Sesquiterpene Lactones with Anti-Inflammatory Activity from the Halophyte Sonchus brachyotus DC
Abstract
:1. Introduction
2. Results and Discussion
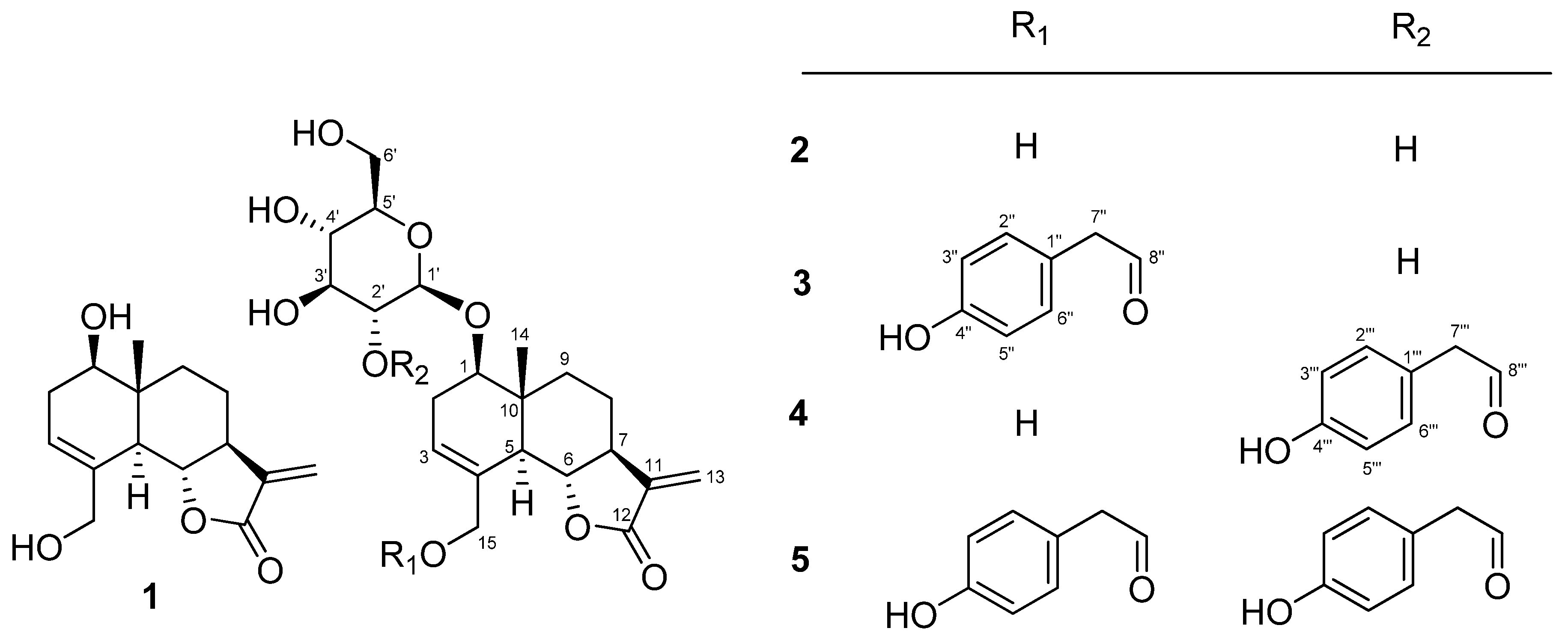
2.1. Isolation of Sesquiterpenes (1–5) from Sonchus Brachyotus
2.2. Cytotoxicities and Anti-Inflammatory Activities of 1–5 in Lipopolysaccharide-Activated RAW264.7
2.3. Effects of 1 from S. Brachyotus on the Expression of Pro-Inflammatory Proteins and MAPK Phosphorylation in Lipopolysaccharide-Activated RAW264.7
2.4. Effects of 1 from S. brachyotus on HO-1 Expression Mediated by Nuclear Translocation Nrf2 in Lipopolysaccharide-Activated RAW264.7
3. Materials and Methods
3.1. Instrumentation
3.2. Material
3.3. Extraction and Isolation
3.4. NMR Experiments
3.5. Acdic Hydrolysis
3.6. Cell Cultures
3.7. Determination of NO Content
3.8. Estimation of Cell Viability
3.9. Enzyme-Linked Immuno-Sorbent Assay (ELISA)
3.10. Preparation of Total Cell Extract
3.11. Isolation of Nuclear and Cytoplasmic Extract
3.12. Western Blotting
4. Conclusions
Supplementary Materials
Author Contributions
Funding
Institutional Review Board Statement
Informed Consent Statement
Data Availability Statement
Conflicts of Interest
Sample Availability
References
- Li, X.-M.; Yang, P.-L. Research progress of Sonchus species. Int. J. Food Prop. 2018, 21, 147–157. [Google Scholar] [CrossRef]
- Guil-Guerrero, J.L.; Gimenez, A.; Rodriguez-Garcia, I.; Torija-Isasa, M.E. Nutritional composition of Sonchus species (S. asper L., S. oleraceus L., and S. tenerrimus L.). J. Sci. Food Agric. 1998, 7, 628–632. [Google Scholar] [CrossRef]
- Yu, C.-X.; Yu, Y.-F.; Zhao, Y.; Wu, P.-Q.; Hu, Q.-L.; Li, B.; Su, P.-J.; Hu, F.-D.; Zhang, Z.-X.; Fei, D.-Q. Chemical constituents of Sonchus brachyoyus. Chem. Nat. Prod. 2020, 56, 370–372. [Google Scholar]
- Shimizu, S.; Miyase, T.; Ueno, A.; Usmanghani, K. Sesquiterpene lactone glycosides and ionone derivative glycosides from Sonchus asper. Phytochemistry 1989, 28, 3402. [Google Scholar] [CrossRef]
- Xia, Z.; Qu, W.; Lu, H.; Fu, J.; Ren, Y.; Liang, J. Sesquiterpene lactones from Sonchus arvensis L. and their antibacterial activity against Streptococcus mutans ATCC 25175. Fitoterapia 2010, 81, 424–428. [Google Scholar] [CrossRef] [PubMed]
