin, L.A.; Castro, I.A.; Barbosa, R.M. Predictive modeling for wine authenticity using a machine learning approach. Artif. Intell. Agric. 2021, 5, 157–162. [Google Scholar] [CrossRef]
- Costa, N.L.; Llobodanin, L.A.G.; Castro, I.A.; Barbosa, R. Using Support Vector Machines and neural networks to classify Merlot wines from South America. Inf. Process. Agric. 2019, 6, 265–278. [Google Scholar] [CrossRef]
- Costa, N.L.; Llobodanin, L.A.G.; Castro, I.A.; Barbosa, R. Geographical classification of Tannat wines based on support vector machines and feature selection. Beverages 2018, 4, 97. [Google Scholar] [CrossRef]
Disclaimer/Publisher’s Note: The statements, opinions and data contained in all publications are solely those of the individual author(s) and contributor(s) and not of MDPI and/or the editor(s). MDPI and/or the editor(s) disclaim responsibility for any injury to people or property resulting from any ideas, methods, instructions or products referred to in the content. |
© 2023 by the authors. Licensee MDPI, Basel, Switzerland. This article is an open access article distributed under the terms and conditions of the Creative Commons Attribution (CC BY) license (https://creativecommons.org/licenses/by/4.0/).