- Khan, R.A. Evaluation of flavonoids and diverse antioxidant activities of Sonchus arvensis. Chem. Cent. J. 2012, 6, 126. [Google Scholar] [CrossRef] [PubMed]
- Ozgen, U.; Sevindik, H.; Kazaz, C.; Yigit, D.; Kandemir, A.; Secen, H.; Calis, I. A new sulfated a-ionone glycoside from Sonchus erzincanicus matthews. Molecules 2010, 15, 2593–2599. [Google Scholar] [CrossRef] [PubMed]
- Albalawi, M.A.D.; Bashir, N.A.A.; Tawfix, A. Anticancer and antifolate activities of extracts of six Saudi Arabian wild plants used in folk medicine. J. Life Sci. 2015, 9, 334–340. [Google Scholar]
- Yin, J.; Kwon, G.-J.; Wang, M.-H. The antioxidant and cytotoxic activities of Sonchus oleraceus L. extracts. Nutr. Res. Prac. 2007, 1, 189–194. [Google Scholar] [CrossRef] [PubMed]
- Li, Q.; Dong, D.-D.; Huang, Q.-P.; Li, J.; Du, Y.-Y.; Li, B.; Li, H.-Q.; Huyan, T. The anti-inflammatory effect of Sonchus oleraceus aqueous extract on lipopolysaccgaride stimulated RAW 264.7 cells and mice. Pharm. Biol. 2017, 55, 799–809. [Google Scholar] [CrossRef] [PubMed]
- Xia, D.-Z.; Yu, X.-F.; Zhu, Z.-Y.; Zou, Z.-D. Antioxidant and antibacterial activity of six edible wild plants (Sonchus spp.) in China. Nat. Prod. Res. 2011, 25, 1893–1901. [Google Scholar] [CrossRef] [PubMed]
- Tandi, J.; Sutrisna, I.N.E.; Pratiwi, M.; Handayani, T.W. Potential Test of nephropathy Sonchus arvensis L. leaves on male rats (Rattus norvegicus) diabetes mellitus. Pharmacogn. J. 2020, 12, 1115–1120. [Google Scholar] [CrossRef]
- Zhang, Z.-X.; Xie, W.-D.; Li, P.-L.; Shi, Y.-P.; Jia, Z.-J. Sesquiterpenoids and phenylpropane derivatives from Sonchus uliginosus. Helv. Chim. Acta. 2006, 89, 2927–2933. [Google Scholar] [CrossRef]
- Han, Y.-F.; Zhang, Q.; Gao, K.; Jia, Z.-J. New sesquiterpenes from Sonchus transcaspicus. Planta Med. 2005, 71, 543–547. [Google Scholar] [CrossRef] [PubMed]
- Martel, P.J.; Pelletier, J.P.; Fahmi, H.S. Cyclooxygenase-2 and prostaglandins in articular tissues. Semin. Arthritis. Rheum. 2003, 33, 155–167. [Google Scholar] [CrossRef]
- Michel, T.; Feron, O. Nitric Oxide Synthases: Which, where, how, and why? J. Clin. Invest. 1997, 100, 2146–2152. [Google Scholar] [CrossRef] [PubMed]
- Khodov, I.A.; Musabirova, G.S.; Klochkov, V.V.; Karataeva, F.K.; Huster, D.; Scheidt, H.A. Structural details on the interaction of fenamates with lipid membranes. J. Mol. Liq. 2022, 367, 120502. [Google Scholar] [CrossRef]
- Vijith, V.; Frank ADTG, W.; Stephan, I. The macrophage heme-heme oxygenase-1 system and its role in inflammation. Biochem. Pharmacol. 2018, 153, 159–167. [Google Scholar]
- Saha, S.; Buttari, B.; Panieri, E.; Profumo, E.; Saso, L. An Overview of Nrf2 Signaling Pathway and Its Role in Inflammation. Molecules 2020, 25, 5474. [Google Scholar] [CrossRef] [PubMed]
- Xu, Y.-J.; Sun, S.-B.; Sun, L.-M.; Qiu, D.-F.; Liu, X.-J.; Jiang, Z.-B.; Yuan, C.-S. Quinic acid ester and sesquiterpenes from Sonchus arvensis. Food Chem. 2008, 111, 92–97. [Google Scholar] [CrossRef]








| no. | 4 | |||
|---|---|---|---|---|
| δC | δH, Mult(J Hz) | δC | δH, Mult(J Hz) | |
| 1 | 80.3, CH | 3.74, dd(9.5, 6.6) | 79.9, CH | 3.67, dd(9.8, 6.9) |
| 2 | 29.6, CH2 | α; 2.29, br d(18.3) β; 1.44, ddt(18.3, 9.5, 3.4) | 30.0, CH2 | α; 2.26, m β; 1.34, m |
| 3 | 123.1, CH | 5.61, br s | 131.6, CH | 5.62, br s |
| 4 | 137.4, C | 130.4, C | ||
| 5 | 50.5, CH | 2.45, dd(11.0, 2.2) | 50.3, CH | 2.27, m |
| 6 | 82.9, CH | 3.99, t(11.0) | 82.0, CH | 3.16, t(11.0) |
| 7 | 52.0, CH | 2.51, td(11.0, 3.2) | 51.7, CH | 2.29, m |
| 8 | 22.1, CH2 | α;2.02, br d(13.2) β; 1.56, qd(13.2, 3.4) | 21.9, CH2 | α;1.90, br d(13.5) β; 1.30, m |
| 9 | 35.5, CH2 | α;1.34, td(13.2, 3.4) β; 2.02, br d(13.2) | 35.6, CH2 | α;1.22, td(13.5, 3.4) β; 1.92, br d(13.5) |
| 10 | 41.1, C | 40.9, C | ||
| 11 | 140.8, C | 140.6, C | ||
| 12 | 172.5, C | 172.4, C | ||
| 13 | 117.3, CH2 | 5.47, d(3.2); 5.98, d(3.2) | 117.3, CH2 | 5.42, d(3.4); 5.95, d(3.4) |
| 14 | 12.3, CH3 | 0.67, s | 12.4, CH3 | 0.45, s |
| 15 | 65.3, CH2 | 4.07, d(15.2); 4.11, d(15.2) | 68.9, CH2 | 4.39, d(11.5); 4.61, d(11.5) |
| 1′ | 98.8, CH | 4.44, d(7.8) | 98.7, CH | 4.40, d(7.8) |
| 2′ | 75.6, CH | 4.66, dd(9.8, 7.8) | 75.5, CH | 4.63, dd(9.5, 7.8) |
| 3′ | 76.1, CH | 3.54, dd(9.8, 8.1) | 76.0, CH | 3.53, dd(9.5, 9.5) |
| 4′ | 71.9, CH | 3.32, dd(9.8, 8.1) | 71.9, CH | 3.30, dd(9.8, 9.5) |
| 5′ | 78.0, CH | 3.26, ddd(9.8, 6.1, 2.0) | 78.0, CH | 3.24, ddd(9.8, 5.9, 2.0) |
| 6′ | 62.8, CH2 | 3.65, dd(12.0, 6.1) 3.86, dd(12.0, 2.0) | 62.8, CH2 | 3.63, dd(12.0, 5.9) 3.85, dd(12.0, 2.0) |
| 1″ | 126.4, C | |||
| 2″,6″ | 131.7, CH | 7.00, d(8.6) | ||
| 3″,5″ | 116.5, CH | 6.61, d(8.6) | ||
| 4″ | 157.3, C | |||
| 7″ | 41.9, CH2 | 3.45, d(15.2); 3.53, d(15.2) | ||
| 8″ | 173.2, C | |||
| 1‴ | 126.2, C | 126.2, C | ||
| 2‴,6‴ | 131.6, CH | 7.11, d(8.6) | 131.6, CH | 7.12, d(8.6) |
| 3‴,5‴ | 116.3, CH | 6.70, d(8.6) | 116.3, CH | 6.73 d(8.6) |
| 4‴ | 157.6, C | 157.8, C | ||
| 7‴ | 41.6, CH2 | 3.54, d(14.7); 3.58, d(14.7) | 41.7, CH2 | 3.53, d(11.0); 3.56, d(11.0) |
| 8‴ | 172.8, C | 172.7, C | ||
Disclaimer/Publisher’s Note: The statements, opinions and data contained in all publications are solely those of the individual author(s) and contributor(s) and not of MDPI and/or the editor(s). MDPI and/or the editor(s) disclaim responsibility for any injury to people or property resulting from any ideas, methods, instructions or products referred to in the content. |
© 2023 by the authors. Licensee MDPI, Basel, Switzerland. This article is an open access article distributed under the terms and conditions of the Creative Commons Attribution (CC BY) license (https://creativecommons.org/licenses/by/4.0/).
Share and Cite
Lee, Y.-K.; Lee, H.; Kim, Y.N.; Kang, J.; Jeong, E.J.; Rho, J.-R. Sesquiterpene Lactones with Anti-Inflammatory Activity from the Halophyte Sonchus brachyotus DC. Molecules 2023, 28, 1518. https://doi.org/10.3390/molecules28041518
Lee Y-K, Lee H, Kim YN, Kang J, Jeong EJ, Rho J-R. Sesquiterpene Lactones with Anti-Inflammatory Activity from the Halophyte Sonchus brachyotus DC. Molecules. 2023; 28(4):1518. https://doi.org/10.3390/molecules28041518
Chicago/Turabian StyleLee, Young-Kyung, Hangy Lee, Yun Na Kim, Jun Kang, Eun Ju Jeong, and Jung-Rae Rho. 2023. "Sesquiterpene Lactones with Anti-Inflammatory Activity from the Halophyte Sonchus brachyotus DC" Molecules 28, no. 4: 1518. https://doi.org/10.3390/molecules28041518
APA StyleLee, Y.-K., Lee, H., Kim, Y. N., Kang, J., Jeong, E. J., & Rho, J.-R. (2023). Sesquiterpene Lactones with Anti-Inflammatory Activity from the Halophyte Sonchus brachyotus DC. Molecules, 28(4), 1518. https://doi.org/10.3390/molecules28041518

